Abstract
Gut microbiota imbalances can lead to the development of various inflammatory diseases in the body. The development of drugs aimed at maintaining intestinal health is a key area of biotechnology. Algae-based prebiotics are one such drug. The aim of this study was to conduct a comparative analysis of the fecal microbiota of Mus musculus with and without a prebiotic supplement. We studied the effects of enzymatically processed Laminaria digitata and Fucus vesiculosus seaweeds on the gut microbiome of mice with induced inflammation using DNBSEQ-G50 sequencing. The results showed that these prebiotic supplements can reduce the impact of inflammation on the intestine. An increase in the relative abundance of Anaerostipes rhamnosivorans, Dysosmobacter welbionis, Akkermansia muciniphila, Flavonifractor plautii, and a decrease in Longicatena caecimuris relative to the LPS group were observed. Furthermore, enzymatically processed algae were found to increase the relative abundance of gut bacterial metabolic pathways responsible for glucose breakdown. Thus, both enzymatically processed and unprocessed algae-based prebiotic supplements restored gut microbiome composition and gut morphology in LPS-exposed mice, as confirmed by microbiome analysis and histological examination.
1. Introduction
It is known that disruption of intestinal microbiota homeostasis can lead to the development of intestinal disorders such as inflammatory diseases, immunodeficiency, hypertension, type 2 diabetes, obesity, and cancer [1]. Algae are a promising resource for renewable nutrition, which increases the need for the development of dietary supplements based on them [2]. It is known that adding microalgae-based supplements to animal diets can improve both intestinal physiology and host immunity, preventing intestinal damage in various inflammatory conditions [3]. Several species of wild microalgae are widely used in human food: Arthrospira platensis, Chlorella vulgaris, and Aphanizomenon [4]. Previously, it was shown that adding Fucus vesiculosus to the diet of mice improves the health of the intestinal microbiota, enriching it with bacteria capable of breaking down fiber and producing short-chain fatty acids [5]. Furthermore, fucoidans isolated from Fucus vesiculosus have been shown to exert an anticancer effect in a rat model of colorectal cancer [6]. Brown algae, such as Fucus and Laminaria, are used in the treatment of metabolic diseases and intestinal barrier damage [7]. Furthermore, studies examining the effects of Laminaria powder and fucoidan on the intestinal microbiota have shown that both substances have a positive effect on both the structure of the intestinal microbiota and the habitat of large yellow croakers [8].
Enzymatic hydrolysis is a preferred method for separating bioactive peptides, capable of improving the key properties of peptides: activity and bioavailability [9]. Thus, there is great potential in the research and development of enzymatically hydrolyzed microalgae as sources of high-quality and stable protein for human food products and dietary supplements [10]. However, studies on the prebiotic activity of Fucus vesiculosus and Laminaria digitata in modulating the composition of the gut microbiome under conditions of lipopolysaccharide-induced inflammation are limited and do not provide comprehensive data. Thus, the main aim of our study was to identify the effects of enzymatically treated algae and fucus on the gut microbiome.
2. Materials and Methods
2.1. Objects of Research
The studies were conducted on male Mus musculus of the C57BL/6 line obtained from the Stolbovay nursery (Moscow region, Russia).
The studied mice were kept in accordance with “Guidelines for the maintenance and care of laboratory animals. Rules for equipping premises and organizing procedures.”
A total of 36 male mice were used. Laboratory mice were then divided into 4 groups: a control group (n = 10); a control group injected with lipopolysaccharide (LPS) (n = 10); a group that received a prebiotic based on enzymatically processed Fucus vesiculosus and Laminaria digitata in the form of a gel (prebiotic supplement 1) and which was administered LPS (n = 8); a group supplemented with a prebiotic based on non-hydrolyzed Fucus vesiculosus and Laminaria digitata in the form of a powder (Prebiotic supplement 2) and injected with LPS (n = 8).
The experimental protocol included a three-week period of prebiotic administration and a one-week course of LPS injections. Samples of brown seaweed were collected in the White Sea. Thalli of the brown seaweed Laminaria digitata (order Laminariales) were collected in the coastal zone of Maly Zhuzhmuy Island. Thalli of the brown seaweed Fucus vesiculosus (order Fucales) were collected in the coastal zone of Maly Zhuzhmuy Island. After collection, the thalli were placed in an isothermal thermal box for delivery to the laboratory. During transportation, the temperature was maintained at 4 ± 2 °C. Samples of brown seaweed in the laboratory were stored in a sealed package at a temperature of 4 ± 2 °C.
Prebiotic supplement 1 preparation: Before enzymatic hydrolysis, the thalli of the brown seaweeds under study were washed several times with deionized water to remove sea salt and contaminants. After washing, the thalli were air-dried and freeze-dried in a FreeZone 2.5 L lyophilizer (Labconco, Kansas, MO, USA) to constant humidity. Freeze-drying mode: −52 °C, pressure 50 Pa, duration 24 h. The dried samples were ground in a laboratory mill for 60 s. A fraction with a particle size of 50–100 μm was selected for the experiments. To perform enzymatic hydrolysis, 0.1 M citrate buffer characterized by a pH value of 5.0 pH units was selected. The following enzyme preparations were selected for enzymatic hydrolysis: complex enzyme preparation “Ceremix Plus MG” (Novozymes, Bagsværd, Denmark) and enzyme preparation “Celluclast 1.5 L” (Novozymes, Bagsværd, Denmark). Complex enzyme preparation “Ceremix Plus MG” (Novozymes, Denmark) is characterized by endo-1,4-xylanase, endo-1,3(4)-β-glucanase, neutral protease and α-amylase activities. The enzyme preparation “Celluclast 1.5 L” (Novozymes, Bagsværd, Denmark) is characterized by the presence of cellulase activity. Micronized thallus of the brown seaweed Laminaria digitata and micronized thallus of the brown seaweed Fucus vesiculosus were suspended in 300 cm3 of 0.1 M citrate buffer (5.0 pH units) until the ratio of dry weight of micronized thalli of brown seaweed: 0.1 M citrate buffer was 1:9. In this case, the citrate buffer was preheated to 50 °C. The mass ratio of micronized thalli of the brown seaweed Laminaria digitata and micronized thalli of the brown seaweed Fucus vesiculosus in the system was 50:50 (d.w.). Suspension was carried out with constant stirring by an overhead stirrer with an anchor stirrer with a rotation speed of 500 rpm. The end of suspension was considered to be the obtaining of a homogeneous viscous mass of brown color, which took on average 30 min. Upon completion of suspension, enzyme preparations were added at the following dosages: “Ceremix Plus MG” 5% of the dry matter of micronized thalli of brown seaweed in the system, “Celluclast 1.5 L” (Novozymes, Bagsværd, Denmark) 5% of the dry matter of micronized thalli of brown seaweed in the system. In this case, “Ceremix Plus MG” was pre-dissolved in 10 cm3 of 0.1 M citrate buffer (5.0 pH units) at 50 °C. The liquid enzyme preparation “Celluclast 1.5 L” was added without pre-dissolution in the buffer solution and without heating. Hydrolysis was carried out for 24 h with constant stirring by an overhead stirrer with an anchor stirrer with a rotation speed of 500 rpm and maintaining the temperature at 50 °C. To prevent evaporation, a laboratory beaker was equipped with a lid with a rotation unit for connecting the overhead stirrer. Enzymatic hydrolysis was stopped by heating the system to 90 °C and then maintaining it at this temperature for 10 min. Then the hydrolysate was transferred to an ice bath for cooling. The resulting hydrolysate was used for further studies.
Prebiotic supplement 2 preparation: the thalli of the brown seaweed under study were washed several times with deionized water to remove sea salt and contaminants. After washing, the thalli were air-dried and freeze-dried in a FreeZone 2.5 L freeze dryer (Labconco, Kansas, MO, USA) to constant humidity. Freeze-drying mode: −52 °C, pressure 50 Pa, duration 24 h. The dried samples were ground in a Stegler LM-1000 laboratory mill (STEGLER, Kunshan, China) for 60 s. A fraction with a particle size of 50–100 μm was selected for the experiments. The ratio of micronized thalli of Laminaria digitata: Fucus vesiculosus in Prebiotic supplement 2 was 50:50, the full chemical composition is presented in the table below (Table 1).
Table 1.
Chemical Composition of Prebiotic Preparations.
Prebiotic supplement dosages were selected based on preliminary research to ensure ease of administration and to reflect typical practical use of the liquid and powder forms.
The drug “Pyrogenal” 100 μg/mL was used as a lipopolysaccharide (LPS) for the study. For injections, LPS was mixed with physiological solution in a ratio of 1:1 and administered intraperitoneally at 200 μL daily during the last week of the experiment.
Prebiotics were pre-mixed with distilled water before adding to the feed in a ratio of 400 μL of prebiotic per 1.75 mL of water per mouse per day (Prebiotic supplement 1) and 25 mg of prebiotic per 1.75 mL of water per mouse per day (Prebiotic supplement 2). All groups of mice received a portion of feed at a rate of 5 g/mouse [11]. Prebiotic supplement 1 (enzymatically hydrolyzed gel, 10% solids) provided 40 mg dry matter per mouse per day (1794 mg/kg/day). Prebiotic supplement 2 (non-hydrolyzed powder) was administered at 25 mg per mouse per day (1121 mg/kg/day).
The experiment lasted for 3 weeks, at the end of each week, as well as before the start of the experiment, a physiological test “open field” was carried out.
2.2. Histological Study
Histological analysis was performed according to the protocol from our previous work [12].
2.3. Generation of Sequencing Libraries on the DNBSEQ-G50 Platform
The study was conducted using metagenomic shotgun sequencing on the DNBSEQ-G50 platform [13].
At the first stage, total DNA was isolated from each obtained stool sample using a commercial MetaGen kit (Synthol, Moscow, Russia) in accordance with the manufacturer’s protocol. The concentration and purity of each sample were measured using a Nano-500 fluorimeter (Hangzhou Allsheng Instruments Co., Ltd., Hangzhou, China) and a commercial Equalbit 1x dsDNA HS kit (Vazyme, Nanjing, China).
After that, fragmentation was performed, with subsequent ligation of barcodes, all these operations were carried out using the kits: MGIEasy Fast FS Library Prep Module (MGI, Shenzhen, China) and MGIEasy UDB Adapter Kit (MGI, Shenzhen, China), based on the protocol declared by the manufacturer. Upon completion of this stage, the quality of the obtained PCR products was assessed based on the electrophoresis method in 2% agarose gel. The concentration of the products was also assessed using a Nano-500 fluorimeter (Hangzhou Allsheng Instruments Co., Ltd., Hangzhou, China) and an Equalbit 1x dsDNA HS Assay Kit (Vazyme, Nanjing, China). Based on the results obtained, PCR products were pooled, with subsequent measurement of pool concentrations. At the next stage, the pools were circularized to obtain single-stranded DNA, the operations were carried out based on the protocol of the manufacturer of the commercial kit MGIEasy Dual Barcode Circularization Module (MGI, Shenzhen, China). Subsequently, quality control was also performed by measuring the concentration using a Nano-500 fluorimeter (Hangzhou Allsheng Instruments Co., Ltd., Hangzhou, China) and a QuDye ssDNA Assay Kit (Lumiprobe, Moscow, Russia). Based on the quality control results, the volume of each pool was calculated for combining into a superpool. The concentration of the superpool was also controlled and the volume of the superpool was calculated to be 60 fmol.
To start the DNBSEQ-G50 sequencer (MGI, Shenzhen, China), DNB were formed using the commercial DNBSEQ-G50RS High-throughput Sequencing Kit FCL PE100/FCS PE150 (MGI, Shenzhen, China). Then, the concentration of the obtained DNB was measured using a Nano-500 fluorimeter (Hangzhou Allsheng Instruments Co., Ltd., Hangzhou, China) and a commercial QuDye ssDNA Assay Kit (Lumiprobe, Moscow, Russia). After that, DNB were placed in the sequencer using a DNBSEQ-G50RS Sequencing Flow Cell FCL (MGI, Shenzhen, China), as well as a cartridge PE100 with reagents from the DNBSEQ-G50RS High-throughput Sequencing Kit FCL PE100/FCS PE150 (MGI, Shenzhen, China) kit. All operations were carried out based on the manufacturer’s protocols.
2.4. Bioinformatic and Statistical Analysis
The quality of the raw reads was assessed using FastQC [14]. Subsequent filtering included the removal of technical sequences and low-quality nucleotides (Q < 30) using the fastp tool [15]. To exclude contamination with human and mouse genomes, the reads were mapped to the corresponding reference genomes using Bowtie2 [16]. The taxonomic composition of bacteria, viruses, and eukaryotes in the microbiomes of the samples was determined using MetaPhlAn4 [17]. Functional profiling of metabolic pathways was performed using HUMAnN3.0 [18].
Statistical data processing was carried out in the R environment, the RStudio program (2025.05.0). Alpha diversity was estimated using the Shannon index, and the Bray–Curtis dissimilarity metric was used to analyze beta diversity. Differences in alpha diversity were assessed using the nonparametric Mann–Whitney test. The ADONIS (999 permutations) function was used to assess differences in diversity between groups. To ensure that observed effects reflected genuine location shifts rather than unequal within-group dispersion, we complemented ADONIS with PERMDISP (999 permutations). Differential abundance analysis of species was performed using the MaAsLin2 package [19], which used a multivariate regression model. Data on metabolic pathways were calculated using the Kruskal–Wallis test and Bonferroni correction. Observed power for key outcomes was estimated post hoc with the pwr package via Cohen’s d. An adjusted p-value ≤ 0.05 was considered statistically significant. Results are presented as mean ± SD.
3. Results
3.1. Histology
Histological studies showed that the control group intestine had a generally accepted structure: finger-shaped villi with a brush border, goblet cells were located singly among the border cells, crypts were formed and lay in the proper layer of the mucous membrane, the proper layer of the mucous membrane was built of loose fibrous unformed connective tissue, the muscular membrane was represented by the outer and inner muscular layers. In the “LPS” group, multiple destructive changes in the intestinal mucosa were noted, expressed in the violation of the structural integrity of the villi, the presence of cellular infiltration and areas of connective tissue growth, which indicates the occurrence of an inflammatory process in the intestine. In the “Prebiotic supplement 1” group, the overall picture of the morphological structure of the intestine was unchanged, but it is worth noting the presence of a small number of areas with cellular infiltration. In the “Prebiotic supplement 2” group, the histological structure of the intestine was most similar to the control group, but the intestinal mucosa was characterized by the highest villi with a large number of goblet cells, which improves the functional state of the intestine. Figure 1 shows the morphological structure of the intestine of mice in the study groups.
Figure 1.
Morphological structure of the mouse intestine. Magnification: (A,C,E,G) 100×, (B,D,F,H) 400×. Hematoxylin and eosin staining: (A,B) “Control” group; (C,D) “LPS” group; (E,F) “Prebiotic supplement 1” group; (G,H) “Prebiotic supplement 2” group.
Histological studies also showed that the “Prebiotic supplement 2” group demonstrated the highest values of villus height (370 μm on average) and crypt depth (40 μm on average), which may indicate a stimulating effect of this combination on the morphological structure of the intestine. The LPS group had the smallest villus width, which indicates a violation of the structural organization of the intestinal mucosa. The control group demonstrated average values. Correlation analysis revealed a moderate positive correlation (r ≈ 0.6) between the height and depth of the crypts, which may indicate the interrelated development of these structures, as well as a weak correlation between the width and height of the villi (r ≈ 0.3), which indicates the independence of these parameters in some groups. The villus height values were statistically significant between the “Prebiotic supplement 2” group and the comparison groups at p ≤ 0.05; The villus width values are statistically significant in the LPS group compared to other groups at p ≤ 0.05; the crypt depth shows significantly higher values in the Prebiotic supplement 2 group at p ≤ 0.05 compared to other groups (Table 2).
Table 2.
Histological examination of the intestine.
3.2. Sequencing Results on the DNBSEQ-G50 Platform
Analysis of the fecal microbiome of laboratory mice from the Control, LPS, Prebiotic supplement 1 and Prebiotic supplement 2 groups allowed us to identify 8 phyla, 17 classes, 25 orders, 34 families, 60 genera and 115 species of bacteria (Figure 2).
Figure 2.
Bacterial types found in the faecal microbiome of the study groups.
We conducted a comparative analysis of the intestinal microbiome of the study groups, relative to Control, and identified 39 most common species, the number of which exceeded 0.5%, all other species were grouped as “Others” (Figure 3).
Figure 3.
Bacterial species found in the microbiome of the study groups.
An alpha diversity analysis was also performed using the observed species diversity measures and the Shannon index (Figure 4, Table 3). No statistically significant differences were found.
Figure 4.
Alpha diversity of the microbiome of the study groups.
Table 3.
The number of bacteria and measures of their diversity.
A global beta diversity analysis (999 permutations) revealed a nonsignificant effect of group on microbial community structure (R2 = 0.137, F = 1.697, p = 0.071). Pairwise comparisons revealed a statistically significant difference between the LPS and Prebiotic supplement 1 groups (p = 0.044, R2 = 0.128, F.Model = 2.351). The homogeneity of multivariate variances differed significantly between groups (p = 0.017), suggesting that differences between groups reflect both changes in composition and variations in community variance (Figure 5). The statistical power calculation showed 59%, but Cohen’s d effect itself shows that the results are significant (d = 0.77).
Figure 5.
Principal coordinates analysis (PCoA) plot of beta diversity based on the Bray–Curtis scale between study groups.
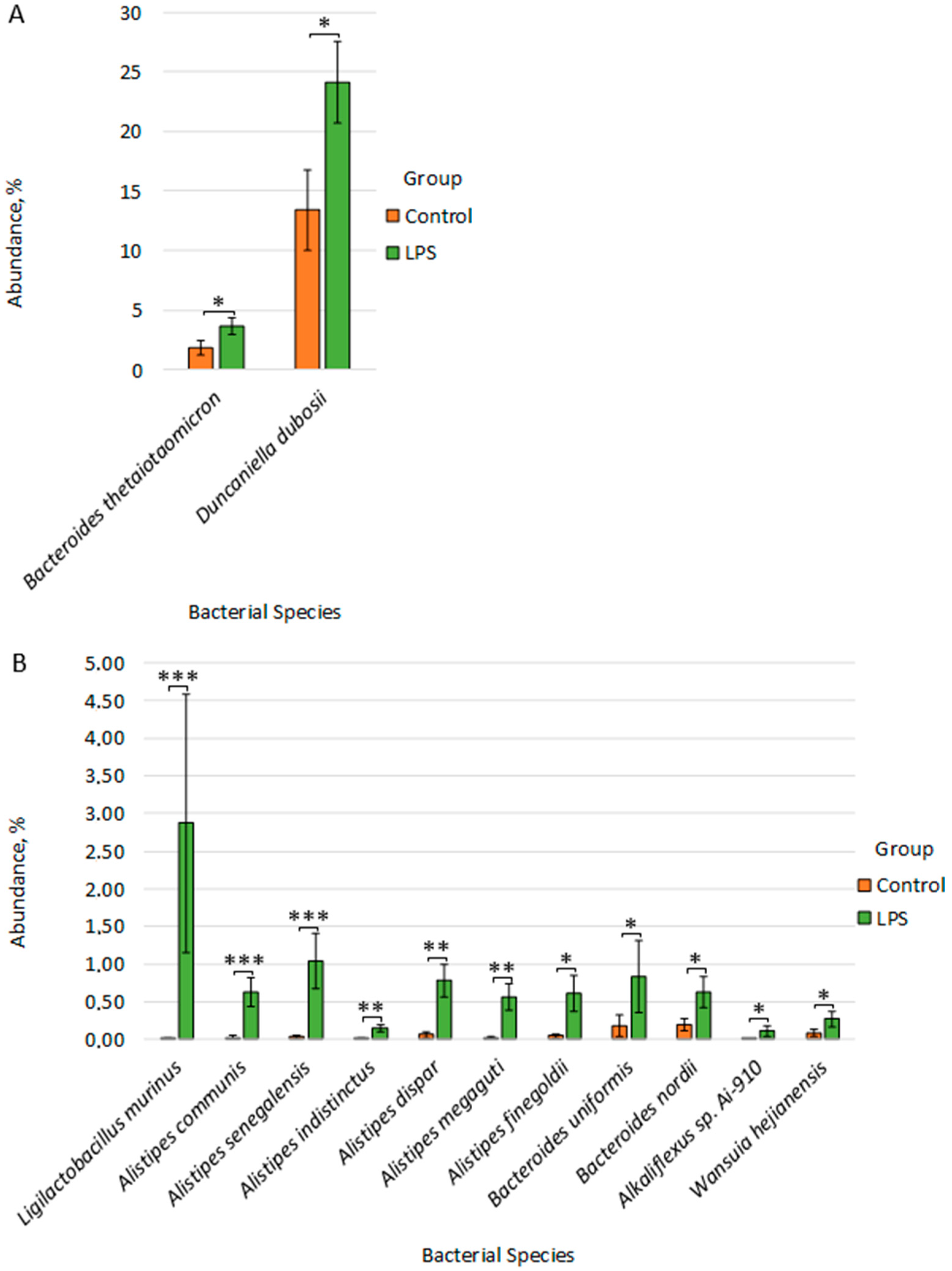
Differential abundance analysis revealed statistically significant differences at the species level between the Control group and the LPS group (Figure 6A,B). Thus, in the LPS group, compared to the Control group, we observed an increase in the number of species: Ligilactobacillus murinus (2.874% ± 1.715 vs. 0.010% ± 0.008, p = 6.22 × 10−5), Alistipes communis (0.629% ± 0.186 vs. 0.022% ± 0.022, p = 6.12 × 10−4), Alistipes senegalensis (1.038% ± 0.369 vs. 0.031% ± 0.023, p = 9.15 × 10−4), Alistipes indistinctus (0.151% ± 0.044 vs. 0.008% ± 0.008, p = 0.001), Alistipes dispar (0.781% ± 0.219 vs. 0.066% ± 0.038, p = 0.006), Alistipes megaguti (0.568% ± 0.173 vs. 0.017% ± 0.012, p = 0.006), Bacteroides thetaiotaomicron (3.662% ± 0.730 vs. 1.857% ± 0.569, p = 0.014), Alistipes finegoldii (0.615% ± 0.238 vs. 0.051% ± 0.024, p = 0.012), Duncaniella dubosii (24.117% ± 3.461 vs. 13.407% ± 3.399, p = 0.030), Bacteroides uniformis (0.836% ± 0.474 vs. 0.181% ± 0.143, p = 0.036), Bacteroides nordii (0.623% ± 0.209 vs. 0.197% ± 0.079, p = 0.029), Alkaliflexus sp. Ai-910 (0.111% ± 0.073 vs. 0.004% ± 0.003, p = 0.033), Wansuia hejianensis (0.268% ± 0.100 vs. 0.085% ± 0.052, p = 0.041). All detected differences showed statistical power >97%, which confirms the high reliability of the detected differences, despite the relatively small sample size.
Figure 6.
(A,B) Differences in fecal microbiome composition between Control and LPS groups. * p ≤ 0.05, ** p ≤ 0.01, *** p ≤ 0.001.
Statistically significant differences were also found at the species level between the LPS group and the Prebiotic supplement 1 group. Thus, in the Prebiotic supplement 1 group, compared to the LPS group, we observed an increase in the number of species: Akkermansia muciniphila (14.033% ± 9.051 vs. 0.031% ± 0.015, p = 0.004), Butyricimonas virosa (0.170% ± 0.054 vs. 0.034% ± 0.012, p = 0.015), Blautia sp. NBRC 113351 (0.155% ± 0.076 vs. 0.026% ± 0.014, p = 0.034), Coprococcus sp. ART55/1 (0.116% ± 0.051 vs. 0.027% ± 0.023, p = 0.040), Longicatena caecimuris (0.265% ± 0.128 vs. 0.051% ± 0.029, p = 0.041), Anaerostipes rhamnosivorans (0.143% ± 0.077 vs. 0.019% ± 0.017, p = 0.048).
In contrast, the abundance of the following species was significantly higher in the LPS group compared to the Prebiotic supplement 1 group: Duncaniella dubosii (24.117% ± 3.461 vs. 11.232% ± 5.808, p = 0.009), Ligilactobacillus murinus (2.874% ± 1.715 vs. 0.133% ± 0.063, p = 0.008), Alkaliflexus sp. Ai-910 (0.111% ± 0.073 vs. 0, p = 0.016), Muribaculum intestinale (7.833% ± 0.984 vs. 3.909% ± 1.052, p = 0.029), Sodaliphilus pleomorphus (0.767% ± 0.211 vs. 0.273% ± 0.082, p = 0.042), Phocaeicola vulgatus (2.023% ± 0.476 vs. 0.765% ± 0.259, p = 0.041), Parabacteroides distasonis (2.660% ± 0.728 vs. 0.990% ± 0.219, p = 0.035) (Figure 7A,B). The statistical power to estimate differences at the species level was greater than 90%, which also indicates the high significance of the results even with a small sample.
Figure 7.
(A,B) Differences in fecal microbiome composition between LPS and Prebiotic supplement 1 groups. * p ≤ 0.05, ** p ≤ 0.01.
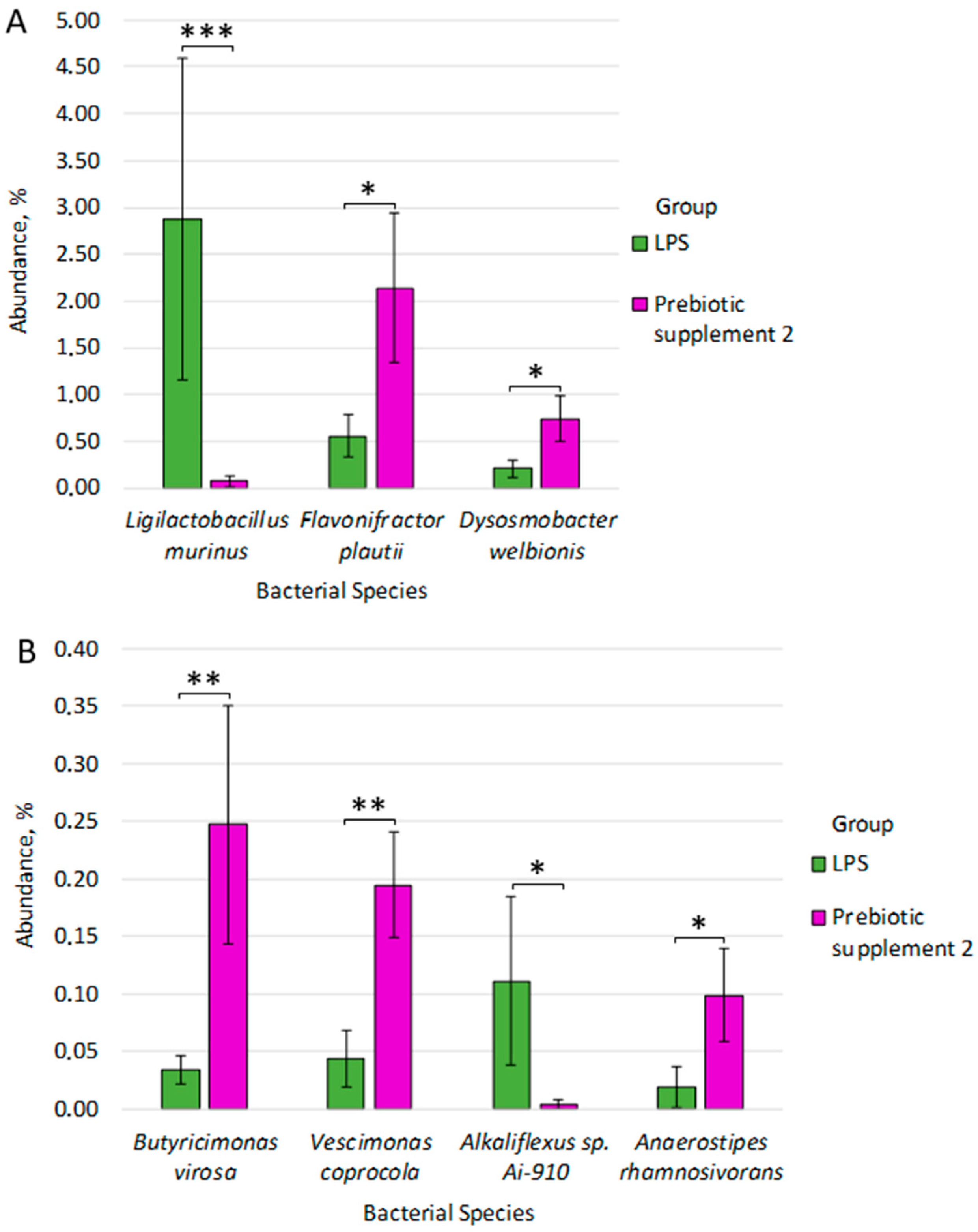
A statistically significant predominance of species was observed in the Prebiotic supplement 2 group compared to the LPS group: Butyricimonas virosa (0.247% ± 0.103 vs. 0.034% ± 0.012, p = 0.009), Vescimonas coprocola (0.195% ± 0.046 vs. 0.043% ± 0.024, p = 0.009), Flavonifractor plautii (2.140% ± 0.804 vs. 0.554% ± 0.224, p = 0.014), Anaerostipes rhamnosivorans (0.099% ± 0.041 vs. 0.019% ± 0.017, p = 0.042), Dysosmobacter welbionis (0.739% ± 0.243 vs. 0.210% ± 0.091, p = 0.033) (Figure 8A,B).
Figure 8.
(A,B) Differences in fecal microbiome composition between LPS and Prebiotic supplement 2 groups. * p ≤ 0.05, ** p ≤ 0.01, *** p ≤ 0.001.
In contrast, the LPS group had a significantly greater abundance of Ligilactobacillus murinus compared to the Prebiotic supplement 2 group: Ligilactobacillus murinus (2.874% ± 1.715 vs. 0.069% ± 0.064, p = 4.60 × 10−4), Alkaliflexus sp. Ai-910 (0.111% ± 0.017 vs. 0.099% ± 0.041, p = 0.043) (Figure 8A,B). Taxa with the strongest effects (e.g., Ligilactobacillus murinus, d = 3.9) showed a power of 71–98%, while taxa close to the significance threshold (e.g., Alkaliflexus sp. Ai-910, d = 2.11; Anaerostipes rhamnosivorans d = 2.12; Dysosmobacter welbionis, d = 2.24) had a power of ~60%, despite high Cohen’s d values.
After analyzing the data on metabolic pathways, the following statistically significant results were revealed. In the LPS group, compared to Control, there was an increase in the activity of such metabolic pathways as GLUCONEO-PWY: gluconeogenesis I (0.044 ± 0.008 vs. 0.029 ± 0.008, p = 0.018), GLUCUROCAT-PWY: superpathway of β-D-glucuronosides degradation (0.067 ± 0.008 vs. 0.034 ± 0.011, p = 0.024), PANTO-PWY: phosphopantothenate biosynthesis I (from glutamate) pathway (0.056 ± 0.010 vs. 0.027 ± 0.009, p = 0.028), PWY-5484: glycolysis II (from fructose 6-phosphate) (0.062 ± 0.009 vs. 0.035 ± 0.010, p = 0.032), PWY-6163: chorismate biosynthesis from 3-dehydroquinate (0.047 ± 0.008 vs. 0.021 ± 0.008, p = 0.028), SER-GLYSYN-PWY: superpathway of L-serine and glycine biosynthesis I (0.027 ± 0.012 vs. 0.007 ± 0.003, p = 0.049). However, inhibition of the GLYCOLYSIS: glycolysis I (from glucose 6-phosphate) pathway was observed after exposure to LPS injections (1.29 × 10−3 ± 7.73 × 10−4 vs. 0, p = 0.032) (Figure 9).
Figure 9.
Differences in the prevalence of metabolic pathways between the Control and LPS groups. * p ≤ 0.05.
Also after taking prebiotic supplement 1, a decrease in the activity of the following metabolic pathways was recorded, relative to the LPS group: Glycolysis I (from glucose 6-phosphate) (0.059 ± 0.010 vs. 0.029 ± 0.007, p = 0.036), Glycolysis II (from fructose 6-phosphate) (0.047 ± 0.008 vs. 0.024 ± 0.005, p = 0.043) and an increase in the activity of the Adenine and adenosine salvage III pathway (0.091 ± 0.014 vs. 0.059 ± 0.011, p = 0.049) (Figure 10). In turn, after taking prebiotic supplement 2, there was an increase in the activity of the Pyruvate fermentation to isobutanol (engineered) metabolic pathway (0.011 ± 0.005 versus 0.003 ± 0.003, p = 0.035) and a decrease in the Lactose and galactose degradation I pathway (0.002 ± 0.001 versus 0, p = 0.041) relative to the LPS group (Figure 10).
Figure 10.
Differences in the prevalence of metabolic pathways between the LPS, Prebiotic supplement 1 and Prebiotic supplement 2 groups. * p ≤ 0.05.
4. Discussion
Modern science is actively studying various chemical compounds that demonstrate prebiotic activity and potential therapeutic benefits [20,21]. In our study, we analyzed the prebiotic properties of the algae Laminaria digitata and Fucus vesiculosus.
Based on the results of the histological study, it can be assumed that the prebiotic based on Fucus vesiculosus and Laminaria digitata in powder form is able to have the most pronounced positive effect on the intestinal morphology, increasing the height of the villi and the depth of the crypts. While LPS negatively affects the morphology of the intestine, causing inflammatory and degenerative processes. In addition, it was found that the studied groups of mice: “Prebiotic supplement 1” and “Control” show intermediate results. Correlation analysis confirms the relationship between the height of the villi and the depth of the crypts, which is important for understanding the mechanism of adaptation processes in the intestine in response to various factors.
The analysis of the obtained results showed bacterial changes in the gut microbiome of mice. The bacterial species Ligilactobacillus murinus, isolated from the intestinal tract of mice, is known for its antibacterial properties against clinical and zoonotic pathogens, as well as bacteriolytic enzymes [22]. It is noted that the abundance of L. murinus in the host body positively correlates with improved metabolic parameters and a healthier gut microbiota, while a decrease in numbers may be associated with aging, as well as metabolic disorders [23]. This is confirmed by the results of studies aimed at studying L. murinus, it was shown that representatives of this bacterial species are able to prevent the further development of intestinal ischemia caused by intestinal damage [24]. It was also demonstrated that two-week oral administration of this bacterial species to rats with spontaneous hypertension promoted the restoration of damaged vascular endothelial functions, as well as a decrease in blood pressure in rats, in addition, a decrease in the level of LPS in plasma was noted [25]. Thus, it can be said that representatives of the bacterial species L. murinus in the body are able to act as markers of a healthy state of the body. The results of our study showed an increase in the number of L. murinus in the intestines of a group of mice that were injected with LPS, relative to the control group.
The Alistipes genus of bacteria is known to be relatively new and not fully studied. Alistipes species are capable of producing short-chain fatty acids with anti-inflammatory effects. However, the abundance of Alistipes spp. is associated with aging and a number of gastrointestinal diseases, including IBD, liver cirrhosis, chronic fatigue syndrome, depression, anxiety, and autism [26]. However, it has been noted that this genus may protect against certain diseases [27].
In our study, we observed a higher abundance of Alistipes communis, Alistipes senegalensis, Alistipes indistinctus, Alistipes dispar, Alistipes megaguti, and Alistipes finegoldii in the LPS group compared to the control group. Alistipes senegalensis JC50 has previously been shown to be involved in the development of IBD and metabolic disorders in humans. However, in a mouse model of colitis, it was shown that the abundance of this bacterial species can reduce inflammatory processes [28].
A study examining the effect of the bacterial species Alistipes indistinctus on the progression of non-alcoholic fatty liver disease demonstrated improved intestinal barrier function and inhibition of the LPS/TLR4/NF-κB pathway, which contributed to a reduction in liver inflammation [29]. This bacterium is also known to remove urates from the intestine, so it can be said that a high prevalence of A. indistinctus may be associated with a reduced risk of developing hyperuricemia [30]. Furthermore, mice receiving A. indistinctus orally in addition to a high-fat diet were completely protected from the development of insulin resistance and obesity [31]. A. indistinctus is a bacterial species that consumes a wide range of monosaccharides. In mice diagnosed with obesity, this bacterial species reduced blood sugar levels and carbohydrate availability [32]. Another study also found that a high-amylose diet in mice led to a decrease in A. indistinctus bacteria [33].
Previous studies have shown that mice transplanted with fecal microbiota from obese donors experienced increased levels of the potential pathobiont Alistipes finegoldii. A number of validation studies have shown that this bacterial species promoted the development of colon cancer [34]. Meanwhile, in a study examining the effect of DSS on colitis, this species reduced the severity of colitis [35]. A negative correlation was also observed between A. finegoldii and TNF-α levels after LPS injections [36]. In turn, for bacteria of the A. finegoldii species, an increase in the expression of intestinal IL-22 and Reg3γ in the colon was noted, under the influence of which the function of the intestinal barrier was restored [37]. Thus, literary data confirm that the bacterial species Alistipes finegoldii can be a pathobiont. Also, according to the results of our study, an increase in the abundance of the bacterial species Bacteroides thetaiotaomicron, Bacteroides uniformis, Bacteroides nordii was shown for the “LPS” group. It is known that Bacteroides thetaiotaomicron is a widespread commensal bacterium, the main metabolic products of which are: acetate, propionate and succinate [38]. Previous observations showed a positive correlation between the abundance of B. theta representatives and the alleviation of metabolic syndrome in the early and final stages of non-alcoholic fatty liver disease [39]. In addition, it was shown that representatives of the B. theta species are able to stop the development of TLR9-mediated colitis; in addition, they utilize C. glabrata from the intestine due to chitinase-like and mannosidase-like activity [40]. In turn, it has been shown that intestinal colonization with B. theta promotes thrombosis, exacerbates platelet hyperreactivity, and also leads to an increase in fecal L-tryptophan levels [41].
Bacteroides uniformis is a bacterial species with a high prevalence in the intestinal tract of healthy humans and mice [42]. Bacteroides uniformis has been shown to exert regulatory functions on intestinal homeostasis in animals; however, the mechanism by which it reduces the severity of colitis in mice remains unknown [43]. It has also been shown that increased abundance of B. uniformis and intragastric administration of cholic acid and chenodeoxycholic acid improved glucose and lipid metabolism in mice with type 2 diabetes mellitus by suppressing gluconeogenesis and lipolysis in the liver [44]. Results have shown that this bacterial species can improve exercise performance through gluconeogenesis [45].
The bacterial species Bacteroides nordii is a poorly studied representative of the pathogenic B. fragilis group, which consists of several strains with multiple drug resistance [46]. B. nordii is capable of influencing the metabolism of amino acids, as well as short-chain fatty acids [47].
Duncaniella dubosii bacteria are producers of short-chain fatty acids in the body [48]. The bacterial species Duncaniella dubosii plays an important role in linking tryptophan supplements with improving gut microbial diversity and balance. In addition, it is known that these bacteria are positively associated with immune modulation and promotes increased survival during brain tumor progression in a mouse model [49]. In addition, this bacterial species is likely associated with the development of autoimmune diseases [50].
Also in our study, an increase in the abundance of bacterial species was obtained: Alkaliflexus sp. Ai-910, Wansuia hejianensis, in the “LPS” group relative to the control.
Akkermansia muciniphila is associated with metabolic pathways and their regulation through the production of acetate and propionate, which have anti-inflammatory properties. These metabolites stimulate mucin synthesis, strengthen the intestinal barrier, and improve insulin sensitivity [51]. A. muciniphila reduces fat and triglyceride absorption, improves thermogenesis in adipose tissue, and reduces liver steatosis. These effects are associated with modulation of gene expression involved in lipogenesis and β-oxidation [52]. Modulation of physiological processes at the intestinal level is based on the ability of A. muciniphila to strengthen tight junctions between epithelial cells by increasing the expression of occludin and claudin proteins, which prevents the translocation of lipopolysaccharides (LPS) and toxins into the bloodstream, reducing systemic inflammation [53]. The formation of immune modulation is associated with the fact that the bacterium interacts with Toll-like receptors (TLR2/TLR4) and stimulates the production of anti-inflammatory cytokines (IL-10), suppressing the activity of proinflammatory ones (TNF-α, IL-6, NF-κB). This is important in autoimmune diseases such as multiple sclerosis and IBD [54,55]. Thus, the increase in Akkermansia muciniphila content with prebiotic supplement 1 may indicate a strengthening of the mucus barrier, a decrease in growth, and maintenance of lipid metabolism.
According to the results of the study, an increase in the number of A. muciniphila and Anaerostipes rhamnosivorans was observed in the intestines of mice receiving prebiotic supplement 1, relative to the LPS group. Anaerostipes rhamnosivorans is a gram-variable, strictly anaerobic bacterium that produces butyrate [56]. As is known, butyrate is a short-chain fatty acid and has anti-inflammatory properties [57]. The predominance of Anaerostipes rhamnosivorans in the context of taking prebiotic preparations ensures long-term nutrition of the intestine, as well as providing anti-inflammatory properties.
Butyricimonas virosa has been associated with intestinal diseases including diverticulitis and terminal ileitis in humans [58]. The sensitivity of the bacterium to bile acids and oxygen exposure during intestinal barrier dysfunction may further explain its altered abundance in human IBD [59]. Competition with other microbial taxa also influences the abundance of this species, B. virosa thriving in environments where it can metabolize dietary fiber to butyrate, a process inhibited by dysbiosis [60]. In our study, prebiotic supplement 1 increased B. virosa abundance compared to the LPS group, consistent with its reported butyrate-producing capacity.
The bacterial species Muribaculum intestinale is involved in carbohydrate metabolism by fermenting complex polysaccharides (e.g., dietary fiber and mucins) to short-chain fatty acids (SCFAs) such as acetate and butyrate, which are critical for maintaining intestinal barrier homeostasis and immune regulation [61]. A link between antibiotic exposure and changes in the levels of this bacterial species in the mouse intestine has been previously shown [62]. The bacterium produces cardiolipin (MiCL-1), which activates TLR2/TLR1-dependent pathways and induces the production of proinflammatory cytokines (TNF-α, IL-6, IL-23). This indicates a role in shaping the immune response, although excess may promote inflammation [63]. In murine inflammatory bowel diseases such as Crohn’s disease, a decrease in M. intestinale is observed in parallel with an increase in proinflammatory taxa (e.g., Bacteroides and Prevotella) [64].
In this study, along with the increase in this bacterial species in the LPS group, compared to prebiotic supplement 1, the abundance of the species Duncaniella dubosii, Ligilactobacillus murinus, Alkaliflexus sp. Ai-910, Phocaeicola vulgatu, Parabacteroides distasonis and Coprococcus sp. ART55/1 also increased.
Phocaeicola vulgatus is a pathogenic anaerobic bacterium in the colon that can cause infections in humans [65], involved in the fermentation of polysaccharides, producing SCFA such as acetate and propionate [66]. P. vulgatus has also been associated with protection against colitis and metabolic disorders; however, overgrowth can promote inflammatory bowel disease in genetically susceptible hosts [67].
Parabacteroides distasonis is a commensal with anti-inflammatory and metabolic regulatory functions of Gram-negative anaerobic bacteria that commonly colonize the gastrointestinal tract of many species. There is no clear opinion regarding the impact of Parabacteroides on human health; members of this genus can have both positive and negative effects [68].
The genus Blautia bacteria plays an important role in metabolism, including the fermentation of carbohydrates to produce short-chain fatty acids such as acetate, which affects host health [69]. In our study, an increase in Blautia sp. NBRC 113351 was observed in the prebiotic supplement 1 group relative to the LPS group.
Decreased levels of Coprococcus bacteria are associated with depression, anxiety disorders, and Parkinson’s disease. This is explained by a decrease in the production of butyrate and the dopamine metabolite DOPAC, which affects the functioning of the central nervous system [70]. According to a study [71], an increased number of Coprococcus sp. ART55/1 was associated with an increased risk of developing primary membranous nephropathy, indicating a possible link between this strain and the development of the disease, but the exact mechanism is unclear.
The bacterial species Longicatena caecimuris belongs to the phylum Firmicutes, which play a key role in carbohydrate fermentation and SCFA production [72]. In a study [73], L. caecimuris was associated with a positive response to immune checkpoint inhibitor (ICI) therapy in patients with metastatic melanoma. In Crohn’s disease and ulcerative colitis, a decrease in the diversity of potentially beneficial species such as L. caecimuris is observed [74]. In mice, L. caecimuris is associated with the regulation of inflammatory processes, although the exact mechanisms require further study [72], while in humans its presence may affect immune homeostasis given the association of other representatives of the Erysipelotrichaceae with autoimmune diseases [75]. The level of this bacterial species in our study was reduced in the group receiving prebiotic supplement 1 relative to the LPS group.
Our study also showed that the number of L. murinus bacteria was significantly reduced in the group where mice received prebiotic supplement 2, which may indicate that these prebiotics are not able to stimulate the growth of L. murinus specifically.
Butyricimonas is a genus of Gram-negative anaerobic bacteria of the Odoribacteraceae family that are present in the intestinal tract of mammals, including mice, rats, and humans [76]. There is evidence that Butyricimonas species participate in commensal homeostasis between the gut microbiota and the host and have beneficial effects on host energy metabolism [77]. For example, Heetae Lee et al. showed that B. virosa supplementation in obese mice normalized body weight, glucose levels, and other parameters [78]. Our results show that prebiotic supplementation increased the relative abundance of B. virosa, consistent with shifts in microbiome composition observed after prebiotic supplementation.
Vescimonas coprocola is a newly identified species belonging to the genus Vescimonas, which was first described in a 2021 study [79]. The role of these bacteria in microbiome function is not yet determined; however, our study showed that prebiotic supplementation increased the abundance of these bacteria compared to the LPS group, which may indicate a potential beneficial effect of V. coprocola.
The anaerobic, Gram-positive, rod-shaped bacterium Flavonifractor plautii (formerly Eubacterium plautii) belongs to the Clostridiales family. This species of bacteria is a common member of the gut microbiome and is also known to be involved in catechin metabolism [80]. A study by Ayane Mikami showed that 10-day oral administration of F. plautii to mice with colitis resulted in reduced intestinal inflammation [81], which is consistent with our findings.
Alkaliflexus sp. Ai-910 bacteria are uncultivated and very little is known about their role in the gut microbiome [82]. Our study showed that the number of Alkaliflexus. sp. Ai-910 decreased in the Prebiotic supplement 2 group, which warrants further investigation into its role in the gut microbiome. There is a possible negative impact of these bacteria on the gut microbiome, although this hypothesis requires additional separate studies. As in the group of mice fed prebiotic 1, an increase in the number of A. rhamnosivorans bacteria was shown in the group of mice fed prebiotic 2 compared to the LPS group, indicating a beneficial effect of the prebiotics used on the gut microbiome.
Dysosmobacter welbionis is a recently identified butyrate-producing commensal bacterium. A study by Tiphaine Le Roy et al. showed that administration of live D. welbionis to mice partially counteracted the development of obesity, increased fat mass, insulin resistance, white adipose tissue hypertrophy, and inflammation. In addition, administration of these bacteria protected mice from brown adipose tissue inflammation [83]. Our results also demonstrate an increase in the relative abundance of bacteria in the Prebiotic supplement 2 group compared to LPS, suggesting a beneficial effect of prebiotic supplementation on the composition of the gut microbiome. The increase in the relative abundance of Dysosmobacter welbionis in our study may be associated with improved glucose metabolism, insulin sensitivity and intestinal integrity.
This study has a methodological limitation. There is no control groups receiving ‘supplement 1 without LPS’ and ‘supplement 2 without LPS’. This prevents us from differentiating the direct anti-inflammatory effect from the indirect effect associated with general microbiome modulation.
5. Conclusions
Fucus vesiculosus and Laminaria digitata-derived prebiotics significantly altered gut microbiome composition and predicted metabolic pathways in LPS-induced mice. These modulations included reduced glycolysis activity characteristic of dysbiosis correction. The findings support the therapeutic potential of algae-based prebiotics for inflammatory gut dysbiosis.
Author Contributions
Conceptualization, A.A.K., M.Y.S. and O.S.K.; methodology, I.Y.B., S.V.P., E.V.O., E.A.C., P.D.M. and D.A.G.; software, Y.D.S., S.V.P. and E.A.C.; validation, I.Y.B., S.V.P., E.A.C., P.D.M. and D.A.G.; formal analysis, S.V.P. and E.A.C.; investigation, I.Y.B., S.V.P., E.A.C. and P.D.M.; resources, A.A.K., E.V.O., M.Y.S. and O.S.K.; data curation, M.Y.S.; writing—original draft preparation, I.Y.B., Y.D.S., S.V.P., E.A.C. and P.D.M.; writing—review and editing, I.Y.B., A.A.K. and M.Y.S.; visualization, S.V.P. and E.A.C.; supervision, A.A.K., M.Y.S. and O.S.K.; project administration, M.Y.S.; funding acquisition, M.Y.S. and O.S.K. All authors have read and agreed to the published version of the manuscript.
Funding
The research work was carried out in the course of implementing the state assignment of the Ministry of Science and Higher Education of the Russian Federation (project FZGW-2024-0003).
Institutional Review Board Statement
The experiments were approved by the Ethics Committee of the Voronezh State University of Engineering Technologies (Protocol No. 7 dated 8 October 2024).
Informed Consent Statement
Not applicable.
Data Availability Statement
Sequencing data are available in the NCBI BioProject database (BioProjectID: PRJNA1292815).
Conflicts of Interest
The authors declare no conflicts of interest.
Abbreviations
The following abbreviations are used in this manuscript:
| LPS | Lipopolysaccharide |
| UDB | Union Database |
| cDNA | Complementary DNA |
| PCR | Polymerase chain reaction |
| dsDNA | Double-Stranded DNA |
| ssDNA | Single-stranded DNA |
| PE | Paired-End |
| FCL | Flow Cell Large |
| FCS | Flow Cell Small |
| MetaPhlAn | Metagenomic Phylogenetic Analysis |
| MaAsLin | Multivariate Analysis by Linear Models |
References
- Shannon, E.; Conlon, M.; Hayes, M. Seaweed Components as Potential Modulators of the Gut Microbiota. Mar. Drugs 2021, 19, 358. [Google Scholar] [CrossRef]
- Barkia, I.; Saari, N.; Manning, S.R. Microalgae for High-Value Products Towards Human Health and Nutrition. Mar. Drugs 2019, 17, 304. [Google Scholar] [CrossRef]
- Fries-Craft, K.; Meyer, M.M.; Bobeck, E.A. Algae-Based Feed Ingredient Protects Intestinal Health during Eimeria Challenge and Alters Systemic Immune Responses with Differential Outcomes Observed during Acute Feed Restriction. Poult. Sci. 2021, 100, 101369. [Google Scholar] [CrossRef]
- Wang, Y.; Tibbetts, S.M.; McGinn, P.J. Microalgae as Sources of High-Quality Protein for Human Food and Protein Supplements. Foods 2021, 10, 3002. [Google Scholar] [CrossRef]
- Pandey, D.; Doncheva, A.I.; Sapkota, R.; Jüterbock, A.O.; Kiron, V.; Dalen, K.T.; Khanal, P. Dietary Inclusions of the Brown Macroalgae, Ascophyllum nodosum and Fucus vesiculosus, Favourably Modulate Fat Deposition and the Caecal Microbiome of Obese Mice. Food Biosci. 2025, 68, 106590. [Google Scholar] [CrossRef]
- Xue, M.; Liang, H.; Ji, X.; Zhou, Z.; Liu, Y.; Sun, T.; Zhang, L. Effects of Fucoidan on Gut Flora and Tumor Prevention in 1,2-Dimethylhydrazine-Induced Colorectal Carcinogenesis. J. Nutr. Biochem. 2020, 82, 108396. [Google Scholar] [CrossRef]
- Yang, Y.; Liang, M.; Ouyang, D.; Tong, H.; Wu, M.; Su, L. Research Progress on the Protective Effect of Brown Algae-Derived Polysaccharides on Metabolic Diseases and Intestinal Barrier Injury. Int. J. Mol. Sci. 2022, 23, 10784. [Google Scholar] [CrossRef] [PubMed]
- Liu, Q.; Li, G.; Zhu, S.; Chen, J.; Jin, M.; Huang, C.; Chai, L.; Si, L.; Yang, R. The Effects of Kelp Powder and Fucoidan on the Intestinal Digestive Capacity, Immune Response, and Bacterial Community Structure Composition of Large Yellow Croakers (Larimichthys crocea). Fish Shellfish. Immunol. 2024, 153, 109810. [Google Scholar] [CrossRef] [PubMed]
- Correa, J.L.; Zapata, J.E.; Hernández-Ledesma, B. Impact of Alcalase Hydrolysis and Simulated Gastrointestinal Digestion on the Release of Bioactive Peptides from Erythrina edulis (Chachafruto) Proteins. Int. J. Mol. Sci. 2024, 25, 9290. [Google Scholar] [CrossRef] [PubMed]
- Pereira, A.; Lisboa, C.; Santos, T.; Costa, J. Bioactive stability of microalgal protein hydrolysates under food processing and storage conditions. J. Food Sci. Technol. 2019, 56, 4543–4551. [Google Scholar] [CrossRef]
- Shaforostova, E.A.; Gureev, A.P.; Volodina, D.E.; Popov, V.N. Neuroprotective effect of mildronate and L-carnitine on the cognitive parameters of aged mice and mice with LPS-induced in-flammation. Metab. Brain Dis. 2022, 37, 2497–2510. [Google Scholar] [CrossRef]
- Gryaznova, M.; Burakova, I.; Smirnova, Y.; Morozova, P.; Chirkin, E.; Gureev, A.; Mikhaylov, E.; Korneeva, O.; Syromyatnikov, M. Effect of Probiotic Bacteria on the Gut Microbiome of Mice with Lipopolysaccharide-Induced Inflammation. Microorganisms 2024, 12, 1341. [Google Scholar] [CrossRef]
- Gryaznova, M.; Smirnova, Y.; Burakova, I.; Morozova, P.; Nesterova, E.; Gladkikh, M.; Mikhaylov, E.; Syromyatnikov, M. Characteristics of the Fecal Microbiome of Piglets with Diarrhea Identified Using Shotgun Metagenomics Sequencing. Animals 2023, 13, 2303. [Google Scholar] [CrossRef]
- Andrews, S. S-Andrews/FastQC. 2025. Available online: https://github.com/s-andrews/FastQC (accessed on 14 July 2025).
- Chen, S.; Zhou, Y.; Chen, Y.; Gu, J. fastp: An ultra-fast all-in-one FASTQ preprocessor. Bioinformatics 2018, 34, i884–i890. [Google Scholar] [CrossRef]
- Langmead, B.; Salzberg, S.L. Fast Gapped-Read Alignment with Bowtie 2. Nat. Methods 2012, 9, 357–359. [Google Scholar] [CrossRef] [PubMed]
- Blanco-Míguez, A.; Beghini, F.; Cumbo, F.; McIver, L.J.; Thompson, K.N.; Zolfo, M.; Manghi, P.; Dubois, L.; Huang, K.D.; Thomas, A.M.; et al. Extending and Improving Metagenomic Taxonomic Profiling with Uncharacterized Species Using MetaPhlAn 4. Nat. Biotechnol. 2023, 41, 1633–1644. [Google Scholar] [CrossRef] [PubMed]
- Beghini, F.; McIver, L.J.; Blanco-Míguez, A.; Dubois, L.; Asnicar, F.; Maharjan, S.; Mailyan, A.; Manghi, P.; Scholz, M.; Thomas, A.M.; et al. Integrating taxonomic, functional, and strain-level profiling of diverse microbial communities with bioBakery 3. eLife 2021, 10, e65088. [Google Scholar] [CrossRef]
- Mallick, H.; Rahnavard, A.; McIver, L.J.; Ma, S.; Zhang, Y.; Nguyen, L.H.; Tickle, T.L.; Weingart, G.; Ren, B.; Schwager, E.H.; et al. Multivariable Association Discovery in Population-Scale Meta-Omics Studies. PLoS Comput. Biol. 2021, 17, e1009442. [Google Scholar] [CrossRef] [PubMed]
- Al-Sahlany, S.; Al-Kaabi, W.; Al-Manhel, A.; Niamah, A.; Altemimi, A.; Al-wafi, H.; Cacciola, F. Effects of β-glucan extracted from Saccharomyces cerevisiae on the quality of bio-yoghurts: In vitro and in vivo evaluation. J. Food Meas. Charact. 2022, 16, 3607–3617. [Google Scholar] [CrossRef]
- Hussein, K.; Niamah, A.; Majeed, K. Immunomodulation capability and cytotoxicity activities of novel exopolysaccharides produced by a new local strain, Bifidobacterium longum subsp. infantis strain Iraq-Basrah 3. J. Appl. Biol. Biotechnol. 2024, 13, 104–111. [Google Scholar] [CrossRef]
- Sandoval-Mosqueda, I.L.; Llorente-Bousquets, A.; Soto, C.; Márquez, C.M.; Fadda, S.; Del Río García, J.C. Ligilactobacillus murinus Strains Isolated from Mice Intestinal Tract: Molecular Characterization and Antagonistic Activity against Food-Borne Pathogens. Microorganisms 2023, 11, 942. [Google Scholar] [CrossRef]
- Chuandong, Z.; Hu, J.; Li, J.; Wu, Y.; Wu, C.; Lai, G.; Shen, H.; Wu, F.; Tao, C.; Liu, S.; et al. Distribution and Roles of Ligilactobacillus murinus in Hosts. Microbiol. Res. 2024, 282, 127648. [Google Scholar] [CrossRef]
- Hu, J.; Deng, F.; Zhao, B.; Lin, Z.; Sun, Q.; Yang, X.; Wu, M.; Qiu, S.; Chen, Y.; Yan, Z.; et al. Lactobacillus murinus Alleviate Intestinal Ischemia/Reperfusion Injury through Promoting the Release of Interleukin-10 from M2 Macrophages via Toll-like Receptor 2 Signaling. Microbiome 2022, 10, 38. [Google Scholar] [CrossRef] [PubMed]
- Mukohda, M.; Yano, T.; Matsui, T.; Nakamura, S.; Miyamae, J.; Toyama, K.; Mitsui, R.; Mizuno, R.; Ozaki, H. Treatment with Ligilactobacillus murinus Lowers Blood Pressure and Intestinal Permeability in Spontaneously Hypertensive Rats. Sci. Rep. 2023, 13, 15197. [Google Scholar] [CrossRef] [PubMed]
- El-Salhy, M. Intestinal Bacteria Associated with Irritable Bowel Syndrome and Chronic Fatigue. Neurogastroenterol. Motil. 2023, 35, e14621. [Google Scholar] [CrossRef]
- Sakamoto, M.; Ikeyama, N.; Ogata, Y.; Suda, W.; Iino, T.; Hattori, M.; Ohkuma, M. Alistipes communis sp. Nov., Alistipes dispar sp. Nov. and Alistipes onderdonkii Subsp. Vulgaris Subsp. Nov., Isolated from Human Faeces, and Creation of Alistipes onderdonkii Subsp. Onderdonkii Subsp. Nov. Int. J. Syst. Evol. Microbiol. 2020, 70, 473–480. [Google Scholar] [CrossRef]
- Mishra, A.K.; Gimenez, G.; Lagier, J.-C.; Robert, C.; Raoult, D.; Fournier, P.-E. Genome Sequence and Description of Alistipes senegalensis Sp. Nov. Stand. Genomic Sci. 2012, 6, 304–314. [Google Scholar] [CrossRef]
- Xu, X.; Wang, Y.; Wu, X.; Cai, T.; Dong, L.; Liang, S.; Zhu, L.; Song, X.; Dong, Y.; Zheng, Y.; et al. Administration of Alistipes Indistinctus Prevented the Progression from Nonalcoholic Fatty Liver Disease to Nonalcoholic Steatohepatitis by Enhancing the Gut Barrier and Increasing Lactobacillus spp. Biochem. Biophys. Res. Commun. 2024, 741, 151033. [Google Scholar] [CrossRef] [PubMed]
- Xu, Y.-X.; Liu, L.-D.; Zhu, J.-Y.; Zhu, S.-S.; Ye, B.-Q.; Yang, J.-L.; Huang, J.-Y.; Huang, Z.-H.; You, Y.; Li, W.-K.; et al. Alistipes indistinctus-Derived Hippuric Acid Promotes Intestinal Urate Excretion to Alleviate Hyperuricemia. Cell Host Microbe 2024, 32, 366–381.e9. [Google Scholar] [CrossRef] [PubMed]
- Semo, D.; Reinecke, H.; Godfrey, R. Gut Microbiome Regulates Inflammation and Insulin Resistance: A Novel Therapeutic Target to Improve Insulin Sensitivity. Signal Transduct. Target. Ther. 2024, 9, 35. [Google Scholar] [CrossRef]
- Zhang, J. Microbial Stars: Shedding Light on Gut Microbes’ Role in Insulin Resistance and Innovative Diabetes Therapies. Gut Microbes 2024, 16, 2307581. [Google Scholar] [CrossRef]
- Chiou, W.-C.; Lai, W.-H.; Cai, Y.-L.; Du, M.-L.; Lai, H.-M.; Chen, J.-C.; Huang, H.-C.; Liu, H.-K.; Huang, C. Gut Microbiota-Directed Intervention with High-Amylose Maize Ameliorates Metabolic Dysfunction in Diet-Induced Obese Mice. Food Funct. 2022, 13, 9481–9495. [Google Scholar] [CrossRef]
- Kang, X.; Ng, S.-K.; Liu, C.; Lin, Y.; Zhou, Y.; Kwong, T.N.Y.; Ni, Y.; Lam, T.Y.T.; Wu, W.K.K.; Wei, H.; et al. Altered Gut Microbiota of Obesity Subjects Promotes Colorectal Carcinogenesis in Mice. EBioMedicine 2023, 93, 104670, Erratum in EBioMedicine 2026, 123, 106069. [Google Scholar] [CrossRef]
- Dziarski, R.; Park, S.Y.; Kashyap, D.R.; Dowd, S.E.; Gupta, D. Pglyrp-Regulated Gut Microflora Prevotella falsenii, Parabacteroides distasonis and Bacteroides eggerthii Enhance and Alistipes finegoldii Attenuates Colitis in Mice. PLoS ONE 2016, 11, e0146162. [Google Scholar] [CrossRef] [PubMed]
- van den Munckhof, I.C.L.; Kurilshikov, A.; Ter Horst, R.; Riksen, N.P.; Joosten, L.A.B.; Zhernakova, A.; Fu, J.; Keating, S.T.; Netea, M.G.; de Graaf, J.; et al. Role of Gut Microbiota in Chronic Low-Grade Inflammation as Potential Driver for Atherosclerotic Cardiovascular Disease: A Systematic Review of Human Studies. Obes. Rev. 2018, 19, 1719–1734. [Google Scholar] [CrossRef]
- Fischer, F.; Romero, R.; Hellhund, A.; Linne, U.; Bertrams, W.; Pinkenburg, O.; Eldin, H.S.; Binder, K.; Jacob, R.; Walker, A.; et al. Dietary Cellulose Induces Anti-Inflammatory Immunity and Transcriptional Programs via Maturation of the Intestinal Microbiota. Gut Microbes 2020, 12, 1829962. [Google Scholar] [CrossRef] [PubMed]
- Modasia, A.; Parker, A.; Jones, E.; Stentz, R.; Brion, A.; Goldson, A.; Defernez, M.; Wileman, T.; Ashley Blackshaw, L.; Carding, S.R. Regulation of Enteroendocrine Cell Networks by the Major Human Gut Symbiont Bacteroides thetaiotaomicron. Front. Microbiol. 2020, 11, 575595. [Google Scholar] [CrossRef]
- Li, H.; Wang, X.-K.; Tang, M.; Lei, L.; Li, J.-R.; Sun, H.; Jiang, J.; Dong, B.; Li, H.-Y.; Jiang, J.-D.; et al. Bacteroides thetaiotaomicron Ameliorates Mouse Hepatic Steatosis through Regulating Gut Microbial Composition, Gut-Liver Folate and Unsaturated Fatty Acids Metabolism. Gut Microbes 2024, 16, 2304159. [Google Scholar] [CrossRef] [PubMed]
- Charlet, R.; Bortolus, C.; Sendid, B.; Jawhara, S. Bacteroides thetaiotaomicron and Lactobacillus johnsonii Modulate Intestinal Inflammation and Eliminate Fungi via Enzymatic Hydrolysis of the Fungal Cell Wall. Sci. Rep. 2020, 10, 11510. [Google Scholar] [CrossRef]
- Liu, H.; Feng, S.; Tang, M.; Tian, R.; Zhang, S. Gut Commensal Bacteroides thetaiotaomicron Promote Atherothrombosis via Regulating L-Tryptophan Metabolism. Rev. Cardiovasc. Med. 2024, 25, 395. [Google Scholar] [CrossRef]
- Wang, C.; Guo, H.; Bai, J.; Yu, L.; Tian, F.; Zhao, J.; Zhang, H.; Chen, W.; Zhai, Q. The Roles of Different Bacteroides uniformis Strains in Alleviating DSS-Induced Ulcerative Colitis and Related Functional Genes. Food Funct. 2024, 15, 3327–3339. [Google Scholar] [CrossRef] [PubMed]
- Yan, Y.; Lei, Y.; Qu, Y.; Fan, Z.; Zhang, T.; Xu, Y.; Du, Q.; Brugger, D.; Chen, Y.; Zhang, K.; et al. Bacteroides uniformis-Induced Perturbations in Colonic Microbiota and Bile Acid Levels Inhibit TH17 Differentiation and Ameliorate Colitis Developments. npj Biofilms Microbiomes 2023, 9, 56. [Google Scholar] [CrossRef]
- Zhu, X.-X.; Zhao, C.-Y.; Meng, X.-Y.; Yu, X.-Y.; Ma, L.-C.; Chen, T.-X.; Chang, C.; Chen, X.-Y.; Zhang, Y.; Hou, B.; et al. Bacteroides uniformis Ameliorates Carbohydrate and Lipid Metabolism Disorders in Diabetic Mice by Regulating Bile Acid Metabolism via the Gut-Liver Axis. Pharmaceuticals 2024, 17, 1015. [Google Scholar] [CrossRef]
- Morita, H.; Kano, C.; Ishii, C.; Kagata, N.; Ishikawa, T.; Hirayama, A.; Uchiyama, Y.; Hara, S.; Nakamura, T.; Fukuda, S. Bacteroides uniformis and Its Preferred Substrate, α-Cyclodextrin, Enhance Endurance Exercise Performance in Mice and Human Males. Sci. Adv. 2023, 9, eadd2120. [Google Scholar] [CrossRef]
- Sharma, V.; Sood, A.; Ray, P.; Angrup, A. Comparative Genomics Reveals the Evolution of Antimicrobial Resistance in Bacteroides nordii. Microb. Pathog. 2022, 173, 105811. [Google Scholar] [CrossRef]
- Ye, Z.; Yu, L.; Zhang, C.; Gao, Y.; Zhao, J.; Narbad, A.; Chen, W.; Zhai, Q.; Tian, F. Modulation of Gut Microbiota and Metabolites by Flammulina velutipes Polysaccharides during in vitro Human Fecal Fermentation: Unveiling Bacteroides as a Potential Primary Degrader. Food Chem. 2024, 450, 139309. [Google Scholar] [CrossRef] [PubMed]
- Cheng, B.; Fu, Y.; Yang, Y.; Cheng, J.; Lu, W.; Zhang, X.; Wu, C. Structural Modulation of Gut Bacterial and Fungal Community of C57BL/6 Mice by Pseudobulbus Cremastrae Seu Pleionesaqueous Extract. Dis. Res. 2024, 5, 65–76. [Google Scholar] [CrossRef]
- Coluzzi, F.; Scerpa, M.S.; Loffredo, C.; Borro, M.; Pergolizzi, J.V.; LeQuang, J.A.; Alessandri, E.; Simmaco, M.; Rocco, M. Opioid Use and Gut Dysbiosis in Cancer Pain Patients. Int. J. Mol. Sci. 2024, 25, 7999. [Google Scholar] [CrossRef] [PubMed]
- Chen, J.; Pan, Q.; Lu, L.; Huang, X.; Wang, S.; Liu, X.; Lun, J.; Xu, X.; Su, H.; Guo, F.; et al. Atg5 Deficiency in Basophils Improves Metabolism in Lupus Mice by Regulating Gut Microbiota Dysbiosis. Cell Commun. Signal. 2025, 23, 40. [Google Scholar] [CrossRef]
- Aja, E.; Zeng, A.; Gray, W.; Connelley, K.; Chaganti, A.; Jacobs, J.P. Health Effects and Therapeutic Potential of the Gut Microbe Akkermansia muciniphila. Nutrients 2025, 17, 562. [Google Scholar] [CrossRef]
- Plovier, H.; Everard, A.; Druart, C.; Depommier, C.; Van Hul, M.; Geurts, L.; Chilloux, J.; Ottman, N.; Duparc, T.; Lichtenstein, L.; et al. A Purified Membrane Protein from Akkermansia muciniphila or the Pasteurized Bacterium Improves Metabolism in Obese and Diabetic Mice. Nat. Med. 2017, 23, 107–113. [Google Scholar] [CrossRef] [PubMed]
- Everard, A.; Belzer, C.; Geurts, L.; Ouwerkerk, J.P.; Druart, C.; Bindels, L.B.; Guiot, Y.; Derrien, M.; Muccioli, G.G.; Delzenne, N.M.; et al. Cross-Talk between Akkermansia muciniphila and Intestinal Epithelium Controls Diet-Induced Obesity. Proc. Natl. Acad. Sci. USA 2013, 110, 9066–9071. [Google Scholar] [CrossRef]
- Liu, Y.; Yang, M.; Tang, L.; Wang, F.; Huang, S.; Liu, S.; Lei, Y.; Wang, S.; Xie, Z.; Wang, W.; et al. TLR4 Regulates RORγt+ Regulatory T-Cell Responses and Susceptibility to Colon Inflammation through Interaction with Akkermansia muciniphila. Microbiome 2022, 10, 98. [Google Scholar] [CrossRef]
- Kim, S.-M.; Park, S.; Hwang, S.-H.; Lee, E.-Y.; Kim, J.-H.; Lee, G.S.; Lee, G.; Chang, D.-H.; Lee, J.-G.; Hwang, J.; et al. Secreted Akkermansia muciniphila Threonyl-tRNA Synthetase Functions to Monitor and Modulate Immune Homeostasis. Cell Host Microbe 2023, 31, 1021–1037.e10. [Google Scholar] [CrossRef]
- Bui, T.P.N.; de Vos, W.M.; Plugge, C.M. Anaerostipes rhamnosivorans sp. Nov., a Human Intestinal, Butyrate-Forming Bacterium. Int. J. Syst. Evol. Microbiol. 2014, 64, 787–793. [Google Scholar] [CrossRef] [PubMed]
- Liu, H.; Wang, J.; He, T.; Becker, S.; Zhang, G.; Li, D.; Ma, X. Butyrate: A Double-Edged Sword for Health? Adv. Nutr. 2018, 9, 21–29. [Google Scholar] [CrossRef]
- Enemchukwu, C.U.; Ben-Faras, H.; Gialanella, P.; Szymczak, W.A.; Nosanchuk, J.D.; Madaline, T.F. Butyricimonas virosa Bacteraemia and Bowel Disease: Case Report and Review. New Microbes New Infect 2016, 13, 34–36. [Google Scholar] [CrossRef]
- Whitehill, G.; Zhuo, R.; Yang, S. Butyricimonas paravirosa Bacteremia Associated with Acute Terminal Ileitis: Case Report and Literature Review. Anaerobe 2024, 90, 102918. [Google Scholar] [CrossRef]
- Snodgrass, J.; Velayudhan, B. Butyrate-Producing Bacteria as a keystone Species of the Gut Microbiome: A systematic Review of Dietary Impact on GUT-Brain and Host Health. Int. J. Mol. Sci. 2026, 27, 1289. [Google Scholar] [CrossRef] [PubMed]
- Zhu, Y.; Chen, B.; Zhang, X.; Akbar, M.T.; Wu, T.; Zhang, Y.; Zhi, L.; Shen, Q. Exploration of the Muribaculaceae Family in the Gut Microbiota: Diversity, Metabolism, and Function. Nutrients 2024, 16, 2660. [Google Scholar] [CrossRef]
- Quinn, L.; Sheh, A.; Ellis, J.L.; Smith, D.E.; Booth, S.L.; Fu, X.; Muthupalani, S.; Ge, Z.; Puglisi, D.A.; Wang, T.C.; et al. Helicobacter pylori Antibiotic Eradication Coupled with a Chemically Defined Diet in INS-GAS Mice Triggers Dysbiosis and Vitamin K Deficiency Resulting in Gastric Hemorrhage. Gut Microbes 2020, 11, 820–841. [Google Scholar] [CrossRef]
- Bang, S.; Shin, Y.-H.; Ma, X.; Park, S.-M.; Graham, D.B.; Xavier, R.J.; Clardy, J. A Cardiolipin from Muribaculum intestinale Induces Antigen-Specific Cytokine Responses. J. Am. Chem. Soc. 2023, 145, 23422–23426. [Google Scholar] [CrossRef]
- Dobranowski, P.A.; Tang, C.; Sauvé, J.P.; Menzies, S.C.; Sly, L.M. Compositional Changes to the Ileal Microbiome Precede the Onset of Spontaneous Ileitis in SHIP Deficient Mice. Gut Microbes 2019, 10, 578–598. [Google Scholar] [CrossRef]
- Vu, H.; Muto, Y.; Hayashi, M.; Noguchi, H.; Tanaka, K.; Yamamoto, Y. Complete Genome Sequences of Three Phocaeicola vulgatus Strains Isolated from a Healthy Japanese Individual. Microbiol. Resour. Announc. 2022, 11, e0112421. [Google Scholar] [CrossRef]
- Gorkiewicz, G.; Moschen, A. Gut Microbiome: A New Player in Gastrointestinal Disease. Virchows Arch. 2018, 472, 159–172. [Google Scholar] [CrossRef] [PubMed]
- D’Argenio, V.; Salvatore, F. The Role of the Gut Microbiome in the Healthy Adult Status. Clin. Chim. Acta 2015, 451, 97–102. [Google Scholar] [CrossRef]
- Ezeji, J.C.; Sarikonda, D.K.; Hopperton, A.; Erkkila, H.L.; Cohen, D.E.; Martinez, S.P.; Cominelli, F.; Kuwahara, T.; Dichosa, A.E.K.; Good, C.E.; et al. Parabacteroides distasonis: Intriguing Aerotolerant Gut Anaerobe with Emerging Antimicrobial Resistance and Pathogenic and Probiotic Roles in Human Health. Gut Microbes 2021, 13, 1922241. [Google Scholar] [CrossRef]
- Luu, T.H.; Michel, C.; Bard, J.-M.; Dravet, F.; Nazih, H.; Bobin-Dubigeon, C. Intestinal Proportion of Blautia sp. Is Associated with Clinical Stage and Histoprognostic Grade in Patients with Early-Stage Breast Cancer. Nutr. Cancer 2017, 69, 267–275. [Google Scholar] [CrossRef] [PubMed]
- Notting, F.; Pirovano, W.; Sybesma, W.; Kort, R. The Butyrate-Producing and Spore-Forming Bacterial Genus Coprococcus as a Potential Biomarker for Neurological Disorders. Gut Microbiome 2023, 4, e16. [Google Scholar] [CrossRef] [PubMed]
- Qing, J.; Li, Y.; Soliman, K.M.; Cheungpasitporn, W. A Practical Guide for Nephrologist Peer Reviewers: Understanding and Appraising Mendelian Randomization Studies. Ren. Fail. 2025, 47, 2445763. [Google Scholar] [CrossRef]
- Lagkouvardos, I.; Pukall, R.; Abt, B.; Foesel, B.U.; Meier-Kolthoff, J.P.; Kumar, N.; Bresciani, A.; Martínez, I.; Just, S.; Ziegler, C.; et al. The Mouse Intestinal Bacterial Collection (miBC) Provides Host-Specific Insight into Cultured Diversity and Functional Potential of the Gut Microbiota. Nat. Microbiol. 2016, 1, 16131, Erratum in Nat. Microbiol. 2016, 1, 16219. [Google Scholar] [CrossRef]
- Dravillas, C.; Williams, N.; Husain, M.; Hoyd, R.; Hussein, A.; Meara, A.; Lynn, M.; Bibi, A.; Conrad, B.; Lepola, N.; et al. The Association of the Microbiome with Melanoma Tumor Response to Immune Checkpoint Inhibitor Treatment and Immune-Related Adverse Events (NCT05102773). medRxiv 2025. [Google Scholar] [CrossRef]
- Dahal, R.H.; Kim, S.; Kim, Y.K.; Kim, E.S.; Kim, J. Insight into Gut Dysbiosis of Patients with Inflammatory Bowel Disease and Ischemic Colitis. Front. Microbiol. 2023, 14, 1174832. [Google Scholar] [CrossRef]
- Ghimire, S.; Wongkuna, S.; Scaria, J. Description of a New Member of the Family Erysipelotrichaceae: Dakotella fusiforme Gen. Nov., sp. Nov., Isolated from Healthy Human Feces. PeerJ 2020, 8, e10071. [Google Scholar] [CrossRef] [PubMed]
- Sakamoto, M.; Tanaka, Y.; Benno, Y.; Ohkuma, M. Butyricimonas faecihominis sp. Nov. and Butyricimonas paravirosa sp. Nov., Isolated from Human Faeces, and Emended Description of the Genus Butyricimonas. Int. J. Syst. Evol. Microbiol. 2014, 64, 2992–2997. [Google Scholar] [CrossRef]
- Okubo, H.; Nakatsu, Y.; Kushiyama, A.; Yamamotoya, T.; Matsunaga, Y.; Inoue, M.-K.; Fujishiro, M.; Sakoda, H.; Ohno, H.; Yoneda, M.; et al. Gut Microbiota as a Therapeutic Target for Metabolic Disorders. Curr. Med. Chem. 2018, 25, 984–1001. [Google Scholar] [CrossRef]
- Lee, H.; An, J.; Kim, J.; Choi, D.; Song, Y.; Lee, C.-K.; Kong, H.; Kim, S.B.; Kim, K. A Novel Bacterium, Butyricimonas virosa, Preventing HFD-Induced Diabetes and Metabolic Disorders in Mice via GLP-1 Receptor. Front. Microbiol. 2022, 13, 858192. [Google Scholar] [CrossRef]
- Kitahara, M.; Shigeno, Y.; Shime, M.; Matsumoto, Y.; Nakamura, S.; Motooka, D.; Fukuoka, S.; Nishikawa, H.; Benno, Y. Vescimonas Gen. Nov., Vescimonas coprocola sp. Nov., Vescimonas fastidiosa sp. Nov., Pusillimonas Gen. Nov. and Pusillimonas faecalis sp. Nov. Isolated from Human Faeces. Int. J. Syst. Evol. Microbiol. 2021, 71, 005066, Erratum in Int. J. Syst. Evol. Microbiol. 2022, 72. [Google Scholar] [CrossRef] [PubMed]
- Berger, F.K.; Schwab, N.; Glanemann, M.; Bohle, R.M.; Gärtner, B.; Groesdonk, H.V. Flavonifractor (Eubacterium) plautii Bloodstream Infection Following Acute Cholecystitis. IDCases 2018, 14, e00461. [Google Scholar] [CrossRef] [PubMed]
- Mikami, A.; Ogita, T.; Namai, F.; Shigemori, S.; Sato, T.; Shimosato, T. Oral Administration of Flavonifractor plautii, a Bacteria Increased With Green Tea Consumption, Promotes Recovery From Acute Colitis in Mice via Suppression of IL-17. Front. Nutr. 2020, 7, 610946. [Google Scholar] [CrossRef] [PubMed]
- Romero-Yahuitl, V.; Zarco-González, K.E.; Toriz-Nava, A.L.; Hernández, M.; Velázquez-Fernández, J.B.; Navarro-Noya, Y.E.; Luna-Guido, M.; Dendooven, L. The Archaeal and Bacterial Community Structure in Composted Cow Manures Is Defined by the Original Populations: A Shotgun Metagenomic Approach. Front. Microbiol. 2024, 15, 1425548. [Google Scholar] [CrossRef] [PubMed]
- Le Roy, T.; Moens de Hase, E.; Van Hul, M.; Paquot, A.; Pelicaen, R.; Régnier, M.; Depommier, C.; Druart, C.; Everard, A.; Maiter, D.; et al. Dysosmobacter welbionis Is a Newly Isolated Human Commensal Bacterium Preventing Diet-Induced Obesity and Metabolic Disorders in Mice. Gut 2022, 71, 534–543. [Google Scholar] [CrossRef] [PubMed]
Disclaimer/Publisher’s Note: The statements, opinions and data contained in all publications are solely those of the individual author(s) and contributor(s) and not of MDPI and/or the editor(s). MDPI and/or the editor(s) disclaim responsibility for any injury to people or property resulting from any ideas, methods, instructions or products referred to in the content. |
© 2026 by the authors. Licensee MDPI, Basel, Switzerland. This article is an open access article distributed under the terms and conditions of the Creative Commons Attribution (CC BY) license.









