Abstract
(1) Background: Disinfection of medical devices designed for clinical use associated or not with the growing area of tissue engineering is an urgent need. However, traditional disinfection methods are not always suitable for some biomaterials, especially those sensitive to chemical, thermal, or radiation. Therefore, the objective of this study was to evaluate the minimal concentration of ozone gas (O3) necessary to control and kill a set of sensitive or multi-resistant Gram-positive and Gram-negative bacteria. The cell viability, membrane permeability, and the levels of reactive intracellular oxygen (ROS) species were also investigated; (2) Material and Methods: Four standard strains and a clinical MDR strain were exposed to low doses of ozone at different concentrations and times. Bacterial inactivation (cultivability, membrane damage) was investigated using colony counts, resazurin as a metabolic indicator, and propidium iodide (PI). A fluorescent probe (H2DCFDA) was used for the ROS analyses; (3) Results: No reduction in the count colony was detected after O3 exposure compared to the control group. However, the cell viability of E. coli (30%), P. aeruginosa (25%), and A. baumannii (15%) was reduced considerably. The bacterial membrane of all strains was not affected by O3 but presented a significant increase of ROS in E. coli (90 ± 14%), P. aeruginosa (62.5 ± 19%), and A. baumanni (52.6 ± 5%); (4) Conclusion: Low doses of ozone were able to interfere in the cell viability of most strains studied, and although it does not cause damage to the bacterial membrane, increased levels of reactive ROS are responsible for causing a detrimental effect in the lipids, proteins, and DNA metabolism.
1. Introduction
“Deaf Endemic” is a term used by the World Health Organization (WHO) as a reference to health care-associated infections (HAIs), identified as the most frequent adverse effects during health care provision [1]. HAIs comprise any infection acquired after a patient’s admission to the hospital, which may occur during hospitalization or shortly after discharge, as long as it is related to hospitalization or the procedures performed during the period [2,3].
In hospitals, the surfaces, equipment, and medical devices play an essential role in spreading HAIs, as secondary reservoirs promote cross-contamination [4]. The hands of health professionals correspond to the most common means of transferring pathogens [5]. In intensive care units (ICUs), even after adopting strict cleaning and disinfection protocols, many patients are infected with HAIs [6,7,8]. These infections are more frequent in these units, where outbreaks usually originate [9] since the use of antibiotics is approximately 10 times greater than in general hospital wards [10,11]. In addition, HAIs lead to an increase in deaths (morbidity and mortality), favors the development of resistant pathogens, prolong hospital stay, and, consequently, health costs [12,13,14,15,16,17,18].
The National Health Security Network of the Centers for Disease Control and Prevention (CDC) estimated 687,000 HAIs in U.S. acute care hospitals, causing 72,000 deaths and estimated costs of USD 97–147 billion annually [19,20]. Furthermore, in low and middle income countries, such as Brazil, the frequency of infection acquired in the I.C.U. is at least 2–3 and up to 5 times higher than in high-income countries [21,22], and 5–10 times greater than those acquired in general clinical wards and surgery [23].
In Brazil, a study found an incidence of adverse events of 8.4% in hospitalized patients, with HAI being the second most frequent (20% of cases) after surgical events (24.6%) [24]. A multi-stage survey, carried out in Brazil with a team of trained data collectors, detected an overall prevalence rate of HAI of 10.8% [25]. Another study carried out in Brazil demonstrated the general prevalence of HAIs, which was higher (51.2%) than that reported for the USA (6.1%) and Europe (48.4%) in multicenter surveillance studies [26,27,28], but similar to other Brazilian studies [29,30,31]. In this study, the highest prevalence (78.6%) was observed in a unit located in the northern region of the state, the region with the lowest income [32].
Antimicrobial resistance is one of the most complex health challenges today. Despite warnings from international organizations, the world has long ignored warnings that antibiotics and other drugs are losing their effectiveness after decades of overuse and improper use in human medicine, animal health, and agriculture [33,34]. Common diseases, such as pneumonia, postoperative infections, and diarrhea, are becoming increasingly intractable due to the emergence and spread of drug resistance. Unfortunately, antibiotic consumption increases in some countries, especially in low and middle-income countries [35]. In the past few years, some high-income countries have decreased the consumption of antibiotics, suggesting that the educational/regulatory strategies developed in recent years significantly reduced consumption [36]. However, if no policy change is made, the projection of global antibiotic consumption in 2030 will be up to 200% [35]. One study compared the type of pathogens and the susceptibility of the isolated strains and the use of antibiotics in surgical departments. The study monitored all the patients admitted for one year where the total consumption of antibiotics was found to be 479.18 DDD/1000 patient-days in the surgical sections. The pattern of antibiotic use by class showed that the most frequently prescribed antibiotics in all departments of the hospital were cephalosporins (54.30%), followed by fluoroquinolones (10.99%), penicillin and beta-lactamase inhibitor mixtures (10.76%), aminoglycosides (7.65%), and carbapenems (5.46%). Linezolid, macrolides, and tetracyclines were less frequently prescribed in the whole hospital [37].
The antimicrobial resistance is one of the three most critical problems for human health [38,39], and the most common and severe multidrug-resistant pathogens (MDR) that cause HAIs are Clostridium difficile and the bacteria included in the acronym “E.S.K.A.P.E.” (Enterococcus spp., Staphylococcus aureus, Klebsiella spp., Acinetobacter spp., Pseudomonas aeruginosa, and Enterobacteriaceae) [40]. In addition, many bacteria exhibit antimicrobial resistance and can cause bloodstream infections, urinary tract, severe pneumonia, and surgical site infection [9]. Thus, the only possible defense against the threat of antimicrobial resistance and the possibility of a post-antibiotic era is all stakeholders’ global and coordinated effort to support the development of new antimicrobial drugs, diagnostics, vaccines, and other tools. The hospital environment is an essential reservoir of microorganisms, especially multidrug-resistant ones. Active screening for resistant multidrug strain carriers remains a crucial component of infection control policy in any healthcare setting. Another study analyzed the incidence and pattern of bacterial colonization including MDR. Gram-positive (methicillin-resistant Staphylococcus aureus (MRSA), vancomycin-resistant Enterococcus spp. (VRE)) and Gram-negative (extendedspectrum beta-lactamase producers (ESBL), and carbapenemase-resistant Enterobacteriaceae (CRE)) germs in ICU. Patients upon admission and after 7 days showed bacterial colonization on admission was detected in a quarter of patients, and carbapenemase-producing bacteria were the most common colonizers (21.16%). The 7-day ICU stay also proved to be an increased risk for ESBL and CRE infection [41].
Among the factors that favor the contamination of the health service environment, the hands of health professionals in contact with the surfaces are important to mention as well as maintenance of damp, wet and dusty surfaces, imperfect coatings, and organic matter maintenance [29,42]. The presence of dirt, especially organic matter of human origin, can serve as a substrate for the proliferation of microorganisms or favor the company of vectors, which can passively carry these agents. Hence the importance of cleaning and rapid disinfection of any area with organic matter, regardless of the hospital area [43,44,45,46]. Although effective disinfection of surfaces and the environment is considered one of the primary measures to control the spread of HAIs, hospital surfaces remain neglected reservoirs.
Some traditional disinfecting hospital environments’ apparent lack of effectiveness [47,48] stimulated the search for new decontamination methods that are also “environmentally friendly.” As a result, there has been engagement in using ozone gas as a chemical element for antimicrobial control in several areas [49,50,51,52,53,54] and as a disinfectant [55,56,57,58].
Ozone (O3) is a bioactive oxidizing disinfectant that decomposes into O2 and O1, and the latter molecule is highly reactive, causing the breakdown of bacterial cell walls and changing the function of proteins and carbohydrates [57,58]. It has been reported that O3 can be employed as a bactericidal agent under many forms, such as ozonized oil [59], ozonized water [60], ozonized saline solution [61], ozone associated with other substances [62], and more often, the gaseous O3/O2 mixture [63]. Due to this property, it has a high level of effectiveness in eliminating bacteria, fungi, and molds [64,65], and in inactivating viruses [66,67]. However, the point of ozone in treating microorganisms, especially bacteria and viruses, is related to various factors, i.e., ozone concentration, the temperature of the environment, humidity of the environment, and exposure time [68]. Gaseous and water-based O3, used for disinfection in the food industry and water systems, is currently being studied to interrupt biofilms in periodontics [55,56,57,58]. O3 has a half-life of approximately 20 min in the gaseous phase, which has restricted some applications before low concentration exposures for prolonged periods, with limited effectiveness [69]. However, O3 has already been applied to clean hospital clothing [70], and a recent study demonstrated the eradication of M.R.S.A. in a nurse’s home environment after O3 decontamination [50]. Ozone generated by ozone purifiers in low concentrations is safe when following the manufacturer’s scheme [71]. Gaseous ozone in relatively high concentrations (25 parts per million—ppm) has also been used to inactivate norovirus and bacteria in office and hotel rooms, removing this ozone after using a system purifier [51,52]. In medicine, O3 has already been used in different forms of application (parenteral or local), aiming to combat ischemia, joint diseases, immunosuppression, degenerative diseases, and infections [72,73,74], and for therapeutic purposes [75,76]. However, in high concentrations, it becomes toxic [77]. Thus, different beneficial effects can be obtained if used correctly and controlled.
Therefore, with the knowledge of the emergence of microorganisms resistant to conventional antimicrobials and that the use of O3 is considered an effective disinfectant of low cost, we have determined the minimal concentration of O3 necessary to control and kill a set of Gram-positive and Gram-negative bacteria. Furthermore, we have analyzed cell viability, membrane permeability, intracellular reactive oxygen species (ROS) levels, and ultrastructural bacterial membrane damage in this work.
2. Materials and Methods
2.1. Bacterial Strains
Standard strains (Staphylococcus aureus (ATCC 6538), Salmonella enterica subsp enterica serovar choleraesuis (ATCC 10708), Escherichia coli (ATCC 25922), and Pseudomonas aeruginosa (ATCC 15442) were obtained from the American Type Culture Collection (ATCC) (Plast Labor Ind Com E.H. Lab Ltd., R.J., Brazil). The MDR strain of Acinetobacter baumannii with origin from the local hospital, carrying the blaOXA-23 gene and representing one of the genotypes disseminated in Brazil (ST15/CC15), was also used. This strain was provided by Dr. Maria H. S. Villas-Bôas (National Institute for Quality Control in Health of the Oswaldo Cruz Foundation-INCQS/FIOCRUZ). These bacterial strains were initially cultivated according to the instructions of the ATCC, aliquoted, and stored in cryotubes containing tryptic soy broth (TSB, Difco) with 20% glycerol (v/v) and kept at −20 °C for later use.
2.2. Ozone Generating and Monitoring
An air purifier/sterilizer with O3 (SANITECH O3 PURI-MU, Astech Serv. and Fabrication Ltd., Petropolis, Brazil) with the capacity to treat the room air up to 30 m3 was used. The monitoring and measurement of the environmental concentration of O3 emitted were realized using a portable gas detector (BH-90A, Forensics L.L.C., Los Angeles, CA, USA). This detector monitored combustible and toxic gases using a built-in MCU sensor controller with a range of 0 to 20 ppm with two alarms set at 5 ppm and 10 ppm.
2.3. Inoculation of the Test Surface
The strains were removed from the freezer stock culture for bacterial reactivation, sown in T.S.B., and incubated at 37 °C for 24 h. After the microorganisms were suspended in sterile 0.85% saline and the concentration of 108 CFU ml−1 was determined with a densitometer (Densichek Plus, BioMérieux, Durham, NC, USA). The successive dilutions (104, 103, and 102 CFU ml−1) were made in the brain heart infusion broth (BHI). One hundred microliter aliquots of each bacterial suspension (S. aureus, S. enterica, E. coli, P. aeruginosa, and A. baumannii in different concentrations (104, 103, and 102 CFU ml−1) were plated in triplicate by spread plate on Triptona Soy Agar (TSA; Difco) and incubated at 37 °C for 24 h.
2.4. Ozone Treatment
The inoculated plates containing the different microorganisms were placed on a laboratory bench measuring 2.55 m2 (2.50 m × 0.62 m) equidistant and symmetrically opposed, then opened and exposed to only one SANITECH O3 PURI-MU device (turned on 1 h before starting the experiment and approximately 1.10 m away) for 10 h and 12 h exposure to ozone in a test room measuring about 38 m3 (3.60 m × 3.65 m × 2.90 m), and kept closed, except when measuring and monitoring the environmental O3 concentration. After the exposure time, the plates were closed and incubated at 37 °C for 24 h.
As a positive control of the assay, plates with TSA containing the same bacterial suspensions were used without exposure to O3. These control plates remained at room temperature and were incubated at 37 °C for 24 h together with the plates exposed to O3. A plate containing only TSA was used as a negative control. The test was performed in triplicate. Colony counting was performed only on plates with many colonies from 0 to 300.
2.5. Cell Viability
The cell viability was measured on selected bacterial suspension of 103 CFU ml−1 after 10 h exposure to O3 based on previous results (cell count- CFU ml−1). The entire previous experiment was performed again (at the defined concentration and time), and after 24 h of incubation, three distinct colonies from each plate were inoculated separately in a test tube containing BHI broth (Difco). As a positive control of the assay, we performed the same procedure with the plates that were not exposed to O3, where three distinct colonies of each dish were inoculated separately in a test tube containing BHI broth (Difco). Afterward, 100 μL of the bacterial suspension of each colony was transferred, in triplicate, to the wells of the 96-well microplate, which was incubated at 37 °C for 24 h. Each strain was tested in duplicate and detected bacterial growth by adding 0.02% resazurin (7-hydroxy-phenoxazin-3-one 10-oxide; Sigma-Merck, St Louis, MO, USA) 1 h incubation [78]. Resazurin is a non-toxic, non-fluorescent blue reagent that, after enzymatic reduction, becomes highly fluorescent. This conversion occurs only in viable cells, and as such, the amount of resorufin produced is proportional to the number of viable cells in the sample [79,80,81]. As a negative control, we used BHI broth, and the measured at 590 nm was made on an ELISA plate reader (Flex Station 3, Molecular Devices, San José, CA, USA).
The collected data were analyzed using the program R (version 3.6.0) and R Studio, where the paired t-test was applied to compare the statistical significance between the two samples (with and without treatment with O3) with ≤0.01. Each experiment was repeated three times for each microorganism treated with O3.
2.6. Live/Dead Assay
The effect of ozone on bacteria membrane permeability was measured using fluorescent probes to stain live (Syto9) and dead bacteria with the disrupted membrane (propidium iodide; PI). Briefly, bacteria suspension (103 CFU ml−1) was cultivated in BHI broth for 24 h in 24 well plates in the presence of O3. After exposure, cultures were incubated with 15 µM of P.I. (Sigma–Aldrich, St Louis, MO, USA) and 2 µM of Syto9 (Thermo, Waltham, MA, U.S.A.) for 15 min in the dark. Cells were washed in PBS three times by centrifugation (4000 x g for 5 min). Then cell suspension was smeared onto a glass slide and analyzed on an Axio Imager M2 microscope (Carl Zeiss do Brazil Ltd.a, São Paulo, SP, Brazil). Fluorescence was captured of live/dead cells and differential interference contrast (D.I.C.) images for each field of view from multiple areas for analysis. Quantification was performed using the Knime workflow of different bacteria colonies [82].
2.7. Measurement of Reactive Oxygen Species (ROS) Levels
Intracellular ROS levels were measured in O3 treated and not treated bacteria (A. baumannii MDR, E. coli (ATCC 25922), and P. aeruginosa (ATCC 15442). Bacteria suspension in B.H.I. (103 CFU ml−1) was cultivated in plates of 24 wells for 10 h in the presence of O3. The bacteria were incubated for 30 min in H2O2 (1% v/v) as positive controls. After incubation, bacteria were loaded with 20 µM H2DCFDA for 45 min. The fluorescence signal, generated by the probe’s oxidation by intracellular ROS, was measured using 485/535 nm excitation/emission wavelengths with a SpectraMax M2 microplate reader (Molecular Devices, CA, USA) [83].
Each experiment was repeated three times for each microorganism treated with O3. The paired t-test was applied to compare the statistical significance between the two parts (with and without treatment with O3). Differences were determined to be significant if p ≤ 0.05.
2.8. Scanning Electron Microscopy (SEM)
Morphological changes in the bacteria species were visualized using SEM. For analysis, control cells or O3 treatment were fixed for 1 h with 2.5% glutaraldehyde in 0.1 M cacodylate buffer. After fixation, the cells were washed three times in PBS for 5 min, post-fixed for 15 min in 1% osmium tetroxide (OsO4), and rewashed three times in PBS for 5 min. Next, the samples were dehydrated in an ascending series of ethanol (7.5, 15, 30, 50, 70, 90, and 100% ethanol) for 15 min each step, critical point dried with CO2, sputter-coated with a 15-nm thick layer of gold and examined in a Jeol JSM 6390 (Tokyo, Japan) scanning electron microscope.
3. Results
3.1. Monitoring of Ozone Concentration
The monitoring of the O3 concentration in the test room (27 °C) showed that the device’s emission ranged from 0.6 ppm to 2.1 ppm, with the average of all measurements around 1.4 ppm.
3.2. Ozone Treatment
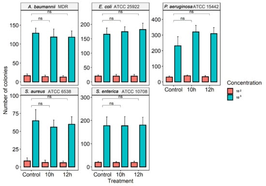
The culture exposure at different times (10 h and 12 h) with a low-level of gaseous O3 did not wholly prevent the growth in vitro of all tested bacterial strains (Figure 1). No reduction in colony count compared to the control group (not treated with O3) was observed as statistically significant. For strains A. baumannii MDR and S. aureus ATCC 6538, the count of bacterial colonies in the control group was higher than those that underwent treatment with O3, but with no statistically significant difference. In the other strains of S. enterica, ATCC 10708, P. aeruginosa ATCC 15442, and E. coli ATCC 25922, O3 did not affect bacterial proliferation compared to the baseline group.
Figure 1.
Counting the number of colonies in different species of bacteria (A. baumannii MDR, S. aureus (ATCC 6538), S. enterica (ATCC 10708), E. coli (ATCC 25922), and P. aeruginosa (ATCC 15442). Quantification of the number of colonies was performed in the control group (without treatment) and in bacterial suspensions (103 and 102 CFU/mL) after exposure to O3 for 10 h and 12 h; ns: statistically not significant using the t-test.
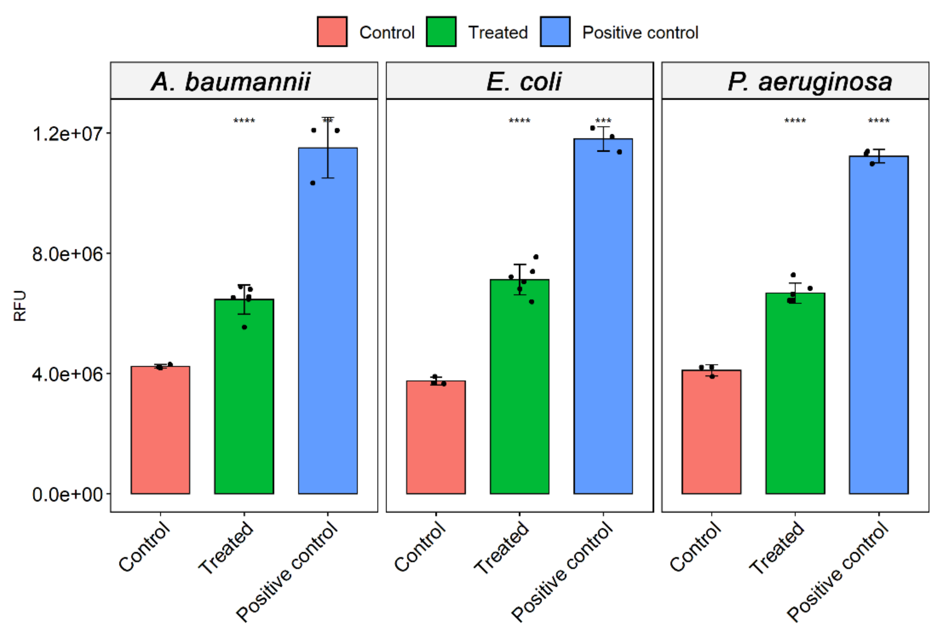
However, as the colony count does not provide information regarding the bacteria’s metabolic, functional, and proliferative capacity, the cell viability assay in solution was investigated using resazurin as a metabolic indicator. In this assay, after O3 treatment, three random colonies were incubated in TSB medium, and after 24 h, the viability of the different species was measured (Figure 2). A significant difference was observed in the viability of A. baumannii, E. coli, and P. aeruginosa treated with O3. Ozone treatment mainly reduced the bacterial growth of E. coli, leading to an inhibition of about 30%, followed by P. aeruginosa (25%) and A. baumannii (15%). After the O3-treatment of S. aureus and S. enterica found no differences in the viability.
Figure 2.
Viability of different bacteria (A. baumannii, E. coli, P. aeruginosa, S. aureus, and S. enterica) after exposure to ozone for 10 h using resazurin as a metabolic indicator. Viable bacteria convert resazurin into fluorescent resorufin, comparison of O3 exposure of different colonies was visualized in a boxplot. Red dots represent the mean of the relative fluorescence from each group. Statistically significant using t-test (** p < 0.01; *** p < 0.001).
3.3. Effect of Ozone
The use of P.I. as a membrane permeability indicator showed that the bacterial membranes of all strains from ATCC were not affected by ozone. No difference statistic was observed compared to untreated control (Figure 3). Representative fluorescence images comparing untreated and Ozone treated groups also showed no difference in the distribution of PI permeable bacteria (Figure 4).
Figure 3.
Quantification of live/dead bacteria after exposure to O3 for 10 h. Percentage of live and dead cells quantified from different microscopic images.
Figure 4.
Fluorescence images of P. aeruginosa (A), E. coli (B), and A. baumannii (C) were exposed to O3 for 10 h and stained with Syto9 (green) and propidium iodide (PI; red). Live bacteria were evidenced using Syto9, while membrane-permeable dead bacteria were stained with PI DI.C: differential interference contrast. Bar = 20 μm.
3.4. ROS Analysis
Since O3 diffuses in solution and decomposes to elemental oxygen and free radicals, we measured the oxidative stress produced by ozone treatment using a fluorescent probe. Results demonstrate a significant increase of ROS in the ozone-treated group for the three pathogenic bacteria. Compared to the untreated control, the increase in ROS was higher in E. coli (90 ± 14%), followed by P. aeruginosa (62.5 ± 19%) and A. baumanni (52.6± 5%) (Figure 5). E. coli is more sensible to oxidizing agents since H2O2 leads to an increase of approximately 215% compared to basal ROS production of the control group. A. baumannii and P. aeruginosa had a similar increase upon H2O2 treatment, 171 and 173%, respectively (Figure 5).
Figure 5.
Measurement of reactive oxygen species (ROS.) induced by O3 on different bacteria after incubation during 10 h. Hydrogen peroxide (1%) was used as a positive control. The data represent the mean and standard deviation of triplicates using different colonies. t-test (***) p < 0.01 and (****) p < 0.001.
3.5. Scanning Electron Microscopy (SEM.)
Scanning electron microscopy was performed to confirm membrane damage to bacterial species. Morphological analysis showed a striking effect of O3 in A. baumannii. Treated bacteria showed many protrusions that resemble membrane blebbing. All bacterial controls showed smooth and homogeneous surfaces. Both E. coli and P. aeruginosa present membrane alterations after O3 treatment. The treatment produced in bacterial membrane wrinkle cells with damaged areas with invagination (Figure 6).
Figure 6.
Morphological analysis of O3 treatment by electron microscopy. A. baumannii (a,b), E. coli (c,d), and P. aeruginosa (e,f) are seen without (a,c,e) and under O3 treatment (b,d,f). After treatment, there are membrane protrusions (arrows) are seen in A. baumannii (b). Note that control cells exhibit a homogeneous surface (a). Both E. coli and P. aeruginosa present surface alterations after treatment (d,f). Observing more wrinkle cells is possible than control cells (c,e), and some damage is verified (arrowhead).
4. Discussion
Antimicrobial resistance is a growing and worrying concern inside and outside the hospital environment. Although several studies have shown that the bactericidal effect of O3 is better with higher concentrations of exposure than lower concentrations [84,85], little is known about its bactericidal effect when used in low concentrations since the results are limited or inconclusive. Therefore, in this study, we have evaluated the antimicrobial efficiency of a low concentration of O3 in five bacteria, measuring the cell viability and cytotoxic effect. Four of these bacterial strains are recommended by the Association of Official Analytical Chemists [86] and the National Institute of Quality Control of Brazil (I.N.C.Q.S.; P.O.P. No. 65.3210.007 [87] and one multidrug-resistant (M.D.R.) A. baumannii, a bacterium commonly present in patients with severe nosocomial infections.
The concentration of O3 produced by an Ozonator depends on the size of the area, equipment capacity, if there are open doors, or if there are materials that react with O3 on the site [87,88].
Major regulatory bodies have issued rules and laws that regulate the maximum number of hours allowed for particular gas concentrations in the workplace. The United States Department of Labor’s Occupational Safety and Health Administration (OSHA) allows maximum exposure of 0.1 ppm of O3 in 8-h work environments [89]. The Environmental Protection Agency (EPA.), through the Code of Federal Regulations (CRF.) Tile 21, allows maximum exposure of 0.05 ppm of gas [90]. In Brazil, safe dosages of O3 in work environments are indicated by the Ministry of Labor, through the Regulatory Norm ((NR) 15, annex 11) [91], which means a maximum exposure of 0.08 ppm (0.16 mg/m3) for working hours of up to 48 h per week. There are factors in the work environment that must be considered, such as ventilation and other elements that act in the destruction of the O3 molecule.
Measurements were carried out to estimate the O3 concentration in ambient air generated by the air purifier/sterilizer with O3, directly on the output grid of the SANITECH O3 PURI-MU device with the emission ranging from 0.6 to 2.1 ppm. The Eco Sensors Division of K.W.J. Engineering Inc, which is the leading designer of gas detection and O3 detection instruments for industrial environments and personal protection, meeting the safety needs of workers in detecting O3 and gas since 1992 [92], determines that the O3 concentration decreases rapidly as the measuring distance from the generator increases. For example, ozone that reads 10 ppm directly in the output grid rarely exceeds 0.1 ppm at 1 m from the generator [93]. Therefore, according to our results, we can presume that at a 1-m distance, the O3 level is approximately 0.006 to 0.021 ppm which is lower than 0.1 ppm, the legally permissible exposure limit set by the Occupational Safety and Health Administration (O.S.H.A.) of safe levels of O3 emission in busy environments ensuring its non-toxicity.
The effectiveness of O3 for disinfecting surfaces and rooms has been examined in several previous studies, and many of them have used low O3 concentrations because of the toxic nature of the gas and its relatively long half-life [69,94,95,96,97]. Nevertheless, low O3 concentrations generally lead to limited or inconclusive results. Despite not obtaining a significant reduction of in vitro bacteria growth, when we investigated its metabolic capacity through resazurin, we found a significant decrease in values for three of the five bacteria studied, showing that even at low concentrations, O3 was able to interfere with cell viability. In addition, we found that O3 presented the highest inhibitory effect on E. coli (30%), followed by P. aeruginosa (25%) and A. baumannii (15%). Among bacteria, E. coli is the most sensitive to O3.
Low doses of O3 can effectively control cryptosporidium and Mycobacterium avium [98]. A study showed that a single topical application by nebulizing a low amount of O3 could completely inhibit the growth of several potentially pathogenic bacterial strains with known resistance to antimicrobial agents [99]. On the contrary, gram-positive cocci (Staphylococcus and Streptococcus) and viruses are more resistant to O3. Although, ozone can sterilize both Gram-positive and Gram-negative bacteria [100]. Ozone is an unstable molecule that rapidly decays to O2 and releases a single oxygen atom. The single oxygen atom reacts with the cell membrane of the bacteria, attacks the cellular components, interrupts the regular cell activity, and then destroys bacteria [100,101,102]. Another study verified the effectiveness of ozone as a terminal disinfectant by evaluating different microorganisms inoculated in stainless steel squares and incubated at various temperatures and relative humidity for up to 4 h. Contaminated yards were set to be identically compared after exposure to O3 (2 ppm/4 h) the survival of these microorganisms. The disclosure of O3 to the dirty surfaces resulted in a reduction in microbial viability that varied depending on the type of organism (7.56 to 2.41 log values), suggesting that, if applied after adequate cleaning, ozone can be used as an effective terminal disinfectant [103]. An in vitro study observed that O3 effectively reduces concentrations of A. baumannii, Clostridium difficile, and methicillin-resistant S. aureus (MRSA) in dry and wet samples, suggesting that it can be used as a disinfectant [52].
Oxidative stress is defined as a disturbance of the prooxidant/antioxidant balance in favor of prooxidants, leading to potential damage to the cell [104]. Excess pro-oxidants result in oxidative stress, damaging cell components such as proteins, lipids, and DNA. oxidation [105,106]. Oxidative stress induces free radicals with highly reactive elements, such as reactive oxygen species (ROS), which can attack biological molecules and lead to death [107]. The O3 is a strong oxidant that generates reactive oxygen species (ROS.) in tissue and causes N.A. damage [108]. In our analysis, the permeability of the bacterial membrane of all strains from ATCC was not significantly affected by ozone, with no difference in the distribution of PI-positive bacteria. However, we observed a significant increase of ROS in the ozone-treated group for E. coli (90 ± 14%), followed by P. aeruginosa (62.5 ± 19%) and A. baumanni (52.6 ± 5%) and certain damage to the membrane observed by SEM.
It is well known that ozone is poisonous; this is an essential factor in air pollution, particularly affecting children; inhalation can damage the lungs with possible serious consequences [109]. However, in common with many other therapies that induce ROS, the outcome of treatment with ozone, at shallow doses, can be beneficial rather than damaging [110,111,112].
Although the microbicide effect of O3 is known, its mechanism of action is nameless. A previous study evaluated the bactericidal effect under low O3 concentration and found that the negative and positive ions generated during exposure induced oxidative stress, including oxidation of amino acids, cell wall reaction [113], and DNA damage [114], causing cell death. It has been hypnotized that the cell lysis depends on the extent of the reaction [113]. The primary cellular targets for O3 are nucleic acids, where damage can range from base lesions to single and double-strand breaks [115]. Lesions can lead to more or less compromising point mutations, whereas massive DNA breakage is lethal if not repaired [116,117,118]. Many other studies provide evidence that the cell envelope is affected during ozonation, probably even before severe DNA damage occurs [119,120,121].
The effectiveness of O3 as a disinfectant varies significantly between different types of bacteria, even at the strain level as shown previously [115,122] and by our analysis. However, its effect depends on several intrinsic factors, such as growth stage, cell envelope, the efficiency of repair mechanisms, and the type of viability indicator used [123,124,125]. Moreover, other extrinsic factors, such as concentration and type of dissolved organic material or the presence of flakes or particles, may reduce O3 stability or may protect microorganisms from its effects, thereby decreasing the disinfection efficiency [126,127,128,129]. Nevertheless, ozone gas has been successfully applied to disinfection viruses on surfaces and aerosols [130,131].
5. Conclusions
This work shows that low ozone doses did not inhibit bacterial growth but may interfere with the cell viability of the three bacterial strains studied. There was no damage to bacterial membranes, but measurement of oxidative stress showed a significant increase in intracellular levels of reactive oxygen species (ROS) that damage lipids, proteins, and DNA. Furthermore, significant morphological changes, such as protrusions resembling membrane blisters and/or invaginations, were observed in E. coli and P. aeruginosa after treatment with O3.
These results are promising and encourage further investigations into using gaseous ozone at low concentrations as a disinfectant or antiseptic, evaluating its bactericidal effect, as it can reduce the transmission of microorganisms and is essential in the maintenance and/or disinfection of health environments.
Author Contributions
Conceptualization, K.R.; formal analysis, K.R., G.C.L., V.M., F.O.C., and J.P.R.S.C.; data curation, M.H.S.V.-B.; writing—review and editing, K.R., S.G.D.-S.; visualization, K.R. and S.G.D.-S.; supervision, K.R.; funding acquisition, S.G.D.-S. All authors have read and agreed to the published version of the manuscript.
Funding
This research was funded by the Carlos Chagas Filho Foundation for Research Support of the State of Rio de Janeiro (FAPERJ no. 110.198-13; 202.841-2018) and the Brazilian Council for Scientific Research (CNPq-no. 467.488.2014-2; 3075732011; 3013322015-0).
Institutional Review Board Statement
Not applicable.
Informed Consent Statement
Not applicable.
Data Availability Statement
The data presented in this study are available on request from the corresponding author.
Acknowledgments
The Electron microscopy platform Rudolf Barth from Oswaldo Cruz Institute/FIOCRUZ. for electron microscopy analysis facilities. K.R. and G.C.L. are Post-doc fellows from CAPES/CDTS and CNPq, respectively. J.P.R.S. is a CAPES/MSci fellow from the Science and Biotechnology Post Graduation program of the Federal Fluminense University.
Conflicts of Interest
The authors declare no conflict of interest.
References
- Coelho, F.; Coelho, M.; Diniz, A.; Vicente, G.; Vieira, C. Velhos Problemas novos desafios. Rev. Technol. Hosp. 2011, 43, 30–32. [Google Scholar]
- Ratti, R.P.; Sousa, C.P. Staphylococcus aureus meticilina resistente MRSA e infecções nosocomiais. Vet. Ciên. Farm. Básica Apl. 2009, 30, 137–143. [Google Scholar]
- Haque, M.; Sartelli, M.; McKimm, J.; Bakar, M.A. Healthcare-associated infections—An overview. Infect. Drug Resist. 2018, 11, 2321–2333. [Google Scholar] [CrossRef]
- Word Health Organization. Report on the Burden of Endemic Health Care-Associated Infection Worldwide. 2011. Available online: https://apps.who.int/iris/handle/10665/80135 (accessed on 14 May 2021).
- Lax, S.; Gilbert, J.A. Hospital-associated microbiota and implications for nosocomial infections. Trends Mol. Med. 2015, 21, 427–432. [Google Scholar] [CrossRef] [PubMed]
- Calfee, D.P. Crisis in hospital-acquired healthcare-associated infections. Annu. Rev. Med. 2011, 63, 359–371. [Google Scholar] [CrossRef] [PubMed]
- Teerawattanapong, N.; Panich, P.; Kulpokin, D.; Ranong, S.N.; Kongpakwattana, K.; Saksinanon, A.; Goh, B.; Lee, L.; Apisarnthanarak, A.; Chaiyakunapruk, N. A systematic review of the burden of multidrug-resistant healthcare-associated infections among intensive care unit patients in Southeast Asia: The rise of multidrug-resistant Acinetobacter baumannii. Infect. Control Hosp. Epidemiol. 2018, 39, 525–533. [Google Scholar] [CrossRef]
- Walter, J.; Haller, S.; Quinten, C.; Kärki, T.; Zacher, B.; Eckmanns, T.; Sin, M.A.; Plachouras, D.; Kinross, P.; Suetens, C.; et al. Healthcare-associated pneumonia in acute care hospitals in European Union/European economic area countries: An analysis of data from a point prevalence survey 2011 to 2012. Eurosurveillance 2018, 23, 1–12. [Google Scholar] [CrossRef] [PubMed]
- Agaba, P.; Tumukunde, J.; Tindimwewa, J.V.B.; Kwizera, A. Nosocomial bacterial infections and their antimicrobial susceptibility patterns among patients in Ugandan intensive care units: A cross-sectional study. BMC Res. Notes 2017, 10, 349. [Google Scholar] [CrossRef]
- Curcio, D.; Alí, A.; Duarte, A.; Pauta, A.D.; Ibáñez-Gúzman, C.; Sang, M.C.; Valencia, E.; Plano, F.; Paredes Oña, F.; Arancibia, F.; et al. Latin American antibiotic use in intensive care unit group. Prescription of antibiotics in intensive care units in Latin America: An observational study. J. Chemother. 2009, 21, 527–534. [Google Scholar] [CrossRef]
- Curcio, D.J. On behalf of the Latin American antibiotic use in intensive care unit group. Antibiotic prescription in intensive care units in Latin America. Rev. Argent. Microbiol. 2011, 43, 203–211. [Google Scholar]
- Monnet, D.L.; Archibald, L.K.; Phillips, L.; Tenover, F.C.; McGowan, J.E., Jr.; Gaynes, R.P. Antimicrobial use and resistance in eight U.S. hospitals: Complexities of analysis and modeling. Intensive care antimicrobial resistance epidemiology project and national N.I.S.S.H. Nosocomial infections surveillance system hospitals. Infect. Control Hosp. Epidemiol. 1998, 19, 388–394. [Google Scholar] [CrossRef]
- Fujimura, S.; Nakano, Y.; Sato, T.; Shirahata, K.; Watanabe, A. Relationship between the usage of carbapenem antibiotics and the incidence of imipenem-resistant Pseudomonas aeruginosa. J. Infect. Chemother. 2007, 13, 147–150. [Google Scholar] [CrossRef]
- Rogues, A.M.; Dumartin, C.; Amadéo, B.; Venier, A.G.; Marty, N.; Parneix, P.; Gachie, J.P. Relationship between rates of antimicrobial consumption and the incidence of antimicrobial resistance in Staphylococcus aureus and Pseudomonas aeruginosa isolates from 47 French hospitals. Infect. Control Hosp. Epidemiol. 2007, 28, 1389–1395. [Google Scholar] [CrossRef]
- Iosifidis, E.; Antachopoulos, C.; Tsivitanidou, M.; Katragkou, A.; Farmaki, E.; Tsiakou, M.; Kyriazi, T.; Sofianou, D.; Roilides, E. Differential correlation between rates of antimicrobial drug consumption and prevalence of antimicrobial resistance in a tertiary care hospital in Greece. Infect. Control Hosp. Epidemiol. 2008, 29, 615–622. [Google Scholar] [CrossRef] [PubMed]
- Sales, V.M.; Oliveira, E.; Célia, R.; Gonçalves, F.R.; Melo, C.C. Análise microbiológica de superfícies inanimadas de uma Unidade de Terapia Intensiva e a segurança do paciente. Rev. Enfer Ref. 2014, 4, 45–53. [Google Scholar] [CrossRef]
- Nogueira, C., Jr.; Padoveze, M.C.; Lacerda, R.A. Governmental surveillance system of healthcare-associated infection in Brazil. Rev. Esc. Enferm. USP 2014, 48, 657–662. [Google Scholar]
- Souza, E.S.; Belei, R.A.; Carrilho, C.M.D.M.; Matsuo, T.; Ogatta, S.F.Y.; Andrade, G.; Perugini, M.R.E.; Pieri, F.M.; Dessunti, E.M.; Kerbauy, G. Mortalidade e riscos associados a infecção relacionada à assistência à saúde. Texto Contexto Enferm. 2015, 24, 220–228. [Google Scholar] [CrossRef]
- Magill, S.S.; Edwards, J.R.; Bamberg, W.; Beldavs, Z.G.; Dumyati, G.; Kainer, M.A.; Lynfield, R.; Maloney, M.; McAllister-Hollod, L.; Nadle, J.; et al. Multistate point-prevalence survey of healthcare-associated infections. N. Engl. J. Med. 2014, 370, 1198–1208. [Google Scholar] [CrossRef] [PubMed]
- Centers for Disease Control and Prevention. Healthcare-Associated Infections-Hospital Prevalence Survey. 2015. Available online: https://www.cdc.gov/hai/index.html (accessed on 18 April 2021).
- World Health Organization. Healthcare-Associated Infections Fact Sheet. 2016. Available online: http://www.who.int/gpsc/country_work/gpsc_ccisc_fact_sheet_en. pdf (accessed on 18 May 2021).
- Rosenthal, V.D.; Al-Abdely, H.M.; El-Kholy, A.A.; AlKhawaja, S.A.A.; Leblebicioglu, H.; Mehta, Y.; Rai, V.; Hung, N.V.; Kanj, S.S.; Salama, M.F. International nosocomial infection control consortium report data summary of 50 countries for 2010–2015: Device-associated module. Am. J. Infect. Control. 2016, 44, 1495–1504. [Google Scholar] [CrossRef]
- Weber, D.J.; Raasch, R.; Rutala, W.A. Nosocomial infections in the I.C.U.: The growing importance of antibiotic-resistant pathogens. Chest 1999, 115, 34S–41S. [Google Scholar] [CrossRef]
- Mendes, W.; Pavão, A.L.B.; Martins, M.; Moura, M.L.O.; Travassos, C. Características de eventos adversos evitáveis em hospitais do Rio de Janeiro. Rev. Assoc. Med. Bras. 2013, 59, 42188. [Google Scholar] [CrossRef] [PubMed][Green Version]
- Fortaleza, C.M.C.B.; Padoveze, M.C.; Kiffer, C.R.V.; Barth, A.L.; Carneiro, I.C.R.S.; Giamberardino, H.I.G.; Rodrigues, J.L.N.; Filho, L.S.; Gonçalves de Mello, M.J.; Severino Pereira, M.; et al. Multi-state survey of healthcare-associated infections in acute care hospitals in Brazil. J. Hosp. Infect. 2017, 96, 139–144. [Google Scholar] [CrossRef]
- Richards, M.J.; Edwards, J.R.; Culver, D.H.; Gaynes, R.P. Nosocomial infections in combined medical-surgical intensive care units in the United States. Infect. Control Hosp. Epidemiol. 2000, 21, 510–515. [Google Scholar] [CrossRef]
- Vincent, J.L.; Rello, J.; Marshall, J.; Silva, E.; Anzueto, A.; Martin, C.D.; Moreno, R.; Lipman, J.; Gomersall, C.; Sakr, Y.; et al. International study of the prevalence and outcomes of infection in intensive care units. JAMA 2009, 302, 2323–2329. [Google Scholar] [CrossRef]
- Blot, S.; Antonelli, M.; Arvaniti, K.; Blot, K.; Creagh-Brown, B.; de Lange, D.; De Waele, J.; Deschepper, M.; Dikmen, Y.; Dimopoulos, G.; et al. Epidemiology of intra-abdominal infection and sepsis in critically ill patients: “AbSeS,” a multinational observational cohort study and E.S.I.C.M. Trials Group Project. Int. Care Med. 2019, 45, 1703–1717. [Google Scholar] [CrossRef]
- Garner, J.S. The hospital infection control practices advisory committee. Guideline for isolation precautions in hospital. Infect. Control Hosp. Epidemiol. 1996, 17, 54–80. [Google Scholar] [CrossRef]
- Lisboa, T.; Faria, M.; Hoher, J.A.; Borges, L.A.A.; Gómez, J.; Schifelbain, L.; Dias, F.S.; Lisboa, J.; Friedman, G. Prevalência de infecção nosocomial em unidades de terapia intensiva do Rio Grande do Sul. Rev. Bras. Ter. Intensiva 2007, 19, 414–420. [Google Scholar] [CrossRef] [PubMed]
- Silva, E.; Junior, L.D.; Fernandes, H.S.; Moreno, R.; Jean-Louis Vincent, J. Prevalence and outcomes of infections in Brazilian I.C.U.s: A sub analysis of EPIC II study. Rev. Bras. Ter. Intensiva 2012, 24, 143–150. [Google Scholar] [CrossRef] [PubMed]
- Braga, I.A.; Campos, P.A.; Gontijo-Filho, P.P.; Ribas, R.M. Multi-hospital point prevalence study of healthcare-associated infections in 28 adult intensive care units in Brazil. J. Hosp. Infect. 2018, 99, 318–324. [Google Scholar] [CrossRef]
- United Nations. Health Agency Steps Up Fight against ‘Invisible Pandemic’ of Antimicrobial Resistance. 2019. Available online: https://news.un.org/en/story/2019/06/1040741 (accessed on 21 May 2021).
- World Health Organization—Antibiotic Resistance. Newsroom. 2020. Available online: https://www.who.int/news-room/fact-sheets/detail/antibioticresis tance (accessed on 21 May 2021).
- Klein, E.Y.; Van Boeckel, T.P.; Martinez, E.M.; Pant, S.; Gandra, S.; Levin, S.A.; Goossens, H.; Laxminarayan, R. Global increase and geographic convergence in antibiotic consumption between 2000 and 2015. Proc. Natl. Acad. Sci. USA 2018, 115, E3463–E3470. [Google Scholar] [CrossRef]
- O’Neill, J. Tackling drug-resistant infections globally: Final report and recommendations. Rev. Antimicrob. Resist. 2016. Available online: https://amr-review.org/sites/default/files/160525_Final paper_with cover.pdf (accessed on 18 October 2021).
- Zaha, D.C.; Bungau, S.; Uivarosan, D.; Tit, D.M.; Maghiar, T.A.; Maghiar, O.; Pantis, C.; Fratila, O.; Rus, M.; Vesa, C.M. Antibiotic Consumption and Microbiological Epidemiology in Surgery Departments: Results from a Single Study Center. Antibiotics 2020, 9, 81. [Google Scholar] [CrossRef] [PubMed]
- Bassetti, M.; Ginocchio, F.; Mikulska, M. New treatment options against gram-negative organisms. Crit. Care 2011, 15, 215. [Google Scholar] [CrossRef] [PubMed]
- World Health Organization. Global Priority List of Antibiotic-Resistant Bacteria to Guide Research Discovery and Development of New Antibiotics 2017. Available online: https://www. who.int/medicines/publications/global-priority-list-antibiotic-resistant-bacteria/en/ (accessed on 21 May 2021).
- Magill, S.S.; O’Leary, E.; Janelle, S.J.; Thompson, D.L.; Dumyati, G.; Nadle, J.; Wilson, L.E.; Kainer, M.A.; Lynfield, R.; Greissman, S.; et al. Changes in prevalence of healthcare-associated infections in U.S. Hospitals. N. Engl. J. Med. 2018, 379, 1732–1744. [Google Scholar] [CrossRef]
- Zaha, D.C.; Kiss, R.; Hegedűs, C.; Gesztelyi, R.; Bombicz, M.; Muresan, M.; Pallag, A.; Zrinyi, M.; Pall, D.; Vesa, C.M.; et al. Recent Advances in Investigation, Prevention, and Management of Healthcare-Associated Infections (HAIs): Resistant Multidrug Strain Colonization and Its Risk Factors in an Intensive Care Unit of a University Hospital. Biomed. Res. Int. 2019, 2019, 2510875. [Google Scholar] [CrossRef]
- Oliveira, A.C. Infecções Hospitalares Epidemiologia Prevenção e Controle; Medsi: Rio de Janeiro, Brazil, 2005. [Google Scholar]
- Pelczar, M.J.; Chan, E.C.S.; Krieg, N.R. Microbiologia Conceitos e Aplicações; Makron Books: São Paulo, Brazil, 1997. [Google Scholar]
- Fernandes, A.T.; Fernandes, M.O.V.; Ribeiro Filho, N.; Graziano, K.U.; Gabrielloni, M.C.; Cavalcante, N.J.F.; Lacerda, R.A. Infecção Hospitalar e Suas Interfaces na Área da Saúde; Atheneu: São Paulo, Brazil, 2000. [Google Scholar]
- Rutala, W.; Gergen, M.F.; Tande, B.M.; Weber, D.J. Rapid hospital room decontamination using ultraviolet U.V. light with a nanostructured UV-reflective wall coating. Infect. Control Hosp. Epidemiol. 2013, 34, 527–529. [Google Scholar] [CrossRef] [PubMed]
- Han, J.H.; Sullivan, N.; Leas, B.F.; Pegues, D.A.; Kaczmarek, J.L.; Umscheid, C.A. Cleaning hospital room surfaces to prevent healthcare-associated infections. Ann. Int. Med. 2015, 163, 598–607. [Google Scholar] [CrossRef]
- Blythe, D.; Keenlyside, D.; Dawson, S.J.; Galloway, A. Environmental contamination due to methicillin-resistant Staphylococcus aureus (M.R.S.A.). J. Hosp. Infect. 1998, 38, 67–69. [Google Scholar] [CrossRef]
- French, G.L.; Otter, J.A.; Shannon, K.P.; Adams, N.M.T.; Watling, D.; Parks, M.J. Tackling contamination of the hospital environment by methicillin-resistant Staphylococcus aureus M.R.S.A.: A comparison between conventional terminal cleaning and hydrogen peroxide vapor decontamination. J. Hosp. Infect. 2004, 57, 31–37. [Google Scholar] [CrossRef]
- Fan, L.; Song, J.; Hildebrand, P.D.; Forney, C.F. Interaction of ozone and negative air ions to control micro-organisms. J. Appl. Microbiol. 2002, 93, 144–148. [Google Scholar] [CrossRef]
- De Boer, H.E.L.; Van Elzelingen-Dekker, C.M.; Van Rheenen-Vernerg, C.M.; Spanjaard, L. Use of gaseous ozone for eradication of methicillin-resistant Staphylococcus aureus from the home environment of a colonized hospital employee. Infect. Control Hosp. Epidemiol. 2006, 27, 1120–1122. [Google Scholar] [CrossRef][Green Version]
- Hudson, J.B.; Sharma, M.; Petric, M. Inactivation of Norovirus by ozone gas in conditions relevant to healthcare. J. Hosp. Infect. 2007, 66, 40–45. [Google Scholar] [CrossRef] [PubMed]
- Sharma, M.; Hudson, J.B. Ozone gas is an effective and practical antibacterial agent. Am. J. Infect. Control. 2008, 36, 559–563. [Google Scholar] [CrossRef] [PubMed]
- Elvis, A.M.; Ekta, J.S. Ozone therapy: A clinical review. J. Nat. Sci. Biol. Med. 2011, 2, 66–70. [Google Scholar] [CrossRef] [PubMed]
- Wallace, C.A. New developments in disinfection and sterilization. Am. J. Infect. Control 2016, 44, e23–e27. [Google Scholar] [CrossRef]
- Huth, K.C.; Quirling, M.; Maier, S.; Kamereck, K.; Alkhayer, M.; Paschos, E.; Welsch, U.; Miethke, T.; Brand, K.; Hickel, R. Effectiveness of ozone against endodontopathogenic microorganisms in a root canal biofilm model. Int. Endod. J. 2009, 42, 3–13. [Google Scholar] [CrossRef]
- Rosenblum, J.; Ge, C.; Bohrerova, Z.; Yousef, A.; Lee, J. Ozonation as a clean technology for fresh produce industry and environment: Sanitizer efficiency and wastewater quality. J. Appl. Microbiol. 2012, 113, 837–845. [Google Scholar] [CrossRef]
- Martinelli, M.; Giovannangeli, F.; Rotunno, S.; Trombetta, C.M.; Montomoli, E. Water and air ozone treatment as an alternative sanitizing technology. J. Prev. Med. Hyg. 2017, 58, E48–E52. [Google Scholar] [CrossRef]
- Bitter, K.; Vlassakids, A.; Niepel, M.; Hoedke, D.; Schulze, J.; Neumann, K.; Moter, A.; Noetzel, J. Effects of diode laser gaseous ozone and medical dressings on Enterococcus faecalis biofilms in the root canal ex vivo. Biomed. Res. Int. 2017, 2017, 6321850. [Google Scholar] [CrossRef]
- Lim, Y.; Lee, H.; Woodby, B.; Valacchi, G. Ozonated Oils, and Cutaneous Wound Healing. Curr. Pharm. Des. 2019, 25, 2264–2278. [Google Scholar] [CrossRef] [PubMed]
- Breidablik, H.J.; Lysebo, D.E.; Johannessen, L.; Skare, Å.; Andersen, J.R.; Kleiven, O. Effects of hand disinfection with alcohol hand rub, ozonized water, or soap and water: Time for reconsideration? J. Hosp. Infect. 2020, 105, 213–215. [Google Scholar] [CrossRef]
- Tonon, C.C.; Panariello, B.H.D.; Spolidorio, D.M.P.; Gossweiler, A.G.; Duarte, S.J. Antibiofilm effect of ozonized physiological saline solution on peri-implant-related biofilm. Periodontology 2021, 92, 1151–1162. [Google Scholar] [CrossRef]
- Mohammad, Z.; Kalbasi-Ashtari, A.; Riskowski, G.; Juneja, V.; Castillo, A. Inactivation of Salmonella and Shiga toxin-producing Escherichia coli (S.T.E.C.) from the surface of alfalfa seeds and sprouts by combined antimicrobial treatments using ozone and electrolyzed water. Food Res. Int. 2020, 136, 109488. [Google Scholar] [CrossRef] [PubMed]
- Aydogan, A.; Gurol, M.D. Application of gaseous ozone for inactivation of Bacillus subtilis spores. J. Air Waste Manag. Assoc. 2006, 56, 179–185. [Google Scholar] [CrossRef]
- Hudson, J.B.; Sharma, M.; Vimalanathan, S. Development of a practical method for using ozone gas as a virus decontaminating agent. Ozone Sci. Eng. 2009, 31, 216–223. [Google Scholar] [CrossRef]
- Najafi, M.B.H.; Khodaparast, M.H.H. Efficacy of ozone to reduce microbial populations in date fruits. Food Control 2009, 20, 27–30. [Google Scholar] [CrossRef]
- Li, C.-S.; Wang, Y.-C. Surface germicidal effects of ozone for microorganisms. AIHA J. 2003, 64, 533–537. [Google Scholar] [CrossRef]
- Tseng, C.; Li, C. Inactivation of surface viruses by gaseous ozone. J. Environ. Health 2008, 70, 56–63. [Google Scholar] [PubMed]
- Kim, J.G.; Yousef, A.E.; Dave, S. Application of ozone for enhancing the microbiological safety and quality of foods: A review. J. Food Prot. 1999, 62, 1071–1087. [Google Scholar] [CrossRef]
- Berrington, A.W.; Pedler, S.J. Investigation of gaseous ozone for M.R.S.A. decontamination of hospital side-rooms. J. Hosp. Infect. 1998, 40, 61–65. [Google Scholar]
- Cardoso, C.C.; Fiorini, J.E.; Gurjão, J.W.B.; Amaral, L.A. Disinfection of hospital laundry using ozone: Microbiological evaluation. Infect. Control Hosp. Epidemiol. 2000, 21, 248. [Google Scholar] [CrossRef]
- Cestonaro, L.V.; Marcolan, A.M.; Rossato-Grando, L.G.; Anzolin, A.P.; Goethel, G.; Angélica Vilani, A.; Garcia, S.C.; Bertol, C.D. Ozone generated by air purifier in low concentrations: Friend or foe? Environ. Sci. Pollut. Res. Int. 2017, 24, 22673–22678. [Google Scholar] [CrossRef] [PubMed]
- Bocci, V. Is ozone therapy therapeutic? Perspect. Biol. Med. 1998, 42, 131–143. [Google Scholar] [CrossRef]
- Bocci, V. Biological and clinical effects of ozone: Has ozone therapy a future in medicine? Br. J. Biomed. Sci. 1999, 56, 270–279. [Google Scholar]
- Di Paolo, N.; Bocci, V.; Gaggiotti, E. Ozone therapy editorial review. Int. J. Artif. Organs 2004, 27, 168–175. [Google Scholar] [CrossRef]
- Carvalho, C.F.; Brioschi, M.L.; Teixeira, M.J. Uso da termografia na avaliação da ozonioterapia como tratamento da epicondilite lateral. Pan. Am. J. Med. Thermol. 2015, 2, 90–93. [Google Scholar] [CrossRef]
- Manoto, S.L.; Maepa, M.J.; Motaung, S.K. Medical ozone therapy as a potential treatment modality for regeneration of damaged articular cartilage in osteoarthritis. Saudi J. Biol. Sci. 2016, 25, 672–679. [Google Scholar] [CrossRef]
- Silva, R.A.; Garotti, J.E.R.; Silva, R.S.B.; Navarini, A.; Pacheco, A.M., Jr. Analysis of the bactericidal effect of ozone pneumo peritoneum. Acta Cir. Bras. 2009, 24, 124–127. [Google Scholar] [CrossRef] [PubMed]
- Lall, N.; Henley-Smith, C.J.; Canha, M.N.; Oosthuizen, C.B.; Barrington, D. Viability reagent presto blue in comparison with other available reagents utilized in cytotoxicity and antimicrobial assays. Int. J. Microbiol. 2013, 2013, 420601. [Google Scholar] [CrossRef]
- Riss, T.; Moravec, R.; Niles, A. Development for cell viability and apoptosis for high-throughput screening. In A Practical Guide to Assay Development and High-Throughput Screening in Drug Discovery; Chen, T., Ed.; CRC Press: Boca Raton, FL, USA, 2010; pp. 109–110. [Google Scholar]
- Riss, T.; Moravec, R.A.; Niles, A.L.; Duellman, S.; Benink, H.A.; Worzella, T.J.; Minor, L.; Markossian, S.; Grossman, A.; Brimacombe, K.; et al. Cell Viability Assays. In The Assay Guidance Manual; Sittampalam, G., Ed.; Eli Lilly Co.; National Center for Advancing Translational Sciences: Bethesda, MD, USA, 2016; pp. 10–12. [Google Scholar]
- Präbst, K.; Engelhardt, H.; Ringgeler, S.; Hübner, H. Basic colorimetric proliferation assays: MTT WST and Resazurin. Methods Mol. Biol. 2017, 1601, 1–17. [Google Scholar] [PubMed]
- Rangel, K.; Lechuga, G.C.; Souza, A.L.A.; Carvalho, J.P.R.S.; Villas-Bôas, M.H.S.; De-Simone, S.G. Pan-drug resistant Acinetobacter baumannii but not other strains are resistant to the bee venom peptide melittin. Antibiotics 2020, 9, 178. [Google Scholar] [CrossRef]
- Lara, L.S.; Moreira, C.S.; Calvet, C.M.; Lechuga, G.C.; Souza, R.S.; Bourguignon, S.C.; Ferreira, V.F.; Rocha, D.; Pereira, M.C.S. Efficacy of 2-hydroxy-3-phenyl sulfanyl methyl-[14]-naphthoquinone derivatives against different Trypanosoma cruzi discrete type units: Identification of a promising hit compound. Eur. J. Med. Chem. 2018, 144, 572–581. [Google Scholar] [CrossRef]
- Nogales, C.G.; Ferreira, M.B.; Lage-Marques, J.L. Comparison of the antimicrobial activity of three different concentrations of aqueous ozone on Pseudomonas aeruginosa, Staphylococcus aureus, and Enterococcus faecalis- in vitro study. Rev. Esp. Ozonoterapia 2014, 4, 9–15. [Google Scholar]
- Tormin, S.C.; Navarrini, A.; Almeida, J.O.C.F.; Travassos, L.H.R.; Negri, M.V.G.; Silva, R.A. Análise do efeito bactericida do ozônio sobre bactérias multirresistentes. Arq. Med. Hosp. Fac. Ciências Médicas Santa Casa São Paulo 2016, 61, 138–141. [Google Scholar]
- Tomasino, S. Development and assessment of disinfectant efficacy test methods for regulatory purposes. Am. J. Infect. Control 2013, 41, S72–S76. [Google Scholar] [CrossRef] [PubMed]
- Mcclurkin, J.D.; Maier, D.E.; Ileleji, K.E. Half-life time of ozone as a function of air movement and conditions in a sealed container. J. Stored Prod. Res. 2013, 55, 41–47. [Google Scholar] [CrossRef]
- Nemmich, S.; Tilmatine, A.; Dey, Z.; Hammadi, N.; Nassour, K.; Messal, S. Optimal sizing of a D.B.D. Ozone generator using response surface modeling ozone: Science and engineering. J. Int. Ozone Assoc. 2015, 37, 3–8. [Google Scholar] [CrossRef]
- Osha; Occupational Safety and Health Administration; U.S. Department of Health and Human Services. 1992. Available online: http://www.osha.gov/dts/chemicalsampling/data/CH_259 300.html (accessed on 14 May 2021).
- Environmental Protection Agency. 2015. Available online: http://www.epa.gov/indoor-air-quality-iaq/ozone-generators-are-sold-air-cleaners#generators-effective (accessed on 21 May 2021).
- BRASIL. Ministério do Trabalho e Emprego. Norma Regulamentadora (NR) 15 NR 15 Anexo 11: Atividades e Operações Insalubres. 2016. Available online: http://www.mte.gov.br/legislacao/normas_regulamentadoras/nr_15_anexo11.pdf (accessed on 14 May 2021).
- ECO Sensors Company. 2020. Available online: https://www.ecosensors.com/company/ (accessed on 21 May 2021).
- ECO Sensors Company. 2020. Available online: http://www.ecosensors.com/wpcontent/uploads/old/MO-100.pdf (accessed on 21 May 2021).
- Masaoka, T.; Kubota, Y.; Namiuchi, S.; Takubo, T.; Ueda, T.; Shibata, H.; Nakamura, H.; Yoshitake, J.; Yamayoshi, T.; Doi, H.; et al. Ozone decontamination of bio clean rooms. Appl. Environ. Microbiol. 2002, 43, 509–513. [Google Scholar] [CrossRef]
- Dyas, A.; Boughton, B.J.; Das, B.C. Ozone killing action against bacterial and fungal species; microbiological testing of a domestic ozone generator. J. Clin. Pathol. 1983, 36, 1102–1104. [Google Scholar] [CrossRef]
- Ishizaki, K.; Sawadaishi, K.; Miura, K.; Shinriki, N. Effect of ozone on plasmid D.N.A. of Escherichia coli in situ. Water Res. 1987, 21, 823–827. [Google Scholar] [CrossRef]
- Whistler, P.E.; Sheldon, B.W. Comparison of ozone and formaldehyde as poultry hatchery disinfectants. Poult. Sci. 1989, 68, 1345–1350. [Google Scholar] [CrossRef]
- World Health Organization. Water Treatment and Pathogen Control. 2004. Available online: https://www.who.int/water_ sanitation_health/water-quality/guidelines/en/watreatpath3. pdf (accessed on 14 May 2021).
- Fontes, B.; Heimbecker, A.M.C.; Brito, G.S.; Costa, S.F.; Van Der Heijden, I.M.; Levin, A.S.; Rasslan, R. Effect of low-dose gaseous ozone on pathogenic bacteria. BMC Infect. Dis. 2012, 12, 358. [Google Scholar] [CrossRef] [PubMed]
- Almaz, M.E.; Sönmez, I.Ş. Ozone therapy in the management and prevention of caries. J. Formos Med. Assoc. 2015, 114, 3–11. [Google Scholar] [CrossRef]
- Yamayoshi, T.; Tatsumi, N. Microbicidal effects of ozone solution on methicillin-resistant Staphylococcus aureus. Drugs Exp. Clin. Res. 1993, 19, 59–64. [Google Scholar]
- Komanapalli, I.R.; Lau, B.H. Inactivation of bacteriophage lambda Escherichia coli and Candida albicans by ozone. Appl. Microbiol. Biotechnol. 1998, 49, 766–769. [Google Scholar] [CrossRef]
- Moore, G.; Griffith, C.; Peters, A. Bactericidal properties of ozone and its potential application as a terminal disinfectant. J. Food Prot. 2000, 63, 1100–1106. [Google Scholar] [CrossRef] [PubMed]
- Sies, H. Oxidative stress: A concept in redox biology and medicine. Redox Biol. 2015, 4, 180–183. [Google Scholar] [CrossRef]
- Farr, S.B.; Kogoma, T. Oxidative stress responses in Escherichia coli and Salmonella typhimurium. Microbiol. Rev. 1991, 55, 561–585. [Google Scholar] [CrossRef] [PubMed]
- Yoshikawa, T.; Naito, Y. What is oxidative stress? Jpn. Med. Assoc. J. 2002, 45, 271–276. [Google Scholar]
- Vatansever, F.; De Melo, W.C.M.A.; Avci, P.; Vecchio, D.; Sadasivam, M.; Gupta, A.; Chandran, R.; Karimi, M.; Parizotto, N.A.; Yin, R.; et al. Antimicrobial strategies centered around reactive oxygen species—Bactericidal antibiotics photodynamic therapy and beyond. FEMS Microbiol. Ver. 2013, 37, 955–989. [Google Scholar] [CrossRef]
- Cheng, T.J.; Kao, H.P.; Chan, C.C.; Chang, W.P. Effects of ozone on D.N.A. single-strand breaks and 8-oxoguanine formation in A549 cells. Environ. Res. 2003, 93, 279–284. [Google Scholar] [CrossRef]
- Mathineu-Nolf, M. Poisons in the air: A cause of chronic disease in children. J. Toxicol. Clin. Toxicol. 2002, 40, 483–491. [Google Scholar] [CrossRef]
- Bocci, V. Ozone as Janus: This controversial gas can be either toxic or medically useful. Mediat. Inflamm. 2004, 13, 3–11. [Google Scholar] [CrossRef] [PubMed]
- Bocci, V.; Borrelli, E.; Travagli, V.; Zanardi, I. The ozone paradox: Ozone is a strong oxidant as well as a medical drug. Med. Res. Rev. 2009, 29, 646–682. [Google Scholar] [CrossRef] [PubMed]
- Valacchi, G.; Fortino, V.; Bocci, V. The dual action of ozone on the skin. Br. J. Dermatol. 2005, 153, 1096–1100. [Google Scholar] [CrossRef]
- Velano, H.E.; Nascimento, L.C.; De Barros, L.M.; Panzeri, H. Avaliação in vitro da atividade antibacteriana da água ozonizada frente ao Staphylococcus aureus. Pesq. Odontol. Bras. 2001, 151, 18–22. [Google Scholar] [CrossRef]
- Park, J.S.; Sung, B.J.; Yoon, K.S.; Jeong, C.S. The bactericidal effect of an ionizer under low concentration of ozone. BMC Microbiol. 2016, 16, 173. [Google Scholar] [CrossRef] [PubMed]
- Von Sonntag, C.; Von Gunten, U. Chemistry of Ozone in Water and Wastewater Treatment from Basic Principles to Applications; I.W.A. Publishing: London, UK, 2012. [Google Scholar]
- Hamelin, C.; Chung, Y.S. Optimal conditions for mutagenesis by ozone in Escherichia coli K12. Mutat. Res. 1974, 24, 271–279. [Google Scholar] [CrossRef]
- Hamelin, C.; Sarhan, F.; Chung, Y.S. Ozone induced D.N.A. degradation in different D.N.A. polymerase I mutants of Escherichia coli K12. Biochem. Biophys. Res. Commun. 1977, 77, 220–224. [Google Scholar] [CrossRef]
- Hamelin, C.; Sarhan, F.; Chung, Y.S. Induction of deoxyribonucleic acid degradation in Escherichia coli by ozone. Experientia 1978, 34, 1578–1579. [Google Scholar] [CrossRef]
- Scott, D.B.M.; Lesher, E.C. Effect of ozone on survival and permeability of Escherichia coli. J. Bacteriol. 1963, 85, 567–576. [Google Scholar] [CrossRef]
- Hunt, N.K.; Mariñas, B.J. Inactivation of Escherichia coli with ozone: Chemical and inactivation kinetics. Water Res. 1999, 33, 2633–2641. [Google Scholar] [CrossRef]
- Dodd, M.C. Potential impacts of disinfection processes on elimination and deactivation of antibiotic resistance genes during water and wastewater treatment. J. Environ. Monit. 2012, 14, 1754–1771. [Google Scholar] [CrossRef]
- Von Gunten, U. Ozonation of drinking water: Part II. Disinfection and by-product formation in presence of bromide iodide or chlorine. Water Res. 2003, 37, 1469–1487. [Google Scholar] [CrossRef]
- Broadwater, W.T.; Hoehn, R.C.; King, P.H. Sensitivity of three selected bacterial species to ozone. Appl. Microbiol. 1973, 26, 391–403. [Google Scholar] [CrossRef] [PubMed]
- Casolari, A. Physiological Models in Microbiology; Bazin, M.J., Prosser, J.I., Eds.; C.R.C. Press: Boca Raton, FL, USA, 1988; pp. 1–44. [Google Scholar]
- Patil, S.; Valdramidis, V.P.; Karatzas, K.A.G.; Cullen, P.J.; Bourke, P. Assessing the microbial oxidative stress mechanism of ozone treatment through the responses of Escherichia coli mutants. J. Appl. Microbiol. 2011, 111, 136–144. [Google Scholar] [CrossRef]
- Xu, P.; Janex, M.L.; Savoye, P.; Cockx, A.; Lazarova, V. Wastewater disinfection by ozone: Main parameters for process design. Water Res. 2002, 36, 1043–1055. [Google Scholar] [CrossRef]
- Patil, S.; Bourke, P.; Frías, J.M.; Kumar, T.B.; Cullen, P.J. Inactivation of Escherichia coli in orange juice using ozone. Innov. Food Sci. Emerg. Technol. 2009, 10, 551–557. [Google Scholar] [CrossRef]
- Tang, K.W.; Dziallas, C.; Grossart, H.P. Zooplankton and aggregates as refuge for aquatic bacteria: Protection from U.V. heat and ozone stresses used for water treatment. Environ. Microbiol. 2011, 13, 378–390. [Google Scholar] [CrossRef] [PubMed]
- Pak, G.; Salcedo, D.E.; Lee, H.; Oh, J.; Maeng, S.K.; Song, K.G.; Hong, S.W.; Kim, H.C.; Chandran, K.; Kim, S. Comparison of antibiotic resistance removal efficiencies using ozone disinfection under different pH and suspended solids and humic substance concentrations. Environ. Sci. Technol. 2016, 50, 7590–7600. [Google Scholar] [CrossRef]
- Tseng, C.; Li, C. Ozone for inactivation of aerosolized bacteriophages. Aerosol. Sci. Technol. 2006, 40, 683–689. [Google Scholar] [CrossRef]
- Cannon, J.L.; Kotwall, G.; Wang, Q. Inactivation of norovirus surrogates after exposure to atmospheric ozone. Ozone Sci. Eng. 2013, 35, 217–219. [Google Scholar] [CrossRef]
Publisher’s Note: MDPI stays neutral with regard to jurisdictional claims in published maps and institutional affiliations. |
© 2021 by the authors. Licensee MDPI, Basel, Switzerland. This article is an open access article distributed under the terms and conditions of the Creative Commons Attribution (CC BY) license (https://creativecommons.org/licenses/by/4.0/).





