Macrolide-Resistant Bordetella pertussis in Hong Kong: Evidence for Post-COVID-19 Emergence of ptxP3-Lineage MT28 Clone from a Hospital-Based Surveillance Study
Abstract
1. Introduction
2. Materials and Methods
2.1. Strain Recovery and Identification
2.2. Antimicrobial Susceptibility Testing
2.3. Detection of A2047G Mutation
2.4. Whole Genome Sequencing
2.5. Multi-Locus Sequence Typing (MLST) and Virulence Gene Analysis
2.6. Multi-Locus Variable Number of Tandem Repeat Analysis (MLVA) Typing
2.7. Retrieval of Clinical Data
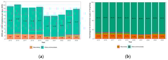
2.8. Consumption of Macrolides
2.9. Statistical Analysis
3. Results
4. Discussion
4.1. Future Directions
4.2. Call to Action
4.3. Limitations
5. Conclusions
Author Contributions
Funding
Institutional Review Board Statement
Informed Consent Statement
Data Availability Statement
Acknowledgments
Conflicts of Interest
Abbreviations
| MRBP | Macrolide-resistant Bordetella pertussis |
| MIC | Minimum inhibitory concentration |
| MLST | Multi-locus antigen sequence typing |
| MLVA | Multi-locus variable number of tandem repeat analysis |
| dTap | Diphtheria (reduced dose), tetanus & acellular pertussis (reduced dose) |
| COVID-19 | Coronavirus disease-2019 |
| WHO | World Health Organization |
| PEP | Post-exposure prophylaxis |
| DDD | Defined daily dose |
| MSBP | Macrolide-sensitive B. pertussis |
| EUCAST | European Committee on Antimicrobial Susceptibility Testing |
| CLSI | Clinical and Laboratory Standards Institute |
| PCR | Polymerase chain reaction |
Appendix A
| Isolate | Case/ Contact | Sex | Age | Year | Travel History to Mainland China * | A2047G Mutation | Minimum Inhibitory Concentration (μg/mL) | |||||||
|---|---|---|---|---|---|---|---|---|---|---|---|---|---|---|
| ERY | AZT | CLR | SXT | DOX | LEV | TZP | MEM | |||||||
| 1 | Case | F | 4 m | 2015 | Y | D | ≥256 | ≥256 | ≥256 | 0.38 | 2 | 0.25 | <0.016 | 0.094 |
| 2 | Case | F | 4 m | 2015 | Y | ND | 0.064 | 0.094 | 0.75 | 0.5 | 2 | 0.25 | <0.016 | 0.125 |
| 3 | Case | M | 2 m | 2015 | N | ND | 0.094 | 0.094 | 0.5 | 1 | 3 | 0.25 | <0.016 | 0.094 |
| 4 | Case | M | 1 m | 2016 | N | ND | 0.19 | 0.094 | 0.38 | 0.38 | 3 | 0.38 | <0.016 | 0.094 |
| 5 | Case | M | 1 m | 2016 | N | ND | 0.047 | 0.094 | 0.38 | 0.38 | 2 | 0.25 | <0.016 | 0.064 |
| 6 | Case | M | 1 m | 2017 | N | ND | 0.047 | 0.125 | 0.75 | 0.38 | 2 | 0.25 | <0.016 | 0.094 |
| 7 | Case | F | 2 m | 2018 | N | D | ≥256 | ≥256 | ≥256 | 0.5 | 2 | 0.25 | <0.016 | 0.125 |
| 8 | Contact | M | 32 y | 2018 | N | D | ≥256 | ≥256 | ≥256 | 0.032 | 1 | 0.25 | <0.016 | 0.032 |
| 9 | Contact | M | 53 y | 2018 | N | D | ≥256 | ≥256 | ≥256 | 0.064 | 2 | 0.25 | <0.016 | 0.094 |
| 10 | Contact | M | 14 y | 2018 | N | D | ≥256 | ≥256 | ≥256 | 0.38 | 2 | 0.25 | <0.016 | 0.094 |
| 11 | Case | F | 1 m | 2018 | N | ND | 0.094 | 0.094 | 0.75 | 0.75 | 2 | 0.25 | <0.016 | 0.064 |
| 12 | Case | F | 3 m | 2018 | N | ND | 0.19 | 0.094 | 0.75 | 0.5 | 2 | 0.25 | <0.016 | 0.064 |
| 13 | Case | M | 1 m | 2018 | N | ND | 0.125 | 0.094 | 0.5 | 0.094 | 2 | 0.25 | <0.016 | 0.125 |
| 14 | Case | F | 1 m | 2018 | N | ND | 0.064 | 0.064 | 0.75 | 0.5 | 2 | 0.38 | <0.016 | 0.047 |
| 15 | Case | M | 1 m | 2018 | N | ND | 0.19 | 0.064 | 0.75 | 0.25 | 2 | 0.25 | <0.016 | 0.008 |
| 16 | Case | M | 1 m | 2018 | Y | ND | 0.125 | 0.094 | 0.75 | 1.5 | 2 | 0.25 | <0.016 | 0.064 |
| 17 | Case | F | 3 m | 2018 | N | ND | 0.094 | 0.047 | 0.75 | 0.047 | 2 | 0.38 | <0.016 | 0.047 |
| 18 | Case | M | 35 y | 2018 | N | ND | 0.125 | 0.094 | 2 | 1 | 1.5 | 0.25 | <0.016 | 0.094 |
| 19 | Case | F | 2 m | 2019 | N | ND | 0.125 | 0.125 | 1.5 | 0.75 | 3 | 0.19 | <0.016 | 0.125 |
| 20 | Case | F | 5 m | 2019 | N | ND | 0.064 | 0.032 | 0.5 | 0.5 | 2 | 0.25 | <0.016 | 0.094 |
| 21 | Contact | F | 58 y | 2019 | N | ND | 0.094 | 0.032 | 0.5 | 0.38 | 3 | 0.38 | <0.016 | 0.094 |
| 22 | Case | F | 2 m | 2019 | N | ND | 0.094 | 0.032 | 0.5 | 0.25 | 2 | 0.38 | <0.016 | 0.094 |
| 23 | Case | F | 6 m | 2019 | N | ND | 0.064 | 0.047 | 0.75 | 0.047 | 1 | 0.19 | <0.016 | 0.064 |
| 24 | Case | M | 42 y | 2019 | N | ND | 0.094 | 0.064 | 0.75 | 1 | 4 | 0.25 | <0.016 | 0.094 |
| 25 | Case | M | 3 m | 2023 | Y | D | ≥256 | ≥256 | ≥256 | 0.5 | 3 | 0.25 | <0.016 | 0.064 |
| 26 | Case | M | 3 m | 2024 | Y | D | ≥256 | ≥256 | ≥256 | 1 | 3 | 0.25 | <0.016 | 0.094 |
| 27 | Case | M | 2 m | 2024 | N | D | ≥256 | ≥256 | ≥256 | 0.5 | 3 | 0.25 | <0.016 | 0.094 |
| 28 | Case | M | 9 y | 2024 | Y | D | ≥256 | ≥256 | ≥256 | 0.5 | 2 | 0.25 | <0.016 | 0.094 |
| 29 | Case | M | 4 m | 2024 | N | D | ≥256 | ≥256 | ≥256 | 1.5 | 2 | 0.38 | <0.016 | 0.094 |
| Characteristics | All Cases (n = 29) | ptxP1 (n = 5) | ptxP3 (n = 24) | p-Value | Odds Ratio a | |
|---|---|---|---|---|---|---|
| Estimate | 95% CI | |||||
| Clinical symptoms—n (%) | ||||||
| Paroxysmal cough | 3 (10.3%) | 1 (20%) | 2 (8.3%) | NS | NA | NA |
| Fever | 2 (6.90%) | 1 (20%) | 1 (4.2%) | NS | NA | NA |
| Cyanosis | 9 (31.0%) | 2 (40%) | 7 (29.2%) | NS | NA | NA |
| Wheezing | 4 (13.8%) | 1 (20%) | 3 (12.5%) | NS | NA | NA |
| Pneumonia | 5 (17.2%) | 0 (0%) | 5 (20.8%) | NS | NA | NA |
| Respiratory failure | 4 (13.8%) | 0 (0%) | 4 (16.7%) | NS | NA | NA |
| Laboratory findings—median (IQR) | ||||||
| White blood cell (×109/L) b | 15.15 (10.70–23.70) | 27.6 (16.40–38.80) | 13.75 (10.70–23.65) | NS | NA | NA |
| Lymphocyte (×109/L) b | 10.40 (6.40–18.10) | 19.6 (10.10–29.10) | 10.40 (6.40–13.70) | NS | NA | NA |
| C reactive protein (mg/L) b | 0.60 (0.25–1.00 | 0.91 (0.25–1.56) | 0.60 (0.20–1.00) | NS | NA | NA |
| Clinical outcome—n (%) | ||||||
| Survival | 29 (100%) | 5 (100%) | 24 (100%) | NA | NA | NA |
| Hospitalization | 22 (75.9%) | 2 (40%) | 21 (87.5%) | <0.05 | 0.10 | (0.01, 0.83) |
| Length of hospital stay, median (interquartile range, days) | 4.00 (3.00–6.00) | 0.00 (0.00–6.00) | 4.00 (3.00–5.50) | NS | NA | NA |
| Required oxygen therapy | 4 (13.8%) | 0 (0.0%) | 4 (16.7%) | NS | NA | NA |
| Required mechanical ventilation | 2 (6.90%) | 0 (0.0%) | 2 (8.3%) | NS | NA | NA |
| Required nasogastric feeding | 3 (10.3%) | 1 (20%) | 2 (8.3%) | NS | NA | NA |
| Antibiotic therapy c—n (%) | ||||||
| Macrolide | 28 (96.6%) | 4 (80%) | 24 (100%) | NS | NA | NA |
| Trimethoprim-sulfamethoxazole b | 1 (3.45%) | 0 (0.0%) | 1 (4.2%) | NS | NA | NA |
| Prior antibiotic usage—n (%) | ||||||
| Third-generation cephalosporin | 1 (3.45%) | 0 (0.0%) | 1 (4.2%) | NS | NA | NA |
| Macrolide | 0 (0.0%) | 0 (0.0%) | 0 (0.0%) | NA | NA | NA |
References
- Ho, F.W. Resurgence of Pertussis: A Global and Local Update; Centre for Health Protection (CHP), Department of Health: Hong Kong, 2025. Available online: https://www.chp.gov.hk/files/pdf/cdw_v21_6.pdf (accessed on 13 August 2025).
- Gordon, J.E.; Hood, R.I. Whooping cough and its epidemiological anomalies. Am. J. Med. Sci. 1951, 222, 333–361. [Google Scholar] [CrossRef] [PubMed]
- Domenech de Cellès, M.; Rohani, P. Pertussis vaccines, epidemiology and evolution. Nat. Rev. Microbiol. 2024, 22, 722–735. [Google Scholar] [CrossRef]
- Yeung, K.H.T.; Duclos, P.; Nelson, E.A.S.; Hutubessy, R.C.W. An update of the global burden of pertussis in children younger than 5 years: A modelling study. Lancet Infect. Dis. 2017, 17, 974–980. [Google Scholar] [CrossRef]
- Centre for Health Protection of the Department of Health of the Hong Kong Special Administrative Region. Consensus Recommendations on Pertussis Vaccination for Pregnant Women in Hong Kong. Available online: https://www.chp.gov.hk/files/pdf/recommendations_on_pertussis_vaccination_for_pregnant_women_in_hk_formatted.pdf (accessed on 11 August 2025).
- Centre for Health Protection of the Department of Health of the Hong Kong Special Administrative Region. Recommendations on Updated Childhood Immunisation Programme Containing Inactivated Poliovirus and Acellular Pertussis Vaccines. Available online: https://www.chp.gov.hk/files/pdf/sas6_recommendation_on_updated_childhood_immunisation_programme_(dec2006).pdf (accessed on 14 August 2025).
- National Health Commission of the People’s Republic of China. Childhood Immunization Schedule for National Immunization Program Vaccines—China (Version 2021). China CDC Wkly. 2021, 3, 1101–1108. [Google Scholar] [CrossRef]
- Cai, J.; Chen, M.; Liu, Q.; Luo, J.; Yuan, L.; Chen, Y.; Chen, M.; Zeng, M. Domination of an emerging erythromycin-resistant ptxP3 Bordetella pertussis clone in Shanghai, China. Int. J. Antimicrob. Agents 2023, 62, 106835. [Google Scholar] [CrossRef]
- Jiang, F.; Ye, X.; Wang, Y.; Tang, N.; Feng, J.; Gao, Y.; Bao, M. Factors associated with pregnant women’s willingness to receive maternal pertussis vaccination in Guizhou Province, China: An exploratory cross-sectional study. Hum. Vaccines Immunother. 2024, 20, 2331870. [Google Scholar] [CrossRef]
- Guo, M.; Hu, Y.; Meng, Q.; Shi, W.; Yao, K. Resurgence and atypical patterns of pertussis in China. J. Infect. 2024, 88, 106140. [Google Scholar] [CrossRef]
- Centers for Disease Control and Prevention; Center for Surveillance, Epidemiology and Laboratory Services; National Notifiable Diseases Surveillance System. Pertussis (Week 49): Weekly Cases of Notifiable Diseases, United States, U.S. Territories, and Non-U.S. Residents Week Ending December 7, 2024. Available online: https://stacks.cdc.gov/view/cdc/174748 (accessed on 8 April 2025).
- UK Health Security Agency. Confirmed Cases of Whooping Cough in England by Month. Available online: https://www.gov.uk/government/publications/pertussis-epidemiology-in-england-2024/confirmed-cases-of-pertussis-in-england-by-month (accessed on 26 November 2024).
- World Health Organization. Pertussis Reported Cases and Incidence. Available online: https://immunizationdata.who.int/global/wiise-detail-page/pertussis-reported-cases-and-incidence?CODE=Global&YEAR= (accessed on 13 August 2025).
- Fu, P.; Wang, C.; Tian, H.; Kang, Z.; Zeng, M. Bordetella pertussis Infection in Infants and Young Children in Shanghai, China, 2016–2017: Clinical Features, Genotype Variations of Antigenic Genes and Macrolides Resistance. Pediatr. Infect. Dis. J. 2019, 38, 370–376. [Google Scholar] [CrossRef]
- Fu, P.; Yan, G.; Li, Y.; Xie, L.; Ke, Y.; Qiu, S.; Wu, S.; Shi, X.; Qin, J.; Zhou, J.; et al. Pertussis upsurge, age shift and vaccine escape post-COVID-19 caused by ptxP3 macrolide-resistant Bordetella pertussis MT28 clone in China. Clin. Microbiol. Infect. 2024, 30, 1439–1446. [Google Scholar] [CrossRef]
- Fu, P.; Zhou, J.; Yang, C.; Nijiati, Y.; Zhou, L.; Yan, G.; Lu, G.; Zhai, X.; Wang, C. Molecular Evolution and Increasing Macrolide Resistance of Bordetella pertussis, Shanghai, China, 2016–2022. Emerg. Infect. Dis. 2023, 30, 29–38. [Google Scholar] [CrossRef]
- Bartkus, J.M.; Juni, B.A.; Ehresmann, K.; Miller, C.A.; Sanden, G.N.; Cassiday, P.K.; Saubolle, M.; Lee, B.; Long, J.; Harrison, A.R.; et al. Identification of a Mutation Associated with Erythromycin Resistance in Bordetella pertussis: Implications for Surveillance of Antimicrobial Resistance. J. Clin. Microbiol. 2003, 41, 1167–1172. [Google Scholar] [CrossRef]
- Ivaska, L.; Barkoff, A.M.; Mertsola, J.; He, Q. Macrolide Resistance in Bordetella pertussis: Current Situation and Future Challenges. Antibiotics 2022, 11, 1570. [Google Scholar] [CrossRef]
- Rodrigues, C.; Bouchez, V.; Soares, A.; Trombert-Paolantoni, S.; Aït El Belghiti, F.; Cohen, J.F.; Armatys, N.; Landier, A.; Blanchot, T.; Hervo, M.; et al. Resurgence of Bordetella pertussis, including one macrolide-resistant isolate, France, 2024. Eurosurveillance 2024, 29, 2400459. [Google Scholar] [CrossRef]
- Zhang, Q.; Li, M.; Wang, L.; Xin, T.; He, Q. High-resolution melting analysis for the detection of two erythromycin-resistant Bordetella pertussis strains carried by healthy schoolchildren in China. Clin. Microbiol. Infect. 2013, 19, E260–E262. [Google Scholar] [CrossRef]
- Yang, Y.; Yao, K.; Ma, X.; Shi, W.; Yuan, L.; Yang, Y. Variation in Bordetella pertussis Susceptibility to Erythromycin and Virulence-Related Genotype Changes in China (1970–2014). PLoS ONE 2015, 10, e0138941. [Google Scholar] [CrossRef] [PubMed]
- Mooi, F.R.; van Loo, I.H.; van Gent, M.; He, Q.; Bart, M.J.; Heuvelman, K.J.; de Greeff, S.C.; Diavatopoulos, D.; Teunis, P.; Nagelkerke, N.; et al. Bordetella pertussis strains with increased toxin production associated with pertussis resurgence. Emerg. Infect. Dis. 2009, 15, 1206–1213. [Google Scholar] [CrossRef] [PubMed]
- Li, L.; Deng, J.; Ma, X.; Zhou, K.; Meng, Q.; Yuan, L.; Shi, W.; Wang, Q.; Li, Y.; Yao, K. High Prevalence of Macrolide-Resistant Bordetella pertussis and ptxP1 Genotype, Mainland China, 2014–2016. Emerg. Infect. Dis. 2019, 25, 2205–2214. [Google Scholar] [CrossRef] [PubMed]
- Zhou, G.; Li, Y.; Wang, H.; Wang, Y.; Gao, Y.; Xu, J.; Wang, F.; Peng, T.; Zhang, M.; Shao, Z. Emergence of Erythromycin-Resistant and Pertactin- and Filamentous Hemagglutinin-Deficient Bordetella pertussis Strains—Beijing, China, 2022–2023. China CDC Wkly. 2024, 6, 437–441. [Google Scholar] [CrossRef]
- Wu, X.; Du, Q.; Li, D.; Yuan, L.; Meng, Q.; Fu, Z.; Xu, H.; Yao, K.; Zhao, R. A Cross-Sectional Study Revealing the Emergence of Erythromycin-Resistant Bordetella pertussis Carrying ptxP3 Alleles in China. Front. Microbiol. 2022, 13, 901617. [Google Scholar] [CrossRef]
- Centre for Health Protection of the Department of Health of the Hong Kong Special Administrative Region. Update on the Regional and Local Situations of Pertussis. Available online: https://www.chp.gov.hk/files/pdf/cdw_v20_5.pdf (accessed on 10 April 2025).
- Hospital Authority. HA Central Committee on Infectious Disaes and Emergency Respsonse. Fact Sheet on Perrtussis (Whooping cough). Internal Document. 2019. Available online: https://ha.home/ho/ps/FactSheetonPertussis.pdf (accessed on 16 August 2025).
- Tiwari, T.; Murphy, T.V.; Moran, J. Recommended Antimicrobial Agents for the Treatment and Postexposure Prophylaxis of Pertussis: 2005 CDC Guidelines. Available online: https://www.cdc.gov/mmwr/preview/mmwrhtml/rr5414a1.htm (accessed on 19 March 2025).
- Communicable Diseases Network Australia. Pertussis CDNA National Guidelines for Public Health Units. Available online: https://www.health.gov.au/sites/default/files/2024-10/pertussis-whooping-cough-cdna-national-guidelines-for-public-health-units.pdf (accessed on 18 April 2025).
- UK Health Security Agency. Guidance on the Management of Cases of Pertussis in England During the Re-Emergence of Pertussis in 2024 Update: August 2024. Available online: https://assets.publishing.service.gov.uk/media/66c4a642808b8c0aa08fa7e7/UKHSA-guidance-on-the-management-of-cases-of-pertussis-during-high-activity-august-2024.pdf (accessed on 10 April 2025).
- Treatment of Pertussis. U.S. Centerse for Disease Control and Prevention. Available online: https://www.cdc.gov/pertussis/hcp/clinical-care/index.html (accessed on 11 August 2025).
- European Centre for Disease Prevention and Control. Laboratory Diagnosis and Molecular Surveillance of Bordetella pertussis. Available online: https://www.ecdc.europa.eu/sites/default/files/documents/bordetella-pertussis-laboratory-diagnosis-molecular-surveillance.pdf (accessed on 10 April 2025).
- Hill Bertha, C.; Baker Carolyn, N.; Tenover Fred, C. A Simplified Method for Testing Bordetella pertussis for Resistance to Erythromycin and Other Antimicrobial Agents. J. Clin. Microbiol. 2000, 38, 1151–1155. [Google Scholar] [CrossRef]
- Seven Treatments for Bacterial Sample Materials with MagNA Pure Bacteria Lysis Buffer. Available online: https://lifescience.roche.com/global/en/article-listing/article/seven-treatments-for-bacterial-sample-materials-with-magna-pure-.html (accessed on 10 April 2025).
- Wang, Z.; Cui, Z.; Li, Y.; Hou, T.; Liu, X.; Xi, Y.; Liu, Y.; Li, H.; He, Q. High prevalence of erythromycin-resistant Bordetella pertussis in Xi’an, China. Clin. Microbiol. Infect. 2014, 20, O825–O830. [Google Scholar] [CrossRef]
- Tse, H.; Tsang, A.K.L.; Chu, Y.-W.; Tsang, D.N.C. Draft Genome Sequences of 19 Clinical Isolates of Candida auris from Hong Kong. Microbiol. Resour. Announc. 2021, 10. [Google Scholar] [CrossRef]
- Bolger, A.M.; Lohse, M.; Usadel, B. Trimmomatic: A flexible trimmer for Illumina sequence data. Bioinformatics 2014, 30, 2114–2120. [Google Scholar] [CrossRef]
- Bankevich, A.; Nurk, S.; Antipov, D.; Gurevich, A.A.; Dvorkin, M.; Kulikov, A.S.; Lesin, V.M.; Nikolenko, S.I.; Pham, S.; Prjibelski, A.D.; et al. SPAdes: A new genome assembly algorithm and its applications to single-cell sequencing. J. Comput. Biol. 2012, 19, 455–477. [Google Scholar] [CrossRef]
- Kolmogorov, M.; Raney, B.; Paten, B.; Pham, S. Ragout-a reference-assisted assembly tool for bacterial genomes. Bioinformatics 2014, 30, i302–i309. [Google Scholar] [CrossRef]
- Schouls, L.M.; van der Heide, H.G.; Vauterin, L.; Vauterin, P.; Mooi, F.R. Multiple-locus variable-number tandem repeat analysis of Dutch Bordetella pertussis strains reveals rapid genetic changes with clonal expansion during the late 1990s. J. Bacteriol. 2004, 186, 5496–5505. [Google Scholar] [CrossRef] [PubMed]
- WHO Director-General’s Opening Remarks at the Media Briefing. 2023. Available online: https://www.who.int/director-general/speeches/detail/who-director-general-s-opening-remarks-at-the-media-briefing---5-may-2023 (accessed on 14 August 2025).
- Guo, L.; Zhang, W.; Su, X.; Huang, H.; Liu, Y. Analysis on drug resistance of Bordetella pertussis isolated in Tianjin. Dis. Surveill. 2018, 33, 585–589. [Google Scholar] [CrossRef]
- Zhang, J.S.; Wang, H.M.; Yao, K.H.; Liu, Y.; Lei, Y.L.; Deng, J.K.; Yang, Y.H. Clinical characteristics, molecular epidemiology and antimicrobial susceptibility of pertussis among children in southern China. World J. Pediatr. 2020, 16, 185–192. [Google Scholar] [CrossRef] [PubMed]
- Lin, X.; Zou, J.; Yao, K.; Li, L.; Zhong, L. Analysis of antibiotic sensitivity and resistance genes of Bordetella pertussis in Chinese children. Medicine 2021, 100, e24090. [Google Scholar] [CrossRef]
- Zhang, J.; Zhang, D.; Wang, X.; Wei, X.; Li, H. Macrolide susceptibility and molecular characteristics of Bordetella pertussis. J. Int. Med. Res. 2022, 50, 3000605221078782. [Google Scholar] [CrossRef]
- Li, J.; Liu, L.; Zhang, H.; Guo, J.; Wei, X.; Xue, M.; Ma, X. Severe problem of macrolides resistance to common pathogens in China. Front. Cell. Infect. Microbiol. 2023, 13, 1181633. [Google Scholar] [CrossRef] [PubMed]
- Ma, E.S.; Hsu, E.; Chow, V.; Chow, T.; Kung, K.H.; Au, A.; Chen, H. Rebound of Antibiotic Use and Respiratory Infections After Resumption of Normalcy From COVID-19 in Hong Kong. Infect. Drug Resist. 2025, 18, 1325–1337. [Google Scholar] [CrossRef] [PubMed]
- Mi, Y.M.; Hua, C.Z.; Fang, C.; Liu, J.J.; Xie, Y.P.; Lin, L.N.; Wang, G.L. Effect of Macrolides and β-lactams on Clearance of Bordetella pertussis in the Nasopharynx in Children With Whooping Cough. Pediatr. Infect. Dis. J. 2021, 40, 87–90. [Google Scholar] [CrossRef] [PubMed]
- Petersen, R.F.; Dalby, T.; Dragsted, D.M.; Mooi, F.; Lambertsen, L. Temporal trends in Bordetella pertussis populations, Denmark, 1949–2010. Emerg. Infect. Dis. 2012, 18, 767–774. [Google Scholar] [CrossRef]
- Shi, W.; Meng, Q.; Hu, Y.; Yao, K. Modifying antibiotic treatment strategies in the face of pertussis surge associated to erythromycin resistance in China. J. Infect. 2024, 88, 106174. [Google Scholar] [CrossRef]
- Gordon, K.A.; Fusco, J.; Biedenbach, D.J.; Pfaller, M.A.; Jones, R.N. Antimicrobial susceptibility testing of clinical isolates of Bordetella pertussis from northern California: Report from the SENTRY Antimicrobial Surveillance Program. Antimicrob. Agents Chemother. 2001, 45, 3599–3600. [Google Scholar] [CrossRef]
- Committee on Infectious Diseases; American Academy of Pediatrics. Tetracyclines. In Red Book: 2021–2024 Report of the Committee on Infectious Diseases; Kimberlin, D.W., Barnett, E.D., Lynfield, R., Sawyer, M.H., Eds.; American Academy of Pediatrics: Itasca, IL, USA, 2021; p. 866. [Google Scholar]
- Committee on Infectious Diseases; American Academy of Pediatrics. Fluoroquinolones. In Red Book: 2021–2024 Report of the Committee on Infectious Diseases; Kimberlin, D.W., Barnett, E.D., Lynfield, R., Sawyer, M.H., Eds.; American Academy of Pediatrics: Itasca, IL, USA, 2021; pp. 864–866. [Google Scholar]
- Koide, K.; Yao, S.; Chiang, C.S.; Thuy, P.T.B.; Nga, D.T.T.; Huong, D.T.; Dien, T.M.; Vichit, O.; Vutthikol, Y.; Sovannara, S.; et al. Genotyping and macrolide-resistant mutation of Bordetella pertussis in East and South-East Asia. J. Glob. Antimicrob. Resist. 2022, 31, 263–269. [Google Scholar] [CrossRef]
- Mei, Z.; Zhujun, S.; Wenhong, Z.; Jun, X. Guidelines for diagnosis and management and prevention of pertussis of China (2024 edition). Chin. Med. Assoc. 2024. [Google Scholar] [CrossRef]
- Feng, Y.; Chiu, C.-H.; Heininger, U.; Hozbor, D.F.; Tan, T.Q.; von König, C.-H.W. Emerging macrolide resistance in Bordetella pertussis in mainland China: Findings and warning from the global pertussis initiative. Lancet Reg. Health–West. Pac. 2021, 8, 100098. [Google Scholar] [CrossRef]
- Hong Kong Tourism Board. Monthly Report—Visitor Arrival Statistics: Jan 2024. Available online: https://www.discoverhongkong.com/content/dam/dhk/intl/corporate/newsroom/tourisum-statistics/2024/tourism_stat_01_2024.pdf (accessed on 26 November 2024).
- Centre for Health Protection of the Department of Health of the Hong Kong Special Administrative Region. Number of Notifiable Infectious Diseases by Month. Available online: https://www.chp.gov.hk/en/statistics/data/10/26/43/7060.html (accessed on 18 April 2025).
- Jenkinson, D. Pertussis (whooping cough) is common in teens and adults. BMJ 2019, 365, l1623. [Google Scholar] [CrossRef]




| Characteristics | All Cases (n = 29) | With A2047G Mutation (n = 10) | Without A2047G Mutation (n = 19) | p-Value a |
|---|---|---|---|---|
| Case/contact | 25/4 | 7/3 | 18/1 | NA |
| Age (years, median, IQR) | 0.25, 0.08–0.5 | 0.33, 0.25–14.00 | 0.17, 0.05–0.42 | NA |
| Travel history to mainland China within 30 days | 6 (20.7%) | 4 (40%) | 2 (10.5%) | NA |
| Clinical symptoms—n (%) | ||||
| Paroxysmal cough | 3 (10.3%) | 2 (20%) | 1 (5.3%) | NS |
| Fever | 2 (6.90%) | 2 (20%) | 0 (0.0%) | NS |
| Cyanosis | 9 (31.0%) | 3 (30%) | 6 (31.6%) | NS |
| Wheezing | 4 (13.8%) | 1 (10%) | 3 (15.8%) | NS |
| Pneumonia | 5 (17.2%) | 3 (30%) | 2 (10.5%) | NS |
| Respiratory failure | 4 (13.8%) | 1 (10%) | 3 (15.8%) | NS |
| Laboratory findings—median (IQR) | ||||
| White blood cell (×109/L) b | 15.15 (10.70–23.70) | 14.12 (10.70–38.50) | 15.25 (11.45–23.65) | NS |
| Lymphocyte (×109/L) b | 10.40 (6.40–18.10) | 10.10 (8.66–21.56) | 10.55 (6.40–13.70) | NS |
| C reactive protein (mg/L) b | 0.60 (0.25–1.00) | 1.08 (0.25–3.00) | 0.30 (0.20–1.00) | NS |
| Clinical Outcome—n (%) | ||||
| Hospitalization | 22 (75.9%) | 7 (70%) | 15 (78.9%) | NS |
| Length of hospital stay, median (inter-quartile range, days) | 4.00 (3.00–6.00) | 3.50 (0.00–6.00) | 4.00 (3.00–6.00) | NS |
| Survival | 29 (100%) | 10 (100%) | 19 (100%) | NA |
| Required oxygen therapy | 4 (13.8%) | 1 (10%) | 3 (15.8%) | NS |
| Required mechanical ventilation | 2 (6.90%) | 0 (0.0%) | 2 (10.5%) | NS |
| Required nasogastric feeding | 3 (10.3%) | 1 (10%) | 2 (10.5%) | NS |
| Antibiotic therapy c—n (%) | ||||
| Macrolide | 28 (96.6%) | 9 (90%) | 19 (100%) | NS |
| Trimethoprim-sulfamethoxazole c | 1 (3.45%) | 1 (10%) | 0 (0.0%) | NS |
| Prior antibiotic usage d—n (%) | ||||
| Third-generation cephalosporin | 1 (3.45%) | 0 (0.0%) | 1 (7.1%) | NS |
| Macrolide | 0 (0.0%) | 0 (0.0%) | 0 (0.0%) | NA |
| A2047G Mutation | Number | MIC90, MIC Range (μg/mL) | |||||||
|---|---|---|---|---|---|---|---|---|---|
| ERY | AZT | CLR | SXT | DOX | LEV | TZP | MEM | ||
| Detected | 10 | ≥256, ≥256 | ≥256, ≥256 | ≥256, ≥256 | 1.05, 0.032–1.5 | 3, 1–3 | 0.263, 0.25–0.38 | <0.016, <0.016 | 0.0971, 0.032–0.125 |
| Not detected | 19 | 0.19, 0.047–0.19 | 0.1002, 0.032–0.125 | 0.9, 0.38–2 | 1, 0.047–1 | 3, 1–4 | 0.38, 0.19–0.38 | <0.016, <0.016 | 0.125, 0.008–0.125 |
| Isolate | Case/Contact | Sex | Age | Year | Travel History to Mainland China * | A2047G Mutation | Virulence Genes | MT | Biosample Accession Number | ||||||||
|---|---|---|---|---|---|---|---|---|---|---|---|---|---|---|---|---|---|
| ptxP | ptxA | ptxC | prn | fim2 | fim3 | tcfA | fhaB | bscI | |||||||||
| 1 | Case | F | 4 m | 2015 | Y | D | ptxP1 | ptxA1 | ptxC1 | prn1 | fim2-1 | fim3-1 | tcfA2 | fhaB3 | bscI1 | 104 | SAMN48174304 |
| 2 | Case | F | 4 m | 2015 | Y | ND | ptxP3 | ptxA1 | ptxC2 | prn2 | fim2-1 | fim3-1 | tcfA2 | fhaB1 | bscI2 | 26 | SAMN48174305 |
| 3 | Case | M | 2 m | 2015 | N | ND | ptxP3 | ptxA1 | ptxC2 | Not found | fim2-1 | fim3-1 | tcfA2 | fhaB1 | bscI2 | 27 | SAMN48174306 |
| 4 | Case | M | 1 m | 2016 | N | ND | ptxP3 | ptxA1 | ptxC2 | prn2 | fim2-1 | fim3-1 | tcfA2 | fhaB1 | bscI2 | 27 | SAMN48174307 |
| 5 | Case | M | 1 m | 2016 | N | ND | ptxP3 | ptxA1 | ptxC2 | prn2 | fim2-1 | fim3-1 | tcfA2 | fhaB1 | bscI2 | 27 | SAMN48174308 |
| 6 | Case | M | 1 m | 2017 | N | ND | ptxP3 | ptxA1 | ptxC2 | prn2 | fim2-1 | fim3-1 | tcfA2 | fhaB1 | bscI2 | 27 | SAMN48174309 |
| 7 | Case | F | 2 m | 2018 | N | D | ptxP1 | ptxA1 | ptxC1 | prn1 | fim2-1 | fim3-1 | tcfA2 | fhaB3 | bscI1 | 104 | SAMN48174311 |
| 8 | Contact | M | 32 y | 2018 | N | D | ptxP1 | ptxA1 | ptxC1 | prn1 | fim2-1 | fim3-1 | tcfA2 | fhaB3 | bscI1 | 104 | SAMN48174312 |
| 9 | Contact | M | 53 y | 2018 | N | D | ptxP1 | ptxA1 | ptxC1 | prn1 | fim2-1 | fim3-1 | tcfA2 | fhaB3 | bscI1 | 104 | SAMN48174325 |
| 10 | Contact | M | 14 y | 2018 | N | D | ptxP1 | ptxA1 | ptxC1 | prn1 | fim2-1 | fim3-1 | tcfA2 | fhaB3 | bscI1 | 104 | SAMN48174326 |
| 11 | Case | F | 1 m | 2018 | N | ND | ptxP3 | ptxA1 | ptxC2 | prn2 | fim2-1 | fim3-1 | tcfA2 | fhaB1 | bscI2 | 27 | SAMN48174310 |
| 12 | Case | F | 3 m | 2018 | N | ND | ptxP3 | ptxA1 | ptxC2 | prn2 | fim2-1 | fim3-1 | tcfA2 | fhaB1 | bscI2 | 27 | SAMN48174315 |
| 13 | Case | M | 1 m | 2018 | N | ND | ptxP3 | ptxA1 | ptxC2 | prn2 | fim2-1 | fim3-1 | tcfA2 | fhaB1 | bscI2 | 27 | SAMN48174313 |
| 14 | Case | F | 1 m | 2018 | N | ND | ptxP3 | ptxA1 | ptxC2 | prn2 | fim2-1 | fim3-1 | tcfA2 | fhaB1 | bscI2 | 161 | SAMN48174316 |
| 15 | Case | M | 1 m | 2018 | N | ND | ptxP3 | ptxA1 | ptxC2 | prn2 | fim2-1 | fim3-1 | tcfA2 | fhaB1 | bscI2 | 27 | SAMN48174314 |
| 16 | Case | M | 1 m | 2018 | Y | ND | ptxP3 | ptxA1 | ptxC2 | prn2 | fim2-1 | fim3-1 | tcfA2 | fhaB1 | bscI2 | 28 | SAMN48174317 |
| 17 | Case | F | 3 m | 2018 | N | ND | ptxP3 | ptxA1 | ptxC2 | prn2 | fim2-1 | fim3-1 | tcfA2 | fhaB1 | bscI2 | 27 | SAMN48174324 |
| 18 | Case | M | 35 y | 2018 | N | ND | ptxP3 | ptxA1 | ptxC2 | prn2 | fim2-1 | fim3-1 | tcfA2 | fhaB1 | bscI2 | 27 | SAMN48174318 |
| 19 | Case | F | 2 m | 2019 | N | ND | ptxP3 | ptxA1 | ptxC2 | prn2 | fim2-1 | fim3-1 | tcfA2 | fhaB1 | bscI2 | 27 | SAMN48174319 |
| 20 | Case | F | 5 m | 2019 | N | ND | ptxP3 | ptxA1 | ptxC2 | prn2 | fim2-1 | fim3-1 | tcfA2 | fhaB1 | bscI2 | 27 | SAMN48174329 |
| 21 | Contact | F | 58 y | 2019 | N | ND | ptxP3 | ptxA1 | ptxC2 | prn2 | fim2-1 | fim3-1 | tcfA2 | fhaB1 | bscI2 | 27 | SAMN48174330 |
| 22 | Case | F | 2 m | 2019 | N | ND | ptxP3 | ptxA1 | ptxC2 | prn2 | fim2-1 | fim3-1 | tcfA2 | fhaB1 | bscI2 | 114 | SAMN48174331 |
| 23 | Case | F | 6 m | 2019 | N | ND | ptxP3 | ptxA1 | ptxC2 | prn2 | fim2-1 | fim3-1 | tcfA2 | fhaB1 | bscI2 | 27 | SAMN48174327 |
| 24 | Case | M | 42 y | 2019 | N | ND | ptxP3 | ptxA1 | ptxC2 | prn2 | fim2-1 | fim3-1 | tcfA2 | fhaB1 | bscI2 | 27 | SAMN48174332 |
| 25 | Case | M | 3 m | 2023 | Y | D | ptxP3 | ptxA1 | ptxC2 | prn150 | fim2-1 | fim3-1 | tcfA2 | fhaB1 | bscI2 | 28 | SAMN48174328 |
| 26 | Case | M | 3 m | 2024 | Y | D | ptxP3 | ptxA1 | ptxC2 | prn150 | fim2-1 | fim3-1 | tcfA2 | fhaB1 | bscI2 | 28 | SAMN48174320 |
| 27 | Case | M | 2 m | 2024 | N | D | ptxP3 | ptxA1 | ptxC2 | prn150 | fim2-1 | fim3-1 | tcfA2 | fhaB1 | bscI2 | 28 | SAMN48174321 |
| 28 | Case | M | 9 y | 2024 | Y | D | ptxP3 | ptxA1 | ptxC2 | prn150 | fim2-1 | fim3-1 | tcfA2 | fhaB1 | bscI2 | 28 | SAMN48174322 |
| 29 | Case | M | 4 m | 2024 | N | D | ptxP3 | ptxA1 | ptxC2 | prn150 | fim2-1 | fim3-1 | tcfA2 | fhaB1 | bscI2 | 28 | SAMN48174323 |
Disclaimer/Publisher’s Note: The statements, opinions and data contained in all publications are solely those of the individual author(s) and contributor(s) and not of MDPI and/or the editor(s). MDPI and/or the editor(s) disclaim responsibility for any injury to people or property resulting from any ideas, methods, instructions or products referred to in the content. |
© 2025 by the authors. Licensee MDPI, Basel, Switzerland. This article is an open access article distributed under the terms and conditions of the Creative Commons Attribution (CC BY) license (https://creativecommons.org/licenses/by/4.0/).
Share and Cite
Hui, T.-Y.; Luk, H.K.-H.; Choi, G.K.-Y.; Chau, S.K.-Y.; Tsang, L.-M.; Tse, C.W.-S.; Fung, K.-K.; Lam, J.Y.-W.; Ng, H.-L.; Tang, T.H.-C.; et al. Macrolide-Resistant Bordetella pertussis in Hong Kong: Evidence for Post-COVID-19 Emergence of ptxP3-Lineage MT28 Clone from a Hospital-Based Surveillance Study. Microorganisms 2025, 13, 1947. https://doi.org/10.3390/microorganisms13081947
Hui T-Y, Luk HK-H, Choi GK-Y, Chau SK-Y, Tsang L-M, Tse CW-S, Fung K-K, Lam JY-W, Ng H-L, Tang TH-C, et al. Macrolide-Resistant Bordetella pertussis in Hong Kong: Evidence for Post-COVID-19 Emergence of ptxP3-Lineage MT28 Clone from a Hospital-Based Surveillance Study. Microorganisms. 2025; 13(8):1947. https://doi.org/10.3390/microorganisms13081947
Chicago/Turabian StyleHui, Tsz-Yung, Hayes Kam-Hei Luk, Garnet Kwan-Yue Choi, Sandy Ka-Yee Chau, Lok-Man Tsang, Cindy Wing-Sze Tse, Ka-Kin Fung, Jimmy Yiu-Wing Lam, Ho-Leung Ng, Tommy Hing-Cheung Tang, and et al. 2025. "Macrolide-Resistant Bordetella pertussis in Hong Kong: Evidence for Post-COVID-19 Emergence of ptxP3-Lineage MT28 Clone from a Hospital-Based Surveillance Study" Microorganisms 13, no. 8: 1947. https://doi.org/10.3390/microorganisms13081947
APA StyleHui, T.-Y., Luk, H. K.-H., Choi, G. K.-Y., Chau, S. K.-Y., Tsang, L.-M., Tse, C. W.-S., Fung, K.-K., Lam, J. Y.-W., Ng, H.-L., Tang, T. H.-C., Ma, E. S.-K., Tse, H., Wong, S. C.-Y., Chuang, V. W.-M., & Lung, D. C. (2025). Macrolide-Resistant Bordetella pertussis in Hong Kong: Evidence for Post-COVID-19 Emergence of ptxP3-Lineage MT28 Clone from a Hospital-Based Surveillance Study. Microorganisms, 13(8), 1947. https://doi.org/10.3390/microorganisms13081947

