Skip Content
You are currently on the new version of our website. Access the old version .
MicroorganismsMicroorganisms
  • Article
  • Open Access

23 July 2025

Quantitative Evaluation of Endogenous Reference Genes for RT-qPCR and ddPCR Gene Expression Under Polyextreme Conditions Using Anaerobic Halophilic Alkalithermophile Natranaerobius thermophilus

,
,
,
,
,
,
and
1
Graduate School, Chinese Academy of Agricultural Sciences, Beijing 100081, China
2
Department of Biology, College of Natural and Computational Science, Injibara University, Injibara P.O. Box 40, Ethiopia
3
Department of Civil Engineering, Stony Brook University, Stony Brook, NY 11794, USA
*
Author to whom correspondence should be addressed.
This article belongs to the Section Environmental Microbiology

Abstract

Accurate gene expression quantification using reverse transcription quantitative PCR (RT-qPCR) requires stable reference genes (RGs) for reliable normalization. However, few studies have systematically identified RGs suitable for simultaneous high salt, alkaline, and high-temperature conditions. This study addresses this gap by evaluating the stability of eight candidate RGs in the anaerobic halophilic alkalithermophile Natranaerobius thermophilus JW/NM-WN-LFT under combined salt, alkali, and thermal stresses. The stability of these candidate RGs was assessed using five statistical algorithms: Delta CT, geNorm, NormFinder, BestKeeper, and RefFinder. Results indicated that recA exhibited the highest expression stability across all tested conditions and proved adequate as a single RG for normalization in both RT-qPCR and droplet digital PCR (ddPCR) assays. Furthermore, recA alone or combined with other RGs (sigA, rsmH) effectively normalized the expression of seven stress-response genes (proX, opuAC, mnhE, nhaC, trkH, ducA, and pimT). This work represents the first systematic validation of RGs under polyextreme stress conditions, providing essential guidelines for future gene expression studies in extreme environments and aiding research on microbial adaptation mechanisms in halophilic, alkaliphilic, and thermophilic microorganisms.

1. Introduction

Reverse transcription quantitative PCR (RT-qPCR) is a commonly employed technique for analyzing gene expression levels. It provides high sensitivity, accuracy, and rapid results [1,2]. Nevertheless, achieving accurate and reliable RT-qPCR results critically relies on the careful selection and thorough validation of stable endogenous RGs, a process that is fundamental to the design of any new qPCR experiment [3]. RGs must remain stable across experimental conditions. Fluctuations in their expression can distort gene expression quantification. This results in flawed normalization and incorrect conclusions [4,5]. Therefore, identifying stable RGs is essential for accurate RT-qPCR data interpretation [6,7].
Although the use of RGs is well-established, previous studies have often relied on genes such as 16S rRNA as internal controls. However, the expression stability of these commonly used RGs has not always been validated. For instance, 16S rRNA has been shown to exhibit expression variability under certain experimental conditions [8], and its relatively high expression level compared to other housekeeping genes may interfere with accurate normalization [9]. Similar limitations have been observed with gapdh, which has limited value for gene expression normalization [10]. These cases underscore the importance of validating RGs under specific experimental conditions to ensure reliable and accurate normalization.
Previous studies have identified suitable RGs under specific single-stress conditions. In Pseudomonas sp. AU10, recA and ftsZ were identified as stable reference genes during exponential growth at both 4 °C and 30 °C and after exposure to cold shock [11]. Under pH stress conditions, with exposure to pH levels of 9.0 and 5.0, the genes rpoB, rpoD, and fabD were selected in Acinetobacter baumannii [12]. These findings underscore the importance of context-specific RG selection but are limited to isolated environmental stressors. In a prior investigation, we discovered pdp as a stable RG from polC, dnaK, pyrD, recA, pdp, and rplY across different salt concentrations (4%, 8%, 12%, and 16% NaCl) in Alkalicoccus halolimnae, a moderately halophilic bacterium [13]. However, RG stability under combined extreme conditions—high salinity, high alkalinity, and high temperature—has not been systematically assessed, highlighting a critical gap.
To address this, we focus on Natranaerobius thermophilus, an obligately anaerobic, halophilic alkalithermophile that grows at 2.5–4.9 M Na+, pH 8.3–10.1, and 35–56 °C, with optimal growth at 3.9 M Na+, pH 9.5, and 53 °C. Its exceptional adaptation to polyextreme environments makes it an ideal model for studying RG stability under combined stress conditions. In this study, eight housekeeping genes from Natranaerobius thermophilus—rsmH, pdp, recA, accD, sigA, gyrA, rpoB, and dnaK—as candidate RGs were selected, and their expression stability was evaluated via RT-qPCR assays using multiple analytical tools, including geNorm, NormFinder, BestKeeper, RefFinder, and the comparative Ct method. The most stable RGs were then used to normalize the expression of proX, opuAC, mnhE, nhaC, trkH, ducA, and pimT through RT-qPCR analysis. To independently verify the normalization reliability, the selected RGs were further validated using droplet digital PCR (ddPCR), providing an additional layer of accuracy. The findings of our study reveal that recA exhibited the highest stability across all tested conditions, making it an ideal candidate for gene normalization in N. thermophilus. Additionally, the combination of recA with other RGs, such as sigA and rsmH, improved the accuracy of gene expression normalization.
In summary, previous studies on endogenous RGs in extremophiles have primarily focused on single environmental stress factors such as salinity, alkalinity, or temperature. However, extremophiles naturally experience multiple coexisting stressors in their environments, leading to more complex transcriptional regulation. Systematic evaluation of reference gene stability under such combined polyextreme conditions remains scarce. To address this critical gap, our study comprehensively assessed the expression stability of eight candidate reference genes in the facultative anaerobic halophilic alkalithermophile N. thermophilus under combined salt, alkaline, and thermal stresses. By integrating multiple statistical algorithms along with validation methods such as RT-qPCR and ddPCR, we identified reliable reference genes suitable for gene expression normalization in complex environmental conditions.
This research identifies reliable endogenous RGs for use in N. thermophilus, providing a robust methodological foundation for gene expression normalization under combined extreme environmental stresses. By systematically validating RGs under simultaneous salt, alkaline, and thermal conditions using integrated RT-qPCR and ddPCR approaches, this study establishes essential technical groundwork supporting accurate gene expression analyses in extremophilic microorganisms. These findings contribute valuable methodological insights that facilitate future investigations into microbial adaptation and resilience in multifactorial extreme environments.

2. Materials and Methods

2.1. Bacterial Strains and Growth Conditions

N. thermophilus was isolated from a mixed water–sediment sample collected from the sediment of Lake Fazda, Wadi An Natrun, Egypt, during May 2005. At the time of collection, the lake water had a salinity of 4.7 M and a pH of 9.8 at 25 °C. It grows at 2.5–4.9 M Na+, a pH55°C of 8.3–10.1, and temperatures ranging from 35 to 56 °C, with optimal growth occurring at 3.9 M Na+, pH55°C 9.5, and 53 °C, respectively. The pH range for growth was determined in the medium at 55 °C [14]. The growth medium was modified from a previous study by adding varying amounts of NaCl to achieve final salinity concentrations of 3.0 M and 4.0 M Na+ [14]. To adjust the pH, 5.0 M HCl (CarlRoth, Karlsruhe, Germany) was used to titrate the medium to pH values of 8.6 and 9.6 at 55 °C. Cultures were incubated at 42 °C and 52 °C to collect samples under different thermal conditions. Cultures of N. thermophilus were incubated at 42 °C and 52 °C to represent distinct points within the organism’s viable growth temperature range (35–56 °C). The optimal growth temperature is approximately 53 °C; 52 °C was selected to closely approximate this while ensuring stable and reproducible cultivation conditions.
To enhance ecological relevance, the selected salt concentrations and pH values were designed to approximate the natural habitat conditions of strain JW/NM-WN-LFT, as reflected by the lake’s salinity of 4.7 M and pH 9.8 at the time of isolation. This experimental design aims to simulate the natural environmental conditions encountered by the microorganism in situ, thereby increasing the applicability and ecological validity of our findings. Bacterial inocula (1:20 dilution) were transferred into anaerobic media under the six conditions described above. Growth was monitored by measuring optical density at 600 nm (OD600) with a HACH DR2800 spectrophotometer. Samples were collected when the cultures reached an OD600 of 0.5. Samples of 1.5 mL were centrifuged at 13,000 rpm for 5 min at 4 °C. Cell pellets were preserved in RNA stabilization reagent (Qiagen, Hilden, Germany) and stored at −80 °C for subsequent RNA extraction. Each experiment was performed with three independent biological replicates and three technical replicates.

2.2. Total RNA Extraction and cDNA Synthesis

RNA extraction was performed using a Bacterial RNA Kit (Omega, Norwalk, CT, USA), and concentration was assessed with a NanoDrop ND-1000 spectrophotometer (NanoDrop Technologies Inc., Wilmington, DE, USA). RNA concentration ranged from 300 to 400 ng/μL, with A260/A280 ratios between 1.8 and 2.0 and A260/A230 ratios around 2.0, indicating high purity and minimal contamination. The cDNA synthesis was performed using 100 ng of RNA. Reverse transcription was performed according to the manufacturer’s instructions using a PrimeScript RT Reagent Kit with gDNA Eraser (Takara, Tokyo, Japan). The synthesized cDNA was dissolved in RNase-free water and stored at −20 °C for later analysis. The experiment was conducted with three independent biological replicates, each with three technical replicates.

2.3. Selection of Candidate Genes and Primer Design

Eight candidate RGs were selected from commonly used housekeeping genes based on previous literature and the genomic information of N. thermophilus. Primers for these genes were designed using Primer Premier 5.0, referencing the N. thermophilus genome sequence (NZ_CP144221.1; https://www.ncbi.nlm.nih.gov/nuccore/NZ_CP144221.1, accessed on 9 February 2025) and synthesized by Sangon Biotech in Shanghai, China. The selected candidate RGs included rsmH (Nther_1296, ACB84879.1), encoding a ribosomal RNA small subunit methyltransferase involved in rRNA methylation to ensure accuracy and efficiency of protein synthesis; pdp (Nther_1665, ACB85239.1), encoding pyrimidine nucleoside phosphorylase, which participates in nucleotide metabolism maintaining nucleic acid homeostasis; recA (Nther_1473, ACB85056.1), encoding recombinase A, a key protein in DNA repair and homologous recombination essential for genomic stability; accD (Nther_0846, ACB84431.1), encoding acetyl-CoA carboxylase subunit β/α, involved in fatty acid biosynthesis; sigA (Nther_1215, ACB84798.1), encoding RNA polymerase sigma factor A, which regulates transcription initiation and maintains basal transcription levels; gyrA (Nther_0008, ACB83607.1), encoding DNA gyrase subunit A, involved in DNA supercoiling regulation; rpoB (Nther_0186, ACB83785.1), encoding a DNA-dependent RNA polymerase β subunit, catalyzing RNA synthesis; and dnaK (Nther_1183, ACB84766.1), encoding a molecular chaperone protein involved in protein folding and stress responses. In addition, seven functional target genes—proX (Nther_1620, ACB85194.1), part of an ABC transporter system involved in compatible solute uptake for osmotic stress adaptation; opuAC (Nther_0728, ACB84318.1), a component of osmoprotectant uptake systems facilitating transport of compatible solutes such as glycine betaine; mnhE (Nther_0501, ACB84097.1), a subunit of a multisubunit Na+/H+ antiporter involved in sodium ion homeostasis and pH regulation; nhaC (Nther_0736, ACB84326.1), a Na+/H+ antiporter protein involved in sodium efflux and pH balance; trkH (Nther_0103, ACB83702.1), a potassium uptake protein critical for intracellular ion homeostasis under salt stress; ducA (Nther_2657, ACB86212.1), a predicted amino acid transporter potentially involved in nutrient uptake and metabolism; and pimT (Nther_0279, ACB83877.1), a putative transporter associated with metabolite transport and stress response—were selected for further gene expression analysis. These target genes corresponded to proteins that were consistently upregulated under salt, alkaline, and thermal stress conditions, as identified through iTRAQ-based quantitative proteomic analysis of N. thermophilus [13,15]. The primer sequences used for RT-qPCR and ddPCR assays are provided in Supplementary Materials Table S1.

2.4. RT-qPCR Efficiency and Assays

A temperature gradient PCR (ranging from 54 °C to 60 °C) was performed for each primer to identify the optimal annealing temperature. Diluted cDNA was then used as a template for RT-qPCR, performed in triplicate with the following dilution factors: 1, 10, 100, 1000, 10,000, and 100,000-fold. The specificity and amplification efficiency of the primers were evaluated by generating a relative standard curve. The RT-qPCR efficiency (E) for each primer pair was determined based on the regression coefficients (R) obtained from the linear regression analysis [3], using the following equation:
E(%) = (10−(1/R) − 1) × 100
RT-qPCR was performed using the CFX96™ Real-Time PCR Detection System (Bio-Rad, Hercules, CA, USA) and Power SYBR® Green PCR Master Mix (Applied BioSystems, Waltham, MA, USA). The cDNA RT-PCR products were diluted to 20 ng/μL and used as templates. Each reaction was prepared in a final volume of 20 μL, consisting of 10 μL SYBR® Premix Ex Taq® II, 0.4 μL of each forward and reverse primer (10 μmol/L), 2 μL of cDNA (20 ng/μL), and 7.2 μL of DNase/RNase-free water (Invitrogen™, Waltham, MA, USA). The reaction mixture was assembled on ice. The RT-qPCR program consisted of an initial denaturation at 95 °C for 30 s, followed by 10 s of denaturation at 9 °C5 °C, primer-specific annealing for 30 s, extension at 72 °C for 30 s, and a total of 40 amplification cycles. Melting curve analysis was carried out between 65 °C and 95 °C, with a 0.5 °C increase per second. Each primer pair was tested in triplicate, accompanied by three no-template controls (NTC).

2.5. Stability of Gene Expression and Minimum Number of RGs

Eight candidate genes were assessed under different experimental conditions to verify the reliability and accuracy of the selected RGs for data normalization. To investigate gene expression characteristics under combined salt, alkali, and thermal stresses, samples were collected from cultures grown under each individual condition and analyzed via RT-qPCR. Subsequently, expression data from these discrete conditions were integrated to simulate transcriptional responses under multifactorial extreme stress. Gene expression stability was evaluated using statistical software tools such as geNorm (https://seqyuan.shinyapps.io/seqyuan_prosper/, accessed on 25 February 2025), NormFinder (https://seqyuan.shinyapps.io/seqyuan_prosper/, accessed on 25 January 2025), BestKeeper (http://blooge.cn/RefFinder/?type=reference, accessed on 25 January 2025), and RefFinder (http://blooge.cn/RefFinder/?type=reference, accessed on 23 January 2025). For RT-qPCR, raw Ct values were processed using BestKeeper, while data from geNorm and NormFinder were converted into linear values based on the lowest Ct of each gene. Gene stability was evaluated via BestKeeper’s standard deviation (SD), along with the stability values (M) from geNorm and stability values (SVs) from NormFinder. The optimal number of RGs for normalization was determined using geNorm’s pairwise variation (V). RefFinder, a web-based analytical tool, integrates four algorithms: Delta CT, BestKeeper, geNorm, and NormFinder, to rank candidate RGs. RefFinder assigns a weight to each gene according to its ranking in each program and then calculates the geometric mean of these weights to determine the overall ranking.

2.6. Validation of the Selected RGs

The expression of the proX, opuAC, mnhE, nhaC, trkH, ducA, and pimT genes in N. thermophilus was used to validate the selected RGs. The expression levels of these seven target genes under various extreme conditions were normalized relative to recA by comparing their Ct values. Four optimal RG combinations, based on the geometric mean of the Ct values, were identified: recA and sigA, recA and rsmH, recA and accD, and recA and pdp. Relative gene expression levels were determined using the comparative 2−ΔCt method. RT-qPCR was used to determine the expression patterns of the seven target genes under different stress conditions (salinity, alkalinity, and temperature), which were then normalized to combinations of recA and the selected RGs. Protein expression levels served as a benchmark to assess the effectiveness of the chosen RGs for data normalization. Furthermore, the expression profile of each target gene under different conditions was assessed using ddPCR and normalized relative to recA. The relative copy number of each target gene was determined by dividing the absolute copy number of the target gene by the absolute copy number of the RG, as analyzed using ddPCR.

3. Results

3.1. Amplification Efficiency of Candidate RGs

Eight candidate RGs were selected for analysis: ribosomal RNA small subunit methyltransferase H (rsmH), pyrimidine-nucleoside phosphorylase (pdp), recombinase A (recA), acetyl-coenzyme A carboxylase carboxyl transferase subunits beta/alpha (accD), RNA polymerase sigma factor SigA (sigA), DNA gyrase subunit A (gyrA), DNA-directed RNA polymerase subunit beta (rpoB), and chaperone protein DnaK (dnaK), as detailed in the Supplementary Materials. An optimal annealing temperature of 58 °C was determined for all primers. Standard PCR amplification confirmed the specificity of the primers, with each RG generating a single, clear band of the expected size, free of primer-dimer formation (Figure 1). Sanger sequencing further verified that the amplified fragments matched the sequences in the NCBI database. Melting curve analysis showed a distinct single peak for each candidate RG (Figure 2). Table 1 summarizes the RT-qPCR performance parameters for each RG, including the slope, correlation coefficient (R2), and amplification efficiency. Amplification efficiencies ranged from 90.3% (rpoB) to 108.7% (rsmH), with R2 values between 0.986 and 0.999, indicating strong linear correlations. These results confirm that the primers exhibited high specificity and sensitivity, making them suitable for subsequent quantitative analyses.
Figure 1. Agarose gel electrophoresis of RT-qPCR products of candidate RGs. MW: DL1000 DNA Marker, rsmH (133 bp), pdp (131 bp), recA (137 bp), accD (125 bp), sigA (149 bp), gyrA (101 bp), rpoB (148 bp), and dnaK (125 bp).
Figure 2. Melting curves of candidate RGs.
Table 1. Slope values of the standard curves and RT-qPCR efficiency of candidate RGs.

3.2. Candidate RGs Expression Levels

An ideal RG should maintain stable expression levels similar to those of the target genes under varying experimental conditions. The distribution of raw Ct values for the candidate RGs is shown in Figure 3, ranging from 20 to 35 across all conditions. RecA, pdp, and gyrA exhibited relatively narrow Ct value ranges, suggesting more stable expression. According to Delta Ct analysis, recA demonstrated the lowest standard deviation, indicating the highest stability across different salt, alkaline, and temperature conditions. In contrast, dnaK exhibited the greatest fluctuation in Ct values, suggesting it was the least stable RG under varying stress conditions.
Figure 3. Distribution of Ct values of 8 candidate RGs within the different samples of N. thermophilus under different experimental conditions. Box plots of Ct distribution for each candidate RG. Box-plot elements show: box limits represent the 25 and 75 percentiles, center long line represents the median, center short line represents the mean value, and whiskers represent the 1.5I QR (interquartile range).

3.3. Expression Stability of Candidate RGs

Ct values were analyzed using specialized algorithms such as geNorm, NormFinder, BestKeeper, and RefFinder (Table 2). These analyses identified the most stable RGs for each condition and determined the optimal number of RGs necessary for normalization (Figure 4).
Table 2. Stability of candidate RGs determined via RT-qPCR according to different analysis parameters.
Figure 4. Determination of the optimal number of candidate RGs for normalization (geNorm) of N. thermophilus under different salinities, pH values, temperatures, and combined all conditions. The value of the abscissa indicates the number of RGs.

3.4. GeNorm Analysis

Genes with M-values below 1.5 are considered to have stable expression, with lower M-values reflecting higher stability. All eight candidate RGs had M-values below 0.55 (Table 2), demonstrating high stability. The most stable pairs identified via geNorm were rsmH/recA (varying salinity), pdp/sigA (heat stress), and pdp/recA (alkalinity stress). AccD, dnaK, and rpoB were the least stable under different conditions. Further analysis indicated that recA and sigA had the most stable expression under combined salt, alkaline, and temperature stress conditions, with an M-value of 0.18 (Figure 5a). Although rpoB ranked lowest in stability, its M-value remained below the 1.5 threshold.
Figure 5. Expression stability of candidate RGs in N. thermophilus in response to saline-alkali heat stress according to cycle threshold (Ct) values from RT-qPCR. RGs were ranked via geNorm (a), NormFinder (b), BestKeeper (c), and RefFinder (d) programs. The lower M-value (geNorm), stability value SV (NormFinder), standard deviation (BestKeeper), or geomean values (RefFinder) for a certain gene indicates more stable expression.
Pairwise variation (Vn/n + 1) analysis revealed that all V2/3 values were below 0.15 (Figure 4), indicating that two internal RGs are sufficient for normalization.

3.5. NormFinder Analysis

NormFinder, a Microsoft Excel-based tool, was utilized to assess the expression stability of candidate RGs. Lower SVs indicate higher gene expression stability. The SVs for recA under varying salinity, temperature, and pH conditions were 0.05, 1.03, and 0.5, respectively (Table 2; Figure 5b). RecA emerged as the most stable RG across most conditions, with the exception of varying temperature stress, where accD displayed the highest stability. However, accD showed considerable instability under varying salinity. DnaK was consistently ranked as the least stable RG under all tested conditions. Overall, despite slight variations under specific stresses, recA demonstrated the highest overall stability across combined polyextreme environments in N. thermophilus.

3.6. BestKeeper Analysis

BestKeeper software ranks RG stability based on standard deviation (SD) and coefficient of variation (CV) using raw Cq values. Stability was inversely related to SD. Table 2 shows the stability analysis results of the eight candidate RGs, ranked from highest to lowest under various stress conditions. Considering all samples together, the gyrA gene was identified as the most stable internal RG (Figure 5c). However, when individual stress conditions such as salinity, temperature, and pH were analyzed separately, gyrA was not consistently the most stable RG (Table 2). Specifically, gyrA ranked fourth in terms of stability under pH variation. In contrast, recA ranked first for gene expression stability under varying temperature and pH conditions.

3.7. RefFinder Analysis

RefFinder (http://blooge.cn/RefFinder/?type=reference, accessed on 23 January 2025), which combines the results from geNorm, NormFinder, and BestKeeper, was used to generate a comprehensive stability ranking for the candidate RGs. The RefFinder analysis confirmed that recA was the most suitable RG across all individual and combined stress conditions (Table 2; Figure 5d), consistent with the findings obtained from BestKeeper, geNorm, and NormFinder analyses. In addition, recA, pdp, and gyrA exhibited narrow Ct value ranges across all tested conditions (Figure 3), further supporting their relative stability. Gene expression stability was thoroughly evaluated by combining results from the BestKeeper, geNorm, NormFinder, and RefFinder programs (Table 2; Figure 5d). Regardless of variations in salinity, temperature, or pH levels, recA was consistently identified as the most suitable internal control gene for RT-qPCR gene expression analysis in N. thermophilus.

3.8. Validation of the Selected RGs

The proX, opuAC, mnhE, nhaC, trkH, ducA, and pimT genes are critical for glycine betaine synthesis and osmotic regulation under salt-alkali-heat stress conditions. RT-qPCR and ddPCR assays were conducted to assess the expression patterns of the selected target genes under varying salinity, temperature, and pH conditions, in order to validate the suitability of the chosen RGs.
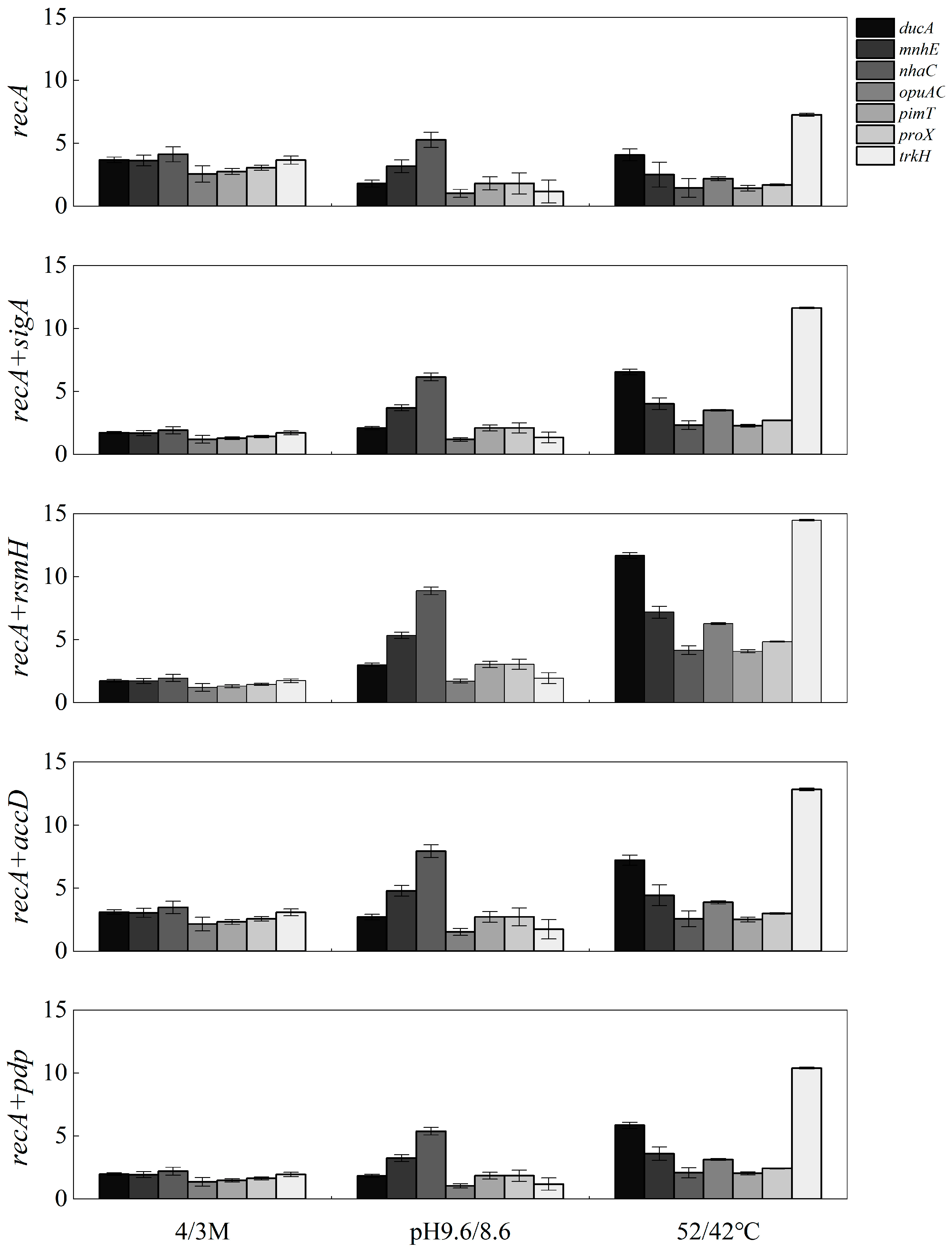
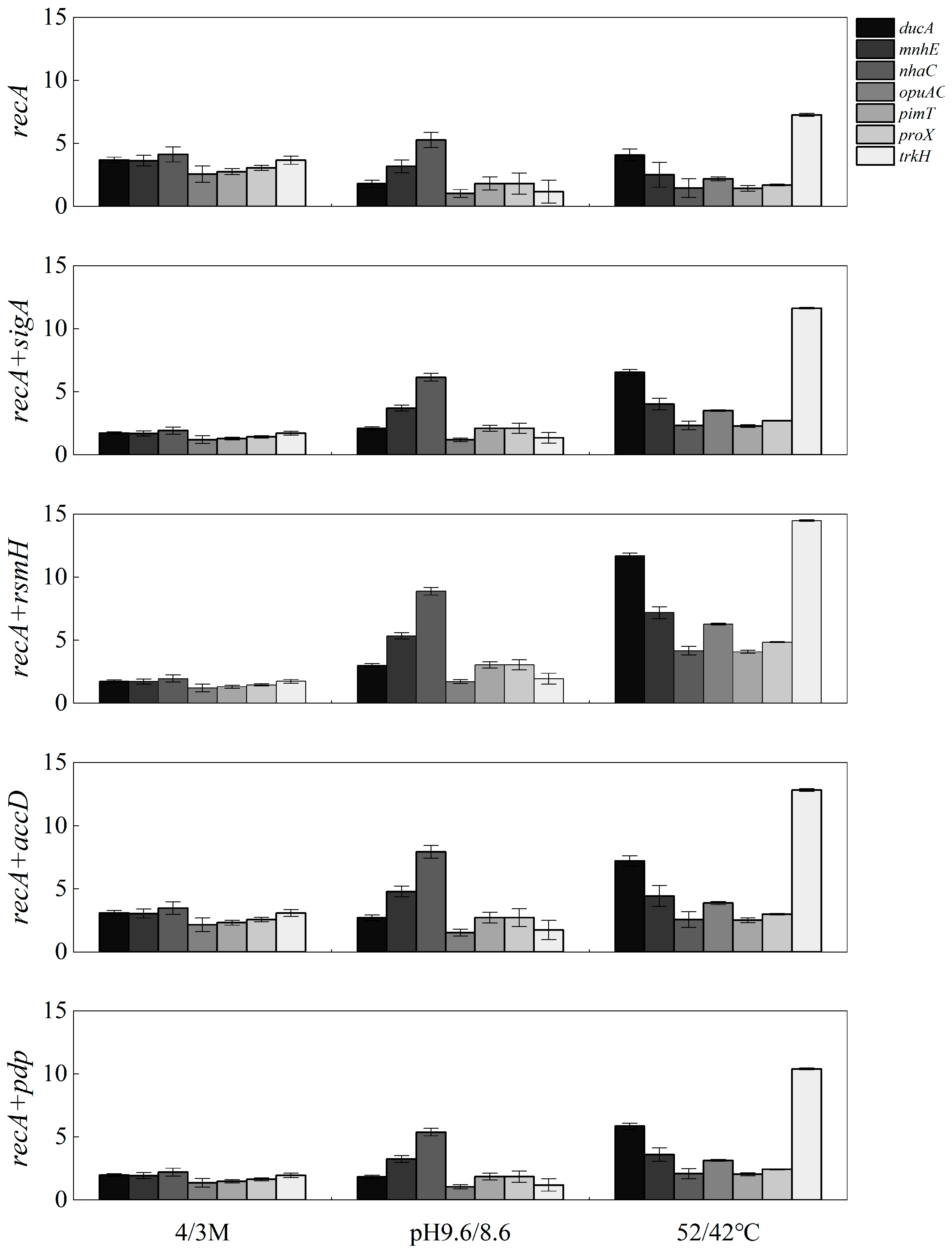
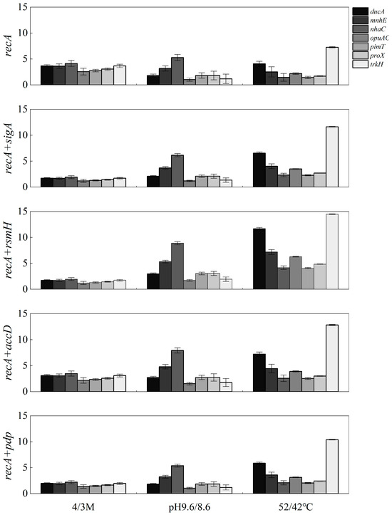
For RT-qPCR analysis, the expression levels of the seven target genes were normalized using recA and four optimal RG combinations recommended by the algorithms: recA and sigA, recA and rsmH, recA and accD, and recA and pdp. The expression trends of all target genes remained consistent across the various normalization approaches, with Ct value variations of less than five cycles (Figure 6). Regardless of whether normalized to recA alone or to the four RG combinations, the overall expression trends of proX, opuAC, mnhE, nhaC, trkH, ducA, and pimT remained consistent. Under each stress condition, normalization with these internal RGs revealed uniform trends of upregulation or downregulation across the target genes, although the magnitude of fold changes varied depending on the normalization strategy (Figure 6). These results suggest that recA is an ideal RG, demonstrating reliable performance across salt, alkaline, and temperature stress conditions.
Figure 6. Expression patterns validated via RT-qPCR of the 7 target genes under different conditions normalized against different RGs. Error bars represent means ± SDs.
For ddPCR validation, gene expression levels were similarly normalized using recA (Figure 7). The expression patterns for most target genes were consistent between RT-qPCR and ddPCR results, although ducA and nhaC exhibited some differences. Specifically, under salt conditions of 3.0 M and 4.0 M Na+, these two genes were upregulated in RT-qPCR but downregulated in ddPCR (Figure 7). Nevertheless, the expression trends of the remaining target genes remained similar regardless of the method used for normalization. These findings confirm that recA, either alone or in combination with other RGs such as sigA and rsmH, acts as a dependable internal control for gene expression normalization and analysis under different salinity, temperature, and pH conditions in N. thermophilus.
Figure 7. Expression patterns validated via RT-qPCR (a) and ddPCR (b) of the 7 target genes under different conditions normalized against recA.

4. Discussion

RT-qPCR remains the gold standard for gene expression analysis due to its sensitivity, specificity, and wide dynamic range [16], particularly for organisms subjected to extreme environmental stresses such as high salinity, alkalinity, and temperature. Accurate normalization of RT-qPCR data depends critically on the selection of stable RGs, making their validation under relevant conditions essential for reliable and reproducible results. However, many RGs traditionally employed under standard laboratory conditions may display variability when tested under polyextreme environments. Addressing the lack of systematic validation under such conditions, this study investigated the expression stability of candidate RGs in N. thermophilus, a halophilic alkalithermophile, to support accurate gene expression analysis in extreme settings.
Among the eight candidate RGs evaluated, recA exhibited the highest stability across combined salt, alkali, and thermal stresses, as confirmed via five independent algorithms. This finding is consistent with its biological role in maintaining genomic integrity under extreme environmental conditions through DNA repair and homologous recombination [17]. Notably, the different analytical tools applied—geNorm, NormFinder, BestKeeper, RefFinder, and the comparative Ct method—each offer complementary evaluation perspectives, thereby strengthening the reliability of the selection process. The consistent identification of recA across these methods highlights its robustness. Its stable expression across a broad range of conditions underscores its suitability as a single RG for RT-qPCR and ddPCR normalization in N. thermophilus.
While recA demonstrated outstanding stability in N. thermophilus under polyextreme conditions, previous investigations in A. halolimnae revealed that recA was not the most stable RG across varying salinities [13]. These findings collectively underscore the necessity of empirical validation of RGs for each specific organism and environmental condition, emphasizing that commonly used housekeeping genes cannot be universally applied without rigorous evaluation. Gene expression patterns are often strain-specific and condition-dependent, necessitating tailored selection strategies even for closely related species.
In addition to using recA alone, combining it with other RGs such as sigA and rsmH further enhanced normalization accuracy. This observation aligns with previous studies highlighting the advantage of multiple RGs for reliable normalization under complex stress conditions [18,19]. Although recA alone proved sufficient in N. thermophilus, RG combinations may provide added robustness when analyzing diverse stress intensities or more subtle shifts in gene expression profiles. Such strategies are particularly valuable when investigating multifactorial stress responses where minor expression changes must be accurately captured.
Beyond RT-qPCR, the reliability of the selected RGs was independently validated using ddPCR, providing an additional layer of verification. DdPCR enables absolute quantification without the need for standard curves and exhibits increased tolerance to PCR inhibitors, rendering it particularly suitable for gene expression studies in environmental extremophiles.
This study represents the first systematic validation of RGs under simultaneous salt, alkali, and heat stress, reflecting conditions closer to the natural habitats of extremophiles. In contrast, previous research has predominantly focused on single-stress conditions [20,21], thereby limiting their applicability to real-world environmental challenges. We found that the recA gene exhibited the highest expression stability across all tested conditions, a result consistently confirmed via five statistical methods: geNorm, NormFinder, BestKeeper, RefFinder, and the comparative Ct method. This stability aligns closely with the critical biological functions of recA in maintaining genomic integrity, DNA repair, and homologous recombination under extreme environments. Additionally, we observed that combining recA with other reference genes such as sigA and rsmH further enhances normalization accuracy, particularly in detecting subtle gene expression changes induced by multifactorial stresses. Our findings thus provide a valuable reference for future gene expression studies in halophilic, alkaliphilic, and thermophilic microorganisms and highlight the importance of designing normalization strategies tailored to extreme conditions.
Nevertheless, RG performance can vary substantially across species, strains, and experimental setups. As evidenced in studies on Vibrio parahaemolyticus and Bradyrhizobium USDA 110T [20,21], RG stability is not universally conserved. Therefore, preliminary validation under specific experimental conditions remains essential. Future research should assess the long-term stability of recA and other RGs under chronic polyextreme stresses and evaluate their applicability across a broader range of bacterial extremophiles, such as Halomonas, Alkalibacterium, Thermus, and Salinivibrio species. In addition, exploring the development of stress-specific RGs tailored to particular stress response pathways could further enhance normalization accuracy. Integrating multi-omics approaches, including transcriptomics and proteomics, may provide a more comprehensive framework for optimizing gene expression studies in diverse extremophilic bacterial systems.

5. Conclusions

This study systematically identified recA as the most stable RG for gene expression normalization in N. thermophilus under combined salt, alkalinity, and heat stresses. RecA alone, or in combination with sigA and rsmH, provided robust normalization across both RT-qPCR and ddPCR platforms. By systematically validating RGs under polyextreme environmental conditions, this work fills a critical gap in the literature and establishes a solid foundation for future gene expression analyses in extremophilic systems. These findings also offer valuable guidance for selecting stable RGs in studies on halophilic, alkaliphilic, and thermophilic bacteria, with potential applications in microbial biotechnology and environmental adaptation research.
While these findings provide a solid foundation for the future, certain limitations should be noted. First, this study was conducted using a single strain, so caution should be exercised when extrapolating these results to other extremophiles or environmental conditions. Second, the stress conditions employed primarily represent long-term exposures and do not account for potential short-term fluctuations or complex multifactorial interactions found in natural environments. Finally, although the stability of candidate reference genes was confirmed via RT-qPCR and ddPCR, incorporation of transcriptome-wide RNA-Seq data would provide a more comprehensive validation. Future studies should expand validation across multiple strains and stress types and integrate multi-omics approaches to further optimize gene expression normalization strategies in extreme environments.

Supplementary Materials

The following supporting information can be downloaded at: https://www.mdpi.com/article/10.3390/microorganisms13081721/s1, Table S1: Protein expressions and primer sequences used in this study.

Author Contributions

Conceptualization, X.T.; methodology, X.T. and Q.X.; software, Y.Z. and B.A.; validation, H.W.; investigation, Q.X.; data curation, X.T.; writing—original draft preparation, X.T.; writing—review and editing, Q.X., Y.Z., B.A., H.W., S.R., X.M. and B.Z.; visualization, X.T.; supervision, S.R., X.M. and B.Z.; funding acquisition, B.Z. All authors have read and agreed to the published version of the manuscript.

Funding

This work was funded by the National Natural Science Foundation of China (grants 31370158 and 31570110) and Central Public-interest Scientific Institution Basal Research Fund for the Graduate School of Chinese Academy of Agricultural Sciences (grants 1610042025005).

Institutional Review Board Statement

Not applicable.

Data Availability Statement

The original contributions presented in this study are included in the article/Supplementary Materials. Further inquiries can be directed to the corresponding author.

Acknowledgments

We thank Shanghai NewCore Biotechnology Co., Ltd. (https://www.bioinformatics.com.cn, last accessed on 10 November 2023) for providing data analysis and visualization support. We also thank Home for Researchers (www.home-for-researchers.com).

Conflicts of Interest

The authors declare that there are no conflicts of interest.

References

  1. Lian, C.; Zhang, B.; Yang, J.; Lan, J.; Yang, H.; Guo, K.; Li, J.; Chen, S. Validation of Suitable Reference Genes by Various Algorithms for Gene Expression Analysis in Isodon Rubescens under Different Abiotic Stresses. Sci. Rep. 2022, 12, 19599. [Google Scholar] [CrossRef] [PubMed]
  2. Umadevi, P.; Suraby, E.J.; Anandaraj, M.; Nepolean, T. Identification of Stable Reference Gene for Transcript Normalization in Black Pepper-Phytophthora Capsici Pathosystem. Physiol. Mol. Biol. Plants 2019, 25, 945–952. [Google Scholar] [CrossRef] [PubMed]
  3. Bustin, S.A.; Beaulieu, J.-F.; Huggett, J.; Jaggi, R.; Kibenge, F.S.; Olsvik, P.A.; Penning, L.C.; Toegel, S. MIQE Précis: Practical Implementation of Minimum Standard Guidelines for Fluorescence-Based Quantitative Real-Time PCR Experiments. BMC Mol. Biol. 2010, 11, 74. [Google Scholar] [CrossRef] [PubMed]
  4. Sinha, R.; Sharma, T.R.; Singh, A.K. Validation of Reference Genes for qRT-PCR Data Normalisation in Lentil (Lens culinaris) under Leaf Developmental Stages and Abiotic Stresses. Physiol. Mol. Biol. Plants 2019, 25, 123–134. [Google Scholar] [CrossRef] [PubMed]
  5. Zhao, G.; Wang, M.; Gan, Y.; Gong, H.; Li, J.; Zheng, X.; Liu, X.; Zhao, S.; Luo, J.; Wu, H. Identification of Suitable Reference Genes for Quantitative Reverse Transcription PCR in Luffa (Luffa cylindrica). Physiol. Mol. Biol. Plants 2022, 28, 737–747. [Google Scholar] [CrossRef] [PubMed]
  6. González-Bermúdez, L.; Anglada, T.; Genescà, A.; Martín, M.; Terradas, M. Identification of Reference Genes for RT-qPCR Data Normalisation in Aging Studies. Sci. Rep. 2019, 9, 13970. [Google Scholar] [CrossRef] [PubMed]
  7. Zhang, Y.; Gong, Z.; Li, L.; Niu, L.; Fu, Y. Evaluation of Endogenous Reference Genes in Bactrocera Cucurbitae by qPCR under Different Conditions. PLoS ONE 2018, 13, e0202829. [Google Scholar] [CrossRef] [PubMed]
  8. Rocha, D.J.P.; Santos, C.S.; Pacheco, L.G.C. Bacterial Reference Genes for Gene Expression Studies by RT-qPCR: Survey and Analysis. Antonie Van Leeuwenhoek 2015, 108, 685–693. [Google Scholar] [CrossRef] [PubMed]
  9. Liu, L.; Ji, Z.; Zhao, K.; Zhao, Y.; Zhang, Y.; Huang, S. Validation of Housekeeping Genes as Internal Controls for Gene Expression Studies on Biofilm Formation in Bacillus velezensis. Appl. Microbiol. Biotechnol. 2022, 106, 2079–2089. [Google Scholar] [CrossRef] [PubMed]
  10. Lin, J.; Redies, C. Histological Evidence: Housekeeping Genes Beta-Actin and GAPDH Are of Limited Value for Normalization of Gene Expression. Dev. Genes Evol. 2012, 222, 369–376. [Google Scholar] [CrossRef] [PubMed]
  11. García-Laviña, C.X.; Castro-Sowinski, S.; Ramón, A. Reference Genes for Real-Time RT-PCR Expression Studies in an Antarctic Pseudomonas Exposed to Different Temperature Conditions. Extremophiles 2019, 23, 625–633. [Google Scholar] [CrossRef] [PubMed]
  12. de Oliveira, P.A.A.; Baboghlian, J.; Ramos, C.O.A.; Mançano, A.S.F.; de Melo Porcari, A.; Girardello, R.; Ferraz, L.F.C. Selection and Validation of Reference Genes Suitable for Gene Expression Analysis by Reverse Transcription Quantitative Real-Time PCR in Acinetobacter Baumannii. Sci. Rep. 2024, 14, 3830. [Google Scholar] [CrossRef] [PubMed]
  13. Xing, Q.; Mesbah, N.M.; Wang, H.; Li, J.; Zhao, B. Quantitative Evaluation of Endogenous Reference Genes for ddPCR under Salt Stress Using a Moderate Halophile. Extremophiles 2023, 27, 8. [Google Scholar] [CrossRef] [PubMed]
  14. Mesbah, N.M.; Hedrick, D.B.; Peacock, A.D.; Rohde, M.; Wiegel, J. Natranaerobius thermophilus Gen. Nov., Sp. Nov., a Halophilic, Alkalithermophilic Bacterium from Soda Lakes of the Wadi An Natrun, Egypt, and Proposal of Natranaerobiaceae Fam. Nov. and Natranaerobiales Ord. Nov. Int. J. Syst. Evol. Microbiol. 2007, 57, 2507–2512. [Google Scholar] [CrossRef] [PubMed]
  15. Xing, Q.; Zhang, S.; Tao, X.; Mesbah, N.M.; Mao, X.; Wang, H.; Wiegel, J.; Zhao, B. The Polyextremophile Natranaerobius Thermophilus Adopts a Dual Adaptive Strategy to Long-Term Salinity Stress, Simultaneously Accumulating Compatible Solutes and K+. Appl. Environ. Microbiol. 2024, 90, e00145-24. [Google Scholar] [CrossRef] [PubMed]
  16. Aviv, G.; Gal-Mor, O. Real-Time Reverse Transcription PCR as a Tool to Study Virulence Gene Regulation in Bacterial Pathogens. In Host-Pathogen Interactions: Methods and Protocols; Medina, C., López-Baena, F.J., Eds.; Springer: New York, NY, USA, 2018; pp. 23–32. ISBN 978-1-4939-7604-1. [Google Scholar]
  17. Shinohara, T.; Ikawa, S.; Iwasaki, W.; Hiraki, T.; Hikima, T.; Mikawa, T.; Arai, N.; Kamiya, N.; Shibata, T. Loop L1 Governs the DNA-Binding Specificity and Order for RecA-Catalyzed Reactions in Homologous Recombination and DNA Repair. Nucleic Acids Res. 2015, 43, 973–986. [Google Scholar] [CrossRef] [PubMed]
  18. Li, X.; Gong, P.; Wang, B.; Wang, C.; Li, M.; Zhang, Y.; Li, X.; Gao, H.; Ju, J.; Zhu, X. Selection and Validation of Experimental Condition-Specific Reference Genes for qRT-PCR in Metopolophium dirhodum (Walker) (Hemiptera: Aphididae). Sci. Rep. 2020, 10, 21951. [Google Scholar] [CrossRef] [PubMed]
  19. Wang, M.; Ren, T.; Marowa, P.; Du, H.; Xu, Z. Identification and Selection of Reference Genes for Gene Expression Analysis by Quantitative Real-Time PCR in Suaeda Glauca’s Response to Salinity. Sci. Rep. 2021, 11, 8569. [Google Scholar] [CrossRef] [PubMed]
  20. Ma, Y.; Sun, X.; Xu, X.; Zhao, Y.; Pan, Y.; Hwang, C.-A.; Wu, V.C.H. Investigation of Reference Genes in Vibrio Parahaemolyticus for Gene Expression Analysis Using Quantitative RT-PCR. PLoS ONE 2015, 10, e0144362. [Google Scholar] [CrossRef] [PubMed]
  21. Shiro, S.; Kuranaga, C.; Yamamoto, A.; Sameshima-Saito, R.; Saeki, Y. Temperature-Dependent Expression of NodC and Community Structure of Soybean-Nodulating Bradyrhizobia. Microbes Environ. 2016, 31, 27–32. [Google Scholar] [CrossRef] [PubMed]
Disclaimer/Publisher’s Note: The statements, opinions and data contained in all publications are solely those of the individual author(s) and contributor(s) and not of MDPI and/or the editor(s). MDPI and/or the editor(s) disclaim responsibility for any injury to people or property resulting from any ideas, methods, instructions or products referred to in the content.

Article Metrics

Citations

Article Access Statistics

Multiple requests from the same IP address are counted as one view.