Predicting the Relationship between Green Transformational Leadership, Green Human Resource Management Practices, and Employees’ Green Behavior
Abstract
1. Introduction
2. Literature Review
2.1. Theories of Corporate Sustainability, Triple Bottom Line, and Natural Resource-Based View
2.2. Green Transformational Leadership and Employees’ Green Behavior in Small and Medium Enterprises
2.3. Green Transformational Leadership and Green Human Resource Management Practices in Small and Medium Enterprises
2.4. Green Human Resource Management Practices and Employees’ Green Behavior in Small and Medium Enterprises
3. Methods
3.1. Design
3.2. Measures
3.3. Samples and Procedures
3.4. Data Analysis
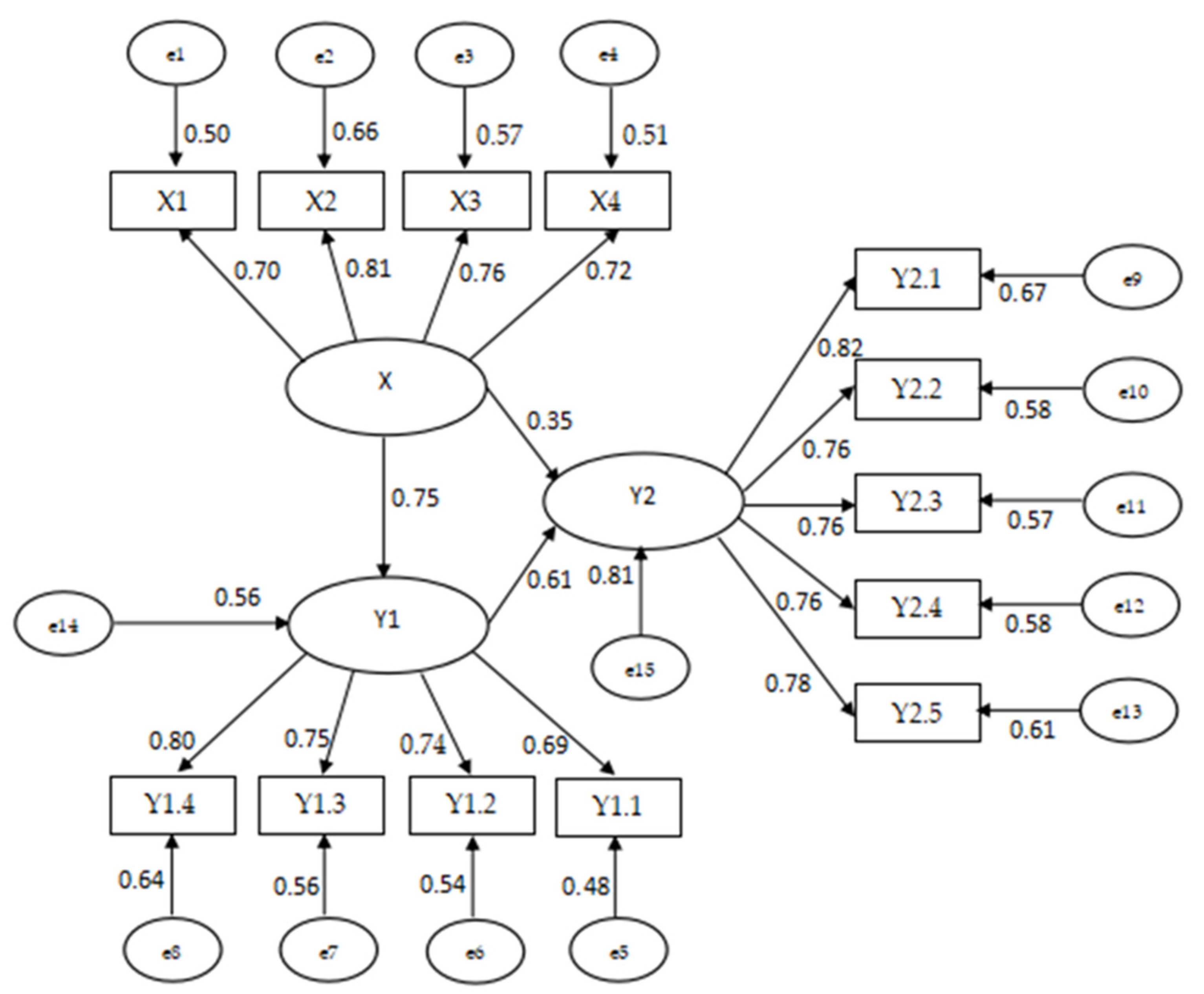
4. Results
4.1. Confirmatory Factor Analysis
4.2. Goodness of Fit and Structural Equation Modeling
4.3. Hypotheses
5. Discussion
5.1. Theoretical Implications
5.2. Practical Implications
6. Conclusions
Limitations
Author Contributions
Funding
Institutional Review Board Statement
Informed Consent Statement
Conflicts of Interest
References
- Adriana, Luh Titisari Dewi, Keke Tamara Fahira, Maulida Nailissa’adah, and Hikmah El Maula. 2020. A Review the important of green human resource management practices toward employee green behaviour in organization. Journal of International Conference Proceedings 3: 124–35. [Google Scholar] [CrossRef]
- Ahmad, Shoeb. 2015. Green human resource management: Policies and practices. Cogent Business & Management 2: 1030817. [Google Scholar] [CrossRef]
- Ahmed, Mushtaq, Muhammad Shujaat Mubarik, and Muhammad Shahbaz. 2021. Factors affecting the outcome of corporate sustainabiity policy: A review paper. Environmental Science and Pollution Research 28: 10335–56. [Google Scholar] [CrossRef]
- Alamsyah, Doni Purnama, Norfaridatul Akmaliah Othman, Muhammed Hariri Bakri, Yogi Udjaja, and Rudy Aryanto. 2021. Green awareness through environmental knowledge and perceived quality. Management Science Letters 11: 271–80. [Google Scholar] [CrossRef]
- Alsawafi, Ahmed, Fred Lemke, and Ying Yang. 2021. The impacts of internal quality management relations on the triple bottom line: A dynamic capability perspective. International Journal of Production Economics 232: 107927. [Google Scholar] [CrossRef]
- Alshaabani, Ayman, Farheen Naz, and Ildikó Rudnák. 2021. Impact of green human resources practices on green work engagement in the renewable energy departments. International Business Research 14: 44–58. [Google Scholar] [CrossRef]
- Al-Swidi, Abdullah Kaid, Hamid Mahmood Gelaidan, and Redhwan Mohammed Saleh. 2021. The joint impact of green human resource management, leadership and organizational culture on employees’ green behaviour and organisational environmental performance. Journal of Cleaner Production 316: 128112. [Google Scholar] [CrossRef]
- Andersen, Jim. 2021. A relational natural-resource-based view on product innovation: The influence of green product innovation and green suppliers on differentiation advantage in small manufacturing firms. Technovation 104: 102254. [Google Scholar] [CrossRef]
- Arshad, Maria. 2021. The impact of green transformational leadership on environmental performance: Mediating effect of green human resource management and green innovation. Journal of Organization and Business 1: 114–29. [Google Scholar]
- Arulrajah, A. Anton, H. H. D. N. P. Opatha, and N. N. J. Nawaratne. 2015. Green human resource management practices: A review. Sri Lankan Journal of Human Resource Management 5: 1–16. [Google Scholar] [CrossRef]
- Awan, Fazal Hussain, Liu Dunnan, Khalid Jamil, and Rana Faizan Gul. 2022. Stimulating environmental performance via green human resource management, green transformational leadership, and green innovation: A mediation-moderation model. Environmental Science and Pollution Research, 1–19. [Google Scholar] [CrossRef] [PubMed]
- Bajnóczki, Csongor, Zoltán Illés, and Péter Szendrő. 2021. The perspective of SMEs on the challenges of the circular economy in the 21st century Hungary. Progress in Agricultural Engineering Sciences 17: 101–32. [Google Scholar] [CrossRef]
- Chen, Tan Booi, and Lau Teck Chai. 2010. Attitude towards the environment and green products: Consumers’ perspective. Management Science and Engineering 4: 27–39. [Google Scholar]
- Chen, Yu-Shan, and Ching-Hsun Chang. 2013. The determinants of green product development performance: Green dynamic capabilities, green transformational leadership, and green creativity. Journal of Organizational Behavior 34: 176–94. [Google Scholar] [CrossRef]
- Chen, Yu-Shan, and Xin Yan. 2022. The small and medium enterprises’ green human resource management and green transformational leadership: A sustainable moderated-mediation practice. Corporate Social Responsibility and Environmental Management, 1–16. [Google Scholar] [CrossRef]
- Costa, Joana, and José Pedro Fonseca. 2022. The impact of corporate social responsibility and innovative strategies on financial performance. Risks 10: 103. [Google Scholar] [CrossRef]
- Darvishmotevali, Mahlagha, and Levent Altinay. 2022. Green HRM, environmental awareness and green behaviors: The moderating role of servant leadership. Tourism Management 88: 104401. [Google Scholar] [CrossRef]
- Doszhanov, Aibek, and Zainal Ariffin Ahmad. 2015. Customers’ intention to use green products: The impact of green brand dimensions and green perceived value. SHS Web of Conferences 18: 1–15. [Google Scholar] [CrossRef]
- Du, Yuechao, and Minghao Yan. 2022. Green transformational leadership and employees’ taking charge behavior: The mediating role of personal initiative and the moderating role of green organizational identity. International Journal of Environmental Research and Public Health 19: 4172. [Google Scholar] [CrossRef]
- Dumont, Jenny, Jie Shen, and Xin Deng. 2017. Effects of green HRM practices on employee workplace green behavior: The role of psychological green climate and employee values. Human Resource Management 56: 613–27. [Google Scholar] [CrossRef]
- Dyllick, Thomas, and Kai Hockerts. 2002. Beyond the business case for corporate sustainability. Business Strategy and the Environment 11: 130–41. [Google Scholar] [CrossRef]
- Elkington, John. 2004. Enter the Triple Bottom Line. In The Triple Bottom Line: Does It all Add Up? Assessing the Sustainability of Business and CSR. Edited by A. Henriques and J. Richardson. London: Routledge, pp. 1–16. [Google Scholar] [CrossRef]
- Elkington, John. 2018. 25 years ago I coined the phrase “Triple Bottom Line.” Here’s why it’s time to rethink it’. Harvard Business Review. June 25. Available online: https://hbr.org/2018/06/25-years-ago-i-coined-the-phrase-triple-bottom-line-heres-why-im-giving-up-on-it (accessed on 14 November 2022).
- Ercantan, Ozlem, and Serife Eyupoglu. 2020. How do green human resource management practices encourage employees to engage in green behavior? Perceptions of university students as prospective employees. Sustainability 14: 1718. [Google Scholar] [CrossRef]
- Fadel, Khariya Abed, Asmaa Abdul Wahid Malik, and Ali Abd Al Razaq Alaboody. 2021. The role of abusive supervision in reducing the employee green behavior: A survey of the opinions of sample of affiliates in the technical institute of AL-Diwaniyah. Webology 18: 1169–85. [Google Scholar] [CrossRef]
- Faeq, Dalia Khalid, Daroon Faraidoon Abdulla, Bayad Jamal Ali, and Shwana Mohammed Akoi. 2021. Impact of job resources on employee green behavior. An empirical investigation among employees work in the tourist companies in Erbil- City Kurdistan Region of Iraq. The Scientific Journal of Cihan University—Sulaimaniya 5: 115–26. [Google Scholar] [CrossRef]
- Fahad, Shah, Faisal Alnori, Fang Su, and Jian Deng. 2022. Adoption of green innovation practices in SMEs sector: Evidence from an emerging economy. Economic Research. Ekonomska Istraživanja 35: 5486–501. [Google Scholar] [CrossRef]
- Farrukh, Amma, Sanjay Mathrani, and Aymen Sajjad. 2021. A natural resource and institutional theory-based view of green-lean-six sigma drivers 1 for environmental management. Business Strategy and the Environment 31: 1074–90. [Google Scholar] [CrossRef]
- Fata, Zainabu P., Joanna Claire Miranda, and Mohammad Saeed. 2022. Exploring role of organizational culture and leadership in customer relationship management in banks. Splint International Journal of Professionals 9: 81–87. [Google Scholar] [CrossRef]
- Fawehinmi, Olawole, M. Y. Yusliza, Wan Zulkifli Wan Kasim, Zaleha Mohamad, and Muhammad Abi Sofian Abdul Halim. 2020. Exploring the Interplay of Green Human Resource Management, Employee Green Behavior, and Personal Moral Norms. New York: SAGE Open, pp. 1–18. [Google Scholar] [CrossRef]
- Fornell, Claes, and David F. Larcker. 1981. Evaluating structural equation models with unobservable variables and measurement error. Journal of Marketing Research 18: 39–50. [Google Scholar] [CrossRef]
- Gilal, Faheem Gul, Zubaida Ashraf, Naeem Gul Gilal, Rukhsana Gul Gilal, and Nisar Ahmed Channa. 2019. Promoting environmental performance through green human resource management practices in higher education institutions: A moderated mediation model. Corporate Social Responsibility and Environemntal Management 26: 1579–90. [Google Scholar] [CrossRef]
- Gill, Atif Ali, Balqees Ahmad, and Shiza Kazmi. 2021. The effect of green human resource management on environmental performance: The mediating role of employee eco-friendly behavior. Management Science Letters 11: 1725–36. [Google Scholar] [CrossRef]
- Ha, Nguyen Thi Le, and Pham Truong Bao Uyen. 2021. The effect of green human resource management on employee green behaviors in a developing country, Vietnam. International Journal of Information, Business and Management 13: 107–24. [Google Scholar]
- Haldorai, Kavitha, Woo Gon Kim, and R. L. Fernando Garcia. 2022. Top management green commitment and green intellectual capital as enablers of hotel environmental performance: The mediating role of green human resource management. Tourism Management 88: 1–11. [Google Scholar] [CrossRef]
- Harasudha, H. Hari, and S. Subramanian. 2020. Exploring the relationship between green human resource management on employee green behavior: A mediation analysis. Studies in Indian Place Names (UGC CARE Journal) 40: 337–44. [Google Scholar]
- Hart, Stuart L. 1995. A Natural-Resource-Based View of the firm. Academy of Management Review 20: 986–1014. [Google Scholar] [CrossRef]
- Hausmann, Róbert, and Ákos Szalai. 2021. New measurement system for sustainability—MNB’s sustainability report and index. Prosperitas 8: 1–16. [Google Scholar] [CrossRef]
- Hawn, Olga, Aaron K. Chatterji, and Will Mitchell. 2018. Do investors actually value sustainability? New evidence from investor reactions to the Dow Jones Sustainability Index (DJSI). Strategic Management Journal 39: 949–76. [Google Scholar] [CrossRef]
- Heim, Irina, Anne Crowley Vigneau, and Yelena Kalyuzhnova. 2022. Environmental and socio-economic policies in oil and gas regions: Triple bottom line approach. Regional Studies 57: 1–16. [Google Scholar] [CrossRef]
- Hirunyava, Ladda, Apinya Wisessing, Sittichai Thammasane, and Duangsamorn Rungsawanpho. 2022. Performance analysis of the small and medium enterprises based on green product management. Journal of Positive School Psychology 6: 3004–18. [Google Scholar]
- Huelgas, Suzie M., and Victor A. Arellano. 2021. Green transformational leadership, green human resource management and green innovation: Key to environmental performance of selected port management offices of Philippine ports authority. IOER International Multidisciplinary Research Journal 3: 48–58. [Google Scholar] [CrossRef]
- Irani, Foad, and Hasan Kilic. 2022. An assessment of implementing green HRM practices on environmental performance: The moderating role of green process innovation. Journal of Global Hospitality and Tourism 1: 16–30. [Google Scholar] [CrossRef]
- Irimiás, Anna, and Ariel Mitev. 2020. Change management, digital maturity, and green development: Are successful firms leveraging on sustainability? Sustainability 12: 4019. [Google Scholar] [CrossRef]
- Isil, Ozgur, and Michael T. Hernke. 2017. The triple bottom line: A critical review from a transdisciplinary perspective. Business Strategy and the Environment 26: 1235–51. [Google Scholar] [CrossRef]
- Islam, Md Asadul, Abigail Hunt, Amer Hamzah Jantan, Haslinda Hashim, and Choo Wei Chong. 2019. Exploring challenges and solutions in applying green human resource management practices for the sustainable workplace in the ready-made garment industry in Bangladesh. Business Strategy and Development 3: 332–43. [Google Scholar] [CrossRef]
- Jamal, Tauseef, Muhammad Zahid, José Moleiro Martins, Mário Nuno Mata, Haseeb Ur Rahman, and Pedro Neves Mata. 2021. Perceived green human resource management practices and corporate sustainability: Multigroup analysis and major industries perspectives. Sustainability 13: 3045. [Google Scholar] [CrossRef]
- Jian, Peng, Yin Kui, Hou Nan, Zou Yanchun, and Nie Qi. 2020. How to facilitate employee green behavior: The joint role of green transformational leadership and green human resource management practice. Acta Psychologica Sinica 52: 1105–20. [Google Scholar] [CrossRef]
- Karatepe, Osman M., Hungchen Hsieh, and Mohammed Aboramadan. 2022. The effects of green human resource management and perceived organizational support for the environment on green and non-green hotel employee outcomes. International Journal of Hospitality Management 103: 103202. [Google Scholar] [CrossRef]
- Karmoker, Kajol, Farhana Amin Kona, Amanta Hasnat Oyshi, and Kazi Snigdha Yasmin. 2021. Effects of green human resource management on employee green behavior: Moderating role of employee environment knowledge. International Journal of Sustainable Development & World Policy 10: 64–80. [Google Scholar] [CrossRef]
- Katona, Ádám. 2022. Customer involvement—A systematic literature review of the definition, measurement, and innovation outcomes. Vevői Bevonás—Definíciók, Mérési Módszerek És Innovációs Eredmények Szisztematikus Szakirodalmi Áttekintése. Vezetéstudomány/Budapest Management Review LIII: 59–69. [Google Scholar] [CrossRef]
- Katz, Ian M., Rachel S. Rauvola, Cort W. Rudolph, and Hannes Zacher. 2022. Employee green behavior: A meta-analysis. Corporate Social Responsibilty and Environmental Management, 1–12. [Google Scholar] [CrossRef]
- Khan, Ali Nawaz, and Naseer Abbas Khan. 2022. The nexuses between transformational leadership and employee green organizational citizenship behaviour: Role of environmental attitude and green dedication. Business Strategy and the Enviroment 31: 921–33. [Google Scholar] [CrossRef]
- Kindermann, Bastian, Corinna Vera Hedwig Schmidt, Oliver Burger, and Tessa Christina Flatten. 2022. Why teams matter in customer involvement—The moderating effects of team social cohesion and team autonomy. Journal of Business Research 146: 70–83. [Google Scholar] [CrossRef]
- Kücükgül, Egemen, Pontus Cerin, and Yang Liu. 2022. Enhancing the value of corporate sustainability: An approach for aligning multiple SDGs guides on reporting. Journal of Cleaner Production 333: 130005. [Google Scholar] [CrossRef]
- Lam, Long W. 2012. Impact of competitiveness on salespeople’s commitment and performance. Journal of Business Research 65: 1328–34. [Google Scholar] [CrossRef]
- Lee, Stacy H. N., Jung Ha-Brookshire, and Pui-Sze Chow. 2018. The moral responsibility of corporate sustainability as perceived by fashion retail employees: A USA-China cross-cultural comparison study. Bussiness Strategy and the Environement 27: 1462–75. [Google Scholar] [CrossRef]
- Li, Wenjing, Tahseen Ahmed Bhutto, Wang Xuhui, Qamaruddin Maitlo, Abaid Ullah Zafar, and Niaz Ahmed Bhutto. 2020. Unlocking employees’ green creativity: The effects of green transformational leadership, green intrinsic, and extrinsic motivation. Journal of Cleaner Production 255: 120229. [Google Scholar] [CrossRef]
- Liute, Adriana, and Maria Rosa De Giacomo. 2022. The environmental performance of UK-based B Corp companies: An analysis based on the triple bottom line approach. Business Strategy and the Environment 31: 810–27. [Google Scholar] [CrossRef]
- Lozano, Rodrigo, Angela Carpenter, and Donald Huisingh. 2015. A review of ‘theories of the firm’ and their contributions to corporate sustainability. Journal of Cleaner Production 106: 430–42. [Google Scholar] [CrossRef]
- Malik, Saqib Yaqoob, Yukun Cao, Yasir Hayat Mughal, Ghulam Muhammad Kundi, Mudassir Hayat Mughal, and T. Ramayah. 2020. Pathways towards sustainability in organizations: Empirical evidence on the role of green human resource management practices and green intellectual capital. Sustainability 12: 3228. [Google Scholar] [CrossRef]
- Mansoor, Adil, Muhammad Farrukh, Jong-Keon Lee, and Sarwat Jahan. 2021. Stimulation of employees’ green creativity through green transformational leadership and management initiatives. Sustainability 13: 7844. [Google Scholar] [CrossRef]
- Masri, Hiba A., and Ayham A. M. Jaaron. 2017. Assessing green human resources management practices in Palestinian manufacturing context: An empirical study. Journal of Cleaner Production 143: 474–89. [Google Scholar] [CrossRef]
- Masud, Md. Abdul Kaium, Md. Harun Ur Rashid, Tehmina Khan, Seong Mi Bae, and Jong Dae Kim. 2019. Organizational strategy and corporate social responsibility: The mediating effect of triple bottom line. International Journal of Environmental Research and Public Health 16: 4559. [Google Scholar] [CrossRef] [PubMed]
- Medve, Flóra. 2022. Population of Hungary 1989–2022. Available online: https://www.statista.com/statistics/1127762/population-of-hungary/ (accessed on 9 September 2022).
- Meyers, Maria Christina, and Demi Rutjens. 2022. Applying a positive (organizational) psychology lens to the study of employee green behavior: A systematic review and research agenda. Frontiers in Psychology 13: 840796. [Google Scholar] [CrossRef]
- Mousa, Sharifa K., and Mohammed Othman. 2020. The impact of green human resource management practices on sustainable performance in healthcare organisations: A conceptual framework. Journal of Cleaner Production 243: 118595. [Google Scholar] [CrossRef]
- Muster, Viola, and Ulf Schrader. 2011. Green work-life balance: A new perspective for green HRM. Zeitschrift für Personalforschung, German Journal of Research in Human Resource Management 25: 140–56. [Google Scholar] [CrossRef]
- Mwita, Kelvin M. 2019. Conceptual review of green human resource management practices. East African Journal of Social and Applied Sciences 1: 13–20. [Google Scholar]
- Nunhes, Thaís Vieira, Enzo Viviani Garcia, Maximilian Espuny, Vitor Homem de Mello Santos, Raine Isaksson, and Otávio José de Oliveira. 2021. Where to go with corporate sustainability? Opening paths for sustainable businesses through the collaboration between universities, governments, and organizations. Sustainability 13: 1429. [Google Scholar] [CrossRef]
- Nwoba, Arinze Christian, Nathaniel Boso, and Matthew J. Robson. 2021. Corporate sustainability strategies in institutional adversity: Antecedent, outcome, and contingency effects. Business Strategy and the Environment 30: 787–807. [Google Scholar] [CrossRef]
- Oláh, Judit, Sándor Kovács, Zuzana Virglerova, Zoltán Lakner, Maria Kovacova, and József Popp. 2019. Analysis and comparison of economic and financial risk sources in SMEs of the Visegrad group and Serbia. Sustainability 11: 1853. [Google Scholar] [CrossRef]
- Omarova, Laura, and Sung-Jun Jo. 2022. Employee pro-environmental behavior: The impact of environmental transformational leadership and GHRM. Sustainability 14: 2046. [Google Scholar] [CrossRef]
- Ones, Deniz S., and Stephan Dilchert. 2012. Chapter Five, Employee Green Behaviors. In Managing Human Resources for Environmental Sustainability, 1st ed. Edited by Susan E. Jackson, Deniz S. Ones and Stephan Dilchert. New York: Jossey-Bass, pp. 85–116. [Google Scholar]
- Özgül, Burcu, and Cemal Zehir. 2021. The influence of green-transformational leadership style on corporate sustainability: A systematic literature review and propositions for future studies. Istanbul Management Journal 90: 1–30. [Google Scholar] [CrossRef]
- Pham, Nhat Tan, Zuzana Tučková, and Charbel José Chiappetta Jabbour. 2019. Greening the hospitality industry: How do green human resource management practices influence organizational citizenship behavior in hotels? A mixed-methods study. Tourism Management 72: 386–99. [Google Scholar] [CrossRef]
- Rehman, Shafique Ur, Stefano Bresciani Dorra Yahiaoui, and Elisa Giacosa. 2022. Environmental sustainability orientation and corporate social responsibility influence on environmental performance of small and medium enterprises: The mediating effect of green capability. Corporate Social Responsibility and Environmental Management 29: 1954–67. [Google Scholar] [CrossRef]
- Renwick, Douglas W. S., Tom Redman, and Stuart Maguire. 2012. Green Human Resource Management: A Review and Research Agenda. International Journal of Management Reviews 15: 1–14. [Google Scholar] [CrossRef]
- Rezaee, Zabihollah. 2017. Corporate sustainability: Theoretical and integrated strategic imperative and pragmatic approach. The Journal of Business Inquiry 16: 60–87. Available online: http:www.uvu.edu/woodbury/jbi/articles (accessed on 14 July 2022).
- Robertson, Jennifer L., and Julian Barling. 2013. Greening organizations through leaders’ influence on employees’ pro-environmental behaviors. Journal of Organizational Behavior 34: 176–94. [Google Scholar] [CrossRef]
- Saeed, Bilal Bin, Bilal Afsar, Shakir Hafeez, Imran Khan, Muhammad Tahir, and Muhammad Asim Afridi. 2019. Promoting employee’s pro environmental behavior through green human resource management practices. Corporate Social Responsibility and Environmental Management 26: 424–38. [Google Scholar] [CrossRef]
- Satar, Mir Shahid. 2022. Sustainability and triple bottom line planning in social enterprises: Developing the guidelines for social entrepreneurs. International Journal of Sustainable Development and Planning 17: 813–21. [Google Scholar] [CrossRef]
- Shampa, Tanima Saha, and Md. Imrul Jobaid. 2017. Factors influencing customers’ expectation towards green banking practices in Bangladesh. European Journal of Business and Management 9: 140–52. [Google Scholar]
- Singh, Sanjay Kumar, Manlio Del Giudice, Roberto Chierici, and Domenico Graziano. 2020. Green innovation and environmental performance: The role of green transformational leadership and green human resource management. Technological Forecasting & Social Change 150: 119762. [Google Scholar] [CrossRef]
- Sridhar, Kaushik, and Grant Jones. 2013. The three fundamental criticisms of the Triple Bottom Line approach: An empirical study to link sustainability reports in companies based in the Asia-Pacific region and TBL shortcomings. Asian Journal of Business Ethics 2: 91–111. [Google Scholar] [CrossRef]
- Sun, Xiaomei, Ahmad El Askary, Muhammad Saeed Meo, Noor ul Ain Zafar, and Babar Hussain. 2022. Green transformational leadership and environmental performance in small and medium enterprises. Economic Research-Ekonomska Istraživanja 35: 5273–91. [Google Scholar] [CrossRef]
- Tang, Guiyao, Yang Chen, Yuan Jiang, Pascal Paille, and Jin Jia. 2018. Green human resource management practices: Scale development and validity. Asia Pacifific Journal of Human Resources 56: 31–55. [Google Scholar] [CrossRef]
- Tanova, Cem, and Steven W. Bayighomog. 2022. Green human resource management in service industries: The construct, antecedents, consequences, and outlook. The Service Industries Journal 42: 412–52. [Google Scholar] [CrossRef]
- Tosun, Cevat, M. Omar Parvez, Yasin Bilim, and Larry Yu. 2022. Effects of green transformational leadership on green performance of employees via the mediating role of corporate social responsibility: Reflection from North Cyprus. International Journal of Hospitality Management 103: 103218. [Google Scholar] [CrossRef]
- Tseng, Ming-Lang Tseng, Chia-Hao Chang, Chun-Wei Remen Lin, Kuo-Jui Wu, Qing Chen, Li Xia, and Bing Xue. 2020. Future trends and guidance for the triple bottom line and sustainability: A data driven bibliometric analysis. Environmental Science and Pollution Research 27: 33543–67. [Google Scholar] [CrossRef]
- Virág, Annamária. n.d. Eco-Innovation Observatory Country Profile 2018–2019: Hungary. Luxembourg City: The Publications Office of the European Union, pp. 1–24.
- Wu, Kuo-Jui, Yafang Zhu, Ming-Lang Tseng, Ming K. Lim, and Bing Xue. 2018. Developing a hierarchical structure of the co-benefits of the triple bottom line under uncertainty. Journal of Cleaner Production 195: 908–18. [Google Scholar] [CrossRef]
- Yu, Feifei, Dong Jiang, and Teng Wang. 2022. The impact of green innovation on manufacturing small and medium enterprises corporate social responsibility fulfillment: The moderating role of regional environmental regulation. Corporate Social Responsibility and Environmental Management 29: 712–27. [Google Scholar] [CrossRef]
- Yusoff, Yusmani Mohd, Mehran Nejati, Daisy Mui Hung Kee, and Azlan Amran. 2018. Linking green human resource management practices to environmental performance in hotel industry. Global Business Review 21: 1–18. [Google Scholar] [CrossRef]
- Zhang, Qi, Lawrence Loh, and Weiwei Wu. 2020. How do environmental, social and governance initiatives affect innovative performance for corporate sustainability? Sustainability 12: 3380. [Google Scholar] [CrossRef]


| Correlation | Estimate | Standard Error | Critical Ratio | Probability | |
|---|---|---|---|---|---|
| Green transformational leadership | Green plans | 1.000 | |||
| Green goals | 1.058 | 0.093 | 11.367 | 0.000 | |
| Green actions | 1.025 | 0.094 | 10.877 | 0.000 | |
| Green ideas | 0.985 | 0.095 | 10.342 | 0.000 | |
| Green human resource management practices | Green recruitment and selection | 1.000 | |||
| Green training and development | 1.074 | 0.101 | 10.620 | 0.000 | |
| Green performance appraisal | 1.125 | 0.107 | 10.490 | 0.000 | |
| Green empowerment | 1.116 | 0.100 | 11.147 | 0.000 | |
| Employee green behavior | Green items | 1.000 | |||
| Green printing activities | 0.961 | 0.071 | 13.491 | 0.000 | |
| Green materials | 0.947 | 0.071 | 13.333 | 0.000 | |
| Green utensils | 0.962 | 0.072 | 13.354 | 0.000 | |
| Green lighting | 0.950 | 0.068 | 13.880 | 0.000 | |
| Items | Items | ||||||||||||
|---|---|---|---|---|---|---|---|---|---|---|---|---|---|
| X4 | X3 | X2 | X1 | Y2.5 | Y2.4 | Y2.3 | Y2.2 | Y2.1 | Y1.4 | Y1.3 | Y1.2 | Y1.1 | |
| X4 | 1.758 | ||||||||||||
| X3 | 0.935 | 1.700 | |||||||||||
| X2 | 0.966 | 1.005 | 1.570 | ||||||||||
| X1 | 0.913 | 0.950 | 0.981 | 1.865 | |||||||||
| Y2.5 | 0.770 | 0.802 | 0.828 | 0.782 | 1.683 | ||||||||
| Y2.4 | 0.780 | 0.812 | 0.838 | 0.792 | 1.038 | 1.810 | |||||||
| Y2.3 | 0.768 | 0.799 | 0.825 | 0.780 | 1.022 | 1.035 | 1.775 | ||||||
| Y2.2 | 0.779 | 0.811 | 0.837 | 0.791 | 1.037 | 1.050 | 1.034 | 1.817 | |||||
| Y2.1 | 0.811 | 0.844 | 0.872 | 0.824 | 1.080 | 1.093 | 1.076 | 1.092 | 1.697 | ||||
| Y1.4 | 0.737 | 0.767 | 0.792 | 0.749 | 0.911 | 0.922 | 0.908 | 0.922 | 0.959 | 1.670 | |||
| Y1.3 | 0.743 | 0.774 | 0.799 | 0.755 | 0.919 | 0.930 | 0.916 | 0.929 | 0.967 | 1.083 | 1.960 | ||
| Y1.2 | 0.709 | 0.738 | 0.762 | 0.720 | 0.877 | 0.887 | 0.874 | 0.887 | 0.923 | 1.034 | 1.042 | 1.833 | |
| Y1.1 | 0.661 | 0.688 | 0.710 | 0.671 | 0.816 | 0.826 | 0.814 | 0.826 | 0.859 | 0.963 | 0.971 | 0.926 | 1.804 |
| Correlation | Factor Loading | Composite Reliability | Average Extracted Variance | Cronbach Alpha | |
|---|---|---|---|---|---|
| Variable | Indicator | ||||
| Green transformational leadership | Green plans | 0.705 | 0.745 | 0.4231 | 0.836 |
| Green goals | 0.813 | ||||
| Green actions | 0.757 | ||||
| Green ideas | 0.691 | ||||
| Green human resource management practices | Green recruitment and selection | 0.737 | 0.732 | 0.4065 | 0.833 |
| Green training and development | 0.747 | ||||
| Green performance appraisal | 0.802 | ||||
| Green empowerment | 0.818 | ||||
| Employee green behavior | Green printing activities | 0.760 | 0.811 | 0.4626 | 0.883 |
| Green recruitment and selection | 0.758 | ||||
| Green training and development | 0.762 | ||||
| Green performance appraisal | 0.781 | ||||
| Green lighting | 0.780 | ||||
| Direct Effect and Value | Indirect Effect and Value | Total Effect | Critical Ratio | Probability | Decision |
|---|---|---|---|---|---|
| Hypothesis 1 = 0.35. | Hypothesis 4 = 0.46. | 0.81 | Hypothesis 1 = 3.996. | 0.000 | Hypothesis 1 is accepted, and hypothesis 4 is also accepted. |
| Hypothesis 2 = 0.61. | 0.61 | Hypothesis 2 = 8.320. | 0.000 | Hypothesis 2 is accepted. | |
| Hypothesis 3 = 0.75. | 0.75 | Hypothesis 3 = 6.456. | 0.000 | Hypothesis 3 is accepted. |
Disclaimer/Publisher’s Note: The statements, opinions and data contained in all publications are solely those of the individual author(s) and contributor(s) and not of MDPI and/or the editor(s). MDPI and/or the editor(s) disclaim responsibility for any injury to people or property resulting from any ideas, methods, instructions or products referred to in the content. |
© 2022 by the authors. Licensee MDPI, Basel, Switzerland. This article is an open access article distributed under the terms and conditions of the Creative Commons Attribution (CC BY) license (https://creativecommons.org/licenses/by/4.0/).
Share and Cite
Cahyadi, A.; Natalisa, D.; Poór, J.; Perizade, B.; Szabó, K. Predicting the Relationship between Green Transformational Leadership, Green Human Resource Management Practices, and Employees’ Green Behavior. Adm. Sci. 2023, 13, 5. https://doi.org/10.3390/admsci13010005
Cahyadi A, Natalisa D, Poór J, Perizade B, Szabó K. Predicting the Relationship between Green Transformational Leadership, Green Human Resource Management Practices, and Employees’ Green Behavior. Administrative Sciences. 2023; 13(1):5. https://doi.org/10.3390/admsci13010005
Chicago/Turabian StyleCahyadi, Afriyadi, Diah Natalisa, József Poór, Badia Perizade, and Katalin Szabó. 2023. "Predicting the Relationship between Green Transformational Leadership, Green Human Resource Management Practices, and Employees’ Green Behavior" Administrative Sciences 13, no. 1: 5. https://doi.org/10.3390/admsci13010005
APA StyleCahyadi, A., Natalisa, D., Poór, J., Perizade, B., & Szabó, K. (2023). Predicting the Relationship between Green Transformational Leadership, Green Human Resource Management Practices, and Employees’ Green Behavior. Administrative Sciences, 13(1), 5. https://doi.org/10.3390/admsci13010005

