Replacing Soybean Meal with Hemp Leaves with Very Low THC Content in the Diet for Dairy Cows: Impact on Digestibility, Nitrogen Use Efficiency and Energy Metabolism
Simple Summary
Abstract
1. Introduction
2. Materials and Methods
2.1. Analysis of Milk Samples
2.2. Rumen Fluid Analysis
2.3. Analysis of Plasma Metabolites
2.4. Urine Sample Analysis
2.5. Energy and Nitrogen Use Efficiency
2.6. Excreta Collection and Apparent Digestibility
2.7. Indirect Calorimetry and Methane Production
2.8. Statistical Data Analysis
3. Results
3.1. Animal Behavior, Feed and Water Intake
3.2. Animal Performance, Energy and N Use Efficiency
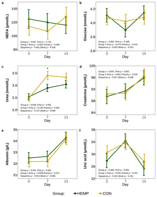
3.3. Plasma Metabolites
3.4. Rumen Fluid Metabolites
3.5. Urine Analysis
3.6. Excreta Collection and Digestibility, Indirect Calorimetry, and Methane Production
4. Discussion
4.1. Animal Health Assessment and Physical Activity
4.2. DMI and Performance in the First Two Weeks of Feeding
4.3. Energy and N Utilization Efficiencies and Urinary N
4.4. Plasma Metabolite Concentrations
4.5. Rumen Fermentation
4.6. Apparent Digestibility and Energy Metabolism During Respiration Chamber Housing
4.7. Limitations
5. Conclusions
Supplementary Materials
Author Contributions
Funding
Institutional Review Board Statement
Informed Consent Statement
Data Availability Statement
Acknowledgments
Conflicts of Interest
Abbreviations
| BFT | back fat thickness |
| BW | body weight |
| CBD | cannabidiol |
| CO2 ferm | CO2 from fermentative and metabolic () processes |
| CON | control-group, receiving a TMR containing 3.5% soya extract meal |
| COX | carbohydrate oxidation |
| CP | crude protein |
| d | day |
| DM | dry matter |
| DMI | dry matter intake |
| EB | Energy balance |
| ECM | energy corrected milk yield |
| EUE | feed energy utilization efficiency |
| FOX | fat oxidation |
| HEMP | group receiving a TMR containing 7.4% dried industrial hemp leaves of the low THC variety “Santhica 27” |
| HP | heat production |
| HPLC | high-performance liquid chromatography |
| mBW | metabolic body weight |
| mCO2 | CO2 from metabolic processes |
| MEI | metabolizable energy intake |
| mRQ | metabolic respiratory quotient |
| N | nitrogen |
| NEFA | non-esterified fatty acids |
| Nu | urinary N excretion |
| NUE | nitrogen utilization efficiency |
| OM | organic matter |
| SCFA | short-chain fatty acids |
| SD | standard deviation |
| SE | standard errors |
| SHB | spent hemp biomass |
| THC | delta-9 tetrahydrocannabinol. |
| TMR | total mixed ration |
References
- Janson, M. Woher Kommen Unsere Sojabohnen? Available online: https://de.statista.com/infografik/31782/deutsche-importe-von-sojabohnen-nach-herkunftslaendern/ (accessed on 13 September 2024).
- Escobar, N.; Tizado, E.J.; zu Ermgassen, E.K.H.J.; Löfgren, P.; Börner, J.; Godar, J. Spatially-explicit footprints of agricultural commodities: Mapping carbon emissions embodied in Brazil’s soy exports. Glob. Environ. Chang. 2020, 62, 102067. [Google Scholar] [CrossRef]
- Semwogerere, F.; Katiyatiya, C.L.F.; Chikwanha, O.C.; Marufu, M.C.; Mapiye, C. Bioavailability and Bioefficacy of Hemp By-Products in Ruminant Meat Production and Preservation: A Review. Front. Vet. Sci. 2020, 7, 572906. [Google Scholar] [CrossRef] [PubMed]
- Nchama, C.N.N.; Fabro, C.; Baldini, M.; Saccà, E.; Foletto, V.; Piasentier, E.; Sepulcri, A.; Corazzin, M. Hempseed By-Product in Diets of Italian Simmental Cull Dairy Cows and Its Effects on Animal Performance and Meat Quality. Animals 2022, 12, 1014. [Google Scholar] [CrossRef] [PubMed]
- Wang, Y.; Gao, J.; Cheng, C.; Lv, J.; Lambo, M.T.; Zhang, G.; Li, Y.; Zhang, Y. Nutritional Values of Industrial Hemp Byproducts for Dairy Cattle. Animals 2022, 12, 3488. [Google Scholar] [CrossRef]
- Baldini, M.; Da Borso, F.; Rossi, A.; Taverna, M.; Bovolenta, S.; Piasentier, E.; Corazzin, M. Environmental Sustainability Assessment of Dairy Farms Rearing the Italian Simmental Dual-Purpose Breed. Animals 2020, 10, 296. [Google Scholar] [CrossRef]
- Helstad, A.; Forsén, E.; Ahlström, C.; Labba, I.C.M.; Sandberg, A.; Rayner, M.; Purhagen, J.K. Protein extraction from cold-pressed hempseed press cake: From laboratory to pilot scale. J. Food Sci. 2022, 87, 312–325. [Google Scholar] [CrossRef]
- Irawan, A.; Puerto-Hernandez, G.M.; Ford, H.R.; Busato, S.; Ates, S.; Cruickshank, J.; Ranches, J.; Estill, C.T.; Trevisi, E.; Bionaz, M. Feeding spent hemp biomass to lactating dairy cows: Effects on performance, milk components and quality, blood parameters, and nitrogen metabolism. J. Dairy Sci. 2024, 107, 258–277. [Google Scholar] [CrossRef]
- Kleinhenz, M.D.; Magnin, G.; Ensley, S.M.; Griffin, J.J.; Goeser, J.; Lynch, E.; Coetzee, J.F. Nutrient concentrations, digestibility, and cannabinoid concentrations of industrial hemp plant components. Appl. Anim. Sci. 2020, 36, 489–494. [Google Scholar] [CrossRef]
- Wang, Y.; Yu, Q.; Wang, X.; Song, J.; Lambo, M.T.; Huang, J.; He, P.; Li, Y.; Zhang, Y. Replacing alfalfa hay with industrial hemp ethanol extraction byproduct and Chinese wildrye hay: Effects on lactation performance, plasma metabolites, and bacterial communities in Holstein cows. Front. Vet. Sci. 2023, 10, 1061219. [Google Scholar] [CrossRef]
- Jensen, R.H.; Rønn, M.; Thorsteinsson, M.; Olijhoek, D.W.; Nielsen, M.O.; Nørskov, N.P. Untargeted Metabolomics Combined with Solid Phase Fractionation for Systematic Characterization of Bioactive Compounds in Hemp with Methane Mitigation Potential. Metabolites 2022, 12, 77. [Google Scholar] [CrossRef]
- Kleinhenz, M.D.; Magnin, G.; Lin, Z.; Griffin, J.; Kleinhenz, K.E.; Montgomery, S.; Curtis, A.; Martin, M.; Coetzee, J.F. Plasma concentrations of eleven cannabinoids in cattle following oral administration of industrial hemp (Cannabis sativa). Sci. Rep. 2020, 10, 12753. [Google Scholar] [CrossRef] [PubMed]
- Kleinhenz, M.D.; Weeder, M.; Montgomery, S.; Martin, M.; Curtis, A.; Magnin, G.; Lin, Z.; Griffin, J.; Coetzee, J.F. Short term feeding of industrial hemp with a high cannabidiolic acid (CBDA) content increases lying behavior and reduces biomarkers of stress and inflammation in Holstein steers. Sci. Rep. 2022, 12, 3683. [Google Scholar] [CrossRef] [PubMed]
- Wagner, B.; Gerletti, P.; Fürst, P.; Keuth, O.; Bernsmann, T.; Martin, A.; Schäfer, B.; Numata, J.; Lorenzen, M.C.; Pieper, R. Transfer of cannabinoids into the milk of dairy cows fed with industrial hemp could lead to Δ9-THC exposure that exceeds acute reference dose. Nat. Food 2022, 3, 921–932. [Google Scholar] [CrossRef] [PubMed]
- Tsaliki, E.; Kalivas, A.; Jankauskiene, Z.; Irakli, M.; Cook, C.; Grigoriadis, I.; Panoras, I.; Vasilakoglou, I.; Dhima, K. Fibre and Seed Productivity of Industrial Hemp (Cannabis sativa L.) Varieties under Mediterranean Conditions. Agronomy 2021, 11, 171. [Google Scholar] [CrossRef]
- Edmonson, A.J.; Lean, I.J.; Weaver, L.D.; Farver, T.; Webster, G. A Body Condition Scoring Chart for Holstein Dairy Cows. J. Dairy Sci. 1989, 72, 68–78. [Google Scholar] [CrossRef]
- Schröder, U.J.; Staufenbiel, R. Invited Review: Methods to Determine Body Fat Reserves in the Dairy Cow with Special Regard to Ultrasonographic Measurement of Backfat Thickness. J. Dairy Sci. 2006, 89, 1–14. [Google Scholar] [CrossRef]
- Muizelaar, W.; Bani, P.; Kuhla, B.; Larsen, M.; Tapio, I.; Yáñez-Ruiz, D.; van Gastelen, S. Rumen fluid sampling via oral stomach tubing method. In Methods in Cattle Physiology and Behaviour Research—Recommendations from the SmartCow Consortium; Viereck, G., Kuhla, B., Danesh Mesgaran, S., Eds.; PUBLISSO: Cologne, Germany, 2020. [Google Scholar]
- Derno, M.; Elsner, H.-G.; Paetow, E.-A.; Scholze, H.; Schweigel, M. Technical note: A new facility for continuous respiration measurements in lactating cows. J. Dairy Sci. 2009, 92, 2804–2808. [Google Scholar] [CrossRef]
- Müller, C.B.M.; Görs, S.; Derno, M.; Tuchscherer, A.; Wimmers, K.; Zeyner, A.; Kuhla, B. Differences between Holstein dairy cows in renal clearance rate of urea affect milk urea concentration and the relationship between milk urea and urinary nitrogen excretion. Sci. Total Environ. 2021, 755, 143198. [Google Scholar] [CrossRef]
- Prahl, M.C.; Müller, C.B.M.; Wimmers, K.; Kuhla, B. Mammary gland, kidney and rumen urea and uric acid transporters of dairy cows differing in milk urea concentration. Sci. Rep. 2023, 13, 17231. [Google Scholar] [CrossRef]
- Erdmann, S.; Derno, M.; Schäff, C.T.; Börner, S.; Kautzsch, U.; Kuhla, B.; Hammon, H.M.; Tuchscherer, A.; Röntgen, M. Comparative analyses of estimated and calorimetrically determined energy balance in high-yielding dairy cows. J. Dairy Sci. 2019, 102, 4002–4013. [Google Scholar] [CrossRef]
- Chwalibog, A.; Jensen, K.; Thorbek, G. Oxidation of nutrients in bull calves treated with beta-adrenergic agonists. Arch. Tierernahr. 1996, 49, 255–261. [Google Scholar] [CrossRef] [PubMed]
- Frayn, K.N. Calculation of substrate oxidation rates in vivo from gaseous exchange. J. Appl. Physiol. 1983, 55, 628–634. [Google Scholar] [CrossRef] [PubMed]
- Brouwer, E. Report of sub-committee on constants and factors. In Proceedings of the 3rd EAAP Symposium on Energy Metabolism, Troon, Scotland, May 1964; Blaxter, K.L., Ed.; Academic Press: London, UK, 1965; pp. 441–443. [Google Scholar]
- Labes, D.; Schütz, H.; Lang, B. PowerTOST: Power and Sample Size for (Bio)Equivalence Studies, Version 1.5-4. 2022. Available online: https://cran.r-project.org/web/packages/PowerTOST/index.html (accessed on 13 September 2024).
- Champely, S.; Ekstrom, C.; Dalgaard, P.; Gill, J.; Weibelzahl, S.; Anandkumar, A.; Ford, C.; Volcic, R.; De Rosario, H. PWR: Basic Functions for Power Analysis, R package Version 1.3-0. 2020. Available online: https://CRAN.R-project.org/package=pwr (accessed on 13 September 2024).
- R Core Team. R: A Language and Environment for Statistical Computing, version 4.3.1; R Foundation for Statistical Computing: Vienna, Austria, 2023. [Google Scholar]
- Lüdecke, D.; Ben-Shachar, M.S.; Patil, I.; Waggoner, P.; Makowski, D. Performance: An R Package for Assessment, Comparison and Testing of Statistical Models. J. Open Source Softw. 2021, 6, 3139. [Google Scholar] [CrossRef]
- Kuznetsova, A.; Brockhoff, P.B.; Christensen, R.H.B. lmerTest Package: Tests in Linear Mixed Effects Models. J. Stat. Softw. 2017, 82, 1–26. [Google Scholar] [CrossRef]
- Brooks, M.E.; Kristensen, K.; van Benthem, K.J.; Magnusson, A.; Berg, C.W.; Nielsen, A.; Skaug, H.J.; Mächler, M.; Bolker, B.M. glmmTMB Balances Speed and Flexibility Among Packages for Zero-inflated Generalized Linear Mixed Modeling. R J. 2017, 9, 378–400. [Google Scholar] [CrossRef]
- Schielzeth, H.; Dingemanse, N.J.; Nakagawa, S.; Westneat, D.F.; Allegue, H.; Teplitsky, C.; Réale, D.; Dochtermann, N.A.; Garamszegi, L.Z.; Araya-Ajoy, Y.G. Robustness of linear mixed-effects models to violations of distributional assumptions. Methods Ecol. Evol. 2020, 11, 1141–1152. [Google Scholar] [CrossRef]
- Grelet, C.; Dries, V.V.; Leblois, J.; Wavreille, J.; Mirabito, L.; Soyeurt, H.; Franceschini, S.; Gengler, N.; Brostaux, Y.; Consortium, H.; et al. Identification of chronic stress biomarkers in dairy cows. Animal 2022, 16, 100502. [Google Scholar] [CrossRef]
- Mohr, E.; Langbein, J.; Nürnberg, G. Heart rate variability: A noninvasive approach to measure stress in calves and cows. Physiol. Behav. 2002, 75, 251–259. [Google Scholar] [CrossRef]
- Schirmann, K.; Chapinal, N.; Weary, D.M.; Heuwieser, W.; von Keyserlingk, M.A.G. Rumination and its relationship to feeding and lying behavior in Holstein dairy cows. J. Dairy Sci. 2012, 95, 3212–3217. [Google Scholar] [CrossRef]
- Costa, J.H.C.; Daros, R.R.; von Keyserlingk, M.A.G.; Weary, D.M. Complex social housing reduces food neophobia in dairy calves. J. Dairy Sci. 2014, 97, 7804–7810. [Google Scholar] [CrossRef]
- Chapple, R.; Lynch, J.J. Behavioural factors modifying acceptance of supplementary foods by sheep. Res. Dev. Agric. 1986, 3, 113–120. [Google Scholar]
- Launchbaugh, K.L.; Provenza, F.D.; Werkmeister, M.J. Overcoming food neophobia in domestic ruminants through addition of a familiar flavor and repeated exposure to novel foods. Appl. Anim. Behav. Sci. 1997, 54, 327–334. [Google Scholar] [CrossRef]
- Parker, N.B.; Bionaz, M.; Ford, H.R.; Irawan, A.; Trevisi, E.; Ates, S. Assessment of spent hemp biomass as a potential ingredient in ruminant diet: Nutritional quality and effect on performance, meat and carcass quality, and hematological parameters in finishing lambs. J. Anim. Sci. 2022, 100, skac263. [Google Scholar] [CrossRef] [PubMed]
- McLaughlin, C.L.; Baile, C.A.; Bender, P.E. Cannabinols and feeding in sheep. Psychopharmacology 1979, 64, 321–323. [Google Scholar] [CrossRef]
- Aloo, S.O.; Kwame, F.O.; Oh, D.-H. Identification of possible bioactive compounds and a comparative study on in vitro biological properties of whole hemp seed and stem. Food Biosci. 2023, 51, 102329. [Google Scholar] [CrossRef]
- Axentii, M.; Codină, G.G. Exploring the Nutritional Potential and Functionality of Hemp and Rapeseed Proteins: A Review on Unveiling Anti-Nutritional Factors, Bioactive Compounds, and Functional Attributes. Plants 2024, 13, 1195. [Google Scholar] [CrossRef]
- Besharati, M.; Maggiolino, A.; Palangi, V.; Kaya, A.; Jabbar, M.; Eseceli, H.; De Palo, P.; Lorenzo, J.M. Tannin in Ruminant Nutrition: Review. Molecules 2022, 27, 8273. [Google Scholar] [CrossRef]
- Zhan, J.; Liu, M.; Su, X.; Zhan, K.; Zhang, C.; Zhao, G. Effects of alfalfa flavonoids on the production performance, immune system, and ruminal fermentation of dairy cows. Asian-Australas. J. Anim. Sci. 2017, 30, 1416–1424. [Google Scholar] [CrossRef]
- Stevens, S.A.; Krebs, G.L.; Scrivener, C.J.; Noble, G.K.; Blake, B.L.; Dods, K.C.; May, C.D.; Tai, Z.X.; Clayton, E.H.; Lynch, E.E.; et al. Nutrient digestibility, rumen parameters, and (cannabinoid) residues in sheep fed a pelleted diet containing green hemp (Cannabis sativa L.) biomass. Transl. Anim. Sci. 2022, 6, txac141. [Google Scholar] [CrossRef]
- Holter, J.B.; Urban, W.E. Water Partitioning and Intake Prediction in Dry and Lactating Holstein Cows. J. Dairy Sci. 1992, 75, 1472–1479. [Google Scholar] [CrossRef]
- Lukas, J.M.; Reneau, J.K.; Linn, J.G. Water Intake and Dry Matter Intake Changes as a Feeding Management Tool and Indicator of Health and Estrus Status in Dairy Cows. J. Dairy Sci. 2008, 91, 3385–3394. [Google Scholar] [CrossRef] [PubMed]
- Iommelli, P.; Zicarelli, F.; Amato, R.; Musco, N.; Sarubbi, F.; Bailoni, L.; Lombardi, P.; Bennardo, F.D.; Infascelli, F.; Tudisco, R. The Effects of Hemp Hay (Canapa sativa L.) in the Diets of Grazing Goats on Milk Production and Fatty Acid Profile. Anim. 2024, 14, 2373. [Google Scholar] [CrossRef] [PubMed]
- Amato, R.; Oteri, M.; Chiofalo, B.; Zicarelli, F.; Musco, N.; Sarubbi, F.; Pacifico, S.; Formato, M.; Lombardi, P.; Bennardo, F.D.; et al. Diet supplementation with hemp (Cannabis sativa L.) inflorescences: Effects on quanti-qualitative milk yield and fatty acid profile on grazing dairy goats. Vet. Q. 2024, 44, 1–8. [Google Scholar] [CrossRef] [PubMed]
- Börner, S.; Albrecht, E.; Schäff, C.; Hacke, S.; Kautzsch, U.; Derno, M.; Hammon, H.M.; Röntgen, M.; Sauerwein, H.; Kuhla, B. Reduced AgRP activation in the hypothalamus of cows with high extent of fat mobilization after parturition. Gen. Comp. Endocrinol. 2013, 193, 167–177. [Google Scholar] [CrossRef]
- Hussein, H.A.; Westphal, A.; Staufenbiel, R. Relationship between body condition score and ultrasound measurement of backfat thickness in multiparous Holstein dairy cows at different production phases. Aust. Vet. J. 2013, 91, 185–189. [Google Scholar] [CrossRef]
- Kitkas, G.C.; Valergakis, G.E.; Kritsepi-Konstantinou, M.; Gelasakis, A.I.; Katsoulos, P.D.; Kalaitzakis, E.; Panousis, N.K. Association between Ruminal pH and Rumen Fatty Acids Concentrations of Holstein Cows during the First Half of Lactation. Ruminants 2022, 2, 382–389. [Google Scholar] [CrossRef]
- Beauchemin, K.A. Invited review: Current perspectives on eating and rumination activity in dairy cows. J. Dairy Sci. 2018, 101, 4762–4784. [Google Scholar] [CrossRef]
- Zhang, S.; Albornoz, R.I.; Aschenbach, J.R.; Barreda, D.R.; Penner, G.B. Short-term feed restriction impairs the absorptive function of the reticulo-rumen and total tract barrier function in beef cattle. J. Anim. Sci. 2013, 91, 1685–1695. [Google Scholar] [CrossRef]
- Dijkstra, J.; Ellis, J.L.; Kebreab, E.; Strathe, A.B.; López, S.; France, J.; Bannink, A. Ruminal pH regulation and nutritional consequences of low pH. Anim. Feed. Sci. Technol. 2012, 172, 22–33. [Google Scholar] [CrossRef]
- Radwan, M.M.; Chandra, S.; Gul, S.; ElSohly, M.A. Cannabinoids, Phenolics, Terpenes and Alkaloids of Cannabis. Molecules 2021, 26, 2774. [Google Scholar] [CrossRef]
- Vasta, V.; Daghio, M.; Cappucci, A.; Buccioni, A.; Serra, A.; Viti, C.; Mele, M. Invited review: Plant polyphenols and rumen microbiota responsible for fatty acid biohydrogenation, fiber digestion, and methane emission: Experimental evidence and methodological approaches. J. Dairy Sci. 2019, 102, 3781–3804. [Google Scholar] [CrossRef] [PubMed]
- Tan, Z.; Murphy, M.R. Ammonia production, ammonia absorption, and urea recycling in ruminants. A review. J. Anim. Feed. Sci. 2004, 13, 389–404. [Google Scholar] [CrossRef]
- Breves, G.; Diener, M.; Gäbel, G. Vormägen. In Physiologie der Haustiere, 6th ed.; vollständig überarbeitete und erweiterte Auflage ed.; Breves, G., Diener, M., Gäbel, G., Eds.; Georg Thieme Verlag KG: Stuttgart, Germany, 2022. [Google Scholar]
- Tas, B.M.; Susenbeth, A. Urinary purine derivates excretion as an indicator of in vivo microbial N flow in cattle: A review. Livest. Sci. 2007, 111, 181–192. [Google Scholar] [CrossRef]
- Fogaça, M.V.; Campos, A.C.; Coelho, L.D.; Duman, R.S.; Guimarães, F.S. The anxiolytic effects of cannabidiol in chronically stressed mice are mediated by the endocannabinoid system: Role of neurogenesis and dendritic remodeling. Neuropharmacology 2018, 135, 22–33. [Google Scholar] [CrossRef]
- Resstel, L.B.; Tavares, R.F.; Lisboa, S.F.; Joca, S.R.; Corrêa, F.M.; Guimarães, F.S. 5-HT1A receptors are involved in the cannabidiol-induced attenuation of behavioural and cardiovascular responses to acute restraint stress in rats. Br. J. Pharmacol. 2009, 156, 181–188. [Google Scholar] [CrossRef]
- Wang, S.; Kreuzer, M.; Braun, U.; Schwarm, A. Effect of unconventional oilseeds (safflower, poppy, hemp, camelina) on in vitro ruminal methane production and fermentation. J. Sci. Food Agric. 2017, 97, 3864–3870. [Google Scholar] [CrossRef]
- Vastolo, A.; Calabrò, S.; Pacifico, S.; Koura, B.I.; Cutrignelli, M.I. Chemical and nutritional characteristics of Cannabis sativa L. co-products. J. Anim. Physiol. Anim. Nutr. 2021, 105, 1–9. [Google Scholar] [CrossRef]






| Item | Hemp-Containing Diet | Soya-Containing Diet | Washout Diet | |||
|---|---|---|---|---|---|---|
| Component, g/kg of DM | Mean | SD | Mean | SD | Mean | SD |
| Grass–silage | 201.05 | 56.67 | 208.17 | 57.70 | 222.51 | 42.69 |
| Corn silage | 395.57 | 47.22 | 410.47 | 51.18 | 346.54 | 32.11 |
| Straw | 17.71 | 0.29 | 11.88 | 7.30 | ||
| Rapeseed extraction meal | 87.13 | 6.76 | 77.66 | 9.65 | 67.47 | 14.72 |
| Soybean extraction meal | 35.06 | 3.11 | ||||
| Wheat seeds | 24.00 | 7.86 | 24.84 | 7.97 | 21.88 | 8.90 |
| Corn meal | 61.24 | 6.24 | 63.54 | 6.81 | 54.31 | 6.00 |
| Vicia faba | 30.51 | 4.28 | 31.67 | 4.60 | 26.99 | 3.59 |
| Lupin beans | 15.89 | 11.28 | 16.54 | 11.75 | 13.52 | 9.82 |
| Concentrate mix 1 | 99.04 | 4.28 | 102.68 | 3.81 | 186.36 | 21.53 |
| Mineral feed 2 | 6.22 | 0.57 | 6.45 | 0.55 | 5.59 | 1.02 |
| Hemp leaves | 74.32 | 0.85 | ||||
| Limestone 3 | 3.31 | 0.20 | 3.43 | 0.19 | 2.97 | 0.47 |
| Soybean oil | 1.72 | 0.19 | 1.78 | 0.19 | 1.55 | 0.31 |
| Hay | 8.43 | 8.47 | ||||
| Nutrients, g/kg of DM | ||||||
| Crude ash | 72.83 | 4.41 | 64.33 | 4.11 | 68.01 | 4.99 |
| Crude protein | 154.17 | 5.37 | 152.17 | 4.41 | 152.32 | 4.33 |
| Crude fat | 36.17 | 1.34 | 34.33 | 3.09 | 32.87 | 8.96 |
| Crude fiber | 161.33 | 4.71 | 173.33 | 17.33 | 171.18 | 7.20 |
| ADF om | 188.83 | 5.98 | 200.00 | 10.60 | 198.96 | 2.78 |
| aNDF om | 352.83 | 15.86 | 358.17 | 25.15 | 369.17 | 17.37 |
| Starch | 244.00 | 18.66 | 245.67 | 32.71 | 244.45 | 24.93 |
| DM content, % | 41.68 | 1.82 | 42.01 | 2.25 | 41.79 | 2.78 |
| ME, MJ/kg DM | 11.45 | 0.15 | 11.45 | 0.30 | 11.57 | 0.10 |
| NEL, MJ/kg DM | 7.02 | 0.11 | 6.97 | 0.21 | 7.09 | 0.11 |
| GE, J/g DM | 18,257 | 428 | 18,647 | 161 | 18,694 | 231 |
| HEMP | CON | p Values | ||||||
|---|---|---|---|---|---|---|---|---|
| EMM | SE | EMM | SE | Group | Period | Sequence | Block | |
| pH | 6.52 | 0.084 | 6.74 | 0.084 | 0.056 | 0.233 | 0.141 | 0.494 |
| NH3, mmol/L | 5.77 | 0.618 | 6.53 | 0.618 | 0.383 | 0.671 | 0.268 | 0.182 |
| Total SCFA, mmol/L | 135.0 | 7.58 | 127.0 | 7.58 | 0.432 | 0.273 | 0.454 | 0.041 |
| Molar percentage of total SCFA, mol% | ||||||||
| Acetic acid | 61.00 | 0.703 | 62.20 | 0.703 | 0.159 | 0.675 | 0.068 | 0.974 |
| Propionic acid | 22.80 | 0.798 | 21.50 | 0.798 | 0.166 | 0.358 | 0.010 | 0.355 |
| iso-butyric acid | 0.83 | 0.029 | 0.86 | 0.029 | 0.405 | 0.423 | 0.122 | 0.057 |
| n-butyric acid | 12.00 | 0.270 | 11.90 | 0.270 | 0.757 | 0.053 | 0.961 | 0.032 |
| iso-valeric acid | 1.09 | 0.063 | 1.25 | 0.063 | 0.047 | 0.026 | 0.971 | 0.272 |
| n-valeric acid | 1.64 | 0.051 | 1.53 | 0.051 | 0.152 | 0.318 | 0.414 | 0.336 |
| n-caproic acid | 0.65 | 0.040 | 0.73 | 0.040 | 0.176 | 0.111 | 0.147 | 0.111 |
| Acetic acid/Propionic acid ratio | 2.74 | 0.12 | 2.93 | 0.12 | 0.166 | 0.468 | 0.077 | 0.644 |
| HEMP | CON | p Values | ||||||
|---|---|---|---|---|---|---|---|---|
| EMM | SE | EMM | SE | Group | Period | Sequence | Block | |
| Urea, g/L | 10.3 | 1.04 | 14.4 | 1.04 | 0.018 | 0.306 | 0.839 | 0.100 |
| Uric acid, mg/L | 0.43 | 0.056 | 0.54 | 0.056 | 0.078 | 0.028 | 0.420 | 0.712 |
| Allantoin, mg/L | 3.64 | 0.297 | 4.30 | 0.297 | 0.132 | 0.389 | 0.435 | <0.001 |
| Purine derivates, mg/L | 4.07 | 0.317 | 4.85 | 0.317 | 0.098 | 0.338 | 0.365 | <0.001 |
| Creatine, mg/L | 0.63 | 0.069 | 0.95 | 0.069 | 0.004 | 0.460 | 0.132 | 0.546 |
| Creatinine, mg/L | 0.76 | 0.059 | 0.96 | 0.059 | 0.025 | 0.742 | 0.947 | 0.118 |
| Hippuric acid, mg/L | 12.9 | 1.13 | 15.7 | 1.13 | 0.077 | 0.517 | 0.985 | 0.880 |
| Creatine/ creatinine ratio | 0.74 | 0.049 | 0.84 | 0.049 | 0.142 | 0.815 | 0.025 | 0.080 |
| N, wt% | 11.8 | 0.39 | 13.6 | 0.39 | 0.001 | 0.250 | 0.863 | 0.053 |
| Urine quantity, kg | 11.5 | 0.46 | 11.1 | 0.45 | 0.401 | 0.172 | 0.352 | 0.151 |
| Urinary N excretion, g/d | 93.2 | 8.69 | 116.1 | 8.37 | 0.054 | 0.045 | 0.696 | 0.203 |
| HEMP | CON | p Values | ||||||
|---|---|---|---|---|---|---|---|---|
| Item | EMM | SE | EMM | SE | Group | Sequence | Period | Block |
| Respiratory rate (min−1) | 34 | 1.4 | 34 | 1.3 | 0.625 | 0.375 | 0.140 | 0.016 |
| Heart rate (min−1) | 75 | 1.7 | 75 | 1.6 | 0.834 | 0.508 | 0.978 | 0.017 |
| mBW, kg0.75 | 124 | 1.88 | 127 | 1.85 | 0.056 | 0.002 | 0.975 | 0.167 |
| DMI, kg/d | 17.6 | 0.53 | 17.4 | 0.51 | 0.658 | 0.826 | 0.182 | 0.113 |
| DMI decline, % 1 | 12.7 | 3.3 | 18.5 | 3.1 | 0.080 | 0.329 | 0.508 | 0.084 |
| Milk yield, kg/d | 29.8 | 1.39 | 29.7 | 1.37 | 0.846 | 0.581 | 0.911 | 0.729 |
| ECM, kg/d | 29.5 | 1.16 | 30.1 | 1.09 | 0.526 | 0.577 | 0.874 | 0.510 |
| Milk protein | 3.63 | 0.058 | 3.59 | 0.057 | 0.130 | 0.385 | 0.001 | 0.609 |
| Milk fat, % | 4.06 | 0.256 | 4.23 | 0.251 | 0.195 | 0.781 | 0.384 | 0.949 |
| Lactose, % | 4.99 | 0.038 | 4.99 | 0.035 | 0.992 | 0.399 | 0.295 | 0.096 |
| Milk urea, mg/L | 232 | 13.0 | 238 | 11.6 | 0.747 | 0.255 | 0.0.34 | 0.264 |
| mRQ | 0.92 | 0.008 | 0.91 | 0.007 | 0.243 | 0.402 | 0.010 | 0.119 |
| FOX/mBW, g/kg0.75 | 5.7 | 0.71 | 6.9 | 0.66 | 0.268 | 0.323 | 0.003 | 0.212 |
| COX/mBW, g/kg0.75 | 48.7 | 2.26 | 46.6 | 2.15 | 0.371 | 0.665 | 0.063 | 0.241 |
| HP/mBW, kJ/kg0.75 | 1135 | 21.1 | 1138 | 22.8 | 0.849 | 0.754 | 0.026 | 0.314 |
| EB, MJ ME | −32.7 | 5.73 | −38.1 | 5.11 | 0.534 | 0.727 | 0.351 | 0.036 |
| CH4, L/d | 511 | 14.4 | 522 | 14.1 | 0.284 | 0.584 | 0.042 | 0.386 |
| CH4/DMI, L/kg | 29.2 | 0.80 | 30.2 | 0.79 | 0.068 | 0.814 | 0.538 | 0.422 |
| CH4/ECM, L/kg | 17.4 | 0.68 | 17.5 | 0.63 | 0.865 | 0.907 | 0.237 | 0.850 |
| HEMP | CON | p Values | ||||||
|---|---|---|---|---|---|---|---|---|
| EMM | SE | EMM | SE | Group | Period | Sequence | Block | |
| Urinary N excretion, g/d | 93.2 | 8.69 | 116.1 | 8.37 | 0.054 | 0.045 | 0.696 | 0.203 |
| Fecal N excretion, g/d | 151.0 | 6.74 | 147.0 | 6.32 | 0.549 | 0.715 | 0.348 | 0.036 |
| Crude protein degradability, % | 64.1 | 1.33 | 65.2 | 1.25 | 0.590 | 0.247 | 0.368 | 0.140 |
| OM digestibility, % | 67.4 | 1.46 | 58,9 | 1.37 | 0.507 | 0.324 | 0.722 | 0.039 |
| DM digestibility, % | 65.7 | 1.56 | 67.5 | 1.46 | 0.407 | 0.353 | 0.875 | 0.036 |
| Energy digestibility, % | 65.1 | 1.73 | 67.1 | 1.62 | 0.384 | 0.228 | 0.800 | 0.061 |
Disclaimer/Publisher’s Note: The statements, opinions and data contained in all publications are solely those of the individual author(s) and contributor(s) and not of MDPI and/or the editor(s). MDPI and/or the editor(s) disclaim responsibility for any injury to people or property resulting from any ideas, methods, instructions or products referred to in the content. |
© 2025 by the authors. Licensee MDPI, Basel, Switzerland. This article is an open access article distributed under the terms and conditions of the Creative Commons Attribution (CC BY) license (https://creativecommons.org/licenses/by/4.0/).
Share and Cite
Schwerdtfeger, J.; Görs, S.; Kuhla, B. Replacing Soybean Meal with Hemp Leaves with Very Low THC Content in the Diet for Dairy Cows: Impact on Digestibility, Nitrogen Use Efficiency and Energy Metabolism. Animals 2025, 15, 1662. https://doi.org/10.3390/ani15111662
Schwerdtfeger J, Görs S, Kuhla B. Replacing Soybean Meal with Hemp Leaves with Very Low THC Content in the Diet for Dairy Cows: Impact on Digestibility, Nitrogen Use Efficiency and Energy Metabolism. Animals. 2025; 15(11):1662. https://doi.org/10.3390/ani15111662
Chicago/Turabian StyleSchwerdtfeger, Jessica, Solvig Görs, and Björn Kuhla. 2025. "Replacing Soybean Meal with Hemp Leaves with Very Low THC Content in the Diet for Dairy Cows: Impact on Digestibility, Nitrogen Use Efficiency and Energy Metabolism" Animals 15, no. 11: 1662. https://doi.org/10.3390/ani15111662
APA StyleSchwerdtfeger, J., Görs, S., & Kuhla, B. (2025). Replacing Soybean Meal with Hemp Leaves with Very Low THC Content in the Diet for Dairy Cows: Impact on Digestibility, Nitrogen Use Efficiency and Energy Metabolism. Animals, 15(11), 1662. https://doi.org/10.3390/ani15111662

