Simple Summary
The use of diets with optimal levels of amino acids in animal production will cause the animal’s productive traits to be better, to have less contamination, etc. This work compares two diets: Diet MMM, with an amino acid level according to the current recommendations (M = medium levels of lysine, methionine, and threonine, respectively), and Diet MHL, with higher levels of lysine (H), medium levels of methionine, and lower levels of threonine, which improved protein utilization in a previous experiment. This work analyzes the effects of this novel combination on performance, digestibility, and retention. Finally, it is concluded that this new combination, which reduced the excretion of urea, improves the growth rate, the feed conversion ratio, and the retention of the main nutrients in fast-growing rabbits.
Abstract
The main aim of this work was to evaluate a novel combination of the first limiting amino acids (lysine, methionine, and threonine) in fast-growing rabbits (combination MHL, shown to minimise levels of plasmatic urea nitrogen in previous research, medium level of lysine, high level of methionine, and low level of threonine) and compare it with current recommendations (combination MMM, medium level of all amino acids). A total of 165 weaned rabbits (28 d old) from a paternal line selected for growth rate were used in the growth trial. The effect of the diet on apparent fecal digestibility, as well as the apparent and true ileal digestibility, were studied. Nutrient retention was also determined. Although no differences in digestibility between diets were observed, animals fed with Diet MHL improved the global average daily gain (+2.3 g/d; p = 0.0482) and feed conversion ratio (−0.10; p = 0.0229). Animals fed with Diet MMM reduced the protein-to-energy ratio retained (p = 0.0086). In conclusion, Diet MHL promoted an improvement in growth traits in a paternal line. Consequently, we propose its levels of 6.4, 5.4, and 5.0 g/kg DM of true ileal digestible lysine, methionine, and threonine, respectively.
1. Introduction
In growing rabbits, a selection for feed efficiency has been carried out indirectly in paternal lines by selecting an average daily gain (ADG), as there is a genetic negative correlation between these two traits [1,2]. Considering the expected genetic progress in these paternal lines (0.45 g/d per generation and two generations per year; [3]), over the last 20 years, the ADG and requirements of these rabbits may have increased by 40%, and there are currently animals with high ADG. However, since the onset of epizootic illness enteropathy in rabbits, the dietary protein content in commercial diets has been reduced [4]. There is a problem that this work wants to address; the use of the current diets in growing rabbits from paternal lines could be affecting the expression of their genetic potential and, therefore, the correct elaboration of the genetic rankings.
Recently, Marín-García et al. (2020a) [5] observed that, although rabbits with ADG above 50 g/d improved their feed conversion ratio (FCR) compared to animals showing lower ADG, they had lower protein and higher energy retention. Carabaño et al. (2009) [6] reported that dietary protein levels around 140 g/kg did not impair growth performance of growing rabbits with ADG up to 55 g per day, if digestible protein (DP):digestible energy (DE) (DP:DE) is circa. 9.5 and the amino acid supply is correct. However, the higher ADG of the current fast-growing animals and their lower protein retention might suggest the existence of some limiting amino acid when such diets are used in animals with high growth rates. Subsequently, Marín-García et al. (2020b) [7] observed that the plasma urea nitrogen (PUN) level, which corresponds to the amount of nitrogen in the form of urea circulating in the bloodstream, could be an adequate indicator to detect amino acid imbalances in growing rabbit diets. The use of PUN as a bioindicator of amino acid imbalances was consequently validated.
Lysine, sulphur amino acids (methionine and cysteine), and threonine have been considered the first three limiting amino acids in rabbits, and their requirements for growing rabbits are considered well-established [8]. For this reason, using the PUN technique, Marín-García et al. (2020c) [9] tested three dietary levels [M, medium according to current recommendations [8]; H, high, +15% of these recommendations; and L, low, –15%)] of these three limiting amino acids (lysine, methionine, and threonine) in a 3 × 3 × 3 factorial design. Their results established an amino acid combination that minimised the PUN levels in growing rabbits at 48 d of age (MHL for the lysine, methionine, and threonine, respectively) with respect to the current recommendations (MMM).
On the other hand, feed formulation programmes based on the amount of ileal digestible amino acids provide more precise requirements compared to those based on total dietary amino acids. Therefore, it would be advisable to have the ileal digestible amino acids content of the main raw materials, as well as specific animal-related ileal digestible amino acid requirements. In rabbits, information on the nutritional value of raw materials at that level is available [10,11], but there is little information on ileal digestible amino acid requirements [6], especially compared with other monogastric species. Dietary amino acid requirements were initially proposed by Lebas (1989) [12] and recently updated by de Blas and González-Mateos (2010) [8]. Nevertheless, current amino acid recommendations are mainly expressed as total or apparent fecal digestible contents. An apparent ileal digestibility can better describe the amount of nitrogen and amino acids that are absorbed in the small intestine and are available for animals, but they are underestimated because part of the nitrogen and amino acids in ileal digesta do not come from the diet. This part corresponds to the endogenous losses, and their correction results in their true ileal digestibility value. Providing information on the nutritional requirements of animals in terms of true ileal digestibility is a necessary step towards precision nutrition. Furthermore, rabbits have certain peculiarities related to their feeding behaviour [13], such as the caecotrophy contribution [14] or the existence of a great caecum [15]. This fact hinders the proper evaluation of the protein requirements of growing rabbits.
The aim of this work was to evaluate a novel combination of the first limiting amino acids (lysine, methionine, and threonine) in fast-growing rabbits (combination MHL) shown to minimise levels of PUN by Marín-García et al. (2020c) [9] and compare it with current recommendations (combination MMM). To this end, a growth performance trial was conducted to compare both amino acid combinations (MMM vs. MHL) in growing rabbit diets. A nutrient digestibility and retention assay was also carried out. Evaluating both diets at a true ileal level will contribute to increasing the knowledge of protein requirements in growing rabbits.
2. Materials and Methods
The experimental procedure was approved by the Animal Welfare Ethics Committee of the Universitat Politècnica de València and carried out following the recommendations of the European Group on Rabbit Nutrition [16] and Spanish Royal Decree 53/2013 on the protection of animals used for scientific purposes.
2.1. Animals
One hundred and sixty-five (28-day-old) rabbits from the R line were used. Line R was obtained after two generations of randomly mating from a pool of animals of three commercial paternal lines [17] and then selected by ADG in the growing period during 38 generations. This paternal line is characterised by a high growth rate during the growing period and was developed at the Institute of Animal Science and Technology of the Universitat Politècnica de València.
2.2. Experimental Diets
Table A1 (Appendix A) shows the ingredients and chemical composition of the experimental diets used in this work. The basal mixture was formulated according to the current recommendations [8] except for the three most limiting amino acids (lysine, methionine acids, and threonine), where their contents were lower. The experimental diets were obtained with the addition of synthetic amino acids (L-Lysine HCL, DL-Methionine, and L-Threonine) to the basal mixture to achieve the values of current recommendations [8] in MMM diet (8.10, 5.78, and 6.90 g/kg DM for lysine, methionine, and threonine, respectively) or the dietary levels that reduced the PUN in a previous trial [9] in MHL diet (8.10, 6.61, and 5.70 g/kg DM for lysine, methionine, and threonine, respectively). A version of the diet, including 5 g/kg DM of alfalfa hay marked with ytterbium, was also manufactured to analyse the true ileal digestibility.
2.3. Experimental Procedure
The experimental procedure was conducted over one year (in different batches, 6 in total) under a controlled environment (animals were kept at 15 °C to 22 °C with a photoperiod of 16 h of light and 8 h of darkness). At 28 d of age, 15 weaned rabbits (597 g) were slaughtered with intracardiac puncture with sodium thiopental (75 mg/kg of live weight (LW)) to determine the empty body characteristics at 28 d of age. The rest of the animals (n = 150) were housed in individual cages and assigned to one of the two experimental diets that were received ad libitum until 63 d of age. Mortality and morbidity (presence of diarrhoea) were controlled daily and feed intake and LW were registered weekly. Animals presenting any digestive anomaly, weight loss, or low ingestion were automatically removed from the trial.
At 42 d of age, 28 randomly selected animals were housed in individual metabolic cages of 52 × 44 × 32 cm and, after a week of acclimatisation, a fecal digestibility trial was conducted. From 49 to 53 d of age, feed consumption was controlled, and feces produced were collected. Feces were stored in identified plastic bags and frozen at −20 °C until analysis. Apparent fecal digestibility coefficients for dry matter (DM), crude protein (CP), and gross energy (GE) were determined for each animal. From 53 d of age, 30 randomly selected animals received the same feed marked with ytterbium until their slaughter at 63 d of age. At this age, 55 randomly selected animals (including the previous 30) were weighed and slaughtered with intracardiac injection of sodium thiopental (75 mg kg−1LW) between 19:00 to 23:00 h to minimise the influence of caecotrophy on the composition of digestive contents [18]. Samples of ileal content were obtained from the distal part of the small intestine (around 20–40 cm before the ileo-caeco-colic valve) for each animal receiving the market feeds, frozen at −20 °C, freeze-dried, and ground. The whole digestive tract was emptied and reintroduced into the body of the dead animal. Empty bodies, obtained at 28 and 63 d of age (15 and 55 animals, respectively), were weighed and placed in plastic bags, identified, and frozen at −40 °C. Frozen empty bodies were crushed and homogenised in a cutting machine (Tecator, Abusson, France), and one sample per animal was freeze-dried and stored at −40 °C until analysis. True ileal digestibility of CP and amino acids was calculated through estimation of the ileal flow of endogenous nitrogen (based on the previous DM intake) and its amino acid profile, both obtained in growing rabbits [19].
2.4. Chemical Analysis
Diets were analysed for DM, ash, CP, neutral detergent fibre (aNDFom), acid detergent fibre (ADFom), lignin (sa), GE, and amino acid content. Feces were analysed for DM, CP, and GE while ileal samples were examined for DM, CP, and amino acid content. Finally, empty body samples were analysed for DM, CP, GE, and amino acid content. Samples were analysed according to the methods of AOAC (2000) [20]: 934.01 for DM, 942.05 for ash, and 976.06 for CP. The aNDFom (assayed with a thermo-stable amylase and expressed exclusive of residual ash), ADFom (expressed exclusive of residual ash), and lignin (determined by solubilisation of cellulose with sulphuric acid, SA) were analysed sequentially as indicated by Van Soest et al. (1991) [21]. The GE determination was done with adiabatic bomb calorimetry (Gallenkamp Autobomb, Loughborough, UK).
The amino acid content was determined after acid hydrolysis with HCL 6N at 110 °C for 23 h as previously described by Bosch et al. (1995) using a Waters (Milford, MA, USA) HPLC system consisting of two pumps (Mod. 515, Waters), an autosampler (Mod. 717, Waters), a fluorescence detector (Mod. 474, Waters), and a temperature control module [22]. Aminobutyric acid was added as internal standard after hydrolysation. The amino acids were derivatised with AQC (6-aminoquinolyl-N-hydroxysuccinimidyl carbamate) and separated with a C-18 reverse-phase column Waters AccQ Tag (150 mm × 3.9 mm). Methionine and cysteine were determined separately as methionine sulphone and cysteic acid, respectively, after performic acid oxidation followed by acid hydrolysis.
2.5. Statistical Analysis
From the information obtained from those weaned rabbits slaughtered at 28 d of age (empty body weight and CP, GE, and amino acids contents in the empty body), regression equations were fitted, including LW at 28 d of age as dependent variable for each of them. Values for all these variables at 28 d of age for the animals slaughtered at the end of the retention trial (63 d of age) were estimated for each animal with the cited equations to properly determine nutrient retention during the growing period.
For performance traits (growth, intake, and FCR), digestibility (apparent fecal and true ileal level), and data from each trait was studied using the following model:
where yijkl represented one record of a given trait; Di was the effect of diet (two levels: MMM and MHL); Bj was the effect of the Batch (with six levels); Wk was the effect of the Week (with 5 levels); and pl and eijkl were the permanent effect and the random residuals of the records, respectively, considering the lack of homoscedasticity using MIXED model of SAS (Statistical Analyse System) [23].
Average performance traits, digestibility (apparent fecal and true level), and data were studied using the following model:
where yij represented one record of a given trait; Di was the effect of diet (two levels: MMM and MHL); Bj was the effect of the Batch (with six levels); and pl and eijkl were the permanent effect and the random residuals of the records, respectively, considering the lack of homoscedasticity using GLM model of SAS (Statistical Analyse System) [23]. Some comparisons between slopes were also made using a SAS GLM procedure.
3. Results
3.1. Digestibility
The effect of the experimental diet on the main coefficients of apparent fecal and ileal digestibility are presented in Table 1. In general, no significant differences in fecal and ileal digestibility between diets were observed except for the coefficient of the ileal apparent digestibility of threonine, which was higher for Diet MMM compared with MHL (+0.14; p = 0.0418).
Table 1.
Coefficients of apparent fecal (n = 28) and ileal (n = 30) digestibility for some nutrients in function of the experimental diet during the fattening period (Least square mean ± standard error).
3.2. Performance
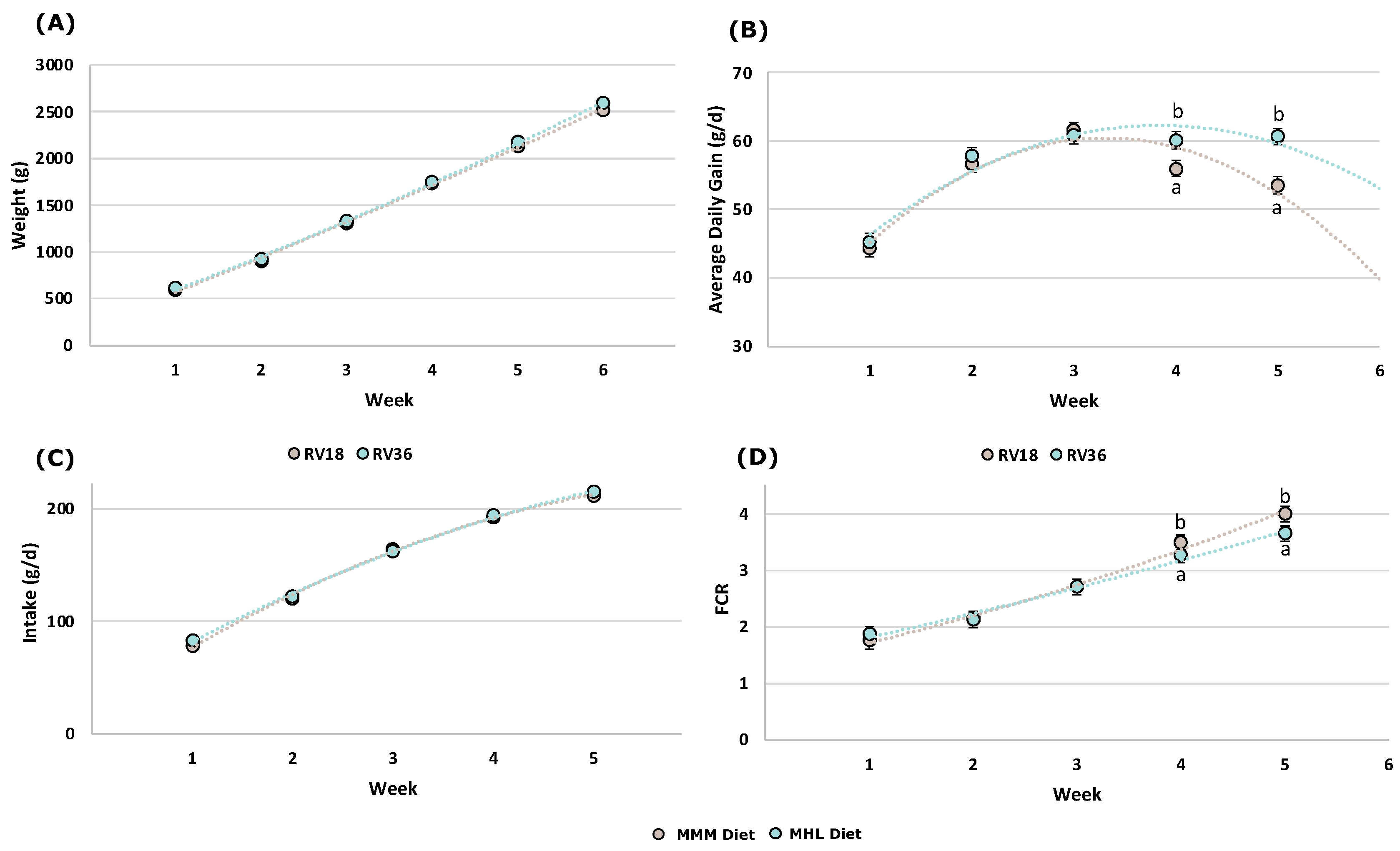
Regarding the health status of the rabbits during the fattening period, there were no significant differences in either mortality or morbidity of the rabbits between the dietary treatments, which was, on average, 24.3 and 11.1%, respectively. Figure 1 shows the data on the main performance traits measured in this work. There were no significant differences in daily feed intake (Figure 1C) and LW (Figure 1A) between diets. Nevertheless, animals fed with Diet MHL showed improved global ADG (+2.3 g/d; p = 0.0482) and global FCR (−0.10; p = 0.0229) than those fed Diet MMM (Figure 1B,D, respectively). These global differences are mainly due to the higher ADG and lower FCR observed in the animals from 49 to 63 d of life (on av. +5.6 g/d; p = 0.0482 and −0.29; p = 0.0229 respectively), with no significant differences being observed previously.
Figure 1.
Performance (Weight, Average Daily Gain, Intake and FCR, for Figure 1(A–D), respectively) of growing rabbits in function of the experimental diets (Least square mean ± standard error). Diet MMM (n = 49), Diet MHL (n = 47). FCR: Feed Conversion Ratio. Week 1 (28–35 d); week 2 (35–42 d); week 3 (42–49 d); week 4 (49–56 d); week 5 (56–63 d). a,b Means within a row with different letter were significantly different at p < 0.05.
3.3. Retention
Daily energy, protein, and amino acids retained in the empty body of animals with each experimental diet throughout the fattening period are presented in Table 2. There were no significant differences in the retained nutrients between diets.
Table 2.
Retained energy (kJ), protein (g), and amino acids (g) per g of empty body weight gain (EBWG) during the growing period for each experimental diet (n = 55) (Least square mean ± standard error).
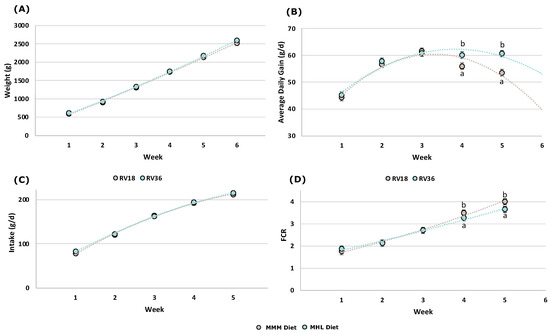
Finally, Figure 2 shows the relationship between the daily EBWG and the retained protein/energy (g/MJ) ratio obtained for each dietary treatment. In the case of animals fed with Diet MMM, an increase in EBWG decreased the protein/energy ratio retained in the empty body (−0.283 units per unit of EBWG; p = 0.0086). However, no significant effect of EBWG on this ratio was observed (p = 0.2692) when animals were fed with Diet MHL.
Figure 2.
Relationship between daily empty body weight gain with the retained protein to retained energy ratio in the empty body weight gain according to the experimental diet: ▲ MMM and □ MHL.
4. Discussion
Our initial hypothesis was that the combination of amino acids (Diet MHL) that minimised PUN levels in growing rabbits in a previous study [9] would also be the one that would optimise the protein utilisation of the feed and improve the growth performance traits with respect to the current recommendations (Diet MMM). This improvement in the performance could be due to a hypothetical improvement in the digestive efficiency due to a better amino acid balance. However, no significant differences were found in the apparent fecal digestibility of DM, CP, and GE, nor in the true ileal digestibility of CP and amino acids.
The observed values of true ileal digestibility greater than 100% (on av. 102%) of isoleucine, glutamic acid, and serine in Diet MMM may be due to the fact that the amino acid profile of the endogenous nitrogen used in this work (using values reported in Marín-García et al. (2022) [19]) was richer for these amino acids than reported by Villamide et al. (2013) in adult rabbits (+30%, +28%, and +39%, respectively) [24]. Regarding the amino acids studied in the present work, the true ileal digestibility values were on average 0.79, 0.82, and 0.89 for lysine, sulphur amino acids, and threonine, respectively, slightly lower than those obtained using the endogenous nitrogen profile reported by Villamide et al. (2013) (0.81, 0.88, and 0.92, respectively) [24].
On average, performance traits were like those obtained for this line in previous works [25,26,27]. As was expected, growing rabbits from this paternal line presented high ADG (above 55 g/d) and low FCR (about 2.7), achieving 2.55 kg of LW at 63 d of age. Thus, this population of animals can allow us to correctly test our initial hypothesis; could a diet formulated to minimise animals’ PUN level improve the growth traits of new growing rabbits characterised by a high growth rate? The answer was yes. Growing rabbits fed with Diet MHL showed higher ADG and FCR during the last two weeks of the fattening period than those fed with a diet formulated with the current recommendations (MMM). A reduction in the PUN level could be an indicator of a better fitting of the animal requirements and, consequently, of a better optimisation of the dietary protein, increasing both protein and energy available for growth [27]. The reason why the differences in growth traits were mainly observed at the end of the fattening period may be due to different causes. It may be because the choice of diet that minimised the PUN level was made at 48 d of age [28], this feed being more representative of the amino acid requirements at that age. However, it could also be due to a greater impact of an adequate dietary amino acid formulation on growth at that age. Lean content and lean-to-bone ratio of rabbit carcass increases almost steadily from weeks 1 to 15 d of life.
An increase in ADG is usually associated with an increase in the total amount of protein retained in the empty body [29,30]. However, in the current work, no significant differences between diets were found in the protein retention 9.94 ± 0.28 g/day vs. 9.86 ± 0.28 for Diets MMM and MHL, respectively, nor in the efficiency of dietary protein retention 0.452 ± 0.012 vs. 0.441 ± 0.012 for Diets MMM and MHL, respectively. All of this, despite the higher ADG observed with Diet MHL and the similar composition of EBWG with both diets. These results are mainly due to the following: (i) differences in the ADG of the animals used to measure protein retention were less relevant and non-significant (56.9 ± 1.0 g/day vs. 58.6 ± 0.1.0 g/day for diets MMM and MHL, respectively, p = 0.252) than those observed with the total number of the animals, and (ii) particularly, the effect on ADG (and FCR) clearly originated in the last two weeks of the growth period while the protein retention corresponds to the entire growth period, logically diluting a probable effect of the diet on protein retention during the last two weeks of the growth period. Nevertheless, animals fed with Diet MMM reduced the protein-to-energy ratio in the EBWG as the growth rate increased, as previously observed by Marín-García et al. (2020a) [5] with a similar diet, while this ratio did not depend on growth rate in animals fed with Diet MHL, which indicates a better utilisation of its protein in animals with a higher growth potential and that its lysine, sulphur amino acids, and threonine levels are more suitable for them. These levels would be particularly recommended in the last two weeks of the growing period, although more studies would be needed in this regard.
In view of these results, it could be interesting to assess and compare the current lysine, sulphur amino acids, and threonine recommendations [8] with their respective levels in Diet MHL at total, as well as the apparent and true ileal contents, to provide more accurate information to formulate diets for growing rabbits (Table 3). In the case of lysine, both diets had the same levels (8.1 g/kg DM). This value is quite like those recommended by other authors [31,32], although higher than the 6.7 g/kg DM proposed [33]. The improved growth performance traits obtained in this work with higher dietary sulphur amino acid levels (6.6 g/kg DM) compared with current recommendations (5.7 g/kg DM) have already been observed by other authors [32,33,34,35], who obtained greater performance with sulphur amino acid levels from 6.7 to 8.0 g/kg DM. All these data are closer to MHL values than MMM ones, which could be indicating a possible underestimation of the current sulphur amino acids recommendations for growing rabbits.
Table 3.
Current and new recommendations (g/kg dry matter) for the first three limiting amino acids in growing rabbits.
Finally, in the case of dietary threonine, studies about its requirements are variable. The values of the current recommendations for MMM (6.9 g/kg DM) are closer to those proposed by NRC (1977) [33] and de Blas et al. (1998) (6.7 g/kg DM) [36]. Nevertheless, Adamson and Fisher (1973) [32] proposed lower values for the threonine (5.6 g/kg DM) quite like the current updated proposal (5.7 g/kg DM). A possible explanation for the lack of consensus in threonine recommendations may be both in the contribution of caecotrophy or to possible interactions with other amino acids in the diet, such as glycine. It must be considered that the contribution of soft feces to the total threonine intake is the highest of all amino acids [37], making it possible to lessen their level of inclusion in the diet.
5. Conclusions
In view of the results, it can be concluded that, compared to the current recommendations, the lysine, sulphur amino acids, and threonine levels in Diet MHL allow an improvement of ADG and FCR in growing rabbits of a paternal line, showing better dietary protein utilisation in animals with higher growth potential. Consequently, new recommended amino acid levels are proposed: 8.1, 6.6, and 5.7 g/kg DM of total lysine, sulphur amino acids, and threonine, respectively; 5.2, 4.2, and 2.9 g/kg DM of apparent ileal digestible lysine, sulphur amino acids, and threonine, respectively; or 6.4, 5.4, and 5.0 g/kg DM of true ileal digestible lysine, sulphur amino acids, and threonine, respectively.
Author Contributions
Conceptualisation, P.J.M.-G., E.B. and J.J.P.; methodology, P.J.M.-G., L.R., E.M.-P., V.J.M., M.C.-L., E.B. and J.J.P.; software, P.J.M.-G., E.B. and J.J.P.; validation, P.J.M.-G., E.B. and J.J.P.; formal analysis, P.J.M.-G., E.B. and J.J.P.; investigation, P.J.M.-G., E.B. and J.J.P.; resources, P.J.M.-G., E.B. and J.J.P.; data curation, P.J.M.-G., writing—original draft preparation, P.J.M.-G., E.B., J.J.P. and M.C.-L.; writing—review and editing, P.J.M.-G., E.B., J.J.P. and M.C.-L.; visualisation, P.J.M.-G., E.B., J.J.P. and M.C.-L.; supervision, P.J.M.-G., E.B. and J.J.P.; project administration, M.C.-L., E.B., J.J.P. and P.J.M.-G.; funding acquisition, M.C.-L., E.B., J.J.P. and P.J.M.-G. All authors have read and agreed to the published version of the manuscript.
Funding
This study was supported by the Regional Ministry of Innovation, Universities, Science and Digital Society of the Generalitat Valenciana (GV/2021/115).
Institutional Review Board Statement
The authors confirm that the ethical policies of the journal, as noted on the journal’s author guidelines page, have been adhered to. The experimental procedure was approved by the Animal Welfare Ethics Committee of the Universitat Politècnica de València and carried out following the recommendations of the European Group on Rabbit Nutrition (Fernaández-Carmona et al. (2005) [16]) and Spanish Royal Decree 53/2013 on the protection of animals used for scientific purposes.
Informed Consent Statement
Not applicable.
Data Availability Statement
The datasets of the current study are available from the corresponding author upon reasonable request.
Acknowledgments
We are grateful to the Veterinary Medicine Faculty of Universidad Cardenal Herrera-CEU.
Conflicts of Interest
Authors declare no conflict of interest.
Appendix A
Table A1.
Ingredients (g/kg) and chemical composition (g/kg dry matter) of the basal mixture and the experimental diets.
Table A1.
Ingredients (g/kg) and chemical composition (g/kg dry matter) of the basal mixture and the experimental diets.
| Basal Mixture | MMM | MHL | |
|---|---|---|---|
| Ingredients | |||
| Wheat bran | 300 | ||
| Straw | 175 | ||
| Sunflower meal | 167 | ||
| Alfalfa hay | 148 | ||
| Beet pulp | 120 | ||
| Barley | 42 | ||
| Beet molasses | 29 | ||
| Palm oil | 4.5 | ||
| Sodium chloride | 4.8 | ||
| Calcium carbonate | 2.6 | ||
| L-Lysine HCL | 2.4 | ||
| Monocalcium phosphate | 0.2 | ||
| Vitamin-trace element mixture 1 | 5.2 | ||
| Chemical composition | |||
| Dry matter (DM; g/kg) | 896 | 929 | 921 |
| Ashes | 73.2 | 70.7 | 71.2 |
| Crude protein | 157 | 155 | 157 |
| Gross Energy (MJ/kg DM) | - | 18.01 | 18.36 |
| Ether extract | 26.7 | 25.8 | 26.0 |
| Neutral detergent fiber | 473 | 456 | 460 |
| Acid detergent fiber | 275 | 263 | 267 |
| Acid detergent lignin | 58.1 | 56.1 | 56.4 |
| Digestible Energy 2 (MJ/kg DM) | - | 10.85 | 10.98 |
| Digestible Protein 2 | - | 113 | 115 |
| Digestible Protein/Digestible Energy | - | 10.41 | 10.47 |
| Amino acids: Alanine | 5.81 | 5.61 | 5.62 |
| Arginine | 8.25 | 7.96 | 8.03 |
| Aspartic Acid | 12.7 | 12.2 | 12.4 |
| Cysteine (Cys) | 2.36 | 2.28 | 2.30 |
| Glutamic acid | 26.7 | 24.8 | 26.3 |
| Glycine | 7.43 | 7.27 | 7.23 |
| Histidine | 3.02 | 2.91 | 2.94 |
| Isoleucine | 5.42 | 5.32 | 5.27 |
| Leucine | 9.59 | 9.25 | 9.33 |
| Lysine | 7.29 | 8.10 3 | 8.10 3 |
| Methionine (Met) | 2.64 | 3.50 4 | 4.31 4 |
| Phenylalanine | 6.07 | 5.85 | 5.91 |
| Proline | 8.44 | 8.14 | 8.21 |
| Serine | 6.63 | 6.25 | 6.47 |
| Sulphur (Met + Cys) | 4.97 | 5.78 | 6.61 |
| Threonine | 5.04 | 6.90 5 | 5.70 5 |
| Tyrosine | 2.99 | 2.88 | 2.99 |
| Valine | 7.42 | 7.16 | 7.23 |
1 Contains per kg of feed: vitamin A: 8375 IU; vitamin D3: 750 IU; vitamin E: 20 mg; Vitamin K3: 1 mg; vitamin B1: 1 mg; vitamin B2: 2 mg; vitamin B6: 1 mg; nicotinic acid: 20 mg; choline chloride: 250 mg; magnesium: 290 mg; manganese: 20 mg; zinc: 60 mg; iodine: 1.25 mg; iron: 26 mg; copper: 10 mg; cobalt: 0.7 mg; butyl hydroxylanysole and ethoxiquin mixture: 4 mg. 2 Experimentally determined according to Perez et al. (1995) [38]. Using 14 helthy growing rabbits of 49 d of live per diet weaned at 28 d. Feces were collected during 4 d after a period of 7 d of adaptation to diets. 3,4,5 Values were obtained by adding L-Lysine HCL, DL-Methionine and L-Threonine, respectively.
References
- Blasco, A. Genética y nutrición del Conejo. In Alimentación del Conejo; de Blas, C., Ed.; Ediciones Mundi Prensa: Madrid, Spain, 1989; pp. 1–15. [Google Scholar]
- Baselga, M. Genetic improvement of meat rabbits: Programmes and diffusion. In Proceedings of the 8th World Rabbit Congress, Puebla, México, 7–10 September 2004; pp. 1–13. [Google Scholar]
- Piles, M.; Blasco, A. Response to selection for growth rate in rabbits estimated by using a control cryopreserved population. World Rabbit Sci. 2003, 11, 53–62. [Google Scholar] [CrossRef]
- Trocino, A.; García, J.; Carabaño, R.; Xiccato, G. A meta-analysis on the role of soluble fibre in diets for growing rabbits. World Rabbit Sci. 2013, 21, 1–15. [Google Scholar] [CrossRef]
- Marín-García, P.J.; Ródenas, L.; Martínez-Paredes, E.; Cambra-López, M.; Blas, E.; Pascual, J.J. A moderate protein diet does not cover the requirements of growing rabbits with high growth rate. Anim. Feed Sci. Technol. 2020, 264, 114495. [Google Scholar] [CrossRef]
- Carabaño, R.; Villamide, M.J.; García, J.; Nicodemus, N.; Llorente, A.; Chamorro, S.; Menoyo, D.; García-Rebollar, P.; García-Ruiz, A.I.; De Blas, J.C. New concepts and objectives for protein-amino acid nutrition in rabbits. A review. World Rabbit Sci. 2009, 17, 1–14. [Google Scholar] [CrossRef]
- Marín-García, P.J.; Ródenas, L.; Martínez-Paredes, E.; Blas, E.; Pascual, J.J. Plasma urea nitrogen as an indicator of amino acid imbalance in rabbit diets. World Rabbit Sci. 2020, 28, 63–72. [Google Scholar] [CrossRef]
- de Blas, J.C.; Gonzalez-Mateos, G. Feed Formulation. In Nutrition of the Rabbit, 2nd ed.; de Blas, C., Wiseman, J., Eds.; CABI International, CAB Publishing: Wallingford, UK, 2010; pp. 222–232. [Google Scholar]
- Marín-García, P.J.; Ródenas, L.; Martínez-Paredes, E.; Blas, E.; Pascual, J.J. Plasmatic urea nitrogen in growing rabbits with different combinations of dietary levels of lysine, sulphur amino acids and threonine. Animals 2020, 10, 946. [Google Scholar] [CrossRef] [PubMed]
- Villamide, M.J.; Fraga, M.J. Prediction of the digestible crude protein and protein digestibility of feed ingredients for rabbits from chemical analysis. Anim. Feed Sci. Technol. 1998, 70, 211–224. [Google Scholar] [CrossRef]
- Villamide, M.J.; Carabaño, R.; Maertens, L.; Pascual, J.; Gidenne, T.; Falcao-E-Cunha, L.; Xiccato, G. Prediction of the nutritional value of European compound feeds for rabbits by chemical components and in vitro analysis. Anim. Feed Sci. Technol. 2009, 150, 283–294. [Google Scholar] [CrossRef]
- Lebas, F. Besoins nutritionnels des lapins: Revue bibliographique et perspectives. Cuni Sci. 1989, 5, 1–28. [Google Scholar]
- Bellier, R.; Gidenne, T.; Vernay, M.; Colin, M. In vivo study of circadian variations of the cecal fermentation pattern in postweaned and adult rabbits. J. Anim. Sci. 1995, 73, 128–135. [Google Scholar] [CrossRef]
- Carabaño, R.; de Blas, J.C.; García, A.I. Recent advances in nitrogen nutrition in rabbits. World Rabbit Sci. 2000, 8, 14–28. [Google Scholar]
- Villamide, M.J.; Nicodemus, N.; Fraga, M.J.; Carabaño, R. Protein digestion. In Nutrition of the Rabbit; de Blas, C., Wiseman, J., Eds.; CABI Publishing, CAB International: Wallingford, UK, 2010; pp. 39–55. [Google Scholar]
- Fernández-Carmona, J.; Blas, E.; Pascual, J.J.; Maertens, L.; Gidenne, T.; Xicatto, G.; García, J. Recommendations and guidelines for applied nutrition experiments in rabbits. World Rabbit Sci. 2005, 13, 209–228. [Google Scholar] [CrossRef]
- Estany, J.; Camacho, J.; Baselga, M.; Blasco, A. Selection response of growth rate in rabbits for meat production. Genet. Sel. Evol. 1992, 24, 527–537. [Google Scholar] [CrossRef]
- Merino, J.M.; Carabaño, R. Effect of type of fibre on ileal and faecal digestibilities. J. Appl. Rabbit Res. 1992, 15, 931–937. [Google Scholar]
- Marín-García, P.J.; Rodríguez-Pont, M.; Moya, J.; Ródenas, L.; Martínez-Paredes, E.; Cambra-López, M.; Pascual, J.J.; Blas, E. Development of a method to estimate endogenous losses of protein and amino acids at the ileal level in growing rabbits. World Rabbit Sci. 2022; submitted. [Google Scholar]
- Association of Official Analytical Chemist. Official Methods of Analysis; Association of Official Analytical Chemists: Gaithersburg, MD, USA, 2000. [Google Scholar]
- Van Soest, P.J.; Robertson, J.B.; Lewis, B.A. Methods for dietary fiber, neutral detergent fiber and non-starch polysaccharides in relation to animal nutrition. J. Dairy Sci. 1991, 74, 3583–3597. [Google Scholar] [CrossRef]
- Bosch, L.; Alegría, A.; Farré, R. Application of the 6-aminoquinolyl-N-hydroxysccinimidyl carbamate (AQC) reagent to the RP-HPLC determination of amino acids in infant foods. J. Chromatogr. 1995, 831, 176–183. [Google Scholar] [CrossRef]
- SAS Institute. SAS/STAT® 9.2 User’s Guide; Sas Institute Inc.: Cary, NC, USA, 2009. [Google Scholar]
- Villamide, M.J.; Garcia, A.I.; Llorente, A.; Carabaño, R. Ileal vs. faecal amino acid digestibility in concentrates and fibrous sources for rabbit feed formulation. Anim. Feed Sci. Technol. 2013, 182, 100–110. [Google Scholar] [CrossRef]
- García-Quirós, A.; Arnau-Bonachera, A.; Penadés, M.; Cervera, C.; Martínez-Paredes, E.M.; Ródenas, L.; Selva, L.; Vianam, D.; Corpa, J.M.; Pascual, J.J. A robust rabbit line increases leucocyte counts at weaning and reduces mortality by digestive disorder during fattening. Vet. Immunol. Immunopathol. 2014, 161, 123–131. [Google Scholar] [CrossRef] [PubMed]
- Mínguez, C.; Sánchez, J.P.; El Nagar, A.G.; Ragab, M.; Baselga, M. Growth traits of four maternal lines of rabbits founded on different criteria: Comparisons at foundation and at last periods after selection. J. Anim. Breed. Genet. 2016, 133, 303–315. [Google Scholar] [CrossRef]
- Marín-García, P.J.; López-Luján, M.C.; Ródenas, L.; Martínez-Paredes, E.; Cambra-López, M.; Blas, E.; Pascual, J.J. Do growing rabbits with a high growth rate require diets with high levels of essential amino acids? A choice-feeding trial. Animals 2021, 11, 824. [Google Scholar] [CrossRef]
- Marín-García, P.J.; Llobat, L.; López-Lujan, M.C.; Cambra-López, M.; Blas, E.; Pascual, J.J. Urea Nitrogen Metabolite Can Contribute to Implementing the Ideal Protein Concept in Monogastric Animals. Animals 2022, 12, 2344. [Google Scholar] [CrossRef]
- Gidenne, T.; Perez, J.M. Replacement of digestible fibre by starch in the diet of the growing rabbit: I. Effects on digestion, rate of passage and retention of nutrients. Anim. Zootech. 2000, 49, 357–368. [Google Scholar] [CrossRef]
- Birolo, M.; Trocino, A.; Zuffellato, A.; Xiccato, G. Effect of feed restriction programs and slaughter age on digestive efficiency, growth performance and body composition of growing rabbits. Anim. Feed Sci. Technol. 2016, 222, 194–203. [Google Scholar] [CrossRef]
- Taboada, E.; Méndez, J.; Maeos, G.; de Blas, C. The response of highly productive rabbits to dietary lysine content. Livest. Prod. Sci. 1994, 40, 329–337. [Google Scholar] [CrossRef]
- Adamson, I.; Fisher, H. Amino acid requirements of the growing rabbit: An estimate of quantitative needs. J. Nutr. 1973, 103, 1306–1310. [Google Scholar] [CrossRef] [PubMed]
- National Academy of Science. Nutrient Requirements of Rabbits, 2nd ed.; National Academy of Science: Washington, DC, USA, 1977. [Google Scholar]
- Berchiche, M.; Lebas, F. Supplémentation en méthionine d’un aliment à base de feverole: Effets sur la croissance, le rendement à l’abattage et la composition de la carcasse chez du lapin. World Rabbit Sci. 1994, 2, 135–140. [Google Scholar]
- Taboada, E.; Méndez, J.; de Blas, C. The response of highly productive rabbits to dietary sulphur amino acid content for reproduction and growth. Rep. Nut. Develop. 1996, 36, 191–203. [Google Scholar] [CrossRef]
- de Blas, C.; Taboada, E.; Nicodemus, N.; Campos, R.; Piquer, J.; Méndez, J. Performance response of lactating and growing rabbits to dietary threonine content. Anim. Feed. Sci. Technol. 1998, 70, 151–160. [Google Scholar] [CrossRef]
- Nicodemus, N.; Mateos, J.; Blas, J.; Carabaño, R.; Fraga, M. Effect of diet on amino acid composition of soft faeces and the contribution of soft faeces to total amino acid intake, through caecotrophy in lactating doe rabbits. Anim. Sci. 1999, 69, 167–170. [Google Scholar] [CrossRef]
- Perez, J.M.; Lebas, F.; Gidenne, T.; Maertens, L.; Xiccato, G.; Parigi-Bini, R.; Dalle Zotte, A.; Cossu, M.E.; Carazzolo, A.; Villamide, M.J.; et al. European reference method for in vivo determination of diet digestibility in rabbits. World Rabbit. Sci. 1995, 3, 41–43. [Google Scholar]
Disclaimer/Publisher’s Note: The statements, opinions and data contained in all publications are solely those of the individual author(s) and contributor(s) and not of MDPI and/or the editor(s). MDPI and/or the editor(s) disclaim responsibility for any injury to people or property resulting from any ideas, methods, instructions or products referred to in the content. |
© 2023 by the authors. Licensee MDPI, Basel, Switzerland. This article is an open access article distributed under the terms and conditions of the Creative Commons Attribution (CC BY) license (https://creativecommons.org/licenses/by/4.0/).

