Legume Overseeding and P Fertilization Increases Microbial Activity and Decreases the Relative Abundance of AM Fungi in Pampas Natural Pastures
Abstract
1. Introduction
2. Materials and Methods
2.1. Sampling Sites Description and Soil Collection
2.2. Vegetation Sampling
2.3. DNA Extraction and Illumina Amplicon Sequencing
2.4. Phospholipid Fatty Acids Profiles Determination
2.5. Extracellular Enzyme Activities
2.6. Microbial Respiration
2.7. Soil Physicochemical Properties
2.8. Statistical Analysis
3. Results
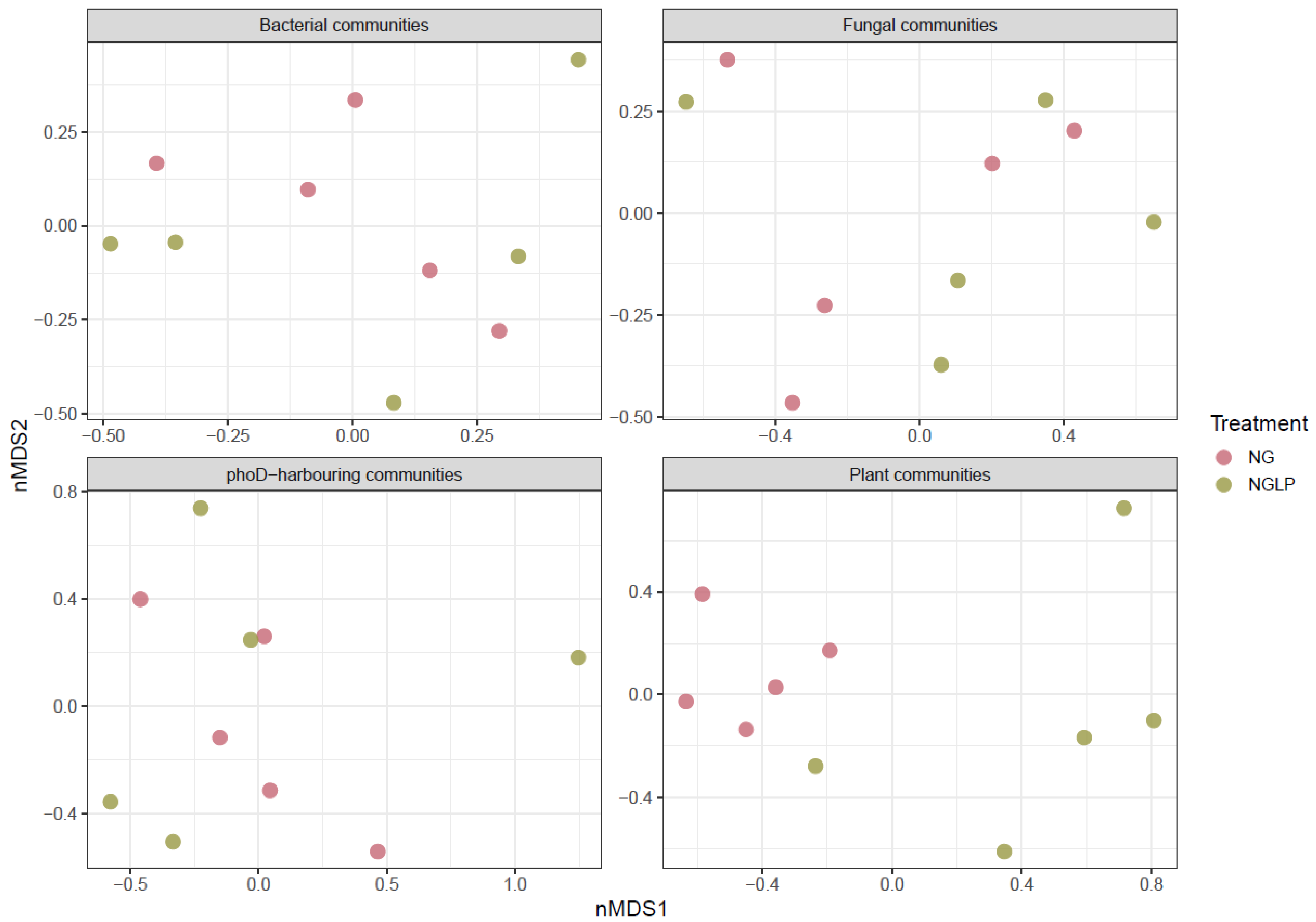
3.1. Effect of LP on Plant Diversity and Composition
3.2. Effect of LP on Soil Microbial Diversity and Composition
3.3. Effect of LP on Soil Microbial Respiration and Extracellular Enzyme Activities
3.4. Relationships between Plant and Microbial Communities
4. Discussion
5. Conclusions
Supplementary Materials
Author Contributions
Funding
Data Availability Statement
Acknowledgments
Conflicts of Interest
References
- Bardgett, R.D.; Bullock, J.M.; Lavorel, S.; Manning, P.; Schaffner, U.; Ostle, N.; Chomel, M.; Durigan, G.; Fry, E.L.; Johnson, D.; et al. Combatting global grassland degradation. Nat. Rev. Earth Environ. 2021, 2, 720–735. [Google Scholar] [CrossRef]
- Zhao, Y.; Liu, Z.; Wu, J. Grassland ecosystem services: A systematic review of research advances and future directions. Landsc. Ecol. 2020, 35, 793–814. [Google Scholar] [CrossRef]
- Modernel, P.; Dogliotti, S.; Alvarez, S.; Corbeels, M.; Picasso, V.; Tittonell, P.; Rossing, W.A.H. Identification of beef production farms in the pampas and campos area that stand out in economic and environmental performance. Ecol. Indic. 2018, 89, 755–770. [Google Scholar] [CrossRef]
- Modernel, P.; Rossing, W.A.H.; Corbeels, M.; Dogliotti, S.; Picasso, V.; Tittonell, P. Land use change and ecosystem service provision in pampas and campos grasslands of southern South America. Environ. Res. Lett. 2016, 11, 113002. [Google Scholar] [CrossRef]
- De Oliveira, T.E.; de Freitas, D.S.; Gianezini, M.; Ruviaro, C.F.; Zago, D.; Mércio, T.Z.; Dias, E.A.; Lampert, V.d.N.; Barcellos, J.O.J. Agricultural land use change in the brazilian pampa biome: The reduction of natural grasslands. Land Use Policy 2017, 63, 394–400. [Google Scholar] [CrossRef]
- Ríos, C.; Lezama, F.; Rama, G.; Baldi, G.; Baeza, S. Natural grassland remnants in dynamic agricultural landscapes: Identifying drivers of fragmentation. Perspect. Ecol. Conserv. 2022, 20, 205–215. [Google Scholar] [CrossRef]
- Kim, S.W.; Less, J.F.; Wang, L.; Yan, T.; Kiron, V.; Kaushik, S.J.; Lei, X.G. Meeting global feed protein demand: Challenge, opportunity, and strategy. Annu. Rev. Anim. Biosci. 2019, 7, 221–243. [Google Scholar] [CrossRef]
- Rama, G.; Oyarzabal, M.; Cardozo, G.; Lezama, F.; Baeza, S. Legume overseeding along with p fertilization increase forage production of temperate natural grasslands. Agronomy 2022, 12, 2507. [Google Scholar] [CrossRef]
- Sanz-Saez, A.; Morales, F.; Arrese-Igor, C.; Aranjuelo, I. P deficiency: A major limiting factor for rhizobial symbiosis. In Legume Nitrogen Fixation in Soils with Low Phosphorus Availability; Sulieman, S., Tran, L.S., Eds.; Springer International Publishing: Cham, Switzerland, 2017; pp. 21–39. [Google Scholar]
- Lüscher, A.; Mueller-Harvey, I.; Soussana, J.F.; Rees, R.M.; Peyraud, J.L. Potential of legume-based grassland–livestock systems in Europe: A review. Grass Forage Sci. 2014, 69, 206–228. [Google Scholar] [CrossRef]
- Jaurena, M.; Lezama, F.; Salvo, L.; Cardozo, G.; Ayala, W.; Terra, J.; Nabinger, C. The dilemma of improving native grasslands by overseeding legumes: Production intensification or diversity conservation. Rangel. Ecol. Manag. 2016, 69, 35–42. [Google Scholar] [CrossRef]
- Van Der Heijden, M.; Bardgett, R.; van Straalen, N. The unseen majority: Soil microbes as drivers of plant diversity and productivity in terrestrial ecosystems. Ecol. Lett. 2008, 11, 296–310. [Google Scholar] [CrossRef]
- Lorite, M.J.; Estrella, M.J.; Escaray, F.J.; Sannazzaro, A.; Videira e Castro, I.M.; Monza, J.; Sanjuán, J.; León-Barrios, M. The rhizobia-Lotus symbioses: Deeply specific and widely diverse. Front. Microbiol. 2018, 9, 2055. [Google Scholar] [CrossRef]
- Ragot, S.A.; Huguenin-Elie, O.; Kertesz, M.A.; Frossard, E.; Bünemann, E.K. Total and active microbial communities and phoD as affected by phosphate depletion and pH in soil. Plant Soil 2016, 408, 15–30. [Google Scholar] [CrossRef]
- Berendsen, R.L.; Pieterse, C.; Bakker, P.A.H.M. The rhizosphere microbiome and plant health. Trends Plant Sci. 2012, 17, 478–486. [Google Scholar] [CrossRef]
- Venturi, V.; Keel, C. Signaling in the rhizosphere. Trends Plant Sci. 2016, 21, 187–198. [Google Scholar] [CrossRef]
- Vives-Peris, V.; de Ollas, C.; Gómez-Cadenas, A.; Pérez-Clemente, R.M. Root exudates: From plant to rhizosphere and beyond. Plant Cell Rep. 2020, 39, 3–17. [Google Scholar] [CrossRef]
- Francioli, D.; van Rijssel, S.Q.; van Ruijven, J.; Termorshuizen, A.J.; Cotton, T.E.A.; Dumbrell, A.J.; Raaijmakers, J.M.; Weigelt, A.; Mommer, L. Plant functional group drives the community structure of saprophytic fungi in a grassland biodiversity experiment. Plant Soil 2021, 461, 91–105. [Google Scholar] [CrossRef]
- Schlatter, D.C.; Bakker, M.G.; Bradeen, J.M.; Kinkel, L.L. Plant community richness and microbial interactions structure bacterial communities in soil. Ecology 2015, 96, 134–142. [Google Scholar] [CrossRef]
- Wemheuer, F.; Wemheuer, B.; Kretzschmar, D.; Pfeiffer, B.; Herzog, S.; Daniel, R.; Vidal, S. Impact of grassland management regimes on bacterial endophyte diversity differs with grass species. Lett. Appl. Microbiol. 2016, 62, 323–329. [Google Scholar] [CrossRef]
- Bondaruk, V.; Lezama, F.; del Pino, A.; Piñeiro, G. Overseeding legumes in natural grasslands: Impacts on root biomass and soil organic matter of commercial farms. Sci. Total Environ. 2020, 743, 140771. [Google Scholar] [CrossRef]
- Walters, W.; Hyde, E.R.; Berg-Lyons, D.; Ackermann, G.; Humphrey, G.; Parada, A.; Gilbert, J.A.; Jansson, J.K.; Caporaso, J.G.; Fuhrman, J.A.; et al. Improved bacterial 16S rRNA gene (V4 and V4-5) and fungal internaltranscribed spacer marker gene primers for microbial community surveys. mSystems 2015, 1, e00009-15. [Google Scholar] [CrossRef] [PubMed]
- Ragot, S.A.; Kertesz, M.A.; Bünemann, E.K. phoD alkaline phosphatase gene diversity in soil. Appl. Environ. Microbiol. 2015, 81, 7281–7289. [Google Scholar] [CrossRef] [PubMed]
- Andrews, S. FastQC: A Quality Control Tool for High Throughput Sequence Data. Available online: http://www.bioinformatics.babraham.ac.uk/projects/fastqc/ (accessed on 4 October 2022).
- Callahan, B.J.; McMurdie, P.J.; Rosen, M.J.; Han, A.W.; Johnson, A.J.A.; Holmes, S.P. DADA2: High-resolution sample inference from Illumina amplicon data. Nat. Methods 2016, 13, 581–583. [Google Scholar] [CrossRef] [PubMed]
- Fu, L.; Niu, B.; Zhu, Z.; Wu, S.; Li, W. CD-HIT: Accelerated for clustering the next-generation sequencing data. Bioinformatics 2012, 28, 3150–3152. [Google Scholar] [CrossRef]
- McMurdie, P.J.; Holmes, S. Phyloseq: An R package for reproducible interactive analysis and graphics of microbiome census data. PLoS ONE 2013, 8, e61217. [Google Scholar] [CrossRef]
- Liu, C.; Cui, Y.; Li, X.; Yao, M. Microeco: An R package for data mining in microbial community ecology. FEMS Microbiol. Ecol. 2021, 97, fiaa255. [Google Scholar] [CrossRef]
- Tools for Microbiome Analysis in, R. 2017. Available online: https://microbiome.github.io/tutorials/ (accessed on 6 September 2022).
- Louca, S.; Parfrey, L.W.; Doebeli, M. Decoupling function and taxonomy in the global ocean microbiome. Science 2016, 353, 1272–1277. [Google Scholar] [CrossRef]
- Nguyen, N.H.; Song, Z.; Bates, S.T.; Branco, S.; Tedersoo, L.; Menke, J.; Schilling, J.S.; Kennedy, P.G. FUNGuild: An open annotation tool for parsing fungal community datasets by ecological guild. Fungal Ecol. 2016, 20, 241–248. [Google Scholar] [CrossRef]
- Buyer, J.S.; Sasser, M. High throughput phospholipid fatty acid analysis of soils. Appl. Soil Ecol. 2012, 61, 127–130. [Google Scholar] [CrossRef]
- Frostegård, A.; Bååth, E. The use of phospholipid fatty acid analysis to estimate bacterial and fungal biomass in soil. Biol. Fertil. Soils 1996, 22, 59–65. [Google Scholar] [CrossRef]
- Willers, C.; Jansen van Rensburg, P.J.; Claassens, S. Phospholipid fatty acid profiling of microbial communities—A review of interpretations and recent applications. J. Appl. Microbiol. 2015, 119, 1207–1218. [Google Scholar] [CrossRef]
- Grogan, D.W.; Cronan, J.E., Jr. Cyclopropane ring formation in membrane lipids of bacteria. Microbiol. Mol. Biol. Rev. 1997, 61, 429–441. [Google Scholar] [CrossRef]
- Bell, C.W.; Fricks, B.E.; Rocca, J.D.; Steinweg, J.M.; McMahon, S.K.; Wallenstein, M.D. High-throughput fluorometric measurement of potential soil extracellular enzyme activities. JoVE 2013, e50961. [Google Scholar] [CrossRef]
- Campbell, C.D.; Chapman, S.J.; Cameron, C.M.; Davidson, M.S.; Potts, J.M. A rapid microtiter plate method to measure carbon dioxide evolved from carbon substrate amendments so as to determine the physiological profiles of soil microbial communities by using whole soil. Appl. Environ. Microbiol. 2003, 69, 3593–3599. [Google Scholar] [CrossRef]
- Bray, R.H.; Kurtz, L.T. Determination of total, organic, and available forms of phosphorus in soils. Soil Sci. 1945, 59, 39–46. [Google Scholar] [CrossRef]
- McLean, E.O. Aluminum. In Methods of Soil Analysis: Part 2 Chemical and Microbiological Properties; Norman, A.G., Ed.; American Society of Agronomy: Madison, WI, USA, 1965; pp. 978–998. [Google Scholar]
- Nelson, D.W.; Sommers, L.E. Total carbon, organic carbon, and organic matter. In Methods of Soil Analysis: Part 3 Chemical Methods; Page, A.L., Helmke, P.A., Norman, A.G., Eds.; American Society of Agronomy: Madison, WI, USA, 1996; pp. 961–1100. [Google Scholar]
- Isaac, R.A.; Kerber, J.D. Atomic absorption and flame photometry: Techniques and uses in soil, plant, and water analysis. In Instrumental Methods for Analysis of Soil and Plant Tissues; Walsh, L.M., Ed.; Soil Science Society of America: Madison, WI, USA, 1971; pp. 17–37. [Google Scholar]
- R Core Team. R: A Language and Environment for Statistical Computing; R Foundation for Statistical Computing: Vienna, Austria, 2022; Available online: https://www.R-project.org/ (accessed on 6 September 2022).
- Oksanen, J.; Blanchet, F.G.; Friendly, M.; Kindt, R.; Legendre, P.; McGlinn, D.; O’Hara, R.B.; Solymos, P.; Stevens, M.H.M.; Szoecs, E.; et al. Vegan: Community Ecology Package. 2022. Available online: https://CRAN.R-project.org/package=vegan (accessed on 29 September 2022).
- Joergensen, R.G. Phospholipid fatty acids in soil—Drawbacks and future prospects. Biol. Fertil. Soils 2022, 58, 1–6. [Google Scholar] [CrossRef]
- Pañella, P.G.; Guido, A.; Jaurena, M.; Cardozo, G.; Lezama, F. Fertilization and overseeding legumes on native grasslands leads to a hardly reversible degraded state. Appl. Veg. Sci. 2022, 25, e12693. [Google Scholar] [CrossRef]
- Zhou, Z.; Wang, C.; Luo, Y. Meta-analysis of the impacts of global change factors on soil microbial diversity and functionality. Nat. Commun. 2020, 11, 3072. [Google Scholar] [CrossRef]
- Hejda, M.; Pyšek, P.; Jarošík, V. Impact of invasive plants on the species richness, diversity and composition of invaded communities. J. Ecol. 2009, 97, 393–403. [Google Scholar] [CrossRef]
- Eskelinen, A.; Harpole, W.S.; Jessen, M.-T.; Virtanen, R.; Hautier, Y. Light competition drives herbivore and nutrient effects on plant diversity. Nature 2022, 611, 301–305. [Google Scholar] [CrossRef]
- Barker, W.; Comita, L.S.; Wright, S.J.; Phillips, O.L.; Sedio, B.E.; Batterman, S.A. Widespread herbivory cost in tropical nitrogen-fixing tree species. Nature 2022, 612, 483–487. [Google Scholar] [CrossRef] [PubMed]
- Hector, A.; Schmid, B.; Beierkuhnlein, C.; Caldeira, M.C.; Diemer, M.; Dimitrakopoulos, P.G.; Finn, J.A.; Freitas, H.; Giller, P.S.; Good, J. Plant diversity and productivity experiments in European grasslands. Science 1999, 286, 1123–1127. [Google Scholar] [CrossRef] [PubMed]
- Yan, H.; Gu, S.; Li, S.; Shen, W.; Zhou, X.; Yu, H.; Ma, K.; Zhao, Y.; Wang, Y.; Zheng, H.; et al. Grass-legume mixtures enhance forage production via the bacterial community. Agric. Ecosyst. Environ. 2022, 338, 108087. [Google Scholar] [CrossRef]
- Grace, J.B.; Michael Anderson, T.; Smith, M.D.; Seabloom, E.; Andelman, S.J.; Meche, G.; Weiher, E.; Allain, L.K.; Jutila, H.; Sankaran, M.; et al. Does species diversity limit productivity in natural grassland communities? Ecol. Lett. 2007, 10, 680–689. [Google Scholar] [CrossRef] [PubMed]
- Prober, S.M.; Leff, J.W.; Bates, S.T.; Borer, E.T.; Firn, J.; Harpole, W.S.; Lind, E.M.; Seabloom, E.W.; Adler, P.B.; Bakker, J.D. Plant diversity predicts beta but not alpha diversity of soil microbes across grasslands worldwide. Ecol. Lett. 2015, 18, 85–95. [Google Scholar] [CrossRef]
- Yuan, X.; Knelman, J.E.; Gasarch, E.; Wang, D.; Nemergut, D.R.; Seastedt, T.R. Plant community and soil chemistry responses to long-term nitrogen inputs drive changes in alpine bacterial communities. Ecology 2016, 97, 1543–1554. [Google Scholar] [CrossRef]
- Piper, C.L.; Siciliano, S.D.; Winsley, T.; Lamb, E.G. Smooth brome invasion increases rare soil bacterial species prevalence, bacterial species richness and evenness. J. Ecol. 2015, 103, 386–396. [Google Scholar] [CrossRef]
- Qin, C.; Zhu, K.; Chiariello, N.R.; Field, C.B.; Peay, K.G. Fire history and plant community composition outweigh decadal multi-factor global change as drivers of microbial composition in an annual grassland. J. Ecol. 2020, 108, 611–625. [Google Scholar] [CrossRef]
- Fox, A.; Widmer, F.; Barreiro, A.; Jongen, M.; Musyoki, M.; Vieira, Â.; Zimmermann, J.; Cruz, C.; Dimitrova-Mårtensson, L.M.; Rasche, F.; et al. Small-scale agricultural grassland management can affect soil fungal community structure as much as continental scale geographic patterns. FEMS Microbiol. Ecol. 2021, 97, 1–17. [Google Scholar] [CrossRef]
- Barreiro, A.; Fox, A.; Jongen, M.; Melo, J.; Musyoki, M.; Vieira, A.; Zimmermann, J.; Carlsson, G.; Cruz, C.; Lüscher, A.; et al. Soil bacteria respond to regional edapho-climatic conditions while soil fungi respond to management intensity in grasslands along a European transect. App. Soil Ecol. 2022, 170, 104264. [Google Scholar] [CrossRef]
- Sikorski, J.; Baumgartner, V.; Birkhofer, K.; Boeddinghaus, R.S.; Bunk, B.; Fischer, M.; Fösel, B.U.; Friedrich, M.W.; Göker, M.; Hölzel, N.; et al. The evolution of ecological diversity in Acidobacteria. Front. Microbiol. 2022, 13, 1–18. [Google Scholar] [CrossRef]
- Naether, A.; Foesel, B.U.; Naegele, V.; Wüst, P.K.; Weinert, J.; Bonkowski, M.; Alt, F.; Oelmann, Y.; Polle, A.; Lohaus, G.; et al. Environmental factors affect acidobacterial communities below the subgroup level in grassland and forest soils. Appl. Environ. Microbiol. 2012, 78, 7398–7406. [Google Scholar] [CrossRef]
- Nacke, H.; Thürmer, A.; Wollherr, A.; Will, C.; Hodac, L.; Herold, N.; Schöning, I.; Schrumpf, M.; Daniel, R. Pyrosequencing-based assessment of bacterial community structure along different management types in German forest and grassland soils. PLoS ONE 2011, 6, e17000. [Google Scholar] [CrossRef]
- Kalam, S.; Basu, A.; Ahmad, I.; Sayyed, R.Z.; El-Enshasy, H.A.; Dailin, D.J.; Suriani, N.L. Recent understanding of soil Acidobacteria and their ecological significance: A critical review. Front. Microbiol. 2020, 11, 580024. [Google Scholar] [CrossRef]
- Willms, I.M.; Bolz, S.H.; Yuan, J.; Krafft, L.; Schneider, D.; Schöning, I.; Schrumpf, M.; Nacke, H. The ubiquitous soil verrucomicrobial clade ‘Candidatus Udaeobacter’ shows preferences for acidic pH. Environ. Microbiol. Rep. 2021, 13, 878–883. [Google Scholar] [CrossRef]
- Tecon, R.; Or, D. Biophysical processes supporting the diversity of microbial life in soil. FEMS Microbiol. Rev. 2017, 41, 599–623. [Google Scholar] [CrossRef]
- Gebauer, L.; Breitkreuz, C.; Heintz-Buschart, A.; Reitz, T.; Buscot, F.; Tarkka, M.; Bouffaud, M.L. Water deficit history selects plant beneficial soil bacteria differently under conventional and organic farming. Front. Microbiol. 2022, 13, 824437. [Google Scholar] [CrossRef]
- De Vries, F.T.; Hoffland, E.; van Eekeren, N.; Brussaard, L.; Bloem, J. Fungal/Bacterial ratios in grasslands with contrasting nitrogen management. Soil Biol. Biochem. 2006, 38, 2092–2103. [Google Scholar] [CrossRef]
- Teague, R.; DeLaune, P.B.; Dowhower, S.L. Impacts of over-seeding bermudagrass pasture with multispecies cover crops on soil water availability, microbiology, and nutrient status in North Texas. Agric. Ecosyst. Environ. 2019, 273, 117–129. [Google Scholar] [CrossRef]
- Ullah, M.R.; Carrillo, Y.; Dijkstra, F.A. Relative contributions of fungi and bacteria to litter decomposition under low and high soil moisture in an Australian grassland. Appl. Soil Ecol. 2023, 182, 104737. [Google Scholar] [CrossRef]
- Chen, Y.L.; Xu, T.L.; Veresoglou, S.D.; Hu, H.W.; Hao, Z.P.; Hu, Y.J.; Liu, L.; Deng, Y.; Rillig, M.C.; Chen, B.D. Plant diversity represents the prevalent determinant of soil fungal community structure across temperate grasslands in northern China. Soil Biol. Biochem. 2017, 110, 12–21. [Google Scholar] [CrossRef]
- Schmid, M.W.; van Moorsel, S.J.; Hahl, T.; De Luca, E.; De Deyn, G.B.; Wagg, C.; Niklaus, P.A.; Schmid, B. Effects of plant community history, soil legacy and plant diversity on soil microbial communities. J. Ecol. 2021, 109, 3007–3023. [Google Scholar] [CrossRef]
- Wang, Q.; Ma, M.; Jiang, X.; Guan, D.; Wei, D.; Cao, F.; Kang, Y.; Chu, C.; Wu, S.; Li, J. Influence of 37 years of nitrogen and phosphorus fertilization on composition of rhizosphere arbuscular mycorrhizal fungi communities in black soil of northeast China. Front. Microbiol. 2020, 11, 539669. [Google Scholar] [CrossRef] [PubMed]
- Camenzind, T.; Hempel, S.; Homeier, J.; Horn, S.; Velescu, A.; Wilcke, W.; Rillig, M.C. Nitrogen and phosphorus additions impact arbuscular mycorrhizal abundance and molecular diversity in a tropical montane forest. Glob. Chang. Biol. 2014, 20, 3646–3659. [Google Scholar] [CrossRef] [PubMed]
- García, S.; Pezzani, F.; Rodríguez-Blanco, A. Long-term phosphorus fertilization effects on arbuscular mycorrhizal fungal diversity in Uruguayan grasses. J. Soil Sci. Plant Nutr. 2017, 17, 1013–1027. [Google Scholar] [CrossRef]
- Orchard, S.; Hilton, S.; Bending, G.D.; Dickie, I.A.; Standish, R.J.; Gleeson, D.B.; Jeffery, R.P.; Powell, J.R.; Walker, C.; Bass, D.; et al. Fine endophytes (Glomus tenue) are related to Mucoromycotina, not Glomeromycota. New Phytol. 2017, 213, 481–486. [Google Scholar] [CrossRef]
- Yang, Y.; Liang, C.; Wang, Y.; Cheng, H.; An, S.; Chang, S.X. Soil extracellular enzyme stoichiometry reflects the shift from P- to N-limitation of microorganisms with grassland restoration. Soil Biol. Biochem. 2020, 149, 107928. [Google Scholar] [CrossRef]
- Sinsabaugh, R.L.; Hill, B.H.; Follstad Shah, J.J. Ecoenzymatic stoichiometry of microbial organic nutrient acquisition in soil and sediment. Nature 2009, 462, 795–798. [Google Scholar] [CrossRef]
- Cenini, V.L.; Fornara, D.A.; McMullan, G.; Ternan, N.; Carolan, R.; Crawley, M.J.; Clement, J.-C.; Lavorel, S. Linkages between extracellular enzyme activities and the carbon and nitrogen content of grassland soils. Soil Biol. Biochem. 2016, 96, 198–206. [Google Scholar] [CrossRef]
- Hernández, D.L.; Hobbie, S.E. The effects of substrate composition, quantity, and diversity on microbial activity. Plant Soil 2010, 335, 397–411. [Google Scholar] [CrossRef]
- Soong, J.L.; Fuchslueger, L.; Marañon-Jimenez, S.; Torn, M.S.; Janssens, I.A.; Penuelas, J.; Richter, A. Microbial carbon limitation: The need for integrating microorganisms into our understanding of ecosystem carbon cycling. Glob. Chang. Biol. 2020, 26, 1953–1961. [Google Scholar] [CrossRef]
- Liu, Z.; Li, J.; Bayaerta; Niu, K. Biodiversity in mosaic communities: Soil microbial diversity associates with plant functional groups relating to soil available phosphorus in Tibetan alpine meadow. Eur. J. Soil Biol. 2023, 116, 103479. [Google Scholar] [CrossRef]
- Sinsabaugh, R.L.; Lauber, C.L.; Weintraub, M.N.; Ahmed, B.; Allison, S.D.; Crenshaw, C.; Contosta, A.R.; Cusack, D.; Frey, S.; Gallo, M.E. Stoichiometry of soil enzyme activity at global scale. Ecol. Lett. 2008, 11, 1252–1264. [Google Scholar] [CrossRef]
- Poeplau, C.; Zopf, D.; Greiner, B.; Geerts, R.; Korvaar, H.; Thumm, U.; Don, A.; Heidkamp, A.; Flessa, H. Why does mineral fertilization increase soil carbon stocks in temperate grasslands? Agric. Ecosyst. Environ. 2018, 265, 144–155. [Google Scholar] [CrossRef]
- Raiesi, F.; Beheshti, A. Soil specific enzyme activity shows more clearly soil responses to paddy rice cultivation than absolute enzyme activity in primary forests of northwest Iran. Appl. Soil Ecol. 2014, 75, 63–70. [Google Scholar] [CrossRef]
- Mencel, J.; Mocek-Płóciniak, A.; Kryszak, A. Soil microbial community and enzymatic activity of grasslands under different use practices: A review. Agronomy 2022, 12, 1136. [Google Scholar] [CrossRef]
- Bossio, D.A.; Scow, K.M. Impacts of carbon and flooding on soil microbial communities: Phospholipid fatty acid profiles and substrate utilization patterns. Microb. Ecol. 1998, 35, 265–278. [Google Scholar] [CrossRef]
- Fierer, N.; Schimel, J.P.; Holden, P.A. Variations in microbial community composition through two soil depth profiles. Soil Biol. Biochem. 2003, 35, 167–176. [Google Scholar] [CrossRef]

| Plant Community | Observed N | Shannon | Simpson |
|---|---|---|---|
| NG | 57.6 (3.36) | 2.84 (0.173) | 0.898 (0.0266) |
| NGLP | 45.4 (13.8) | 2.52 (0.205) | 0.875 (0.01) |
| Bacterial community | |||
| NG | 3278.0 (653.6) | 7.18 (0.247) | 0.998 (8.62 × 10−4) |
| NGLP | 3511.8 (734.5) | 7.22 (0.281) | 0.997(1.69 × 10−3) |
| Fungal community | |||
| NG | 597.2 (42.8) | 4.78 (0.444) | 0.967 (0.0251) |
| NGLP | 641.0 (55.3) | 4.88 (0.342) | 0.969 (0.0161) |
| phoD community | |||
| NG | 38.8 (5.1) | 2.83 (0.164) | 0.890 (0.012) |
| NGLP | 24.8 (8.9) | 2.46 (0.408) | 0.864 (0.052) |
| Biomass | Gram Negatives | Gram Positives | Actinobacteria | Fungi | AM Fungi | Fungi/ Bacteria | Gram+/Gram- | |
|---|---|---|---|---|---|---|---|---|
| NG | 123.0 (27.2) | 0.730 (0.0143) | 0.647 (0.0121) | 0.365 (0.0119) | 0.146 (0.0323) | 0.132 (0.0153) ** | 4.92 (1.88) * | 96.9 (3.54) |
| NGLP | 121.0 (10.4) | 0.740 (0.0146) | 0.643 (0.0119) | 0.366 (0.00791) | 0.124 (0.0219) | 0.111 (0.0241) ** | 3.49 (1.23) * | 97.8 (2.96) |
| AG | BG | CB | XYL | NAG | LAP | PHO | RESP | CE | NE | |
| NG | 4.51 (1.53) | 18.04 ** (3.18) | 4.80 (2.23) | 7.41 (2.72) | 23.51 * (6.15) | 14.27 (1.15) | 129.09 (19.67) | 0.69 (0.11) | 34.76 (9.00) | 37.78 * (7.19) |
| NGLP | 5.45 (2.42) | 25.85 ** (1.93) | 7.33 (1.42) | 10.65 (2.92) | 31.98 * (4.71) | 15.35 (1.58) | 152.55 (21.88) | 0.57 (0.11) | 49.28 (6.58) | 47.33 * (4.57) |
| NG 1 | 0.04 (0.01) | 0.15 ** (0.03) | 0.04 (0.02) | 0.06 (0.03) | 0.19 ** (0.04) | 0.12 (0.02) | 1.09 ** (0.28) | |||
| NGLP 1 | 0.04 (0.02) | 0.22 ** (0.03) | 0.06 (0.01) | 0.09 (0.03) | 0.26 ** (0.02) | 0.13 (0.02) | 1.28 ** (0.27) |
| Plant | Bacteria | Fungi | phoD | |
|---|---|---|---|---|
| Plant | ----- | 0.4313 ** | 0.318 * | 0.1753 |
| Bacteria | ---- | 0.7175 *** | 0.621 *** | |
| Fungi | ---- | 0.5717 *** | ||
| phoD | ---- |
Disclaimer/Publisher’s Note: The statements, opinions and data contained in all publications are solely those of the individual author(s) and contributor(s) and not of MDPI and/or the editor(s). MDPI and/or the editor(s) disclaim responsibility for any injury to people or property resulting from any ideas, methods, instructions or products referred to in the content. |
© 2023 by the authors. Licensee MDPI, Basel, Switzerland. This article is an open access article distributed under the terms and conditions of the Creative Commons Attribution (CC BY) license (https://creativecommons.org/licenses/by/4.0/).
Share and Cite
Azziz, G.; Frade, C.; Igual, J.M.; del Pino, A.; Lezama, F.; Valverde, Á. Legume Overseeding and P Fertilization Increases Microbial Activity and Decreases the Relative Abundance of AM Fungi in Pampas Natural Pastures. Microorganisms 2023, 11, 1383. https://doi.org/10.3390/microorganisms11061383
Azziz G, Frade C, Igual JM, del Pino A, Lezama F, Valverde Á. Legume Overseeding and P Fertilization Increases Microbial Activity and Decreases the Relative Abundance of AM Fungi in Pampas Natural Pastures. Microorganisms. 2023; 11(6):1383. https://doi.org/10.3390/microorganisms11061383
Chicago/Turabian StyleAzziz, Gastón, Cristina Frade, José M. Igual, Amabelia del Pino, Felipe Lezama, and Ángel Valverde. 2023. "Legume Overseeding and P Fertilization Increases Microbial Activity and Decreases the Relative Abundance of AM Fungi in Pampas Natural Pastures" Microorganisms 11, no. 6: 1383. https://doi.org/10.3390/microorganisms11061383
APA StyleAzziz, G., Frade, C., Igual, J. M., del Pino, A., Lezama, F., & Valverde, Á. (2023). Legume Overseeding and P Fertilization Increases Microbial Activity and Decreases the Relative Abundance of AM Fungi in Pampas Natural Pastures. Microorganisms, 11(6), 1383. https://doi.org/10.3390/microorganisms11061383

