Effect of Aqueous Extract of Maca Addition to an Extender for Chilled Canine Semen
Abstract
Simple Summary
Abstract
1. Introduction
2. Materials and Methods
2.1. Animals
2.2. Semen Collection and Processing
2.3. Maca Source and Preparation of Aqueous Extract of Maca
2.4. Membrane Integrity (Hypo-Osmotic Swelling Test)
2.5. Motility Assessment
2.6. DNA Fragmentation
2.7. Lipid Peroxidation
2.8. Statistical Analysis
3. Results
3.1. Fresh Semen
3.2. Membrane Integrity (HOS)
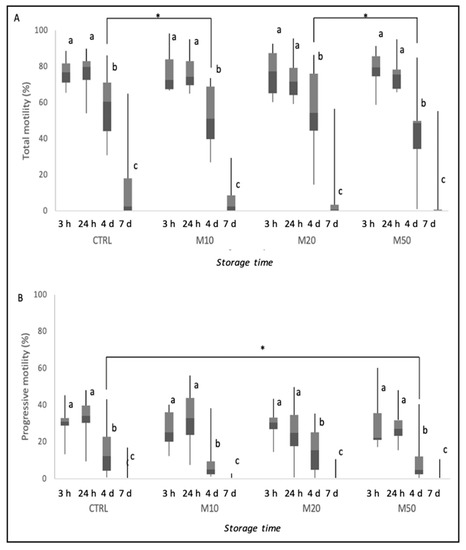
3.3. Motility
3.4. DNA Fragmentation
3.5. Lipid Peroxidation
4. Discussion
5. Conclusions
Author Contributions
Funding
Institutional Review Board Statement
Informed Consent Statement
Data Availability Statement
Acknowledgments
Conflicts of Interest
References
- Silvestre, M.A.; Yániz, J.L.; Peña, F.J.; Santolaria, P.; Castelló-Ruiz, M. Role of antioxidants in cooled liquid storage of mammal spermatozoa. Antioxidants 2021, 10, 1096. [Google Scholar] [CrossRef] [PubMed]
- Henkel, R. The impact of oxidants on sperm function. Andrologia 2005, 37, 205–206. [Google Scholar] [CrossRef]
- Verstegen, J.P.; Onclin, K.; Iguer-Ouada, M. Long-term motility and fertility conservation of chilled canine semen using egg yolk added Tris–glucose extender: In vitro and in vivo studies. Theriogenology 2005, 64, 720–733. [Google Scholar] [CrossRef] [PubMed]
- Kasimanickam, V.R.; Kasimanickam, R.K.; Memon, M.A.; Rogers, H.A. Effect of extenders on sperm mitochondrial membrane, plasma membrane and sperm kinetics during liquid storage of canine semen at 5 °C. Anim. Reprod. Sci. 2012, 136, 139–145. [Google Scholar] [CrossRef] [PubMed]
- Maneesh, M.; Jayalekshmi, H. Role of reactive oxygen species and antioxidants on pathophysiology of male reproduction. Indian J. Clin. Biochem. 2006, 21, 80–89. [Google Scholar] [CrossRef]
- Ciani, F.; Maruccio, L.; Cocchia, N.; d’Angelo, D.; Carotenuto, D.; Avallone, L.; Namagerdi, A.A.; Tafuri, S. Antioxidants in assisted reproductive technologies: An overview on dog, cat, and horse. J. Adv. Vet. Anim. Res. 2021, 8, 173. [Google Scholar] [CrossRef]
- Beccaglia, M.; Anastasi, P.; Chigioni, S.; Luvoni, G.C. Tris-lecithin extender supplemented with antioxidant catalase for chilling of canine semen. Reprod. Domest. Anim. 2009, 44, 345–349. [Google Scholar] [CrossRef]
- Michael, A.; Alexopoulos, C.; Pontiki, E.; Hadjipavlou-Litina, D.; Saratsis, P.; Boscos, C. Effect of antioxidant supplementation on semen quality and reactive oxygen species of frozen-thawed canine spermatozoa. Theriogenology 2007, 68, 204–212. [Google Scholar] [CrossRef]
- Kmenta, I.; Strohmayer, C.; Müller-Schlösser, F.; Schäfer-Somi, S. Effects of a lecithin and catalase containing semen extender and a second dilution with different enhancing buffers on the quality of cold-stored canine spermatozoa. Theriogenology 2011, 75, 1095–1103. [Google Scholar] [CrossRef]
- Michael, A.J.; Alexopoulos, C.; Pontiki, E.A.; Hadjipavlou-Litina, D.J.; Saratsis, P.; Ververidis, H.N.; Boscos, C.M. Effect of antioxidant supplementation in semen extenders on semen quality and reactive oxygen species of chilled canine spermatozoa. Anim. Reprod. Sci. 2009, 112, 119–135. [Google Scholar] [CrossRef]
- Del Prete, C.; Ciani, F.; Tafuri, S.; Pasolini, M.P.; Della Valle, G.; Palumbo, V.; Abbondante, L.; Calamo, A.; Barbato, V.; Gualtieri, R.; et al. Effect of superoxide dismutase, catalase, and glutathione peroxidase supplementation in the extender on chilled semen of fertile and hypofertile dogs. J. Vet. Sci. 2018, 19, 667–675. [Google Scholar] [CrossRef] [PubMed]
- Gonzales, G.F. Ethnobiology and ethnopharmacology of Lepidium meyenii (Maca), a plant from the Peruvian highlands. Evid. Based Complement. Altern. Med. 2012, 2012, 193496. [Google Scholar] [CrossRef] [PubMed]
- Tafuri, S.; Cocchia, N.; Carotenuto, D.; Vassetti, A.; Staropoli, A.; Mastellone, V.; Peretti, V.; Ciotola, F.; Albarella, S.; Del Prete, C.; et al. Chemical analysis of Lepidium meyenii (Maca) and its effects on redox status and on reproductive biology in stallions. Molecules 2019, 24, 1981. [Google Scholar] [CrossRef] [PubMed]
- Tafuri, S.; Cocchia, N.; Vassetti, A.; Carotenuto, D.; Esposito, L.; Maruccio, L.; Avallone, L.; Ciani, F. Lepidium meyenii (Maca) in male reproduction. Nat. Prod. Res. 2021, 35, 4550–4559. [Google Scholar] [CrossRef]
- Clément, C.; Witschi, U.; Kreuzer, M. The potential influence of plant-based feed supplements on sperm quantity and quality in livestock: A review. Anim. Reprod. Sci. 2012, 132, 1–10. [Google Scholar] [CrossRef]
- Lee, M.S.; Lee, H.W.; You, S.; Ha, K.T. The use of maca (Lepidium meyenii) to improve semen quality: A systematic review. Maturitas 2016, 92, 64–69. [Google Scholar] [CrossRef]
- Del Prete, C.; Tafuri, S.; Ciani, F.; Pasolini, M.P.; Ciotola, F.; Albarella, S.; Carotenuto, D.; Peretti, V.; Cocchia, N. Influences of dietary supplementation with Lepidium meyenii (Maca) on stallion sperm production and on preservation of sperm quality during storage at 5 °C. Andrology 2018, 6, 351–361. [Google Scholar] [CrossRef]
- Clément, C.; Kneubühler, J.; Urwyler, A.; Witschi, U.; Kreuzer, M. Effect of maca supplementation on bovine sperm quantity and quality followed over two spermatogenic cycles. Theriogenology 2010, 74, 173–183. [Google Scholar] [CrossRef]
- D’Anza, E.; Albarella, S.; Galdiero, G.; Tafuri, S.; Del Prete, C.; Cocchia, N.; Ciani, F.; Mastellone, V.; Pasolini, M.P.; Carotenuto, D.; et al. DNA fragmentation and morphometric studies in sperm of stallions supplemented with maca (Lepidium meyenii). Zygote 2021, 29, 325–330. [Google Scholar] [CrossRef]
- Aoki, Y.; Tsujimura, A.; Nagashima, Y.; Hiramatsu, I.; Uesaka, Y.; Nozaki, T.; Ogishima, T.; Shirai, M.; Shoyama, Y.; Tanaka, H.; et al. Effect of Lepidium meyenii on in vitro fertilization via improvement in acrosome reaction and motility of mouse and human sperm. Reprod. Med. Biol. 2019, 18, 57–64. [Google Scholar] [CrossRef]
- Fei, W.; Hou, Y.; Yue, N.; Zhou, X.; Wang, Y.; Wang, L.; Li, A.; Zhang, J. The effects of aqueous extract of Maca on energy metabolism and immunoregulation. Eur. J. Med. Res. 2020, 25, 24. [Google Scholar] [CrossRef] [PubMed]
- Longobardi, V.; Zullo, G.; Cotticelli, A.; Salzano, A.; Albero, G.; Navas, L.; Rufrano, D.; Claps, S.; Neglia, G. Crocin improves the quality of cryopreserved goat semen in different breeds. Animals 2020, 10, 1101. [Google Scholar] [CrossRef] [PubMed]
- Esterbauer, H.; Cheeseman, K.H. [42] Determination of aldehydic lipid peroxidation products: Malonaldehyde and 4-hydroxynonenal. Methods Enzymol. 1990, 186, 407–421. [Google Scholar] [CrossRef] [PubMed]
- Sandoval, M.; Okuhama, N.N.; Angeles, F.M.; Melchor, V.V.; Condezo, L.A.; Lao, J.; Miller, M.J. Antioxidant activity of the cruciferous vegetable Maca (Lepidium meyenii). Food Chem. 2002, 79, 207–213. [Google Scholar] [CrossRef]
- Večeřa, R.; Orolin, J.; Škottová, N.; Kazdová, L.; Oliyarnik, O.; Ulrichová, J.; Šimánek, V. The influence of maca (Lepidium meyenii) on antioxidant status, lipid and glucose metabolism in rat. Plant Foods Hum. Nutr. 2007, 62, 59–63. [Google Scholar] [CrossRef] [PubMed]
- Dutta, S.; Majzoub, A.; Agarwal, A. Oxidative stress and sperm function: A systematic review on evaluation and management. Arab J. Urol. 2019, 17, 87–97. [Google Scholar] [CrossRef] [PubMed]
- Sheikholeslami, S.A.; Soleimanzadeh, A.; Rakhshanpour, A.; Shirani, D. The evaluation of lycopene and cysteamine supplementation effects on sperm and oxidative stress parameters during chilled storage of canine semen. Reprod. Domest. Anim. 2020, 55, 1229–1239. [Google Scholar] [CrossRef]
- Comhaire, F.H.; Christophe, A.B.; Zalata, A.A.; Dhooge, W.S.; Mahmoud, A.M.; Depuydt, C.E. The effects of combined conventional treatment, oral antioxidants and essential fatty acids on sperm biology in subfertile men. Prostaglandins Leukot. Essent. Fatty Acids 2000, 63, 159–165. [Google Scholar] [CrossRef]
- Greco, E.; Iacobelli, M.; Rienzi, L.; Ubaldi, F.; Ferrero, S.; Tesarik, J. Reduction of the incidence of sperm DNA fragmentation by oral antioxidant treatment. J. Androl. 2005, 26, 349–353. [Google Scholar] [CrossRef]
- Gonzales, G.F.; Miranda, S.; Nieto, J.; Fernández, G.; Yucra, S.; Rubio, J.; Yi, P.; Gasco, M. Red maca (Lepidium meyenii) reduced prostate size in rats. Reprod. Biol. Endocrinol. 2005, 3, 5. [Google Scholar] [CrossRef][Green Version]
- Gonzales, G.F.; Valerio, L.G. Medicinal plants from Peru: A review of plants as potential agents against cancer. Anticancer Agents Med. Chem. 2006, 6, 429–444. [Google Scholar] [CrossRef] [PubMed]
- Giraud, M.N.; Motta, C.; Boucher, D.; Grizard, G. Membrane fluidity predicts the outcome of cryopreservation of human spermatozoa. Human Reprod. 2000, 15, 2160–2164. [Google Scholar] [CrossRef] [PubMed]
- Tavilani, H.; Doosti, M.; Saeidi, H. Malondialdehyde levels in sperm and seminal plasma of asthenozoospermic and its relationship with semen parameters. Clin. Chim. Acta 2005, 356, 199–203. [Google Scholar] [CrossRef] [PubMed]
- Tavilani, H.; Goodarzi, M.T.; Doosti, M.; Vaisi-Raygani, A.; Hassanzadeh, T.; Salimi, S.; Joshaghani, H.R. Relationship between seminal antioxidant enzymes and the phospholipid and fatty acid composition of spermatozoa. Reprod. Biomed. Online 2008, 16, 649–656. [Google Scholar] [CrossRef]
- Collodel, G.; Moretti, E.; Micheli, L.; Menchiari, A.; Moltoni, L.; Cerretani, D. Semen characteristics and malondialdehyde levels in men with different reproductive problems. Andrology 2015, 3, 280–286. [Google Scholar] [CrossRef]
- da Rosa Filho, R.R.; Angrimani, D.S.; Brito, M.M.; Nichi, M.; Vannucchi, C.I.; Lucio, C.F. Susceptibility of epididymal sperm against reactive oxygen species in dogs. Anim. Biotechnol. 2021, 32, 92–99. [Google Scholar] [CrossRef]
- Das, P.; Choudhari, A.R.; Singh, A.K.; Singh, R. Correlation among routine semen parameters, sperm viabilty and malondialdehyde levels in human subjects with different fertility potential. Indian J. Physiol. Pharmacol. 2009, 53, 253–258. [Google Scholar]
- Zribi, N.; Chakroun, N.F.; Elleuch, H.; Abdallah, F.B.; Ben Hamida, A.S.; Gargouri, J.; Fakhfakh, F.; Keskes, L.A. Sperm DNA fragmentation and oxidation are independent of malondialdheyde. Reprod. Biol. Endocrinol. 2011, 9, 47. [Google Scholar] [CrossRef]
- Atig, F.; Raffa, M.; Ali, H.B.; Abdelhamid, K.; Saad, A.; Ajina, M. Altered antioxidant status and increased lipid per-oxidation in seminal plasma of tunisian infertile men. Int. J. Biol. Sci. 2012, 8, 139. [Google Scholar] [CrossRef]
- Benedetti, S.; Tagliamonte, M.C.; Catalani, S.; Primiterra, M.; Canestrari, F.; De Stefani, S.; Palini, S.; Bulletti, C. Differences in blood and semen oxidative status in fertile and infertile men, and their relationship with sperm quality. Reprod. Biomed. Online 2012, 25, 300–306. [Google Scholar] [CrossRef]
- Kuang, Y.F.; Chen, Y.H. Induction of apoptosis in a non-small cell human lung cancer cell line by isothiocyanates is associated with P53 and P21. Food Chem. Toxicol. 2004, 42, 1711–1718. [Google Scholar] [CrossRef] [PubMed]
- Chen, R.; Wei, J.; Gao, Y. A review of the study of active components and their pharmacology value in Lepidium meyenii (Maca). Phytother. Res. 2021, 35, 6706–6719. [Google Scholar] [CrossRef]
- Fu, L.; Wei, J.; Gao, Y.; Chen, R. Antioxidant and antitumoral activities of isolated macamide and macaene fractions from Lepidium meyenii (Maca). Talanta 2021, 221, 121635. [Google Scholar] [CrossRef]
- Chan, P.J.; Tredway, D.R.; Henig, I.; Prough, S.G. Cyclic CMP (cytidine 3′,5′-monophosphate) suppresses changes in human sperm amplitude of lateral head displacement and hyperactivation. Experientia 1990, 46, 734–736. [Google Scholar] [CrossRef] [PubMed]
- Tesarik, J.; Mendoza, C.; Carreras, A. Effects of phosphodiesterase inhibitors caffeine and pentoxifylline on spontaneous and stimulus-induced acrosome reactions in human sperm. Fertil. Steril. 1992, 58, 1185–1190. [Google Scholar] [CrossRef]
- Funahashi, H.; Nagai, T. Regulation of in vitro penetration of frozen–thawed boar spermatozoa by caffeine and adenosine. Mol. Reprod. Dev. 2001, 58, 424–431. [Google Scholar] [CrossRef]
- Ho, H.C.; Suarez, S.S. An inositol 1,4,5-trisphosphate receptor-gated intracellular Ca2+ store is involved in regulating sperm hyperactivated motility. Biol. Reprod. 2001, 65, 1606–1615. [Google Scholar] [CrossRef]
- Suarez, S.S.; Pacey, A.A. Sperm transport in the female reproductive tract. Hum. Reprod. Update 2006, 12, 23–37. [Google Scholar] [CrossRef] [PubMed]
- Suarez, S.S. Control of hyperactivation in sperm. Hum. Reprod. Update 2008, 14, 647–657. [Google Scholar] [CrossRef] [PubMed]


| Chemical Structures of Maca Metabolites | Maca Powder (μg/L) | Aqueous Extract of Maca (μg/L) |
|---|---|---|
| 5-oxo-6E,8E-octadecadienoic acid (Macaen) | 69.53 | 17.89 |
| N-(3-hydroxy-benzyl)-2Z-fivecarbon acrylamide | 614.29 | 157.99 |
| N-benzyl-5-oxo-6E,8E-octadecadienamide (MI 7) | 46.08 | 61.81 |
| N-benzyloctadecanamide (MI 16) | 53.96 | 28.89 |
| 1,3-dibenzyl-2, pentyl-4, 5-trimethylimidazilium (Lepilidine A) | 59.03 | 13.31 |
| (1R,3S)-1-methyltetrahydro-beta-5,6-hydridecarboline-3-carboxylic acid (MTACA) | 47.17 | 3.63 |
| 1-dibenzyl-2-propane-4,5-dimethylimidazilium | 19.52 | 1.25 |
| Storage Time | ||||
|---|---|---|---|---|
| Rapid progressive (%) | 3 h | 24 h | 4 d | 7 d |
| CTRL | 14.4 (4.5–20.7) a | 17.8 (8.1–29.7) a | 6.5 (1.9–16) a,x | 0 (0–1.3) b |
| M10 | 10.6 (7.4–17.6) a | 24.2 (6.6–29.1) a | 2.1 (1–4) b,xy | 0 (0–0) c |
| M20 | 12.2 (5.6–21.8) a | 11.2 (5.3–20.2) a | 5 (1.5–11) b,x | 0 (0–1.5) c |
| M50 | 13.3 (9.4–20.8) a | 12.6 (6–20.1) a | 1.8 (0.5–2.4) b,y | 0 (0–0) c |
| Medium progressive (%) | ||||
| CTRL | 14.3 (13.4–21.7) a,xy | 12.3 (7.3–23.2) a | 2.4 (1.7–13.8) b | 0 (0–1.5) c |
| M10 | 13.4 (6–20.7) a,xy | 12 (6.2–21.5) a | 2.1 (1–7.5) b | 0 (0–0.1) c |
| M20 | 12 (11.9–21.1) a,x | 15.2 (8.1–21) a | 10.5 (0.9–15.5) b | 0 (0–0.5) c |
| M50 | 14.5 (9–20.1) a,y | 13 (7.7–22.4) a | 2.5 (0.3–12.9) b | 0 (0–0) c |
| Hyperactive sperm (%) | ||||
| CTRL | 1.6 (0.9–3.7) a,x | 1.3 (0.9–4.6) a | 1.1 (0.6–4.4) a,x | 0 (0–0.14) b |
| M10 | 3.5 (2.2–8.1) a,xy | 2.88 (1.8–4.1) a | 0.5 (0–1.2) b,xy | 0 (0–0) c |
| M20 | 3.1 (1.4–5.9) a,y | 2.2 (0.7–3.8) a | 0.25 (0–1.6) b,xy | 0 (0–0.2) b |
| M50 | 2.1 (1.1–6.7) a,y | 1.7 (1.2–4) a | 0 (0–0.8) b,y | 0 (0–0) b |
| Storage Time | ||||
|---|---|---|---|---|
| VCL | 3 h | 24 h | 4 d | 7 d |
| CTRL | 85.4 (82.2–86.3) a | 86.1 (84.6–86.6) a,xy | 86.7 (74.8–88.2) a | 0 (0–76.8) b |
| M10 | 85.7 (81.3–87.8) a | 87.8 (86.1–89.4) b,x | 82.4 (78.2–84) a | 0 (0–33.8) c |
| M20 | 84.2 (82.2–87.7) a | 86.2 (82–87.6) a,xy | 84.7 (40.5–85.8) a | 0 (0–41) b |
| M50 | 85 (81.7–87.1) a | 83.8 (80.2–86.2) a,y | 78.9 (38.3–84.1) a | 0 (0–0) b |
| VSL | ||||
| CTRL | 61 (56.3–66.4) a,x | 55.4 (48.5–62.2) a | 44.7 (35.7–50.3) b | 0 (0–27.5) c |
| M10 | 60.6 (50–64.5) a,xy | 56 (49.7–63.6) a | 40.1 (34.2–46) b | 0 (0–19.3) c |
| M20 | 59 (55.4–61.7) a,xy | 57.3 (46.6–61.8) a | 42.9 (19.5–51.5) b | 0 (0–21.7) c |
| M50 | 57.9 (50.8–64.4) a,y | 49.9 (44.5–59.7) a | 43.2 (16.3–51.3) b | 0 (0–0) c |
| VAP | ||||
| CTRL | 66.4 (61.8–70.7) a,x | 61.2 (55.2–67.1) a | 51.5 (42.8–57) b | 0 (0–34.4) c |
| M10 | 66.5 (56.2–69.6) a,xy | 62.3 (57.2–68.7) a | 47.6 (42–52.9) b | 0 (0–22.6) c |
| M20 | 65 (63–66.6) a,xy | 63.4 (53.4–68.1) a | 50.5 (23.6–57.6) b | 0 (0–24) c |
| M50 | 64.1 (57.2–69.5) a,y | 58.8 (51.7–64.8) a | 50.6 (19.8–57.9) b | 0 (0–0) c |
| LIN | ||||
| CTRL | 71.6 (66.2–79.1) a,x | 67.4 (56.9–72.1) a | 51.6 (40.3–62.4) b | 0 (0–35.4) c |
| M10 | 73 (59.8–75.5) a,xy | 65.4 (55.5–72.2) a | 48.9 (41.5–54.1) b | 0 (0–25) c |
| M20 | 70.1 (65.3–73.6) a,xy | 66.3 (57.3–72.5) a | 50.9 (2.9–60.1) b | 0 (0–24.2) c |
| M50 | 66.7 (61.2–73.8) a,y | 60.2 (55–71.9) a | 50.3 (20.9- 63.6) b | 0 (0–0) c |
| STR | ||||
| CTRL | 91.4 (90.4–93.1) a,x | 90 (87.5–92) b | 86.3 (82.5–87.8) c | 0 (0–80.4) d |
| M10 | 90.9 (88–92.3) a,xy | 89.7 (85.6–92.1) a | 83.9 (80.6–86.5) b | 0 (0–41.9) c |
| M20 | 90.6 (87.5–92.4) a,y | 89.9 (88.8–92.8) a | 84.9 (40.5–88.2) b | 0 (0–41.8) c |
| M50 | 89.7 (87.4–92.2) a,y | 86.3 (85–91.4) b | 85.2 (41–92.2) b | 0 (0–0) c |
Publisher’s Note: MDPI stays neutral with regard to jurisdictional claims in published maps and institutional affiliations. |
© 2022 by the authors. Licensee MDPI, Basel, Switzerland. This article is an open access article distributed under the terms and conditions of the Creative Commons Attribution (CC BY) license (https://creativecommons.org/licenses/by/4.0/).
Share and Cite
Del Prete, C.; Calabria, A.; Longobardi, V.; Palumbo, V.; Merlo, B.; Iacono, E.; Tafuri, S.; Carotenuto, D.; Ciani, F.; Damiano, S.; et al. Effect of Aqueous Extract of Maca Addition to an Extender for Chilled Canine Semen. Animals 2022, 12, 1638. https://doi.org/10.3390/ani12131638
Del Prete C, Calabria A, Longobardi V, Palumbo V, Merlo B, Iacono E, Tafuri S, Carotenuto D, Ciani F, Damiano S, et al. Effect of Aqueous Extract of Maca Addition to an Extender for Chilled Canine Semen. Animals. 2022; 12(13):1638. https://doi.org/10.3390/ani12131638
Chicago/Turabian StyleDel Prete, Chiara, Alfonso Calabria, Valentina Longobardi, Veronica Palumbo, Barbara Merlo, Eleonora Iacono, Simona Tafuri, Domenico Carotenuto, Francesca Ciani, Sara Damiano, and et al. 2022. "Effect of Aqueous Extract of Maca Addition to an Extender for Chilled Canine Semen" Animals 12, no. 13: 1638. https://doi.org/10.3390/ani12131638
APA StyleDel Prete, C., Calabria, A., Longobardi, V., Palumbo, V., Merlo, B., Iacono, E., Tafuri, S., Carotenuto, D., Ciani, F., Damiano, S., Ciarcia, R., & Cocchia, N. (2022). Effect of Aqueous Extract of Maca Addition to an Extender for Chilled Canine Semen. Animals, 12(13), 1638. https://doi.org/10.3390/ani12131638

