Next Article in Journal
Modeling the Impact of Mentoring on Women’s Work-Life Balance: A Grounded Theory Approach
Next Article in Special Issue
“Searching for Gold” with Sustainable Human Resources Management and Internal Communication: Evaluating the Mediating Role of Employer Attractiveness for Explaining Turnover Intention and Performance
Previous Article in Journal
Impact of Inclusive Leadership on Innovative Work Behavior: The Mediating Role of Job Crafting
Previous Article in Special Issue
Examining the Mediating Role of Work Engagement in the Relationship between Corporate Social Responsibility and Turnover Intention: Evidence from Nigeria
 
 
Font Type:
Arial Georgia Verdana
Font Size:
Aa Aa Aa
Line Spacing:
Column Width:
Background:
Article

Predicting the Relationship between Green Transformational Leadership, Green Human Resource Management Practices, and Employees’ Green Behavior

1
Doctoral School of Economics and Regional Sciences, Hungarian University of Agriculture and Life Sciences, H-2100 Gödöllő, Hungary
2
Fakultas Ekonomi, Universitas Sriwijaya, Jalan Palembang Prabumulih KM 32, Indralaya, Ogan Ilir 30862, Indonesia
3
Ministry of Administrative and Bureaucratic Reform, Jakarta 12190, Indonesia
4
Department of Management, Faculty of Economics and Informatics, J. Selye University, UI. Hradná 21, 94501 Komárno, Slovakia
*
Author to whom correspondence should be addressed.
Adm. Sci. 2023, 13(1), 5; https://doi.org/10.3390/admsci13010005
Submission received: 14 September 2022 / Revised: 13 December 2022 / Accepted: 14 December 2022 / Published: 22 December 2022

Abstract

Building on theories of Corporate Sustainability, Triple Bottom Line, and Natural Resource-Based View, this study aims to predict the positive relationship between green transformational leadership, green human resource management practices, and employees’ green behavior. It applies a quantitative approach to analyze 252 data collected from the customers who are prospective employees of small and medium enterprises in Budapest. An online questionnaire was sent to 252 samples with the Snowball sampling method for about a month in Hungary. Based on a structural equation modeling analysis, green transformational leadership and green human resource management practices positively influence employees’ green behavior. Green human resource management practices mediate the relationship between green transformational leadership and employees’ green behavior. Small and medium enterprises should consider solving the green behavioral problems of their employees by promoting the green concept in leadership and human resource management practices. Such initiatives contribute to sustainability in small and medium enterprises.

1. Introduction

There is a long and continuous debate about who is more important for companies, customers or employees (Fata et al. 2022). In the environmental context, customers will react to practices conducted by business leaders and managers that lead to environmental damages (Shampa and Jobaid 2017). Customers tend to buy products with the trusted green performance offered by companies (Doszhanov and Ahmad 2015). Many customers have petitioned and boycotted manufacturers when they find products causing environmental problems (Chen and Chai 2010). Indeed, customers hope for green practices in businesses in leadership, human resource management practices, and employees’ behavior.
Furthermore, customers have supported companies to preserve the environment through environmentally friendly products and innovations (Alamsyah et al. 2021). These efforts are related to corporate social responsibility to improve business strategies and values (Costa and Fonseca 2022; Tosun et al. 2022). Many recent studies have revealed that these efforts are green transformational leadership (GTL), green human resource management (GHRM) practices, and employees’ green behavior (EGB). At the same time, recent researchers use the theories of Corporate Sustainability, Triple Bottom Line, and Natural Resource-Based to explain the three green concepts.
Scholars have recently elucidated the role of GTL in enhancing environmentally responsible employee behavior (Du and Yan 2022). Some studies have revealed that GHRM practices solve environmental problems (Tanova and Bayighomog 2022) and support green businesses (Haldorai et al. 2022). Then, EGB becomes a construct in organizational behavior discipline (Katz et al. 2022) that can anticipate negative behaviors from employees in companies (Meyers and Rutjens 2022).
Nonetheless, studies investigating the mediating role of GHRM practices in the relationship between GTL and EGB are scarce. Several studies function as sources to predict the relationships. GTL positively affects GHRM practices (Singh et al. 2020; Arshad 2021; Huelgas and Arellano 2021). GHRM practices positively affect EGB (Karmoker et al. 2021; Harasudha and Subramanian 2020; Ha and Uyen 2021; Gill et al. 2021; Fawehinmi et al. 2020; Dumont et al. 2017; Ercantan and Eyupoglu 2020). GTL indirectly determines EGB (Jian et al. 2020). Environmental-transformational leadership positively influences employees’ pro-environmental behavior, and GHRM moderates this relationship (Omarova and Jo 2022).
Small and medium enterprises (SMEs) have a vital role in the economy of many countries. They are global contributors to greenhouse gases (Fahad et al. 2022). Of course, they respond to the customers’ support for business efforts to preserve the environment (Sun et al. 2022). Current studies have confirmed that the orientation of SMEs toward green product development can improve business performance (Hirunyava et al. 2022). However, the extant literature focuses on large businesses in the environmental context (Yu et al. 2022; Rehman et al. 2022). Moreover, customers’ awareness and expectations in this context have started for large companies (Alshaabani et al. 2021) rather than SMEs.
The European Commission has stated that 98 percent of the European economy is SMEs (Oláh et al. 2019). Hungary, a Central-Eastern European country with a population of 9,689,000 (Medve 2022), is an important center for the automotive, mechatronics, logistics, and environmental industries (Irimiás and Mitev 2020). It has a strong economy (Virág n.d.). Based on the aggregation of the MNB Sustainability Index indicators, the country’s score is slightly higher than the score of the Visegrad group and only a point below the EU average score (Hausmann and Szalai 2021).
In Hungary, private businesses are dominant for SMEs (Bajnóczki et al. 2021). SMEs in Budapest, the capital city of Hungary, operate with a wide range of products. As SMEs are proponents of innovation (Katona 2022) and drivers of new product development (Kindermann et al. 2022), the awareness and expectations of SME customers in Hungary about GTL, GHRM practices, and EGB are essential for research.
This study intends to examine the positive effects of GTL and GHRM practices on EGB in SMEs based on their customers who are prospective employees’ perspectives. Furthermore, it is to predict the mediating role of GHRM practices in the positive relationship between GTL and EGB. Based on a quantitative analysis conducted on the collected data, the results of this study indicate that GTL and GHRM practices are antecedents of EGB, and GHRM practices are a mediator in the positive relationship between GTL and EGB. The leaders and human resource managers in SMEs could adopt GTL and GHRM practices to build EGB. The research framework in this study contributes to the advancement of the causal relationship between leadership, HRM practices, and employees’ behavior in the context of sustainability.
After describing the study background in this section, the authors then explain the theories of Corporate Sustainability, Triple Bottom Line, and Natural Resource-Based View to elaborate on the demand for GTL, GHRM practices, and EGB. The explanations are followed by the relationship between GTL, GHRM practices, and EGB. The third section, methodology, consists of research design, variables and measures, instruments, sampling and data collection, and statistical analysis. The later sections present the results and discussion that end with the conclusion section.

2. Literature Review

2.1. Theories of Corporate Sustainability, Triple Bottom Line, and Natural Resource-Based View

Current researchers have described the theory of Corporate Sustainability (CS) to address social and environmental problems (Nwoba et al. 2021). Dyllick and Hockerts (2002, p. 131) define CS as “meeting the needs of a firm’s direct and indirect stakeholders, without compromising its ability to meet the needs of future stakeholders as well.” This theory explains the ethics, economy, society, and environment (Kücükgül et al. 2022; Lee et al. 2018; and Jamal et al. 2021) that drive innovation (Lozano et al. 2015; Rezaee 2017) and long-term value creation in businesses (Hawn et al. 2018). It develops from the Triple Bottom Line (TBL) theory (Ahmed et al. 2021; Nunhes et al. 2021; Zhang et al. 2020).
In 1994, John Elkington coined the term TBL (Elkington 2018). The late 1990s saw this term take off (Elkington 2004). The TBL theory refers to the environmental, social, and financial aspects of businesses (Isil and Hernke 2017; Alsawafi et al. 2021; Liute and Giacomo 2022). This theory refers to an organizational environment that facilitates sustainability (Heim et al. 2022). It is also the concept of profit, planet, and people (Masud et al. 2019) that articulates the sustainability perspective (Satar 2022) in economic goals (Wu et al. 2018). The number of studies conducted on this subject has increased in recent years following the declaration of restrictions on electronics and waste by the European Union (Tseng et al. 2020). There are three major criticisms of TBL: TBL’s measurement, TBL as a non-systemic approach, and TBL as a compliance/ranking mechanism (Sridhar and Jones 2013).
Hart introduced the concept of the Natural Resource-Based View in 1995. It is the composition of pollution prevention, product stewardship, and sustainable development (Hart 1995). Researchers have explained that it can provide pollution prevention, product management, and sustainable development policies for businesses (Farrukh et al. 2021). This environmental concept creates innovation that supports companies to reach competitive advantages and benefits for the natural environment (Andersen 2021).

2.2. Green Transformational Leadership and Employees’ Green Behavior in Small and Medium Enterprises

Chen and Chang (2013, p. 109) define GTL as “behaviors of leaders who motivate followers to achieve environmental goals and inspire followers to perform beyond expected levels of environmental performance.” Then, scholars often refer to GTL as environmental-transformational leadership, green transformation leadership style, and environmental-specific transformational leadership. GTL raises leaders’ concerns about environmental issues (Mansoor et al. 2021; Khan and Khan 2022; Singh et al. 2020; Li et al. 2020; Özgül and Zehir 2021).
Green transformational leaders influence employees through their green plans, visions, goals, beliefs, and ideas (Chen and Chang 2013). GTL directly affects EGB (Al-Swidi et al. 2021). The EGB concept emerged from the reflections of scholars on environmental issues in the 1960s (Omarova and Jo 2022). Ones and Dilchert (2012, p. 87) define EGB as “scalable actions and behaviors that employees engage in that are linked with and contribute to or detract from environmental sustainability.” Therefore, scholars often explain EGB as employee pro-environmental behavior, employee work-green behavior, EGB at the workplace, and green employee behavior.
EGB contributes to sustainability in businesses (Fadel et al. 2021; Ha and Uyen 2021; Harasudha and Subramanian 2020). It refers to a set of individual behaviors that are environmentally friendly. EGB includes activities such as saving energy, using resources efficiently, avoiding waste, saving water (Adriana et al. 2020), prioritizing environmental interests, initiating programs and policies, lobbying and activism, and encouraging others (Faeq et al. 2021) that reduce the negative environmental impacts of the organization.
Robertson and Barling (2013) have explained EGB in printing activities, compostable items, recyclable materials, reusable utensils, lighting, programs, and practices. Business leaders can create green plans, visions, goals, actions, beliefs, and ideas to realize green printing activities, compostable items, recyclable materials, reusable utensils, lighting, programs, and green practices. However, as these indicators have been tested for large businesses, not all of them are suitable for SMEs. SME leaders might have limited conceptual skills and resources.
Hypothesis 1 (H1).
Green transformational leadership positively influences employees’ green behavior.

2.3. Green Transformational Leadership and Green Human Resource Management Practices in Small and Medium Enterprises

Efforts to understand GHRM practices have been started since the early 2000s (Muster and Schrader 2011). Renwick et al. (2012, p. 1) began to define GHRM practices as “the HRM aspects of environmental management.” Many researchers have described GHRM practices as activities, systems (Tanova and Bayighomog 2022), policies, approaches (Islam et al. 2019; Darvishmotevali and Altinay 2022), programs, processes (Arulrajah et al. 2015; Yusoff et al. 2018), phenomenon, action, design (Mousa and Othman 2020; Pham et al. 2019; Tang et al. 2018). These practices integrate human resource management practices with sustainable environmental issues among employees (Mwita 2019).
GHRM practices aim to develop environmental sensitivity in employees and make them aware of how their behavior affects the environment (Gilal et al. 2019; Malik et al. 2020; Irani and Kilic 2022). Current researchers have explained that the more similar the studies, the higher the company’s need for GHRM practices (Masri and Jaaron 2017).
The relationship between GTL and GHRM practices has been demonstrated in the studies of Singh et al. (2020); Arshad (2021); Huelgas and Arellano (2021). From the explanation of Saeed et al. (2019) on measures of GHRM practices that include green recruitment and selection, green training, green performance management, green rewards and compensation, green empowerment, and green knowledge, the authors adopt four measures. Green rewards and compensation and green knowledge in GHRM practices are two measures that do not apply to SMEs.
Hypothesis 2 (H2).
Green transformational leadership positively influences green human resource management practices.

2.4. Green Human Resource Management Practices and Employees’ Green Behavior in Small and Medium Enterprises

Awareness of environmental issues represents social and economic well-being at both the organizational and individual levels (Ahmad 2015; Karatepe et al. 2022). The relationship between GHRM practices and EGB in this study refers to some previous studies. First, the study of Jian et al. (2020) has explained that GHRM practices determine EGB. However, environmental goal clarity has moderated the relationships. Then, the relationship between GHRM practices and EGB has been described in the studies of Karmoker et al. (2021); Harasudha and Subramanian (2020); Ha and Uyen (2021); Gill et al. (2021); Fawehinmi et al. (2020); Dumont et al. (2017); Ercantan and Eyupoglu (2020).
Hypothesis 3 (H3).
Green human resource management practices positively influence employees’ green behavior.
GTL and GHRM practices determine EGB. Since GTL affects GHRM practices, and GHRM practices affect EGB, GHRM practices mediate the relationship between GTL and EGB. Hence, environmental-transformational leadership influences employees’ pro-environmental behavior, and GHRM moderates this relationship (Omarova and Jo 2022). Figure 1 demonstrates the causal relationship between GTL, GHRM practices, and EGB, based on the hypotheses.
Hypothesis 4 (H4).
Green human resource management practices mediate the positive relationship between green transformational leadership and employee green behavior.

3. Methods

3.1. Design

This study analyzes the data with a quantitative approach to obtain descriptive results. A structural equation modeling analysis tests the relationship between the independent, mediating, and dependent variables. To support the process of data analysis, this study uses Microsoft Excel, Statistical Program for Social Sciences (SPSS), and Moment Structure Analysis (AMOS).

3.2. Measures

First, to be appropriate to SMEs, the authors screen items suitable for SMEs. This study adopts four of six items for GTL in the study of Chen and Chang (2013). They are about green plans, goals, actions, and ideas. Then, four of six items for GHRM practices in the study of Saeed et al. (2019), namely green recruitment and selection, training, performance management, and empowerment, are employed in the study. Finally, items about green printing activities, items, materials, utensils, and lighting are used in this study. These five items are part of seven items in the study of Robertson and Barling (2013).

3.3. Samples and Procedures

As most customers expect green practices in business leadership, human resource management practices, and employee behavior, this study utilizes customers who have the potential or interest to work as SME employees as samples. The authors guide them using an English online questionnaire, the snowball sampling method, and the “Facebook” and “WhatsApp” programs on their mobile phones. In the questionnaire form, the authors include a statement that all information would be kept confidential and that the study is voluntary. The total number of respondents obtained in this study is 252.
This study represents a cross-sectional study. The data samples were collected from early July to August 2022. The respondents took about 5 min to fill out all the items in the questionnaire that applied anonymity during the period. Most of them were doctoral students, males aged 30 to 39 years from cities outside Budapest. They visited mini markets in Budapest regularly.
As the survey focuses on customer as well as prospective employee responses, all items in the questionnaire are formatted according to technical needs. The sample items for GTL, GHRM practices, and EGB are as follows: the leaders of SMEs in Budapest should have environmental plans, the human resource managers of SMEs in Budapest should have environmentally conscious employees, the employees of the SMEs in Budapest should print working papers on both sides during work. The multiple-choice method with seven Likert rating scales, from strongly disagree (1) to strongly agree (7), is provided for respondents to engage with all items.

3.4. Data Analysis

The collected data are put into the Microsoft Excel program to create a data set, the transferred to the SPSS and AMOS. The authors can easily relate each of the variables (latent and manifest variables) through the arrows provided in AMOS. In the early stage of analysis, this study tests Common Method Bias (CMB). It is to determine the variation of answers from respondents caused by the instrument compared to the actual tendency of the respondents. The output of the CMB test in this study shows a value of 0.4 (<0.5), so the data did not have CMB.
This study describes a confirmatory factor analysis (CFA) to obtain validity and reliability of all items. Moreover, it tests the Goodness of Fit (GoF) and provides a figure of structural equation modeling. Finally, there is the hypothesis analysis.

4. Results

4.1. Confirmatory Factor Analysis

Based on Table 1, all estimated values range from 0.947 to 1.125. These values are more than 0.7 and well above the standard error values, which are from 0.068 to 0.107. So, all items are constructively valid. All critical ratio values are between 10.342 and 13.880, and all probability values are 0.000. These values are well above 2.96. Therefore, all relationships between the indicators and variables are positive and significant.
Table 2 exhibits that the sample co-variance values for all items range between 1.570 for the green goals (X2) and 1.960 for the green performance appraisal (Y1.3). All values are higher than the values below and to the left of them. For example, X4 = 1.758 is higher than all values in the lower column (0.935, 0.966). So, all items are valid in discriminant.
Table 3 shows that all factor loading values vary from 0.6911 to 0.818 and are more than 0.7. Therefore, all items are convergently valid. The average extracted values ran from 0.4065 to 0.4626 (<0.5). These values are less than 0.5 with composite reliability values of more than 0.6, so they are still adequate for the convergent validity (Fornell and Larcker 1981; Lam 2012). While the Cronbach alpha values vary from 0.833 to 0.883, the composite reliability values range from 0.732 to 0.811. Therefore, all items are reliable as they are higher than 0.7.

4.2. Goodness of Fit and Structural Equation Modeling

The GoF analysis results confirm that the model of this study fits the SEM hypothesis testing procedure. The CMIN value is 93.842, and the degrees of freedom (df) value is 62; as a result, the CMIN/df value is 1.514 (<2). The following are the values of RMSEA: 0.045 (<0.08), IFI: 0.982 (>0.9), NFI: 0.949 (>0.9), and GFI: 0.946 (>0.9).
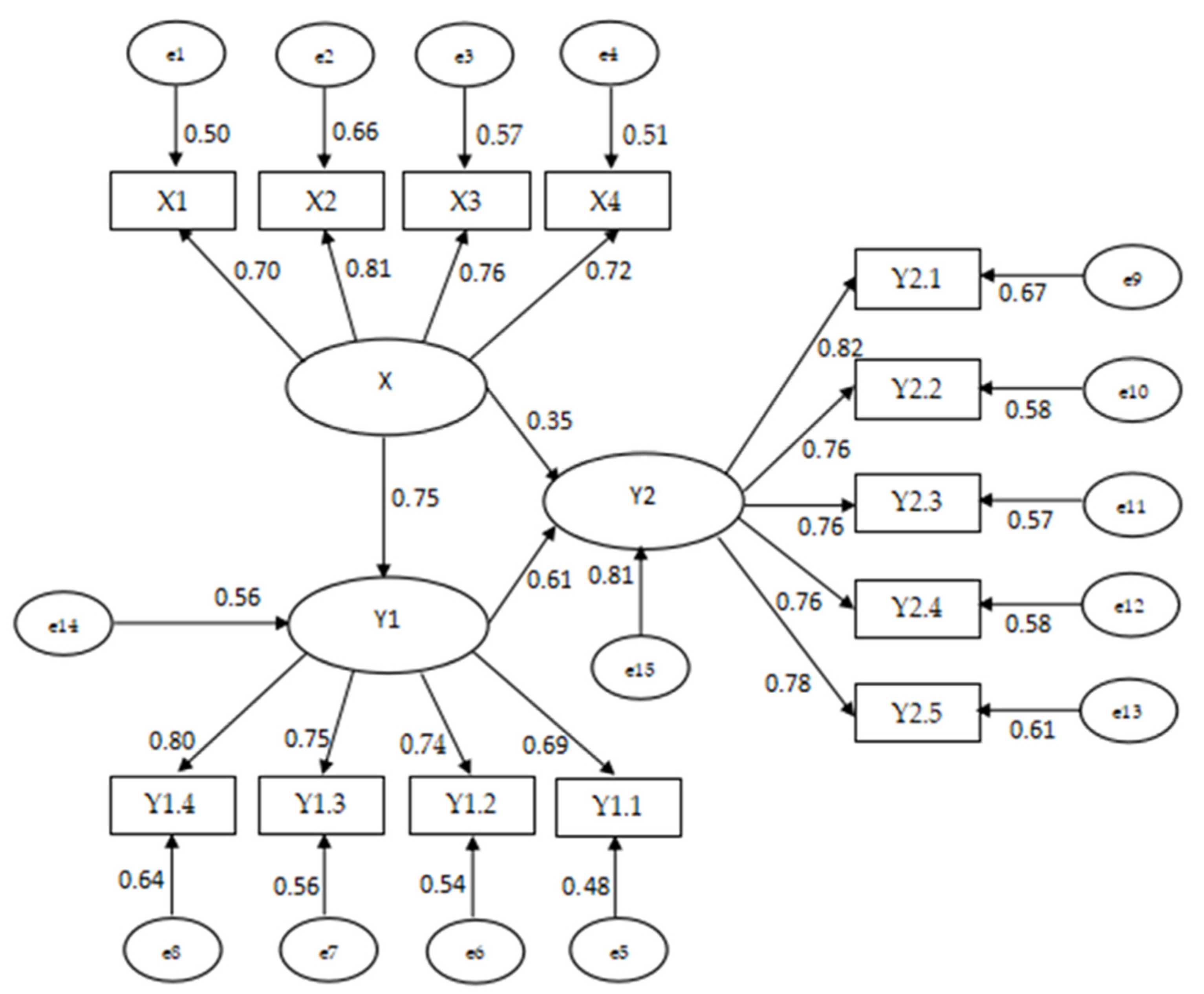
Figure 2 shows the SEM results from AMOS. The model includes 252 recursive samples. It shows the relationship between the three variables and between the indicators and the variables. GTL, the independent variable, positively affects the two dependent variables (GHRM practices and EGB). There are four indicators of GTL (X1, X2, X3, and X4), four of GHRM practices (Y1.1, Y1.2, Y1.3, and Y1.4), and five of EGB (Y2.1, Y2.2, Y2.3, and Y2.4).

4.3. Hypotheses

Based on Table 4, all probability values of the four hypotheses are 0.000. All relationship values between variables range from 0.35 to 0.75. Thus, all relationships between GTL, GHRM practices, and EGB are positive and significant. GHRM practices mediate the relationship between GTL and EGB. However, there is no full mediation from GHRM practices because of the relationship between GTL and EGB.

5. Discussion

The results of this study show that SME customers, who are prospective employees, are aware of and expect the implementation of GTL, GHRM practices, and EGB in SMEs. Their awareness and expectations prove the need to implement GTL, GHRM practices, and EGB practices in SMEs to be sustainable. They realize the roles of SME leaders, managers, and employees in arising sustainability.
The SME customers support that SME leaders should have green plans, goals, actions, and ideas. They encourage SME managers to conduct green recruitment and selection, training and development, performance appraisal, and empowerment. They also support the SME employees to apply green printing activities, items, materials, equipment, and lighting.
Based on their perspectives, SME leaders influence their managers and employees through green plans, goals, actions, and ideas. SME human resource managers affect their employees through green recruitment and selection, training and development, performance appraisal, and empowerment. In general, the leaders conduct human resource management practices. Therefore, they need to implement GTL and GHRM practices to create EGB.
The better the implementation of GTL or GHRM practices from leaders and managers in SMEs, the better the EGB from SME employees. Of course, SMEs cannot escape the awareness and expectations of customers towards GTL, GHRM practices, and EGB. The indirect relationship between GTL and EGB mediated by GHRM practices is stronger than the relationship between GTL and EGB. All accepted hypotheses indicate that the framework of this study was consistent with the frameworks of previous studies. The need to implement the three variables in large companies and SMEs are balanced.

5.1. Theoretical Implications

GTL positively affects EGB. Employees will not be able to have green behavior independently. They need directions from green transformational leaders. As the leaders facilitate these things, employees will raise their green behavior. Thus, the leaders and the employees will innovate and create value for businesses. They can also support a balance between environmental, social, and financial aspects of business, called sustainability, which would save profit, the planet, and people. The positive relationship between GTL and EGB supports the study of Al-Swidi et al. (2021), which confirms the positive relationship between green leadership behavior and green employee behavior. However, the positive relationship between GTL and EGB does not support the previous study of Jian et al. (2020), which explains that GTL and GHRM practices indirectly determine EGB.
GTL positively affects GHRM practices. The leaders’ green plans, goals, actions, and ideas determine green recruitment and selection, training and development, performance appraisal, and empowerment from the human resource managers. This positive relationship is consistent with the studies of Singh et al. (2020); Arshad (2021); and Huelgas and Arellano (2021) that explain the positive relationship between GTL and GHRM practices. HRM managers need directions and guidance from the leaders embodied in green plans, goals, actions, and ideas. On the contrary, the relationship disproves the studies of Awan et al. (2022) and Chen and Yan (2022) that explain that GTL is not a predictor of GHRM practices.
GHRM practices positively affect EGB. Green recruitment and selection, training and development, performance appraisal, and empowerment determine the employees’ behavior in printing activities, selecting compostable items, recyclable materials, reusable utensils, and environmental approaches. This positive relationship is in line with the previous studies of Jian et al. (2020), Karmoker et al. (2021), Harasudha and Subramanian (2020), Ha and Uyen (2021), Gill et al. (2021), Fawehinmi et al. (2020), Dumont et al. (2017), Ercantan and Eyupoglu (2020) that explain GHRM practices are positively related to EGB.
The relationship between GTL, GHRM practices, and EGB found in this study is in line with the previous study of Omarova and Jo (2022). They confirm that GHRM practices moderate the positive relationship between environmental-transformational leadership and employee pro-environmental behavior.
In conclusion, the green concept in this study starts from the leaders to the managers and then to the employees. This process is generally in line with the general management concept within companies. That managers are the link between leaders and employees is shown by the mediating role of GHRM practices in the positive relationship between GTL and EGB.

5.2. Practical Implications

SME customers, as external stakeholders, realize the need of implementing GTL, GHRM practices, and EGB. They expect that when business leaders can implement GTL, GHRM practices will increase EGB. SMEs in Budapest respond to the customers’ expectations. As not all SMEs employ formal human resources management practices, SME leaders may conduct green recruitment and selection, training and development, performance appraisal, and empowerment to create green behavior of SME employees.
SME leaders in Budapest understand the demand for green plans, goals, actions, and ideas. SME human resource managers in the city also agree on the importance of recruitment and selection, training and development, performance appraisal, and green empowerment. The leaders and managers support their employees with the implementation of green printing, compostable items, recyclable materials, reusable equipment, and lighting. The leaders, managers, and employees created long-term relationships with their customers. GTL, GHRM practices, and EGB in the SMEs can attract and retain the customers.
Therefore, GTL, GHRM practices, and EGB can prevent environmental damages and the negative impacts of consumerism on the environment. All three can also support the creation of products with trusted green performance, product innovation, and corporate social responsibility to improve business strategies and values.
The importance of GTL, GHRM practices, and EGB for innovation and product development in Hungary is aligned with the studies of Katona (2022) and Kindermann et al. (2022) that explained that SMEs dominate product innovation and development. The importance of these three for the Hungarian economy found here is consistent with the explanation of Oláh et al. (2019); Virág (n.d.); Hausmann and Szalai (2021); Bajnóczki et al. (2021) in their studies which define SMEs as a significant sector.

6. Conclusions

The results of this study prove the positive relationships between GTL, GHRM practices, and EGB. By adopting GTL, GHRM practices, and EGB, SME leaders, managers, and employees realize sustainability in their enterprises which is a challenge in today’s businesses. This study reveals that, from customers’ perspectives, SMEs should consider solving green problems by conducting GTL, GHRM practices, and EGB. They are great values of customer-oriented productions and work processes in SMEs.
This study finds that between GTL, GHRM practices, and EGB in SMEs is that direct and indirect positive relationships. GTL, directly and indirectly, affects EGB in SMEs. When SME leaders apply their leadership with a green approach, this will determine GHRM practices and EGB.
When the leaders implement green plans, goals, actions, and ideas, GHRM practices and EGB in SMEs will exist. Furthermore, EGB in SMEs need green recruitment and selection, training and development, performance appraisal, and empowerment applied by SME managers. The three variables are not only for large companies but also for SMEs.
The results of this study contribute to the development and inclusion of sustainability in SMEs. Future study can develop research by collecting data in different locations of SMEs. They can also develop a comparative study between SMEs and large businesses by adopting the framework of this study.

Limitations

The data collection period in this study is just about one month. Respondents’ assessment is for SMEs in a city in Hungary. Future research can collect more data in a longer period and not only for assessing GTL, GHRM practices, and EGB in SMEs in a single location. The questionnaire is an English version, so only those respondents who understand English could participate. Only three variables are studied in the model without moderation. Future studies can test the framework of this study by adding moderating variables.
This study analyzes the causal relationships between GTL, GHRM practices, and EGB from SME customers who were prospective employees. Future studies can develop combined questionnaire items for employees in the contexts of SMEs and the environment.

Author Contributions

Conceptualization, A.C., D.N., J.P., B.P. and K.S.; methodology, A.C. and J.P.; software, A.C.; validation, A.C.; formal analysis, A.C.; investigation, A.C.; resources, A.C.; data curation, A.C.; writing—original draft preparation, A.C.; writing—review and editing, A.C., D.N., J.P., B.P. and K.S.; visualization, A.C.; supervision, J.P. and K.S. All authors have read and agreed to the published version of the manuscript.

Funding

This research received no external funding.

Institutional Review Board Statement

Ethical review and approval were waived for this study since the authors used anonymous data that were not traceable to individuals at any time.

Informed Consent Statement

This was waived for this study because the authors used anonymous data that were not traceable to individuals at any time.

Conflicts of Interest

The authors declare no conflict of interest.

References

  1. Adriana, Luh Titisari Dewi, Keke Tamara Fahira, Maulida Nailissa’adah, and Hikmah El Maula. 2020. A Review the important of green human resource management practices toward employee green behaviour in organization. Journal of International Conference Proceedings 3: 124–35. [Google Scholar] [CrossRef]
  2. Ahmad, Shoeb. 2015. Green human resource management: Policies and practices. Cogent Business & Management 2: 1030817. [Google Scholar] [CrossRef]
  3. Ahmed, Mushtaq, Muhammad Shujaat Mubarik, and Muhammad Shahbaz. 2021. Factors affecting the outcome of corporate sustainabiity policy: A review paper. Environmental Science and Pollution Research 28: 10335–56. [Google Scholar] [CrossRef]
  4. Alamsyah, Doni Purnama, Norfaridatul Akmaliah Othman, Muhammed Hariri Bakri, Yogi Udjaja, and Rudy Aryanto. 2021. Green awareness through environmental knowledge and perceived quality. Management Science Letters 11: 271–80. [Google Scholar] [CrossRef]
  5. Alsawafi, Ahmed, Fred Lemke, and Ying Yang. 2021. The impacts of internal quality management relations on the triple bottom line: A dynamic capability perspective. International Journal of Production Economics 232: 107927. [Google Scholar] [CrossRef]
  6. Alshaabani, Ayman, Farheen Naz, and Ildikó Rudnák. 2021. Impact of green human resources practices on green work engagement in the renewable energy departments. International Business Research 14: 44–58. [Google Scholar] [CrossRef]
  7. Al-Swidi, Abdullah Kaid, Hamid Mahmood Gelaidan, and Redhwan Mohammed Saleh. 2021. The joint impact of green human resource management, leadership and organizational culture on employees’ green behaviour and organisational environmental performance. Journal of Cleaner Production 316: 128112. [Google Scholar] [CrossRef]
  8. Andersen, Jim. 2021. A relational natural-resource-based view on product innovation: The influence of green product innovation and green suppliers on differentiation advantage in small manufacturing firms. Technovation 104: 102254. [Google Scholar] [CrossRef]
  9. Arshad, Maria. 2021. The impact of green transformational leadership on environmental performance: Mediating effect of green human resource management and green innovation. Journal of Organization and Business 1: 114–29. [Google Scholar]
  10. Arulrajah, A. Anton, H. H. D. N. P. Opatha, and N. N. J. Nawaratne. 2015. Green human resource management practices: A review. Sri Lankan Journal of Human Resource Management 5: 1–16. [Google Scholar] [CrossRef]
  11. Awan, Fazal Hussain, Liu Dunnan, Khalid Jamil, and Rana Faizan Gul. 2022. Stimulating environmental performance via green human resource management, green transformational leadership, and green innovation: A mediation-moderation model. Environmental Science and Pollution Research, 1–19. [Google Scholar] [CrossRef] [PubMed]
  12. Bajnóczki, Csongor, Zoltán Illés, and Péter Szendrő. 2021. The perspective of SMEs on the challenges of the circular economy in the 21st century Hungary. Progress in Agricultural Engineering Sciences 17: 101–32. [Google Scholar] [CrossRef]
  13. Chen, Tan Booi, and Lau Teck Chai. 2010. Attitude towards the environment and green products: Consumers’ perspective. Management Science and Engineering 4: 27–39. [Google Scholar]
  14. Chen, Yu-Shan, and Ching-Hsun Chang. 2013. The determinants of green product development performance: Green dynamic capabilities, green transformational leadership, and green creativity. Journal of Organizational Behavior 34: 176–94. [Google Scholar] [CrossRef]
  15. Chen, Yu-Shan, and Xin Yan. 2022. The small and medium enterprises’ green human resource management and green transformational leadership: A sustainable moderated-mediation practice. Corporate Social Responsibility and Environmental Management, 1–16. [Google Scholar] [CrossRef]
  16. Costa, Joana, and José Pedro Fonseca. 2022. The impact of corporate social responsibility and innovative strategies on financial performance. Risks 10: 103. [Google Scholar] [CrossRef]
  17. Darvishmotevali, Mahlagha, and Levent Altinay. 2022. Green HRM, environmental awareness and green behaviors: The moderating role of servant leadership. Tourism Management 88: 104401. [Google Scholar] [CrossRef]
  18. Doszhanov, Aibek, and Zainal Ariffin Ahmad. 2015. Customers’ intention to use green products: The impact of green brand dimensions and green perceived value. SHS Web of Conferences 18: 1–15. [Google Scholar] [CrossRef]
  19. Du, Yuechao, and Minghao Yan. 2022. Green transformational leadership and employees’ taking charge behavior: The mediating role of personal initiative and the moderating role of green organizational identity. International Journal of Environmental Research and Public Health 19: 4172. [Google Scholar] [CrossRef]
  20. Dumont, Jenny, Jie Shen, and Xin Deng. 2017. Effects of green HRM practices on employee workplace green behavior: The role of psychological green climate and employee values. Human Resource Management 56: 613–27. [Google Scholar] [CrossRef]
  21. Dyllick, Thomas, and Kai Hockerts. 2002. Beyond the business case for corporate sustainability. Business Strategy and the Environment 11: 130–41. [Google Scholar] [CrossRef]
  22. Elkington, John. 2004. Enter the Triple Bottom Line. In The Triple Bottom Line: Does It all Add Up? Assessing the Sustainability of Business and CSR. Edited by A. Henriques and J. Richardson. London: Routledge, pp. 1–16. [Google Scholar] [CrossRef]
  23. Elkington, John. 2018. 25 years ago I coined the phrase “Triple Bottom Line.” Here’s why it’s time to rethink it’. Harvard Business Review. June 25. Available online: https://hbr.org/2018/06/25-years-ago-i-coined-the-phrase-triple-bottom-line-heres-why-im-giving-up-on-it (accessed on 14 November 2022).
  24. Ercantan, Ozlem, and Serife Eyupoglu. 2020. How do green human resource management practices encourage employees to engage in green behavior? Perceptions of university students as prospective employees. Sustainability 14: 1718. [Google Scholar] [CrossRef]
  25. Fadel, Khariya Abed, Asmaa Abdul Wahid Malik, and Ali Abd Al Razaq Alaboody. 2021. The role of abusive supervision in reducing the employee green behavior: A survey of the opinions of sample of affiliates in the technical institute of AL-Diwaniyah. Webology 18: 1169–85. [Google Scholar] [CrossRef]
  26. Faeq, Dalia Khalid, Daroon Faraidoon Abdulla, Bayad Jamal Ali, and Shwana Mohammed Akoi. 2021. Impact of job resources on employee green behavior. An empirical investigation among employees work in the tourist companies in Erbil- City Kurdistan Region of Iraq. The Scientific Journal of Cihan University—Sulaimaniya 5: 115–26. [Google Scholar] [CrossRef]
  27. Fahad, Shah, Faisal Alnori, Fang Su, and Jian Deng. 2022. Adoption of green innovation practices in SMEs sector: Evidence from an emerging economy. Economic Research. Ekonomska Istraživanja 35: 5486–501. [Google Scholar] [CrossRef]
  28. Farrukh, Amma, Sanjay Mathrani, and Aymen Sajjad. 2021. A natural resource and institutional theory-based view of green-lean-six sigma drivers 1 for environmental management. Business Strategy and the Environment 31: 1074–90. [Google Scholar] [CrossRef]
  29. Fata, Zainabu P., Joanna Claire Miranda, and Mohammad Saeed. 2022. Exploring role of organizational culture and leadership in customer relationship management in banks. Splint International Journal of Professionals 9: 81–87. [Google Scholar] [CrossRef]
  30. Fawehinmi, Olawole, M. Y. Yusliza, Wan Zulkifli Wan Kasim, Zaleha Mohamad, and Muhammad Abi Sofian Abdul Halim. 2020. Exploring the Interplay of Green Human Resource Management, Employee Green Behavior, and Personal Moral Norms. New York: SAGE Open, pp. 1–18. [Google Scholar] [CrossRef]
  31. Fornell, Claes, and David F. Larcker. 1981. Evaluating structural equation models with unobservable variables and measurement error. Journal of Marketing Research 18: 39–50. [Google Scholar] [CrossRef]
  32. Gilal, Faheem Gul, Zubaida Ashraf, Naeem Gul Gilal, Rukhsana Gul Gilal, and Nisar Ahmed Channa. 2019. Promoting environmental performance through green human resource management practices in higher education institutions: A moderated mediation model. Corporate Social Responsibility and Environemntal Management 26: 1579–90. [Google Scholar] [CrossRef]
  33. Gill, Atif Ali, Balqees Ahmad, and Shiza Kazmi. 2021. The effect of green human resource management on environmental performance: The mediating role of employee eco-friendly behavior. Management Science Letters 11: 1725–36. [Google Scholar] [CrossRef]
  34. Ha, Nguyen Thi Le, and Pham Truong Bao Uyen. 2021. The effect of green human resource management on employee green behaviors in a developing country, Vietnam. International Journal of Information, Business and Management 13: 107–24. [Google Scholar]
  35. Haldorai, Kavitha, Woo Gon Kim, and R. L. Fernando Garcia. 2022. Top management green commitment and green intellectual capital as enablers of hotel environmental performance: The mediating role of green human resource management. Tourism Management 88: 1–11. [Google Scholar] [CrossRef]
  36. Harasudha, H. Hari, and S. Subramanian. 2020. Exploring the relationship between green human resource management on employee green behavior: A mediation analysis. Studies in Indian Place Names (UGC CARE Journal) 40: 337–44. [Google Scholar]
  37. Hart, Stuart L. 1995. A Natural-Resource-Based View of the firm. Academy of Management Review 20: 986–1014. [Google Scholar] [CrossRef]
  38. Hausmann, Róbert, and Ákos Szalai. 2021. New measurement system for sustainability—MNB’s sustainability report and index. Prosperitas 8: 1–16. [Google Scholar] [CrossRef]
  39. Hawn, Olga, Aaron K. Chatterji, and Will Mitchell. 2018. Do investors actually value sustainability? New evidence from investor reactions to the Dow Jones Sustainability Index (DJSI). Strategic Management Journal 39: 949–76. [Google Scholar] [CrossRef]
  40. Heim, Irina, Anne Crowley Vigneau, and Yelena Kalyuzhnova. 2022. Environmental and socio-economic policies in oil and gas regions: Triple bottom line approach. Regional Studies 57: 1–16. [Google Scholar] [CrossRef]
  41. Hirunyava, Ladda, Apinya Wisessing, Sittichai Thammasane, and Duangsamorn Rungsawanpho. 2022. Performance analysis of the small and medium enterprises based on green product management. Journal of Positive School Psychology 6: 3004–18. [Google Scholar]
  42. Huelgas, Suzie M., and Victor A. Arellano. 2021. Green transformational leadership, green human resource management and green innovation: Key to environmental performance of selected port management offices of Philippine ports authority. IOER International Multidisciplinary Research Journal 3: 48–58. [Google Scholar] [CrossRef]
  43. Irani, Foad, and Hasan Kilic. 2022. An assessment of implementing green HRM practices on environmental performance: The moderating role of green process innovation. Journal of Global Hospitality and Tourism 1: 16–30. [Google Scholar] [CrossRef]
  44. Irimiás, Anna, and Ariel Mitev. 2020. Change management, digital maturity, and green development: Are successful firms leveraging on sustainability? Sustainability 12: 4019. [Google Scholar] [CrossRef]
  45. Isil, Ozgur, and Michael T. Hernke. 2017. The triple bottom line: A critical review from a transdisciplinary perspective. Business Strategy and the Environment 26: 1235–51. [Google Scholar] [CrossRef]
  46. Islam, Md Asadul, Abigail Hunt, Amer Hamzah Jantan, Haslinda Hashim, and Choo Wei Chong. 2019. Exploring challenges and solutions in applying green human resource management practices for the sustainable workplace in the ready-made garment industry in Bangladesh. Business Strategy and Development 3: 332–43. [Google Scholar] [CrossRef]
  47. Jamal, Tauseef, Muhammad Zahid, José Moleiro Martins, Mário Nuno Mata, Haseeb Ur Rahman, and Pedro Neves Mata. 2021. Perceived green human resource management practices and corporate sustainability: Multigroup analysis and major industries perspectives. Sustainability 13: 3045. [Google Scholar] [CrossRef]
  48. Jian, Peng, Yin Kui, Hou Nan, Zou Yanchun, and Nie Qi. 2020. How to facilitate employee green behavior: The joint role of green transformational leadership and green human resource management practice. Acta Psychologica Sinica 52: 1105–20. [Google Scholar] [CrossRef]
  49. Karatepe, Osman M., Hungchen Hsieh, and Mohammed Aboramadan. 2022. The effects of green human resource management and perceived organizational support for the environment on green and non-green hotel employee outcomes. International Journal of Hospitality Management 103: 103202. [Google Scholar] [CrossRef]
  50. Karmoker, Kajol, Farhana Amin Kona, Amanta Hasnat Oyshi, and Kazi Snigdha Yasmin. 2021. Effects of green human resource management on employee green behavior: Moderating role of employee environment knowledge. International Journal of Sustainable Development & World Policy 10: 64–80. [Google Scholar] [CrossRef]
  51. Katona, Ádám. 2022. Customer involvement—A systematic literature review of the definition, measurement, and innovation outcomes. Vevői Bevonás—Definíciók, Mérési Módszerek És Innovációs Eredmények Szisztematikus Szakirodalmi Áttekintése. Vezetéstudomány/Budapest Management Review LIII: 59–69. [Google Scholar] [CrossRef]
  52. Katz, Ian M., Rachel S. Rauvola, Cort W. Rudolph, and Hannes Zacher. 2022. Employee green behavior: A meta-analysis. Corporate Social Responsibilty and Environmental Management, 1–12. [Google Scholar] [CrossRef]
  53. Khan, Ali Nawaz, and Naseer Abbas Khan. 2022. The nexuses between transformational leadership and employee green organizational citizenship behaviour: Role of environmental attitude and green dedication. Business Strategy and the Enviroment 31: 921–33. [Google Scholar] [CrossRef]
  54. Kindermann, Bastian, Corinna Vera Hedwig Schmidt, Oliver Burger, and Tessa Christina Flatten. 2022. Why teams matter in customer involvement—The moderating effects of team social cohesion and team autonomy. Journal of Business Research 146: 70–83. [Google Scholar] [CrossRef]
  55. Kücükgül, Egemen, Pontus Cerin, and Yang Liu. 2022. Enhancing the value of corporate sustainability: An approach for aligning multiple SDGs guides on reporting. Journal of Cleaner Production 333: 130005. [Google Scholar] [CrossRef]
  56. Lam, Long W. 2012. Impact of competitiveness on salespeople’s commitment and performance. Journal of Business Research 65: 1328–34. [Google Scholar] [CrossRef]
  57. Lee, Stacy H. N., Jung Ha-Brookshire, and Pui-Sze Chow. 2018. The moral responsibility of corporate sustainability as perceived by fashion retail employees: A USA-China cross-cultural comparison study. Bussiness Strategy and the Environement 27: 1462–75. [Google Scholar] [CrossRef]
  58. Li, Wenjing, Tahseen Ahmed Bhutto, Wang Xuhui, Qamaruddin Maitlo, Abaid Ullah Zafar, and Niaz Ahmed Bhutto. 2020. Unlocking employees’ green creativity: The effects of green transformational leadership, green intrinsic, and extrinsic motivation. Journal of Cleaner Production 255: 120229. [Google Scholar] [CrossRef]
  59. Liute, Adriana, and Maria Rosa De Giacomo. 2022. The environmental performance of UK-based B Corp companies: An analysis based on the triple bottom line approach. Business Strategy and the Environment 31: 810–27. [Google Scholar] [CrossRef]
  60. Lozano, Rodrigo, Angela Carpenter, and Donald Huisingh. 2015. A review of ‘theories of the firm’ and their contributions to corporate sustainability. Journal of Cleaner Production 106: 430–42. [Google Scholar] [CrossRef]
  61. Malik, Saqib Yaqoob, Yukun Cao, Yasir Hayat Mughal, Ghulam Muhammad Kundi, Mudassir Hayat Mughal, and T. Ramayah. 2020. Pathways towards sustainability in organizations: Empirical evidence on the role of green human resource management practices and green intellectual capital. Sustainability 12: 3228. [Google Scholar] [CrossRef]
  62. Mansoor, Adil, Muhammad Farrukh, Jong-Keon Lee, and Sarwat Jahan. 2021. Stimulation of employees’ green creativity through green transformational leadership and management initiatives. Sustainability 13: 7844. [Google Scholar] [CrossRef]
  63. Masri, Hiba A., and Ayham A. M. Jaaron. 2017. Assessing green human resources management practices in Palestinian manufacturing context: An empirical study. Journal of Cleaner Production 143: 474–89. [Google Scholar] [CrossRef]
  64. Masud, Md. Abdul Kaium, Md. Harun Ur Rashid, Tehmina Khan, Seong Mi Bae, and Jong Dae Kim. 2019. Organizational strategy and corporate social responsibility: The mediating effect of triple bottom line. International Journal of Environmental Research and Public Health 16: 4559. [Google Scholar] [CrossRef] [PubMed]
  65. Medve, Flóra. 2022. Population of Hungary 1989–2022. Available online: https://www.statista.com/statistics/1127762/population-of-hungary/ (accessed on 9 September 2022).
  66. Meyers, Maria Christina, and Demi Rutjens. 2022. Applying a positive (organizational) psychology lens to the study of employee green behavior: A systematic review and research agenda. Frontiers in Psychology 13: 840796. [Google Scholar] [CrossRef]
  67. Mousa, Sharifa K., and Mohammed Othman. 2020. The impact of green human resource management practices on sustainable performance in healthcare organisations: A conceptual framework. Journal of Cleaner Production 243: 118595. [Google Scholar] [CrossRef]
  68. Muster, Viola, and Ulf Schrader. 2011. Green work-life balance: A new perspective for green HRM. Zeitschrift für Personalforschung, German Journal of Research in Human Resource Management 25: 140–56. [Google Scholar] [CrossRef]
  69. Mwita, Kelvin M. 2019. Conceptual review of green human resource management practices. East African Journal of Social and Applied Sciences 1: 13–20. [Google Scholar]
  70. Nunhes, Thaís Vieira, Enzo Viviani Garcia, Maximilian Espuny, Vitor Homem de Mello Santos, Raine Isaksson, and Otávio José de Oliveira. 2021. Where to go with corporate sustainability? Opening paths for sustainable businesses through the collaboration between universities, governments, and organizations. Sustainability 13: 1429. [Google Scholar] [CrossRef]
  71. Nwoba, Arinze Christian, Nathaniel Boso, and Matthew J. Robson. 2021. Corporate sustainability strategies in institutional adversity: Antecedent, outcome, and contingency effects. Business Strategy and the Environment 30: 787–807. [Google Scholar] [CrossRef]
  72. Oláh, Judit, Sándor Kovács, Zuzana Virglerova, Zoltán Lakner, Maria Kovacova, and József Popp. 2019. Analysis and comparison of economic and financial risk sources in SMEs of the Visegrad group and Serbia. Sustainability 11: 1853. [Google Scholar] [CrossRef]
  73. Omarova, Laura, and Sung-Jun Jo. 2022. Employee pro-environmental behavior: The impact of environmental transformational leadership and GHRM. Sustainability 14: 2046. [Google Scholar] [CrossRef]
  74. Ones, Deniz S., and Stephan Dilchert. 2012. Chapter Five, Employee Green Behaviors. In Managing Human Resources for Environmental Sustainability, 1st ed. Edited by Susan E. Jackson, Deniz S. Ones and Stephan Dilchert. New York: Jossey-Bass, pp. 85–116. [Google Scholar]
  75. Özgül, Burcu, and Cemal Zehir. 2021. The influence of green-transformational leadership style on corporate sustainability: A systematic literature review and propositions for future studies. Istanbul Management Journal 90: 1–30. [Google Scholar] [CrossRef]
  76. Pham, Nhat Tan, Zuzana Tučková, and Charbel José Chiappetta Jabbour. 2019. Greening the hospitality industry: How do green human resource management practices influence organizational citizenship behavior in hotels? A mixed-methods study. Tourism Management 72: 386–99. [Google Scholar] [CrossRef]
  77. Rehman, Shafique Ur, Stefano Bresciani Dorra Yahiaoui, and Elisa Giacosa. 2022. Environmental sustainability orientation and corporate social responsibility influence on environmental performance of small and medium enterprises: The mediating effect of green capability. Corporate Social Responsibility and Environmental Management 29: 1954–67. [Google Scholar] [CrossRef]
  78. Renwick, Douglas W. S., Tom Redman, and Stuart Maguire. 2012. Green Human Resource Management: A Review and Research Agenda. International Journal of Management Reviews 15: 1–14. [Google Scholar] [CrossRef]
  79. Rezaee, Zabihollah. 2017. Corporate sustainability: Theoretical and integrated strategic imperative and pragmatic approach. The Journal of Business Inquiry 16: 60–87. Available online: http:www.uvu.edu/woodbury/jbi/articles (accessed on 14 July 2022).
  80. Robertson, Jennifer L., and Julian Barling. 2013. Greening organizations through leaders’ influence on employees’ pro-environmental behaviors. Journal of Organizational Behavior 34: 176–94. [Google Scholar] [CrossRef]
  81. Saeed, Bilal Bin, Bilal Afsar, Shakir Hafeez, Imran Khan, Muhammad Tahir, and Muhammad Asim Afridi. 2019. Promoting employee’s pro environmental behavior through green human resource management practices. Corporate Social Responsibility and Environmental Management 26: 424–38. [Google Scholar] [CrossRef]
  82. Satar, Mir Shahid. 2022. Sustainability and triple bottom line planning in social enterprises: Developing the guidelines for social entrepreneurs. International Journal of Sustainable Development and Planning 17: 813–21. [Google Scholar] [CrossRef]
  83. Shampa, Tanima Saha, and Md. Imrul Jobaid. 2017. Factors influencing customers’ expectation towards green banking practices in Bangladesh. European Journal of Business and Management 9: 140–52. [Google Scholar]
  84. Singh, Sanjay Kumar, Manlio Del Giudice, Roberto Chierici, and Domenico Graziano. 2020. Green innovation and environmental performance: The role of green transformational leadership and green human resource management. Technological Forecasting & Social Change 150: 119762. [Google Scholar] [CrossRef]
  85. Sridhar, Kaushik, and Grant Jones. 2013. The three fundamental criticisms of the Triple Bottom Line approach: An empirical study to link sustainability reports in companies based in the Asia-Pacific region and TBL shortcomings. Asian Journal of Business Ethics 2: 91–111. [Google Scholar] [CrossRef]
  86. Sun, Xiaomei, Ahmad El Askary, Muhammad Saeed Meo, Noor ul Ain Zafar, and Babar Hussain. 2022. Green transformational leadership and environmental performance in small and medium enterprises. Economic Research-Ekonomska Istraživanja 35: 5273–91. [Google Scholar] [CrossRef]
  87. Tang, Guiyao, Yang Chen, Yuan Jiang, Pascal Paille, and Jin Jia. 2018. Green human resource management practices: Scale development and validity. Asia Pacifific Journal of Human Resources 56: 31–55. [Google Scholar] [CrossRef]
  88. Tanova, Cem, and Steven W. Bayighomog. 2022. Green human resource management in service industries: The construct, antecedents, consequences, and outlook. The Service Industries Journal 42: 412–52. [Google Scholar] [CrossRef]
  89. Tosun, Cevat, M. Omar Parvez, Yasin Bilim, and Larry Yu. 2022. Effects of green transformational leadership on green performance of employees via the mediating role of corporate social responsibility: Reflection from North Cyprus. International Journal of Hospitality Management 103: 103218. [Google Scholar] [CrossRef]
  90. Tseng, Ming-Lang Tseng, Chia-Hao Chang, Chun-Wei Remen Lin, Kuo-Jui Wu, Qing Chen, Li Xia, and Bing Xue. 2020. Future trends and guidance for the triple bottom line and sustainability: A data driven bibliometric analysis. Environmental Science and Pollution Research 27: 33543–67. [Google Scholar] [CrossRef]
  91. Virág, Annamária. n.d. Eco-Innovation Observatory Country Profile 2018–2019: Hungary. Luxembourg City: The Publications Office of the European Union, pp. 1–24.
  92. Wu, Kuo-Jui, Yafang Zhu, Ming-Lang Tseng, Ming K. Lim, and Bing Xue. 2018. Developing a hierarchical structure of the co-benefits of the triple bottom line under uncertainty. Journal of Cleaner Production 195: 908–18. [Google Scholar] [CrossRef]
  93. Yu, Feifei, Dong Jiang, and Teng Wang. 2022. The impact of green innovation on manufacturing small and medium enterprises corporate social responsibility fulfillment: The moderating role of regional environmental regulation. Corporate Social Responsibility and Environmental Management 29: 712–27. [Google Scholar] [CrossRef]
  94. Yusoff, Yusmani Mohd, Mehran Nejati, Daisy Mui Hung Kee, and Azlan Amran. 2018. Linking green human resource management practices to environmental performance in hotel industry. Global Business Review 21: 1–18. [Google Scholar] [CrossRef]
  95. Zhang, Qi, Lawrence Loh, and Weiwei Wu. 2020. How do environmental, social and governance initiatives affect innovative performance for corporate sustainability? Sustainability 12: 3380. [Google Scholar] [CrossRef]
Figure 1. Research framework.
Figure 1. Research framework.
Admsci 13 00005 g001
Figure 2. Structural model.
Figure 2. Structural model.
Admsci 13 00005 g002
Table 1. Standardized regression weights.
Table 1. Standardized regression weights.
CorrelationEstimateStandard ErrorCritical RatioProbability
Green transformational
leadership
Green plans1.000
Green goals1.0580.09311.3670.000
Green actions1.0250.09410.8770.000
Green ideas0.9850.09510.3420.000
Green human resource
management practices
Green recruitment and
selection
1.000
Green training and
development
1.0740.10110.6200.000
Green performance appraisal1.1250.10710.4900.000
Green empowerment1.1160.10011.1470.000
Employee green behaviorGreen items1.000
Green printing activities0.9610.07113.4910.000
Green materials0.9470.07113.3330.000
Green utensils0.9620.07213.3540.000
Green lighting0.9500.06813.8800.000
Table 2. Sample covariance matrix.
Table 2. Sample covariance matrix.
ItemsItems
X4X3X2X1Y2.5Y2.4Y2.3Y2.2Y2.1Y1.4Y1.3Y1.2Y1.1
X41.758
X30.9351.700
X20.9661.0051.570
X10.9130.9500.9811.865
Y2.50.7700.8020.8280.7821.683
Y2.40.7800.8120.8380.7921.0381.810
Y2.30.7680.7990.8250.7801.0221.0351.775
Y2.20.7790.8110.8370.7911.0371.0501.0341.817
Y2.10.8110.8440.8720.8241.0801.0931.0761.0921.697
Y1.40.7370.7670.7920.7490.9110.9220.9080.9220.9591.670
Y1.30.7430.7740.7990.7550.9190.9300.9160.9290.9671.0831.960
Y1.20.7090.7380.7620.7200.8770.8870.8740.8870.9231.0341.0421.833
Y1.10.6610.6880.7100.6710.8160.8260.8140.8260.8590.9630.9710.9261.804
Table 3. Composite reliability, average extracted variance, and Cronbach alpha.
Table 3. Composite reliability, average extracted variance, and Cronbach alpha.
CorrelationFactor
Loading
Composite
Reliability
Average Extracted
Variance
Cronbach
Alpha
VariableIndicator
Green transformational leadershipGreen plans0.7050.7450.42310.836
Green goals0.813
Green actions0.757
Green ideas0.691
Green human resource management practicesGreen recruitment and selection0.7370.7320.40650.833
Green training and development0.747
Green performance appraisal0.802
Green empowerment0.818
Employee green behaviorGreen printing activities0.7600.8110.46260.883
Green recruitment and selection0.758
Green training and development0.762
Green performance appraisal0.781
Green lighting0.780
Table 4. Hypotheses.
Table 4. Hypotheses.
Direct Effect and ValueIndirect Effect and ValueTotal EffectCritical RatioProbabilityDecision
Hypothesis 1 = 0.35.Hypothesis 4 = 0.46.0.81Hypothesis 1
= 3.996.
0.000Hypothesis 1 is
accepted, and hypothesis 4 is also accepted.
Hypothesis 2 = 0.61. 0.61Hypothesis 2
= 8.320.
0.000Hypothesis 2 is accepted.
Hypothesis 3 = 0.75. 0.75Hypothesis 3
= 6.456.
0.000Hypothesis 3 is accepted.
Disclaimer/Publisher’s Note: The statements, opinions and data contained in all publications are solely those of the individual author(s) and contributor(s) and not of MDPI and/or the editor(s). MDPI and/or the editor(s) disclaim responsibility for any injury to people or property resulting from any ideas, methods, instructions or products referred to in the content.

Share and Cite

MDPI and ACS Style

Cahyadi, A.; Natalisa, D.; Poór, J.; Perizade, B.; Szabó, K. Predicting the Relationship between Green Transformational Leadership, Green Human Resource Management Practices, and Employees’ Green Behavior. Adm. Sci. 2023, 13, 5. https://doi.org/10.3390/admsci13010005

AMA Style

Cahyadi A, Natalisa D, Poór J, Perizade B, Szabó K. Predicting the Relationship between Green Transformational Leadership, Green Human Resource Management Practices, and Employees’ Green Behavior. Administrative Sciences. 2023; 13(1):5. https://doi.org/10.3390/admsci13010005

Chicago/Turabian Style

Cahyadi, Afriyadi, Diah Natalisa, József Poór, Badia Perizade, and Katalin Szabó. 2023. "Predicting the Relationship between Green Transformational Leadership, Green Human Resource Management Practices, and Employees’ Green Behavior" Administrative Sciences 13, no. 1: 5. https://doi.org/10.3390/admsci13010005

APA Style

Cahyadi, A., Natalisa, D., Poór, J., Perizade, B., & Szabó, K. (2023). Predicting the Relationship between Green Transformational Leadership, Green Human Resource Management Practices, and Employees’ Green Behavior. Administrative Sciences, 13(1), 5. https://doi.org/10.3390/admsci13010005

Note that from the first issue of 2016, this journal uses article numbers instead of page numbers. See further details here.

Article Metrics

Back to TopTop