Evaluation of the Role of Benzo(a)pyrene as Carcinogenic Index of PM10-Bound PAHs in Italian Urban Sites
Abstract
1. Introduction
2. Materials and Methods
2.1. Sites of Study
2.2. Sampling and Analytical Procedures
2.3. Equivalent Toxicity
- BEC is the total BaP equivalent concentration calculated by summing the BECi;
- BECi is the BaP equivalent concentration of the ith individual congener;
- xi is the measured concentration for the ith individual congener;
- PEFi is the potency equivalency factor (PEF) of the ith individual congener.
2.4. European Data for BEC Determination
- Data referred to 2017, 2018, and 2019;
- Data related to urban air quality station areas;
- Air quality stations for which concentration data of all PAHs of interest (BaP, BaA, BbF, BkF, DBA, IPY, in PM10) were available;
- Sites with data coverage ≥ 30%.
3. Results and Discussion
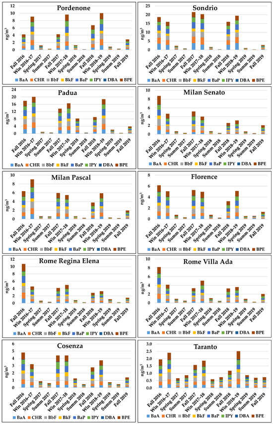
3.1. Spatiotemporal Variation in PAHs
3.2. Percentage of BaP Relative to Total Carcinogenic PAHs and Its Contribution to BEC in Italy
3.3. Comparison with European Data
3.4. Further Considerations in BaP-Based PAH Carcinogenicity Assessment
4. Conclusions
Supplementary Materials
Author Contributions
Funding
Data Availability Statement
Acknowledgments
Conflicts of Interest
References
- Lammel, G. Polycyclic Aromatic Compounds in the Atmosphere—A Review Identifying Research Needs. Polycycl. Aromat. Compd. 2015, 35, 316–329. [Google Scholar] [CrossRef]
- Safo-Adu, G.; Attiogbe, F.; Emahi, I.; Ofosu, F.G. A Review of the Sources, Distribution Sequences, and Health Risks Associated with Exposure to Atmospheric Polycyclic Aromatic Hydrocarbons. Cogent Eng. 2023, 10, 2199511. [Google Scholar] [CrossRef]
- Ravindra, K.; Sokhi, R.; Van Grieken, R. Atmospheric Polycyclic Aromatic Hydrocarbons: Source Attribution, Emission Factors and Regulation. Atmos. Environ. 2008, 42, 2895–2921. [Google Scholar] [CrossRef]
- IARC. Some Non-heterocyclic Polycyclic Aromatic Hydrocarbons and Some Related Exposures. In IARC Monographs on the Evaluation of Carcinogenic Risks to Humans; IARC: Lyon, France, 2010; Volume 92. [Google Scholar]
- Kim, K.H.; Jahan, S.A.; Kabir, E.; Brown, R.J.C. A Review of Airborne Polycyclic Aromatic Hydrocarbons (PAHs) and Their Human Health Effects. Environ. Int. 2013, 60, 71–80. [Google Scholar] [CrossRef]
- SCOEL. Polycyclic Aromatic Hydrocarbon mixtures containing benzo[a]pyrene (PAH). In Recommendation from the Scientific Committee on Occupational Exposure Limits; SCOEL/REC/404; European Commission: Luxembourg, 2006. [Google Scholar]
- ECHA. Scientific Report for Evaluation of Limit Values for Polycyclic Aromatic Hydrocarbons at the Workplace; European Chemicals Agency: Helsinki, Finland, 2022. [Google Scholar]
- Regulation (EC) No 1272/2008 of the European Parliament and of the Council of 16 December 2008 on Classification, Labelling and Packaging of Substances and Mixtures, Amending and Repealing Directives 67/548/EEC and 1999/45/EC, and Amending Regulation (EC) No 1907/2006; Official Journal of the European Union: Luxembourg, 2008; L 353.
- Chrysikou, L.P.; Samara, C.A. Seasonal Variation of the Size Distribution of Urban Particulate Matter and Associated Organic Pollutants in the Ambient Air. Atmos. Environ. 2009, 43, 4557–4569. [Google Scholar] [CrossRef]
- Gaga, E.O.; Arı, A. Gas-Particle Partitioning and Health Risk Estimation of Polycyclic Aromatic Hydrocarbons (PAHs) at Urban, Suburban and Tunnel Atmospheres: Use of Measured EC and OC in Model Calculations. Atmos. Pollut. Res. 2019, 10, 1–11. [Google Scholar] [CrossRef]
- WGPAH. Working Group on Polycyclic Aromatic Hydrocarbons. In Ambient Air Pollution by Polycyclic Aromatic Hydrocarbons (PAH); Position Paper; European Communities: Luxembourg, 2001. [Google Scholar]
- UNEP. Regulating Air Quality: The First Global Assessment of Air Pollution Legislation; United Nations Environment Programme: Nairobi, Kenya, 2021; ISBN 978-92-807-3872-5. [Google Scholar]
- Noth, E.M.; Lurmann, F.; Perrino, C.; Vaughn, D.; Minor, H.A.; Hammond, S.K. Decrease in Ambient Polycyclic Aromatic Hydrocarbon Concentrations in California’s San Joaquin Valley 2000–2019. Atmos. Environ. 2020, 242, 117818. [Google Scholar] [CrossRef]
- U.S. Environmental Protection Agency (EPA). Priority Pollutant List; U.S. Environmental Protection Agency: Washington, DC, USA, 2015. Available online: https://www.epa.gov/sites/default/files/2015-09/documents/priority-pollutant-list-epa.pdf (accessed on 19 December 2025).
- Zhang, J.; Li, J.; Wang, P.; Chen, G.; Mendola, P.; Sherman, S.; Ying, Q. Estimating Population Exposure to Ambient Polycyclic Aromatic Hydrocarbon in the United States—Part I: Model Development and Evaluation. Environ. Int. 2017, 99, 263–274. [Google Scholar] [CrossRef]
- Baek, K.M.; Seo, Y.K.; Kim, J.Y.; Baek, S.O. Monitoring of Particulate Hazardous Air Pollutants and Affecting Factors in the Largest Industrial Area in South Korea: The Sihwa-Banwol Complex. Environ. Eng. Res. 2020, 25, 908–923. [Google Scholar] [CrossRef]
- GB 3095-2012; Ambient Air Quality Standards. Ministry of Environmental Protection f the People’s Republic of China. General Administration of Quality Supervision, Inspection and Quarantine of the People’s Republic of China: Beijing, China, 2012.
- Wu, Z.; Chen, X.; Wang, Z.; Chen, H.; Wang, Z.; Mu, Q.; Wu, L.; Wang, W.; Tang, X.; Li, J.; et al. Modeling of Polycyclic Aromatic Hydrocarbons (PAHs) from Global to Regional Scales: Model Development (IAP-AACM_PAH v1.0) and Investigation of Health Risks in 2013 and 2018 in China. Geosci. Model Dev. 2024, 17, 8885–8907. [Google Scholar] [CrossRef]
- Directive (EU) 2024/2881 of the European Parliament and of the Council of 23 October 2024 on Ambient Air Quality and Cleaner Air for Europe (Recast); Official Journal of the European Union: Luxembourg, 2024; L 2881.
- Liu, X.; Zhang, H.; Pan, W.; Xue, Q.; Fu, J.; Liu, G.; Zheng, M.; Zhang, A. A Novel Computational Solution to the Health Risk Assessment of Air Pollution via Joint Toxicity Prediction: A Case Study on Selected PAH Binary Mixtures in Particulate Matters. Ecotoxicol. Environ. Saf. 2019, 170, 427–435. [Google Scholar] [CrossRef]
- Pehnec, G.; Jakovljević, I. Carcinogenic Potency of Airborne Polycyclic Aromatic Hydrocarbons in Relation to the Particle Fraction Size. Int. J. Environ. Res. Public Health 2018, 15, 2485. [Google Scholar] [CrossRef]
- Directive (EU) 2020/2184 of the European Parliament and of the Council of 16 December 2020 on the Quality of Water Intended for Human Consumption; Official Journal of the European Union: Luxembourg, 2020; L 435.
- Commission Regulation (EU) 2023/915 of 25 April 2023 on Maximum Levels for Certain Contaminants in Food and Repealing Regulation (EC) No 1881/2006; Official Journal of the European Union: Luxembourg, 2023; L 119.
- OECD. Considerations for Assessing the Risks of Combined Exposure to Multiple Chemicals, Series on Testing and Assessment, No. 296; Environment, Health and Safety Division, Environment Directorate, OECD: Paris, France, 2018. [Google Scholar]
- Monteiro, V.; Dias da Silva, D.; Martins, M.; Guedes de Pinho, P.; Pinto, J. Metabolomics Perspectives of the Ecotoxicological Risks of Polycyclic Aromatic Hydrocarbons: A Scoping Review. Environ. Res. 2024, 249, 118394. [Google Scholar] [CrossRef]
- Reti Speciali. Reti Speciali. 2025. Available online: https://www.retispeciali.it (accessed on 12 December 2025).
- Martino, M.; Tassone, A.; Angiuli, L.; Naccarato, A.; Dambruoso, P.R.; Mazzone, F.; Trizio, L.; Leonardi, C.; Petracchini, F.; Sprovieri, F.; et al. First Atmospheric Mercury Measurements at a Coastal Site in the Apulia Region: Seasonal Variability and Source Analysis. Environ. Sci. Pollut. Res. 2022, 29, 68460–68475. [Google Scholar] [CrossRef]
- Eurostat. Statistics Explained: Urban–Rural Europe. 2024. Available online: https://ec.europa.eu/eurostat/statistics-explained/index.php?title=Urban-rural_Europe_-_introduction (accessed on 16 December 2025).
- Leogrande, S.; Alessandrini, E.R.; Stafoggia, M.; Morabito, A.; Nocioni, A.; Ancona, C.; Bisceglia, L.; Mataloni, F.; Giua, R.; Mincuzzi, A.; et al. Industrial Air Pollution and Mortality in the Taranto Area, Southern Italy: A Difference-in-Differences Approach. Environ. Int. 2019, 132, 105030. [Google Scholar] [CrossRef]
- UNI EN 12341:2014; Ambient Air—Standard Gravimetric Measurement Method for the Determination of the PM10 or PM2.5 Mass Concentration of Suspended Particulate Matter. Ente Italiano di Normazione (UNI): Milan, Italy, 2014.
- UNI EN 15549:2008; Air Quality—Standard Method for the Measurement of the Concentration of Benzo[a]pyrene in Ambient Air. Ente Italiano di Normazione (UNI): Milan, Italy, 2008.
- ISO 16362:2005; Ambient Air—Determination of Particle-Phase Polycyclic Aromatic Hydrocarbons by High-Performance Liquid Chromatography. International Organization for Standardization (ISO): Geneva, Switzerland, 2005.
- Nisbet, I.C.T.; LaGoy, P.K. Toxic Equivalency Factors (TEFs) for Polycyclic Aromatic Hydrocarbons (PAHs). Regul. Toxicol. Pharmacol. 1992, 16, 290–300. [Google Scholar] [CrossRef]
- Bostrom, C.E.; Gerde, P.; Hanberg, A.; Jernström, B.; Johansson, C.; Kyrklund, T.; Rannug, A.; Törnqvist, M.; Victorin, K.; Westerholm, R. Cancer Risk Assessment, Indicators, and Guidelines for Polycyclic Aromatic Hydrocarbons in the Ambient Air. Environ. Health Perspect. 2002, 110, 451–488. [Google Scholar] [CrossRef]
- Delgado-Saborit, J.M.; Stark, C.; Harrison, R.M. Carcinogenic Potential, Levels and Sources of Polycyclic Aromatic Hydrocarbon Mixtures in Indoor and Outdoor Environments and Their Implications for Air Quality Standards. Environ. Int. 2011, 37, 383–392. [Google Scholar] [CrossRef]
- Fadel, M.; Courcot, D.; Afif, C.; Ledoux, F. Methods for the Assessment of Health Risk Induced by Contaminants in Atmospheric Particulate Matter: A Review. Environ. Chem. Lett. 2022, 20, 3289–3311. [Google Scholar] [CrossRef]
- Jakovljević, I.; Smoljo, I.; Sever Štrukil, Z.; Pehnec, G. Carcinogenic Activity and Risk Assessment of PAHs in Ambient Air: PM10 Particle Fraction and Bulk Deposition. Toxics 2023, 11, 228. [Google Scholar] [CrossRef]
- Ma, W.; Sun, R.; Wang, X.; Zong, Z.; Zhao, S.; Sun, Z.; Tian, C.; Tang, J.; Cui, S.; Li, J.; et al. Variations of the Atmospheric Polycyclic Aromatic Hydrocarbon Concentrations, Sources, and Health Risk and the Direct Medical Costs of Lung Cancer around the Bohai Sea against a Background of Pollution Prevention and Control in China. Atmos. Chem. Phys. 2024, 24, 1509–1523. [Google Scholar] [CrossRef]
- Zhu, F.J.; Qu, L.Z.; Ma, W.L. The Influence of the Clean Air Actions on the Health Risk of Atmospheric Polycyclic Aromatic Hydrocarbons. J. Environ. Expo. Assess. 2025, 4, 7. [Google Scholar] [CrossRef]
- Tomasetig, F.; Tebby, C.; Graillot, V.; Zeman, F.; Pery, A.; Cravedi, J.P.; Audebert, M. Comparative Genotoxic Potential of 27 Polycyclic Aromatic Hydrocarbons in Three Human Cell Lines. Toxicol. Lett. 2020, 326, 99–105. [Google Scholar] [CrossRef]
- Aquilina, N.J.; Harrison, R.M. Evaluation of the Cancer Risk from PAHs by Inhalation: Are Current Methods Fit for Purpose? Environ. Int. 2023, 177, 107991. [Google Scholar] [CrossRef]
- Haber, L.T.; Pecquet, A.M.; Vincent, M.J.; White, L.M. The Long Goodbye: Finally Moving on from the Relative Potency Approach to a Mixtures Approach for Polycyclic Aromatic Hydrocarbons (PAHs). Int. J. Environ. Res. Public Health 2022, 19, 9490. [Google Scholar] [CrossRef]
- ATSDR. Guidance for Calculating Benzo(a)pyrene Equivalents for Cancer Evaluations of Polycyclic Aromatic Hydrocarbons; Agency for Toxic Substances and Disease Registry, U.S. Department of Health and Human Services, Public Health Service: Atlanta, GA, USA, 2022.
- Larsen, J.C.; Larsen, P.B. Chemical Carcinogens. In Air Pollution and Health; Hester, R.E., Harrison, R.M., Eds.; The Royal Society of Chemistry: Cambridge, UK, 1998; pp. 33–35. [Google Scholar]
- Collins, J.F.; Brown, J.P.; Alexeeff, G.V.; Salmon, A.G. Potency Equivalency Factors for Some Polycyclic Aromatic Hydrocarbons and Polycyclic Aromatic Hydrocarbon Derivatives. Regul. Toxicol. Pharmacol. 1998, 28, 45–54. [Google Scholar] [CrossRef]
- European Environment Agency (EEA). European Air Quality Portal; European Environment Agency: Copenhagen, Denmark, 2025; Available online: https://discomap.eea.europa.eu/App/AQViewer/index.html?fqn=Airquality_Dissem.b2g.AirQualityStatistics (accessed on 11 June 2025).
- Regione Autonoma Friuli-Venezia Giulia. Rapporto Ambientale del Piano Regionale della Qualità dell’Aria; Decreto del Presidente della Regione n. 049 del 18 aprile 2024, Allegato 2; Regione Autonoma Friuli-Venezia Giulia: Trieste, Italy, 2024.
- Regione del Veneto. Piano Regionale di Tutela e Risanamento dell’Atmosfera; Regione del Veneto: Veneto, Italy, 2025. Available online: https://www.regione.veneto.it/web/ambiente-e-territorio/piano-di-qualita-dellaria (accessed on 27 November 2025).
- ARPA Puglia. Relazione Annuale Sulla Qualità Dell’aria a Taranto (Anno 2020); ARPA Puglia: Bari, Italy, 2020. Available online: https://www.arpa.puglia.it/pagina3086_relazioni-annuali-sui-dati-della-qualit-dellaria-di-taranto.html (accessed on 24 November 2025).
- Singh, B.P.; Zughaibi, T.A.; Alharthy, S.A.; Al-Asmari, A.I.; Rahman, S. Statistical analysis, source apportionment, and toxicity of particulate- and gaseous-phase PAHs in the urban atmosphere. Front. Public Health 2022, 10, 1070663. [Google Scholar] [CrossRef]
- Brown, A.S.; Brown, R.J.C. Correlations in Polycyclic Aromatic Hydrocarbon (PAH) Concentrations in UK Ambient Air and Implications for Source Apportionment. J. Environ. Monit. 2012, 14, 2072–2082. [Google Scholar] [CrossRef]
- Xing, W.; Yang, L.; Zhang, H.; Zhang, X.; Wang, Y.; Bai, P.; Zhang, L.; Hayakawa, K.; Nagao, S.; Tang, N. Variations in Traffic-Related Polycyclic Aromatic Hydrocarbons in PM2.5 in Kanazawa, Japan, after the Implementation of a New Vehicle Emission Regulation. J. Environ. Sci. 2022, 121, 38–47. [Google Scholar] [CrossRef]
- Wang, Y.F.; Gumaling, R.P.; Chen, M.R.; Kuo, Y.C.; Wang, L.C. Characterization, Distribution, and Risk Assessment of Polycyclic Aromatic Hydrocarbons (PAHs) in the Workplaces of an Electric Arc Furnace (EAF) Steelmaking Factory. Aerosol Air Qual. Res. 2024, 24, 230153. [Google Scholar] [CrossRef]
- Wu, D.; Chen, L.; Ma, Z.; Zhou, D.; Fu, L.; Liu, M.; Zhang, T.; Yang, J.; Zhen, Q. Source Analysis and Health Risk Assessment of Polycyclic Aromatic Hydrocarbon (PAHs) in Total Suspended Particulate Matter (TSP) from Bengbu, China. Sci. Rep. 2024, 14, 5080. [Google Scholar] [CrossRef]
- Kouras, A.; Manoli, E.; Avgenikou, A.; Paraschaki, A.; Voutsa, D.; Samara, C.; Foska, E. Inhalation Health Risk Assessment in the Port of Volos, Greece, Based on Multiannual Evolution of PM10-Bound Polycyclic Aromatic Hydrocarbons and Metals/Metalloids: Implications for EU-Regulated PM10 Pollutants. Atmos. Environ. 2025, 358, 121348. [Google Scholar] [CrossRef]
- Adesina, O.A.; Fakayode, O.A.; Gbemisola Omofoyewa, M.; Al-Ahmary, K.M.; Al-Mhyawi, S.R.; Alshdoukhi, I.F.; Alotaibi, S.B. Levels of Polycyclic Aromatic Hydrocarbons around a Scrap Iron and Steel Recycling Industry and the Associated Health Risk Assessment. RSC Adv. 2025, 15, 46761–46774. [Google Scholar] [CrossRef]
- Vuong, Q.T.; Thang, P.Q.; Nguyen, T.N.T.; Ohura, T.; Choi, S.D. Seasonal Variation and Gas/Particle Partitioning of Atmospheric Halogenated Polycyclic Aromatic Hydrocarbons and the Effects of Meteorological Conditions in Ulsan, South Korea. Environ. Pollut. 2020, 263, 114592. [Google Scholar] [CrossRef]
- Siudek, P. Compositional and Seasonal Differences of Gas and Particle Phase Polycyclic Aromatic Hydrocarbons (PAHs) over the Southern Baltic Sea Coast. Sci. Rep. 2022, 12, 21005. [Google Scholar] [CrossRef]
- Xue, Q.; Tian, Y.; Song, D.; Huang, F.; Feng, Y. Variations of Source-Specific Risks for Inhalable Particles-Bound PAHs during Long-Term Air Pollution Controls in a Chinese Megacity: Impact of Gas/Particle Partitioning. Atmos. Environ. 2024, 331, 120565. [Google Scholar] [CrossRef]
- Wang, D.Q.; Jia, S.M.; Yang, P.F.; Zhu, F.J.; Ma, W.L. Size-Resolved Gas-Particle Partitioning of Polycyclic Aromatic Hydrocarbons in a Large Temperature Range of 50 °C. J. Hazard. Mater. 2024, 479, 135607. [Google Scholar] [CrossRef]
- Wang, L.; Xu, Y.; Ren, G.; Wu, Z.; Li, B.; Ma, X. Atmospheric PAHs Emissions during Industrial Legacy Site Remediation: Gas-Particle Partitioning, Source Apportionṇment, and Cancer Risk Assessment. Environ. Int. 2026, 207, 110018. [Google Scholar] [CrossRef]
- Yang, Z.; Li, M.; Chen, Z.; Zhang, Y.; Yin, Z.; Yang, F.; Zhao, W.; Li, X.; Wu, F. Concentration Levels, Gas-Particle Partitioning, and Health Risks of PAHs and Their Derivatives during Winter in Beijing. Atmos. Pollut. Res. 2025, 102879. [Google Scholar] [CrossRef]
- Li, J.; Zhang, G.; Li, X.D.; Qi, S.H.; Liu, G.Q.; Peng, X.Z. Source Seasonality of Polycyclic Aromatic Hydrocarbons (PAHs) in a Subtropical City, Guangzhou, South China. Sci. Total Environ. 2006, 355, 145–155. [Google Scholar] [CrossRef]
- Galarneau, E.; Bidleman, T.F.; Blanchard, P. Seasonality and Interspecies Differences in Particle/Gas Partitioning of PAHs Observed by the Integrated Atmospheric Deposition Network (IADN). Atmos. Environ. 2006, 40, 182–197. [Google Scholar] [CrossRef]
- Akyüz, M.; Çabuk, H. Gas-Particle Partitioning and Seasonal Variation of Polycyclic Aromatic Hydrocarbons in the Atmosphere of Zonguldak, Turkey. Sci. Total Environ. 2010, 408, 5550–5558. [Google Scholar] [CrossRef] [PubMed]
- Yang, Y.; Guo, P.; Zhang, Q.; Li, D.; Zhao, L.; Mu, D. Seasonal Variation, Sources and Gas/Particle Partitioning of Polycyclic Aromatic Hydrocarbons in Guangzhou, China. Sci. Total Environ. 2010, 408, 2492–2500. [Google Scholar] [CrossRef]
- Gurkan Ayyildiz, E.; Esen, F. Atmospheric Polycyclic Aromatic Hydrocarbons (PAHs) at Two Sites, in Bursa, Turkey: Determination of Concentrations, Gas–Particle Partitioning, Sources, and Health Risk. Arch. Environ. Contam. Toxicol. 2020, 78, 350–366. [Google Scholar] [CrossRef]
- Chimjarn, S.; Delhomme, O.; Millet, M. Temporal Distribution and Gas/Particle Partitioning of Polycyclic Aromatic Hydrocarbons (PAHs) in the Atmosphere of Strasbourg, France. Atmosphere 2021, 12, 337. [Google Scholar] [CrossRef]
- Zhu, F.J.; Ma, W.L.; Liu, L.Y.; Zhang, Z.F.; Song, W.W.; Hu, P.T.; Li, W.L.; Qiao, L.N.; Fan, H.Z. Temporal Trends of Atmospheric PAHs: Implications for the Gas-Particle Partition. Atmos. Environ. 2021, 261, 118595. [Google Scholar] [CrossRef]
- Van Overmeiren, P.; Demeestere, K.; De Wispelaere, P.; Gili, S.; Mangold, A.; De Causmaecker, K.; Mattielli, N.; Delcloo, A.; Langenhove, H.V.; Walgraeve, C. Four Years of Active Sampling and Measurement of Atmospheric Polycyclic Aromatic Hydrocarbons and Oxygenated Polycyclic Aromatic Hydrocarbons in Dronning Maud Land, East Antarctica. Environ. Sci. Technol. 2024, 58, 1577–1588. [Google Scholar] [CrossRef]
- Melymuk, L.; Bohlin, P.; Sáňka, O.; Pozo, K.; Klánová, J. Current Challenges in Air Sampling of Semivolatile Organic Contaminants: Sampling Artifacts and Their Influence on Data Comparability. Environ. Sci. Technol. 2014, 48, 14077–14091. [Google Scholar] [CrossRef]
- Balducci, C.; Cecinato, A.; Paolini, V.; Guerriero, E.; Perilli, M.; Romagnoli, P.; Tortorella, C.; Nacci, R.M.; Giove, A.; Febo, A. Volatilization and Oxidative Artifacts of PM Bound PAHs at Low Volume Sampling (2): Evaluation and Comparison of Mitigation Strategies Effects. Chemosphere 2017, 189, 330–339. [Google Scholar] [CrossRef]
- Balducci, C.; Cecinato, A.; Paolini, V.; Guerriero, E.; Perilli, M.; Romagnoli, P.; Tortorella, C.; Iacobellis, S.; Giove, A.; Febo, A. Volatilization and Oxidative Artifacts of PM Bound PAHs Collected at Low Volume Sampling (1): Laboratory and Field Evaluation. Chemosphere 2018, 200, 106–115. [Google Scholar] [CrossRef]
- WHO. Human Health Effects of Polycyclic Aromatic Hydrocarbons as Ambient Air Pollutants: Report of the Working Group on Polycyclic Aromatic Hydrocarbons of the Joint Task Force on the Health Aspects of Air Pollution; Licence: CC BY-NC-SA 3.0 IGO; WHO Regional Office for Europe: Copenhagen, Denmark, 2021. [Google Scholar]
- Dvorská, A.; Komprdová, K.; Lammel, G.; Klánová, J.; Plachá, H. Polycyclic Aromatic Hydrocarbons in Background Air in Central Europe—Seasonal Levels and Limitations for Source Apportionment. Atmos. Environ. 2012, 46, 147–154. [Google Scholar] [CrossRef]
- Katsoyiannis, A.; Breivik, K. Model-Based Evaluation of the Use of Polycyclic Aromatic Hydrocarbons Molecular Diagnostic Ratios as a Source Identification Tool. Environ. Pollut. 2014, 184, 488–494. [Google Scholar] [CrossRef]
- Han, Y.; Chen, Y.; Feng, Y.; Song, W.; Cao, F.; Zhang, Y.; Li, Q.; Yang, X.; Chen, J. Different Formation Mechanisms of PAH during Wood and Coal Combustion under Different Temperatures. Atmos. Environ. 2020, 222, 117084. [Google Scholar] [CrossRef]
- Ray, D.; Ghosh, S.K.; Raha, S. Impacts of Photochemical Ageing on the Half-Lives and Diagnostic Ratio of Polycyclic Aromatic Hydrocarbons Intrinsic to PM2.5 Collected from ‘Real-World’ like Combustion Events of Wood and Rice Straw Burning. J. Hazard. Mater. 2019, 366, 10–15. [Google Scholar] [CrossRef] [PubMed]
- Zheng, X.; Wu, Y.; Zhang, S.; Hu, J.; Zhang, K.M.; Li, Z.; He, L.; Hao, J. Characterizing Particulate Polycyclic Aromatic Hydrocarbon Emissions from Diesel Vehicles Using a Portable Emissions Measurement System. Sci. Rep. 2017, 7, 10058. [Google Scholar] [CrossRef] [PubMed]
- Cecinato, A.; Guerriero, E.; Balducci, C.; Muto, V. Use of the PAH Fingerprints for Identifying Pollution Sources. Urban Clim. 2014, 10, 630–643. [Google Scholar] [CrossRef]
- Famiyeh, L.; Chen, K.; Xu, J.; Sun, Y.; Guo, Q.; Wang, C.; Lv, J.; Tang, Y.T.; Yu, H.; Snape, C.; et al. A Review on Analysis Methods, Source Identification, and Cancer Risk Evaluation of Atmospheric Polycyclic Aromatic Hydrocarbons. Sci. Total Environ. 2021, 789, 147741. [Google Scholar] [CrossRef]
- Tobiszewski, M.; Namieśnik, J. PAH Diagnostic Ratios for the Identification of Pollution Emission Sources. Environ. Pollut. 2012, 162, 110–119. [Google Scholar] [CrossRef]
- Yunker, M.B.; Macdonald, R.W.; Vingarzan, R.; Mitchell, R.H.; Goyette, D.; Sylvestre, S. PAHs in the Fraser River Basin: A Critical Appraisal of PAH Ratios as Indicators of PAH Source and Composition. Org. Geochem. 2002, 33, 489–515. [Google Scholar] [CrossRef]
- Finardi, S.; Radice, P.; Cecinato, A.; Gariazzo, C.; Gherardi, M.; Romagnoli, P. Seasonal Variation of PAHs Concentration and Source Attribution through Diagnostic Ratios Analysis. Urban Clim. 2017, 22, 19–34. [Google Scholar] [CrossRef]
- Manoli, E.; Kouras, A.; Samara, C. Profile Analysis of Ambient and Source Emitted Particle-Bound Polycyclic Aromatic Hydrocarbons from Three Sites in Northern Greece. Chemosphere 2004, 56, 867–878. [Google Scholar] [CrossRef] [PubMed]
- Clément, N.; Muresan, B.; Hedde, M.; François, D. PAH Dynamics in Roadside Environments: Influence on the Consistency of Diagnostic Ratio Values and Ecosystem Contamination Assessments. Sci. Total Environ. 2015, 538, 997–1009. [Google Scholar] [CrossRef] [PubMed]



| ID | Region | Municipality | Inhabitants | Naming | Classification | Geographical Location |
|---|---|---|---|---|---|---|
| SND | Lombardy | Sondrio | 21,244 | Paribelli | Urban background | North |
| PRD | Friuli—Venezia Giulia | Pordenone | 52,344 | Pordenone Centro | Urban traffic | North |
| MI-PA | Lombardy | Milan | 1,371,850 | Pascal—Città Studi | Urban background | North |
| MI-SE | Lombardy | Milan | 1,371,850 | Senato | Urban traffic | North |
| PAD | Veneto | Padua | 207,301 | Mandria | Urban background | North |
| FLO | Tuscany | Florence | 363,837 | Bassi | Urban background | Center |
| RM-ADA | Latium | Rome | 2,754,719 | Villa Ada | Urban background | Center |
| RM-REL | Latium | Rome | 2,754,719 | ISS 1 station— Viale Regina Elena | Urban traffic | Center |
| TAR | Apulia | Taranto | 186,798 | Machiavelli | Urban Industrial | South |
| COS | Calabria | Cosenza | 63,693 | Città dei Ragazzi | Urban background | South |
| CAS Number | PAH | PEF |
|---|---|---|
| 50-32-8 | Benzo(a)pyrene | 1 |
| 56-55-3 | Benzo(a)anthracene | 0.1 |
| 205-99-2 | Benzo(b)fluoranthene | 0.1 |
| 207-08-9 | Benzo(k)fluoranthene | 0.1 |
| 218-01-9 | Chrysene | 0.01 |
| 193-39-5 | Indeno(1,2,3-cd)pyrene | 0.1 |
| 53-70-3 | Dibenzo(a,h)anthracene | 2.4 |
| ng/m3 | SND | PAD | PRD | MI-SE | MI-PA | |||||
| Mean | Median | Mean | Median | Mean | Median | Mean | Median | Mean | Median | |
| BaA | 1.59 ± 2.20 | 0.46 | 1.18 ± 1.77 | 0.36 | 0.52 ± 0.80 | 0.17 | 0.20 ± 0.31 | 0.09 | 0.42 ± 0.57 | 0.28 |
| CHR | 1.55 ± 2.19 | 0.48 | 1.17 ± 1.83 | 0.18 | 0.54 ± 0.86 | 0.16 | 0.24 ± 0.33 | 0.10 | 0.45 ± 0.64 | 0.11 |
| BbF | 1.26 ± 1.66 | 0.41 | 1.41 ± 1.98 | 0.44 | 0.65 ± 0.87 | 0.21 | 0.38 ± 0.50 | 0.16 | 0.58 ± 0.74 | 0.28 |
| BkF | 0.71 ± 0.87 | 0.25 | 0.74 ± 0.99 | 0.22 | 0.41 ± 0.45 | 0.22 | 0.19 ± 0.25 | 0.09 | 0.33 ± 0.39 | 0.24 |
| BaP | 1.48 ± 2.06 | 0.36 | 1.56 ± 2.20 | 0.29 | 0.81 ± 1.04 | 0.28 | 0.33 ± 0.49 | 0.11 | 0.54 ± 0.74 | 0.17 |
| IPY | 1.25 ± 1.37 | 0.67 | 1.17 ± 1.48 | 0.56 | 0.80 ± 0.82 | 0.55 | 0.37 ± 0.49 | 0.16 | 0.60 ± 0.79 | 0.53 |
| DBA | 0.12 ± 0.10 | 0.10 | 0.13 ± 0.13 | 0.08 | 0.07 ± 0.06 | 0.06 | 0.06 ± 0.05 | 0.04 | 0.06 ± 0.05 | 0.04 |
| BPE | 1.19 ± 1.51 | 0.40 | 1.34 ± 1.80 | 0.45 | 0.68 ± 0.89 | 0.23 | 0.49 ± 0.62 | 0.21 | 0.60 ± 0.55 | 0.21 |
| Σ PAHs | 8.7 ± 11.8 | 3.0 | 8.1 ± 11.8 | 2.7 | 3.8 ± 5.5 | 1.9 | 2.1 ± 2.9 | 1.2 | 3.0 ± 4.2 | 1.6 |
| FLO | RM-REL | RM-ADA | COS | TAR | ||||||
| Mean | Median | Mean | Median | Mean | Median | Mean | Median | Mean | Median | |
| BaA | 0.28 ± 0.42 | 0.095 | 0.25 ± 0.36 | 0.09 | 0.24 ± 0.43 | 0.11 | 0.19 ± 0.23 | 0.08 | 0.14 ± 0.15 | 0.09 |
| CHR | 0.27 ± 0.46 | 0.08 | 0.30 ± 0.42 | 0.12 | 0.26 ± 0.44 | 0.11 | 0.24 ± 0.29 | 0.11 | 0.18 ± 0.15 | 0.12 |
| BbF | 0.39 ± 0.51 | 0.14 | 0.39 ± 0.50 | 0.13 | 0.43 ± 0.55 | 0.2 | 0.32 ± 0.35 | 0.14 | 0.23 ± 0.19 | 0.15 |
| BkF | 0.23 ± 0.36 | 0.09 | 0.21 ± 0.26 | 0.08 | 0.21 ± 0.26 | 0.11 | 0.19 ± 0.22 | 0.09 | 0.11 ± 0.10 | 0.07 |
| BaP | 0.43 ± 0.69 | 0.14 | 0.36 ± 0.53 | 0.1 | 0.39 ± 0.55 | 0.16 | 0.36 ± 0.40 | 0.16 | 0.16 ± 0.14 | 0.1 |
| IPY | 0.39 ± 0.51 | 0.19 | 0.34 ± 0.43 | 0.13 | 0.37 ± 0.39 | 0.24 | 0.28 ± 0.29 | 0.15 | 0.16 ± 0.14 | 0.11 |
| DBA | 0.05 ± 0.05 | 0.04 | 0.05 ± 0.04 | 0.03 | 0.05 ± 0.05 | 0.04 | 0.04 ± 0.02 | 0.03 | 0.04 ± 0.04 | 0.03 |
| BPE | 0.51 ± 0.66 | 0.22 | 0.47 ± 0.58 | 0.17 | 0.48 ± 0.55 | 0.23 | 0.39 ± 0.41 | 0.21 | 0.26 ± 0.21 | 0.19 |
| Σ PAHs | 2.4 ± 3.6 | 0.96 | 2.3 ± 3.0 | 0.83 | 2.4 ± 3.1 | 1.2 | 2.0 ± 2.1 | 0.97 | 1.2 ± 1.0 | 0.85 |
| Site ID | % BaP in Carcinogenic PAHs | BEC (ng/m3) | % BEC-BaP | ||
|---|---|---|---|---|---|
| Mean ± Std. Dev. | % Std. Dev. | Mean ± Std. Dev. | Mean ± Std. Dev. | % Std. Dev. | |
| PRD | 24 ± 3.0 | 13 | 1.0 ± 0.86 | 62 ± 12 | 19 |
| SND | 21 ± 4.1 | 20 | 2.2 ± 2.1 | 60 ±12 | 20 |
| PAD | 25 ± 3.2 | 13 | 2.3 ± 1.9 | 64 ± 9.7 | 15 |
| MI-SE | 21 ± 2.9 | 14 | 0.61 ± 0.57 | 56 ± 11 | 19 |
| MI-PA | 20 ± 4.8 | 24 | 0.75 ± 0.67 | 55 ± 17 | 30 |
| FLO | 24 ± 3.9 | 16 | 0.68 ± 0.59 | 63 ± 10.7 | 17 |
| RM-REL | 21 ± 4.6 | 22 | 0.65 ± 0.71 | 58.8 ± 12.7 | 22 |
| RM-ADA | 23 ± 2.6 | 11 | 0.66 ± 0.56 | 60 ± 8.6 | 14 |
| COS | 26 ± 2.8 | 11 | 0.58 ± 0.40 | 66 ± 7.5 | 11 |
| TAR | 19 ± 2.7 | 14 | 0.31 ± 0.14 | 51 ± 11 | 21 |
| Mean | 22 ± 2.2 | 10 | 1.0 ± 0.69 | 61 ± 4.4 | 7.3 |
| Country | n 1 Sites | BaP (ng/m3) | Carcinogenic PAHs (ng/m3) | BaP (%) | BEC ng/m3 | %BEC-BaP |
|---|---|---|---|---|---|---|
| United Kingdom | 24 | 0.34 ± 0.38 | 1.6 ± 1.7 | 21 ± 1.9 | 0.60 ± 0.66 | 56 ± 2.9 |
| France | 21 | 0.15 ± 0.07 | 0.83 ± 0.59 | 19 ± 3.3 | 0.27 ± 0.14 | 56 ± 8.9 |
| Poland | 17 | 2.4 ± 1.3 | 10 ± 5.1 | 23 ± 3.4 | 4.5 ± 2.6 | 57 ± 15 |
| Germany | 13 | 0.29 ± 0.11 | 1.6 ± 0.62 | 18 ± 1.8 | 0.55 ± 0.21 | 53 ± 4.0 |
| Spain | 6 | 0.35 ± 0.40 | 2.3 ± 2.6 | 15 ± 1.8 | 0.60 ± 0.64 | 33 ± 13 |
| Lithuania | 4 | 0.67 ± 0.28 | 3.0 ± 1.1 | 22 ± 0.88 | 1.1 ± 0.40 | 63 ± 1.2 |
| Latvia | 4 | 0.40 ± 0.07 | 2.1 ± 0.34 | 19 ± 1.2 | 0.72 ± 0.11 | 56 ± 2.0 |
| Croatia | 3 | 1.5 ± 0.29 | 6.7 ± 1.3 | 23 ± 0.23 | 2.6 ± 0.5 | 59 ± 0.1 |
| Cyprus | 1 | 0.05 | 0.37 | 14 | 0.09 | 54 |
| Finland | 1 | 0.27 | 1.6 | 18 | 0.57 | 49 |
| Malta | 1 | 0.11 | 0.63 | 17 | 0.18 | 59 |
Disclaimer/Publisher’s Note: The statements, opinions and data contained in all publications are solely those of the individual author(s) and contributor(s) and not of MDPI and/or the editor(s). MDPI and/or the editor(s) disclaim responsibility for any injury to people or property resulting from any ideas, methods, instructions or products referred to in the content. |
© 2026 by the authors. Licensee MDPI, Basel, Switzerland. This article is an open access article distributed under the terms and conditions of the Creative Commons Attribution (CC BY) license.
Share and Cite
Balducci, C.; Santoro, S.; Bencardino, M.; D’Amore, F.; Cerasa, M.; Formenton, G.; Leonardi, C. Evaluation of the Role of Benzo(a)pyrene as Carcinogenic Index of PM10-Bound PAHs in Italian Urban Sites. Environments 2026, 13, 75. https://doi.org/10.3390/environments13020075
Balducci C, Santoro S, Bencardino M, D’Amore F, Cerasa M, Formenton G, Leonardi C. Evaluation of the Role of Benzo(a)pyrene as Carcinogenic Index of PM10-Bound PAHs in Italian Urban Sites. Environments. 2026; 13(2):75. https://doi.org/10.3390/environments13020075
Chicago/Turabian StyleBalducci, Catia, Serena Santoro, Mariantonia Bencardino, Francesco D’Amore, Marina Cerasa, Gianni Formenton, and Cristina Leonardi. 2026. "Evaluation of the Role of Benzo(a)pyrene as Carcinogenic Index of PM10-Bound PAHs in Italian Urban Sites" Environments 13, no. 2: 75. https://doi.org/10.3390/environments13020075
APA StyleBalducci, C., Santoro, S., Bencardino, M., D’Amore, F., Cerasa, M., Formenton, G., & Leonardi, C. (2026). Evaluation of the Role of Benzo(a)pyrene as Carcinogenic Index of PM10-Bound PAHs in Italian Urban Sites. Environments, 13(2), 75. https://doi.org/10.3390/environments13020075

