An Accurate and Efficient Approach to Calculating the Wheel Location and Orientation for CNC Flute-Grinding
Abstract
1. Introduction
2. Modeling of Flute-grinding Processes
2.1. Grinding Wheel Modeling
2.2. Kinematic of CNC Flute-Grinding
- (1)
- Point is deduced by Equation (10) satisfying the condition ;
- (2)
- Point is deduced by setting to Equation (10), and satisfying the condition ;
- (3)
- Point is deduced by setting .
3. Determination of Wheel Location and Orientations with a 2D Projection
3.1. Grinding Operation Projection
- Constraint 1: the tangent point should always locate in the first or the second quadrant,
- Constraint 2: the wheel edge cannot be separated with the bar-stock and overcut the core radius,
- Constraint 3: to avoid interference, the open-angle should satisfy the following condition (see Appendix B),
3.2. Calculation Procedure with the Improved GA and PSO
| Algorithm 1 Generate N initial points | 
| Input: Desired flute and wheel parameters | 
| Output: initial points (pop) for & | 
| 1. . | 
| 2. while n < N do | 
| 3. and . | 
| 4. Calculate and in the projection model (see Appendix A) | 
| 5. If satisfy the constraints for Equation (16) and Equation (17). | 
| 6. | 
| 7. else | 
| 8. go to line 3 | 
| 9. end if | 
| 10. return pop | 
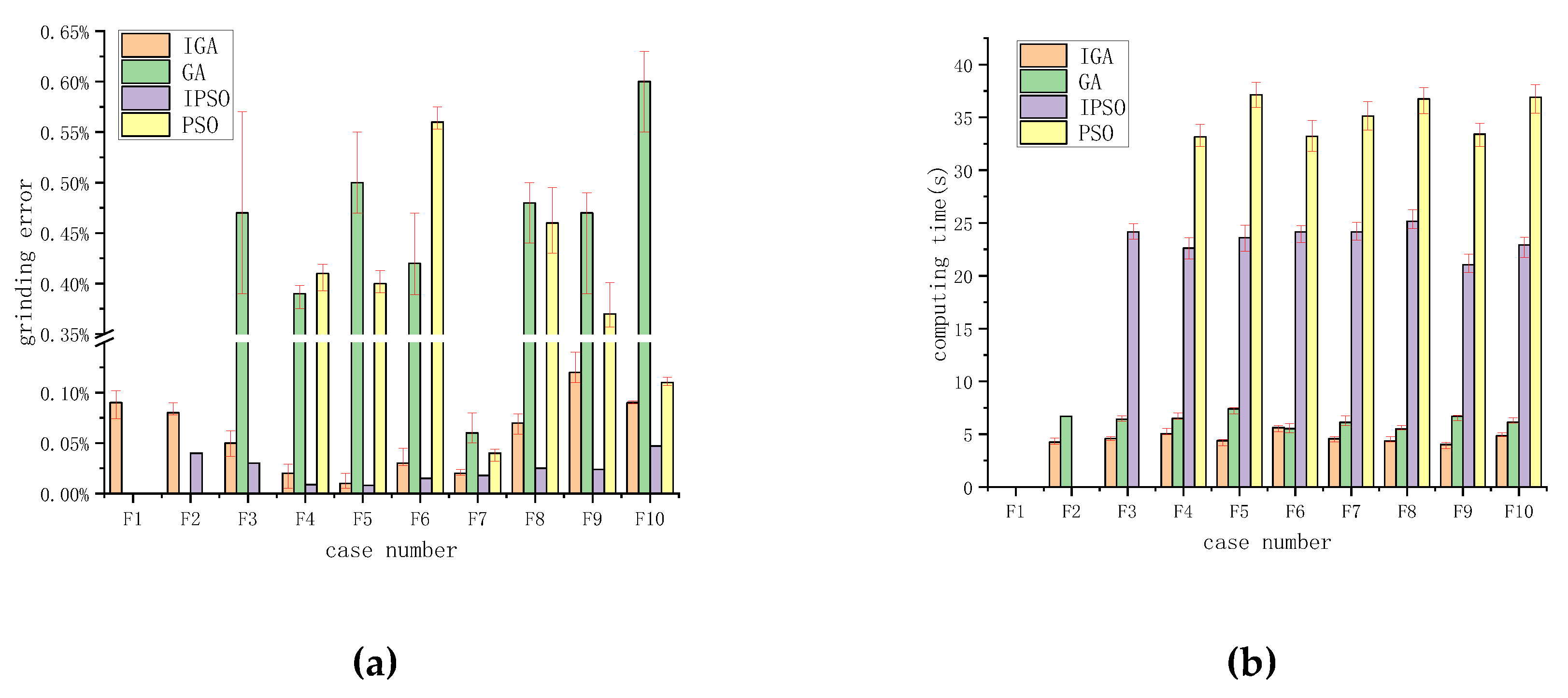
4. Numerical Simulation
5. Conclusions
Author Contributions
Funding
Acknowledgments
Conflicts of Interest
Nomenclature
| Grinding wheel radius | |
| Grinding wheel location | |
| Grinding wheel orientation | |
| Tool coordinate system | |
| Wheel coordinate system | |
| Set-up operation matrix | |
| Kinematics matrix of 5-axis grinding | |
| Translation velocity | |
| Rotation velocity | |
| Cutter radius | |
| Core radius | |
| Rake angle | |
| Flute angle | |
| Designed cutter radius | |
| Designed flute rake angle | |
| Designed flute angle | |
| Helix angle | 
Appendix A. Representation of the Wheel’s Location in the Projection Model

Appendix B. The Geometrical Condition for Interference-Free
References
- Jiang, F.; Zhang, T.; Yan, L. Analytical model of milling forces based on time-variant sculptured shear surface. Int. J. Mech. Sci. 2016, 115–116, 190–201. [Google Scholar] [CrossRef]
- Yan, L.; Rong, Y.M.; Jiang, F.; Zhou, Z.X. Three-dimension surface characterization of grinding wheel using white light interferometer. Int. J. Adv. Manuf. Tech. 2011, 55, 133–141. [Google Scholar] [CrossRef]
- Pimenov, D.; Hassui, A.; Wojciechowski, S.; Mia, M.; Magri, A.; Suyama, D.; Bustillo, A.; Krolczyk, G.; Gupta, M. Effect of the Relative Position of the Face Milling Tool towards the Workpiece on Machined Surface Roughness and Milling Dynamics. Appl. Sci. 2019, 9, 842. [Google Scholar] [CrossRef]
- Mei, Y.; Mo, R.; Sun, H.; He, B.; Bu, K. Stability Analysis of Milling Process with Multiple Delays. Appl. Sci. 2020, 10, 3646. [Google Scholar] [CrossRef]
- Ren, L.; Wang, S.; Yi, L.; Sun, S. An accurate method for five-axis flute grinding in cylindrical end-mills using standard 1V1/1A1 grinding wheels. Precis. Eng. 2016, 43, 387–394. [Google Scholar] [CrossRef]
- Xiao, S.; Wang, L.; Chen, Z.C.; Wang, S.; Tan, A. A New and Accurate Mathematical Model for Computer Numerically Controlled Programming of 4Y1 Wheels in 21/2-Axis Flute Grinding of Cylindrical End-Mills. J. Manuf. Sci. Eng. 2013, 135, 04100801–04100811. [Google Scholar] [CrossRef]
- Pham, T.T.; Ko, S.L. A manufacturing model of an end mill using a five-axis CNC grinding machine. Int. J. Adv. Manuf. Tech. 2010, 48, 461–472. [Google Scholar] [CrossRef]
- Li, G.; Sun, J.; Li, J. Process modeling of end mill groove machining based on Boolean method. Int. J. Adv. Manuf. Tech. 2014, 75, 959–966. [Google Scholar] [CrossRef]
- Liu, G.; Wei, W.; Dong, X.; Rui, C.; Liu, P.; Li, H. Relief grinding of planar double-enveloping worm gear hob using a four-axis CNC grinding machine. Int. J. Adv. Manuf. Tech. 2017, 89, 3631–3640. [Google Scholar] [CrossRef]
- Van-Hien, N.; Ko, S. A New Method for Determination of Wheel Location in Machining Helical Flute of End Mill. J. Manuf. Sci. Eng. 2016, 138, 11100301–11100311. [Google Scholar]
- Kim, J.H.; Park, J.W.; Ko, T.J. End mill design and machining via cutting simulation. Comput. Aided Design 2008, 40, 324–333. [Google Scholar] [CrossRef]
- Li, G. A new algorithm to solve the grinding wheel profile for end mill groove machining. Int. J. Adv. Manuf. Tech. 2017, 90, 775–784. [Google Scholar] [CrossRef]
- Habibi, M.; Chen, Z.C. A Generic and Efficient Approach to Determining Locations and Orientations of Complex Standard and Worn Wheels for Cutter Flute Grinding Using Characteristics of Virtual Grinding Curves. J. Manuf. Sci. Eng. 2017, 139, 04101801–04101811. [Google Scholar] [CrossRef]
- Wasif, M.; Iqbal, S.A.; Ahmed, A.; Tufail, M.; Rababah, M. Optimization of simplified grinding wheel geometry for the accurate generation of end-mill cutters using the five-axis CNC grinding process. Int. J. Adv. Manuf. Technol. 2019, 105, 4325–4344. [Google Scholar] [CrossRef]
- Kang, S.K.; Ehmann, K.F.; Lin, C. A CAD approach to helical groove machining .1. Mathematical model and model solution. Int. J. Mach. Tool. Manuf. 1996, 36, 141–153. [Google Scholar] [CrossRef]
- Chen, Z.; Ji, W.; He, G.; Liu, X.; Wang, L.; Rong, Y. Iteration based calculation of position and orientation of grinding wheel for solid cutting tool flute grinding. J. Manuf. Process 2018, 36, 209–215. [Google Scholar] [CrossRef]
- Karpuschewski, B.; Jandecka, K.; Mourek, D. Automatic search for wheel position in flute grinding of cutting tools. Cirp Ann. Manuf. Tech. 2011, 60, 347–350. [Google Scholar] [CrossRef]
- Li, G.; Zhou, H.; Jing, X.; Tian, G.; Li, L. An intelligent wheel position searching algorithm for cutting tool grooves with diverse machining precision requirements. Int. J. Mach. Tool. Manuf. 2017, 122, 149–160. [Google Scholar] [CrossRef]
- Li, G.; Zhou, H.; Jing, X.; Tian, G.; Li, L. Modeling of integral cutting tool grooves using envelope theory and numerical methods. Int. J. Adv. Manuf. Tech. 2018, 98, 579–591. [Google Scholar] [CrossRef]
- Wang, L.; Kong, L.; Li, J.; Chen, Z. A parametric and accurate CAD model of flat end mills based on its grinding operations. Int. J. Precis. Eng. Manuf. 2017, 18, 1363–1370. [Google Scholar] [CrossRef]
- Wang, L.; Chen, Z.C.; Li, J.; Sun, J. A novel approach to determination of wheel position and orientation for five-axis CNC flute grinding of end mills. Int. J. Adv. Manuf. Tech. 2016, 84, 2499–2514. [Google Scholar] [CrossRef]








| Wheel Parameters | Wheel 1 | Wheel 2 | Wheel 3 | 
|---|---|---|---|
| wheel width H (mm) | 5 | 20 | 40 | 
| wheel radius R (mm) | 30 | 75 | 75 | 
| wheel angle α (deg.) | 75 | 75 | 90 | 
| Algorithm | Parameters Setting | 
|---|---|
| GA or IGA | initial population size: 100 range of crossover probability: 0.2 range of mutation probability: 0.1 stopping condition: iterations > 100 or < 1 × 10−4 | 
| PSO or IPSO | initial population size: 100 inertia weight: 1 inertia weight damping Ratio: 0.99 personal learning coefficient: 1.5 global learning coefficient: 2.0 stopping condition: iterations >1 00 or < 1 × 10−4 | 
| Flute Size | Case No. | Cutter Radius | Desired Flute Parameters 1 | Flute Parameters Solved by IGA | Flute Parameters Solved by GA | Flute Parameters Solved by IPSO | Flute Parameters Solved by PSO | 
|---|---|---|---|---|---|---|---|
| small size flutes | F1 | 0.3 | (0.2, 6, 75) | (0.200, 5.995, 74.956) | / | / | / | 
| F2 | 0.5 | (0.3, 6, 75) | (0.300, 5.996, 74.976) | / | (0.300, 5.919, 74.796) | / | |
| F3 | 1 | (0.6, 6, 75) | (0.600, 5.998, 75.962) | (0.602, 5.991, 75.386) | (0.600, 6.000, 75.027) | / | |
| medium size flutes | F4 | 7 | (5, 9, 75) | (5.000, 9.005, 75.016) | (4.989, 8.963, 75.007) | (5.000, 9.000, 74.997) | (5.021, 8.985, 74.781) | 
| F5 | 9 | (5, 9, 75) | (5.000, 8.996,75.009) | (5.149, 8.894, 75.410) | (5.000, 9.000,75.000) | (4.973, 8.969, 74.926) | |
| F6 | 11 | (6, 25, 110) | (6.000, 25.016, 109.981) | (5.955, 25.037, 109.530) | (6.000, 25.000,110.002) | (5.946, 24.994, 109.591) | |
| F7 | 17 | (10, 9, 75) | (10.000, 9.002, 75.005) | (9.997, 9.006, 74.916) | (10.000, 8.998,75.003) | (9.995, 8.984,74.989) | |
| large size flutes | F8 | 20 | (15, 9, 75) | (15.000, 8.995, 75.942) | (14.934, 9.038, 75.343) | (15.000, 9.000, 75.003) | (14.979, 8.995, 75.139) | 
| F9 | 25 | (17, 25, 110) | (17.000, 24.995, 110.143) | (17.081, 25.071, 109.598) | (17.000, 25.000, 109.998) | (16.929, 24.919, 110.406) | |
| F10 | 30 | (20, 9, 75) | (20.000, 9.008, 75.047) | (20.129, 9.020, 75.399) | (20.000, 9.000, 74.999) | (20.018, 9.011, 75.109 | 
| Case No. | β | θc | dx | dy | 
|---|---|---|---|---|
| F1 | 52.9353 | 87.7783 | 0.4304 | 30.1917 | 
| F2 | 50.3040 | 82.2274 | 1.7030 | 30.1838 | 
| F3 | 49.6645 | 82.7015 | 1.6804 | 30.4926 | 
| F4 | 53.2624 | 95.5550 | −3.0894 | 80.4462 | 
| F5 | 48.4607 | 80.5059 | 6.3067 | 79.4745 | 
| F6 | 55.3177 | 100.8935 | −5.7797 | 80.4662 | 
| F7 | 48.4607 | 77.1924 | 9.5815 | 83.9187 | 
| F8 | 54.5717 | 85.3600 | 3.2566 | 89.8680 | 
| F9 | 57.7373 | 99.4303 | −6.3210 | 91.4772 | 
| F10 | 52.8445 | 79.5509 | 8.6418 | 94.2074 | 
© 2020 by the authors. Licensee MDPI, Basel, Switzerland. This article is an open access article distributed under the terms and conditions of the Creative Commons Attribution (CC BY) license (http://creativecommons.org/licenses/by/4.0/).
Share and Cite
Fang, Y.; Wang, L.; Yang, J.; Li, J. An Accurate and Efficient Approach to Calculating the Wheel Location and Orientation for CNC Flute-Grinding. Appl. Sci. 2020, 10, 4223. https://doi.org/10.3390/app10124223
Fang Y, Wang L, Yang J, Li J. An Accurate and Efficient Approach to Calculating the Wheel Location and Orientation for CNC Flute-Grinding. Applied Sciences. 2020; 10(12):4223. https://doi.org/10.3390/app10124223
Chicago/Turabian StyleFang, Yang, Liming Wang, Jianping Yang, and Jianfeng Li. 2020. "An Accurate and Efficient Approach to Calculating the Wheel Location and Orientation for CNC Flute-Grinding" Applied Sciences 10, no. 12: 4223. https://doi.org/10.3390/app10124223
APA StyleFang, Y., Wang, L., Yang, J., & Li, J. (2020). An Accurate and Efficient Approach to Calculating the Wheel Location and Orientation for CNC Flute-Grinding. Applied Sciences, 10(12), 4223. https://doi.org/10.3390/app10124223
 
        

 
       