Microbiological and Chemical Insights into Plasma-Assisted Disinfection of Liquid Digestate from Wastewater Treatment Plant “Kubratovo”
Abstract
1. Introduction
2. Materials and Methods
2.1. Experimental Design
2.2. Plasma Devices and Treatment Modes
2.2.1. β-Device
2.2.2. Surfaguide
2.3. Microbiological Indicators and Research Methods
2.4. Calculation of Disinfection Effectiveness
2.5. Chemical Indicators and Analysis Methods
3. Results and Discussion
3.1. Disinfection Effectiveness and Microbiological Indicators
3.2. Tracking the Dynamics of the Groups of r/K-Strategists Before and After Plasma Treatment
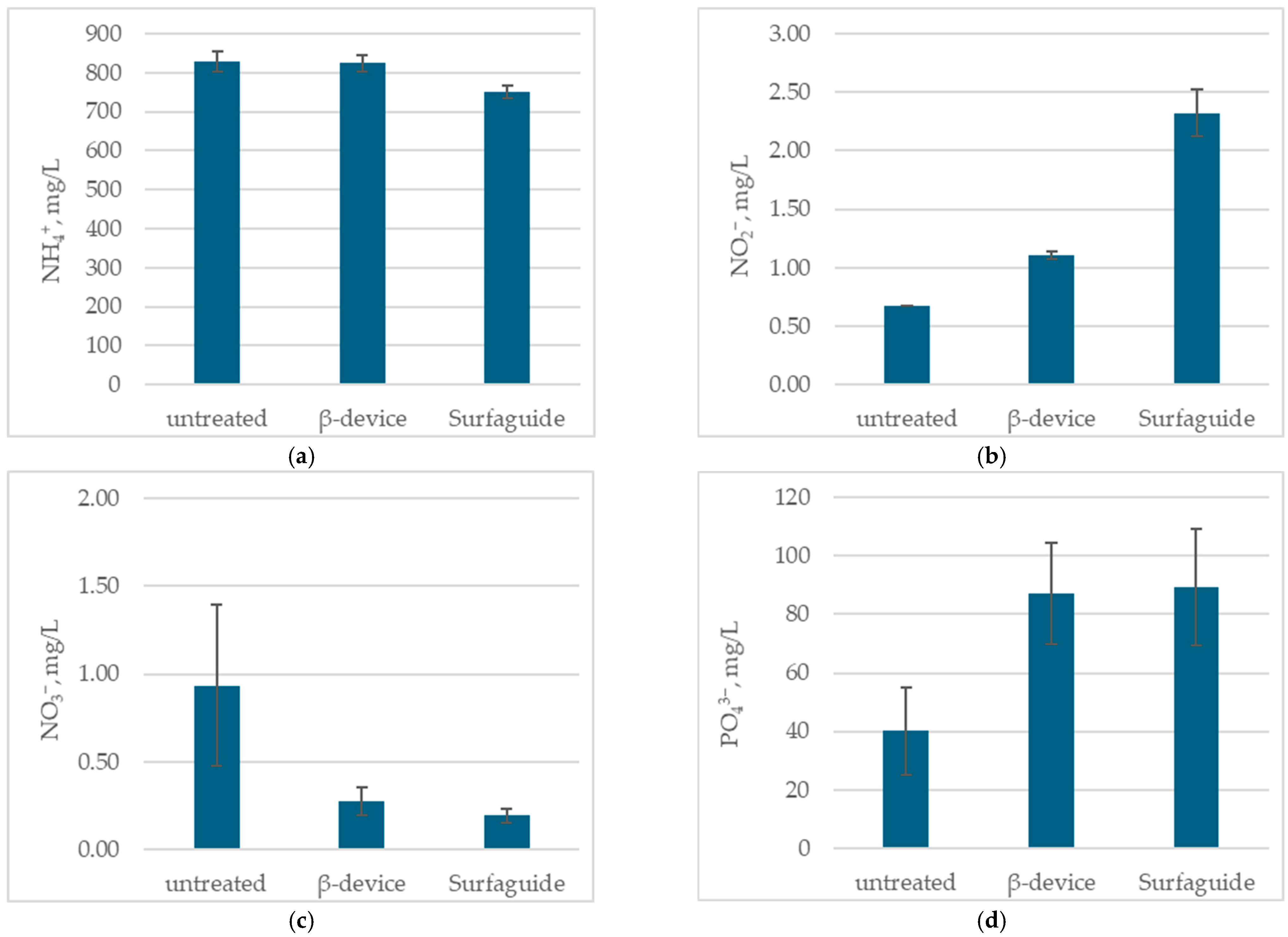
3.3. Chemical Indicators
4. Conclusions
Author Contributions
Funding
Data Availability Statement
Conflicts of Interest
Abbreviations
| AHs | aerobic heterotrophs |
| AnHs | anaerobic heterotrophs |
| ACP | atmospheric cold plasma |
| APCPJ | atmospheric-pressure cold plasma jet |
| APPJ | cold argon plasma jet at atmospheric pressure |
| CAP | cold atmospheric plasma |
| GDP | discharge plasma |
| LTP | low-temperature plasma |
| PAW | plasma-activated water |
| RONS | reactive oxygen and nitrogen species |
| ROS | reactive oxygen species |
| UV | ultraviolet |
| WWTPs | wastewater treatment plants |
References
- Reuland, G.; Sigurnjak, I.; Dekker, H.; Michels, E.; Meers, E. The potential of digestate and the liquid fraction of digestate as chemical fertiliser substitutes under the RENURE criteria. Agronomy 2021, 11, 1374. [Google Scholar] [CrossRef]
- Meradji, S.; Basher, N.S.; Sassi, A.; Ibrahim, N.A.; Idres, T.; Touati, A. The role of water as a reservoir for antibiotic-resistant bacteria. Antibiotics 2025, 14, 763. [Google Scholar] [CrossRef]
- Sakudo, A.; Yagyu, Y.; Onodera, T. Disinfection and sterilization using plasma technology: Fundamentals and future perspectives for biological applications. Int. J. Mol. Sci. 2019, 20, 5216. [Google Scholar] [CrossRef]
- Laroussi, M. Sterilization of contaminated matter with an atmospheric pressure plasma. IEEE Trans. Plasma Sci. 1996, 24, 1188–1191. [Google Scholar] [CrossRef]
- Triantaphyllidou, I.-E.; Aggelopoulos, C.A. Insights on bacteria inactivation in water by cold plasma: Effect of water matrix and pulsed plasmas waveform on physicochemical water properties, species formation and inactivation efficiency of Escherichia coli. Environ. Res. 2025, 266, 120467. [Google Scholar] [CrossRef] [PubMed]
- Xu, H.; Ma, R.; Zhu, Y.; Du, M.; Zhang, H.; Jiao, Z. A systematic study of the antimicrobial mechanisms of cold atmospheric-pressure plasma for water disinfection. Sci. Total. Environ. 2020, 703, 134965. [Google Scholar] [CrossRef] [PubMed]
- Stratton, G.R.; Bellona, C.L.; Dai, F.; Holsen, T.M.; Thagard, S.M. Plasma-based water treatment: Conception and application of a new general principle for reactor design. Chem. Eng. J. 2015, 273, 543–550. [Google Scholar] [CrossRef]
- Harley, J.C.; Suchowerska, N.; McKenzie, D.R. Cancer treatment with gas plasma and with gas plasma-activated liquid: Positives, potentials and problems of clinical translation. Biophys. Rev. 2020, 12, 989–1006. [Google Scholar] [CrossRef]
- Gao, Y.; Francis, K.; Zhang, X. Review on formation of cold plasma activated water (PAW) and the applications in food and agriculture. Food Res. Int. 2022, 157, 111246. [Google Scholar] [CrossRef]
- Kirilova, M.; Todorova, Y.; Marinova, P.; Bogdanov, T.; Yotinov, I.; Schneider, I.; Dinova, N.; Topalova, Y.; Benova, E. Plasma-assisted reduction of toxicity of landfill leachate, spiked with PFOA. J. Water Process Eng. 2025, 76, 108190. [Google Scholar] [CrossRef]
- Todorova, Y.; Benova, E.; Marinova, P.; Yotinov, I.; Bogdanov, T.; Topalova, Y. Non-thermal atmospheric plasma for microbial decontamination and removal of hazardous chemicals: An overview in the circular economy context with data for test applications of microwave plasma torch. Processes 2022, 10, 554. [Google Scholar] [CrossRef]
- Çetin, Ö.; Akalp, E. Efficient use of water and fertilizers in irrigated agriculture: Drip irrigation and fertigation. Acta Hortic. Et Regiotect. 2019, 22, 97–102. [Google Scholar] [CrossRef]
- Cechová, L.; Marinova, P.; Benova, E.; Topalova, Y.; Yotinov, I.; Todorova, Y.; Šimoníková, L.; Novotný, K.; Buday, J.; Modlitbová, P.; et al. Plasma treatment of water and wastewater as a promising approach to promote plant growth. J. Phys. D Appl. Phys. 2025, 58, 115204. [Google Scholar] [CrossRef]
- Chen, C.-H.; Lai, T.; Hsu, S.-Y.; Chen, P.-Y.; Duh, J.-G. Effect of plasma-activated water (PAW) generated with various N2/O2 mixtures on soybean seed germination and seedling growth. IEEE Trans. Plasma Sci. 2023, 51, 3518–3530. [Google Scholar] [CrossRef]
- Wang, X.; Zhou, M.; Jin, X. Application of glow discharge plasma for wastewater treatment. Electrochim. Acta 2012, 83, 501–512. [Google Scholar] [CrossRef]
- Tan, Y.; Bian, Y.; Fu, R.; Niu, H.; Chen, G.; Li, S.; Chen, Y. Potential use of plasma-activated water on Escherichia coli for sterilization: Efficacy and mechanism. Plasma Processes Polym. 2023, 21, 2300095. [Google Scholar] [CrossRef]
- Ziuzina, D.; Patil, S.; Cullen, P.J.; Keener, K.M.; Bourke, P. Atmospheric cold plasma inactivation of Escherichia coli, Salmonella enterica serovar Typhimurium and Listeria monocytogenes inoculated on fresh produce. Food Microbiol. 2014, 42, 109–116. [Google Scholar] [CrossRef]
- Cheng, C.; Liu, P.; Xu, L.; Zhang, L.-Y.; Zhan, R.-J.; Zhang, W.-R. Development of a new atmospheric pressure cold plasma jet generator and application in sterilization. Chin. Phys. 2006, 15, 1544. [Google Scholar] [CrossRef]
- Baldanov, B.B.; Ranzhurov, T.V.; Semenov, A.P.; Gomboeva, S.V. Cold atmospheric argon plasma jet source and its application for bacterial inactivation. J. Theor. Appl. Phys. 2019, 13, 95–99. [Google Scholar] [CrossRef]
- Tipa, R.S.; Boekema, B.; Middelkoop, E.; Kroesen, G.M.W. Cold plasma for bacterial inactivation. In Proceedings of the 20th International Symposium on Plasma Chemistry, Philadelphia, PA, USA, 24–29 July 2011; Volume 20. Available online: https://www.researchgate.net/publication/268286078_Cold_plasma_for_bacterial_inactivation (accessed on 30 July 2011).
- Uhm, H.S.; Hong, Y.C. Various microplasma jets and their sterilization of microbes. Thin Solid Film. 2011, 519, 6974–6980. [Google Scholar] [CrossRef]
- Younis, W.O.; Berekaa, M.M.; Ellbban, M.A.; Gadallah, A.-S.S.; Almarashi, J.Q.; Mohamed, A.-A.H. Potential enhancement of microbial disinfection using oxygen enriched cold atmospheric-pressure argon (Ar/O2) plasma jet. Karbala Int. J. Mod. Sci. 2024, 10, 211–221. [Google Scholar] [CrossRef]
- Uhm, H.S.; Choi, E.H.; Cho, G.S.; Hong, Y.C. Sterilization of microbes by using various plasma jets. J. Korean Phys. Soc. 2012, 60, 897–902. [Google Scholar] [CrossRef]
- Lin, Z.-H.; Tobias Tschang, C.-Y.; Liao, K.-C.; Su, C.-F.; Wu, J.-S.; Ho, M.-T. Ar/O2 Argon-based round atmospheric-pressure plasma jet on sterilizing bacteria and endospores. IEEE Trans. Plasma Sci. 2016, 44, 3140–3147. [Google Scholar] [CrossRef]
- Yang, L.; Chen, J.; Gao, J. Low temperature argon plasma sterilization effect on Pseudomonas aeruginosa and its mechanisms. J. Electrost. 2009, 67, 646–651. [Google Scholar] [CrossRef]
- Fleisch, T.; Kabouzi, Y.; Moisan, M.; Pollak, J.; Castanos-Martınez, E.; Nowakowska, H.; Zakrzewski, Z. Designing an efficient microwave-plasma source, independent of operating conditions, at atmospheric pressure. Plasma Sources Sci. Technol. 2007, 16, 73–182. [Google Scholar] [CrossRef]
- Sofronieva, Y.; Schneider, I.; Todorova, Y.; Dinova, N.; Bogdanova, M.; Yotinov, I.; Bogdanov, T.; Benova, E.; Topalova, Y. Plasma-assisted valorization of liquid digestate from the Ravda Wastewater Treatment Plant: Microbiological and chemical aspects. Environments 2026, 13, 15. [Google Scholar] [CrossRef]
- Bogdanova, M.; Yotinov, I.; Topalova, Y.; Dinova, N.; Kirilova, M.; Bogdanov, T.; Marinova, P.; Benova, E. Cold plasma as an innovative tool for wastewater pre-treatment and post-treatment at Ravda WWTP: Bioindication by means of microbial metabolic potential. Environments 2026, 13, 12. [Google Scholar] [CrossRef]
- De Leij, F.A.A.M.; Whipps, J.M.; Lynch, J.M. The use of colony development for the characterization of bacterial communities in soil and on roots. Microb. Ecol. 1994, 27, 81–97. [Google Scholar] [CrossRef]
- BNS EN 26777; Water Quality—Determination of Nitrite—Molecular Absorption Spectrometric Method. BNS Bulgarian Institute for Standardization: Sofia, Bulgaria, 1997.
- BNS ISO 7890-3; Water Quality—Determination of Nitrate—Part 3: Spectrometric Method Using Sulfosalicylic Acid. BNS Bulgarian Institute for Standardization: Sofia, Bulgaria, 1998.
- BNS ISO 7150-1; Water Quality—Determination of Ammonium—Part 1: Manual Spectrometric Method. BNS Bulgarian Institute for Standardization: Sofia, Bulgaria, 2002.
- BNS ISO 6878; Water Quality—Determination of Phosphorus—Ammonium Molybdate Spectrometric Method. BNS Bulgarian Institute for Standardization: Sofia, Bulgaria, 2004.
- Huang, M.; Zhuang, H.; Zhao, J.; Wang, J.; Yan, W.; Zhang, J. Differences in cellular damage induced by dielectric barrier discharge plasma between Salmonella typhimurium and Staphylococcus aureus. Bioelectrochemistry 2020, 132, 107445. [Google Scholar] [CrossRef]
- Chen, H.; Yuan, D.; Wu, A.; Lin, X.; Li, X. Review of low-temperature plasma nitrogen fixation technology. Waste Dispos. Sustain. Energy 2021, 3, 201–217. [Google Scholar] [CrossRef]
- Baharlounezhad, F.; Mohammadi, M.A. Nitrite manipulation in water by structure change of plasma electrolysis reactor. Sci. Rep. 2024, 14, 23175. [Google Scholar] [CrossRef]
- Andrade, P.E.; Savi, P.J.; Almeida, F.S.; Carciofi, B.A.; Pace, A.; Zou, Y.; Eylands, N.; Annor, G.; Mattson, N.; Nansen, C. Plasma-activated water as a sustainable nitrogen source: Supporting the UN sustainable development goals (SDGs) in controlled environment agriculture. Crops 2025, 5, 35. [Google Scholar] [CrossRef]
- Zheng, Z.; Chang, D.; Liang, J.; Lu, K.; Cui, X.; Li, Y.; Yang, D. Ammonia nitrogen removal by gas–liquid discharge plasma: Investigating the voltage effect and plasma action mechanisms. Water 2023, 15, 3827. [Google Scholar] [CrossRef]
- Rodriguez, E.E.; Tarpeh, W.A.; Wigginton, K.R.; Love, N.G. Application of plasma for the removal of pharmaceuticals in synthetic urine. Environ. Sci. Water Res. Technol. 2022, 8, 523–533. [Google Scholar] [CrossRef]
- Pascal, S.; Moussa, D.; Hnatiuc, E.; Brisset, J.-L. Plasma chemical degradation of phosphorous-containing warfare agents simulants. J. Hazard. Mater. 2010, 175, 1037–1041. [Google Scholar] [CrossRef]





| Plasma Source | Treatment Conditions | Microorganisms | Media | Disinfection Effectiveness | Reference |
|---|---|---|---|---|---|
| Cold atmospheric argon plasma torch | 2.45 GHz, 20 W | Brevibacillus laterosporus BT-271 | Nutrient Broth | 99% for <1 min | [11] |
| Pseudomonas aureofaciens AP-9 | |||||
| Atmospheric cold plasma (ACP) | Escherichia coli NCTC 12900 | Cherry Tomato | 100% for 120 s | [17] | |
| 70 kV RMS in air and at atmospheric pressure | Salmonella enterica typhimurium ATCC 14028 | ||||
| Listeria monocytogenes NCTC 1199 | |||||
| Atmospheric-pressure cold plasma jet (APCPJ) | 14–20 W 6–20 kHz | E. coli | n.d.* | 100% | [18] |
| Bacillus subtilis | 99% for 10 min | ||||
| Cold argon plasma jet at atmospheric pressure (APPJ) | 0.85 W 25 KHz | E. coli M17 | Nutrient Media | 74% for 40 s | [19] |
| Plasma needle/micro-jet | 13.56 MHz | Pseudomonas aeruginosa | LB Agar | 100% for 30 s | [20] |
| Staphylococcus aureus | 100% for 45 s | ||||
| Rf plasma jet Pencil-type microplasma jet Needle-injection plasma system | 2–130 W 25 kHz | Endospores of Bacillus atrophaeus ATCC 9372 | n.d.* | 100% for 60 s | [21] |
| Cold atmospheric-pressure plasma jet | 25 kHz | E. coli | Lysogeny Broth Medium | 97% for 30 s | [22] |
| St. aureus | 93% for 30 s | ||||
| Candida albicans | 96% for 30 s | ||||
| Microplasma jet | 2–70 W | Endospores of B. atrophaeus ATCC 9372 | Tryptic Soy Agar (TSA) | 90% | [23] |
| Argon-based nonthermal atmospheric-pressure plasma jet (APPJ) | 20 kHz | E. coli | Tryptic Soy Broth (TSB) | 100% | [24] |
| B. atrophaeus | Tryptic Soy Agar (TSA) | 100% | |||
| Gas plasma generator | 30–120 W 13.56 MHz | Pseudomonas aeruginosa | Nutrient Broth | 100% for 60 s | [25] |
| Measured Characteristics\Plasma Source | β-Device | Surfaguide |
|---|---|---|
| H2O2, mg/L | 1.92 | 5.62 |
| NO2−, mg/L | 0.26 | 0.61 |
| NO3−, mg/L | 1.57 | 3.81 |
| pH | 7.94 | 5.44 |
| Targeted Microorganism/ Group of Microorganisms | Media | Incubation Temperature | Incubation Period | Colour and Morphology |
|---|---|---|---|---|
| Total aerobic heterotrophs | Nutrient Agar (Fluka Analytical) | 28 ± 2 °C | Up to 48 h | All types |
| Total anaerobic heterotrophs under anaerobic conditions | Nutrient Agar (Fluka Analytical) | 28 ± 2 °C | Up to 168 h in anaerobic jar | All types |
| Salmonella sp. | Salmonella Differential Agar, Modified (HIMEDIA) | 36 ± 2 °C | 48 h | Pink to red colonies |
| Clostridium sp. under anaerobic conditions | Modified Iron Sulphite Agar Base (HIMEDIA) | 36 ± 2 °C | Up to 168 h in anaerobic jar | Black colonies with dark areola |
| Total coliforms Fecal coliforms | Endo Agar (Fluka Analytical) | 36 ± 2 °C—total coliforms | 24 h | Different shades of pink; green or colourless; with or without metal sheen |
| 44 °C—fecal coliforms | ||||
| Escherichia coli Total coliforms | Chromogenic Coliform Agar (CCA)—HIMEDIA | 36 ± 2 °C | 24 h | Deep blue to purple colouring Pink to red colouring or colourless |
Disclaimer/Publisher’s Note: The statements, opinions and data contained in all publications are solely those of the individual author(s) and contributor(s) and not of MDPI and/or the editor(s). MDPI and/or the editor(s) disclaim responsibility for any injury to people or property resulting from any ideas, methods, instructions or products referred to in the content. |
© 2026 by the authors. Licensee MDPI, Basel, Switzerland. This article is an open access article distributed under the terms and conditions of the Creative Commons Attribution (CC BY) license.
Share and Cite
Gelanova, L.; Ilieva, P.; Schneider, I.; Dinova, N.; Todorova, Y.; Daskalova, E.; Aleksova, M.; Marinova, P.; Benova, E.; Topalova, Y. Microbiological and Chemical Insights into Plasma-Assisted Disinfection of Liquid Digestate from Wastewater Treatment Plant “Kubratovo”. Environments 2026, 13, 67. https://doi.org/10.3390/environments13020067
Gelanova L, Ilieva P, Schneider I, Dinova N, Todorova Y, Daskalova E, Aleksova M, Marinova P, Benova E, Topalova Y. Microbiological and Chemical Insights into Plasma-Assisted Disinfection of Liquid Digestate from Wastewater Treatment Plant “Kubratovo”. Environments. 2026; 13(2):67. https://doi.org/10.3390/environments13020067
Chicago/Turabian StyleGelanova, Lyubomira, Polina Ilieva, Irina Schneider, Nora Dinova, Yovana Todorova, Elmira Daskalova, Margita Aleksova, Plamena Marinova, Evgenia Benova, and Yana Topalova. 2026. "Microbiological and Chemical Insights into Plasma-Assisted Disinfection of Liquid Digestate from Wastewater Treatment Plant “Kubratovo”" Environments 13, no. 2: 67. https://doi.org/10.3390/environments13020067
APA StyleGelanova, L., Ilieva, P., Schneider, I., Dinova, N., Todorova, Y., Daskalova, E., Aleksova, M., Marinova, P., Benova, E., & Topalova, Y. (2026). Microbiological and Chemical Insights into Plasma-Assisted Disinfection of Liquid Digestate from Wastewater Treatment Plant “Kubratovo”. Environments, 13(2), 67. https://doi.org/10.3390/environments13020067

