You are currently viewing a new version of our website. To view the old version click .
Actuators
  • Article
  • Open Access

20 March 2025

A Simple Control Strategy for Planar 2R Underactuated Robot via DEA Optimization

,
,
and
1
School of Electrical and Information Engineering, Wuhan Institute of Technology, Wuhan 430205, China
2
Yunnan Key Laboratory of Unmanned Autonomous Systems, Yunnan Minzu University, Yunnan 650504, China
3
Fujian Key Laboratory of Special Intelligent Equipment Safety Measurement and Control, Fujian Special Equipment Inspection and Research Institute, Fuzhou 350008, China
4
School of Mechanical & Electrical Engineering, Wuhan Institute of Technology, Wuhan 430205, China
This article belongs to the Special Issue Modeling and Nonlinear Control for Complex MIMO Mechatronic Systems

Abstract

In various fields, planar 2R underactuated robots have garnered significant attention due to their numerous applications. To guarantee the stable control of these robots, a simple control strategy is presented in this paper, and we utilize the intelligent optimization algorithm to enhance the controller parameters. Initially, a comprehensive dynamic model is developed for the robot with its control properties described. Subsequently, we design a PD controller to control the movement of the planar 2R underactuated robot. The differential evolution algorithm (DEA) is used to optimize the parameters of the PD controller to obtain the best control effect and make each link reach the target state. The findings from the simulation demonstrate the efficacy of the approach, and the designed strategy shows a higher stability and convergence rate, highlighting its important contribution to the field of underactuated robots.

1. Introduction

Systems with multiple inputs and degrees of freedom are common in everyday life. An underactuated system results when the number of control inputs of the original system is less than the system freedom number [1,2,3,4,5,6,7,8,9]. The benefits of an underactuated system include low weight, low cost, and low energy consumption. When some devices of the fully actuated system fail, the underactuated control method can improve reliability and ensure continuous operation. The underactuated robot is a typical system in an underactuated system. Underactuated robots can be categorized into two cases based on whether or not they are affected by gravity: vertical underactuated robots [10,11,12] and planar underactuated robots [13,14,15]. This paper focuses on planar underactuated robots.
Planar underactuated robots have several potential applications in space research [16] and deep-sea exploration [17,18]. Since deep sea and space are microgravity environments, robots have more advantages than humans in terms of operation and safety when performing some command operations. Therefore, researching this type of system’s control method has enormous practical implications. The motion process of the planar robot is through the control method designed to make the robot arrive from any position in the plane to any position we need. According to prior studies of planar underactuated robots, the nonlinear approximation model is found to be uncontrollable at any equilibrium point during the control process. Therefore, the realization of this kind of robot position control is more complicated and difficult than other robot systems. As a matter of fact, the characteristics of control for the underactuated robot are closely related to the number of links and the passive joint positions. The control characteristics of an underactuated robot will vary depending on the position and number of passive joints. According to whether there is a complete integrable property and constraint relationship between underactuated links, they can be divided into holonomic systems and non-holonomic systems [19,20].
Planar 2R underactuated robots are divided into planar Acrobot robots and planar Pendubot robots. In planar Acrobot robots, if the first joint fails or is damaged, it becomes a passive joint. It possesses holonomic characteristics and a relationship defined by angular constraints. Lai [21] et al. deduced the angular constraint of the link based on integrability, and achieved position control by regulating the active joint with the aid of the angle constraint. In [22], good position control was achieved by using the method of model reduction and energy attenuation. In [23], a position control strategy is proposed for the planar Acrobot robot. Under the coupling constraint between the systems, the goal position of the robot is realized by using two stages of control. The planar Pendubot robot, a 2R underactuated robot whose second joint is passive, is a member of the nonholonomic system that is subject to an angular acceleration restriction [24]. It is challenging to intuitively determine the mathematical connection between these links, which are active and passive due to the intricate nonlinear features of such systems. To accomplish stable control of the system, an open-loop iterative control approach was created by Luca [25] on account of the nilpotent approximation model. In addition, an innovative optimization technique based on Fourier transform was put forth in [26] to realize the stability control for planar Pendubot. The above research focuses on planar Acrobot and planar Pendubot. The following is the unified control method. In [27], the unified control of the planar 2R underactuated robot is studied, and a control strategy that incorporates trajectory planning alongside tracking control is introduced, which successfully realizes the control objectives of the system. For 2R underactuated robots, Wang [28] proposes a trajectory planning tracking control strategy based on the basis function superposition method and intelligent optimization algorithm, and only relied on the second-order nonholonomic constraints commonly possessed by 2-DOF rotary underactuated robots to achieve unified control of such systems, simulation tests verified the efficacy of the strategy.
Based on the above analysis of previous studies, the research of planar 2R underactuated robots lays a foundation for the control theory research of underactuated robots. Currently, most previous studies have only proposed control methods for robots with specific structures and functions. Due to the uncertainty of passive joint position, it is necessary to explore a unified control strategy for both planar Acrobot and planar Pendubot in order to realize effective control of planar 2R underactuated robots. However, when a joint of a planar full actuated joint fails and becomes a passive joint, if the position of the passive joint cannot be directly determined, the present control methods are relatively simple and the control stability time is longer. Therefore, in order to realize the effective control of the planar 2R underactuated robot, in this case, it is essential to investigate a more simple and general method to realize the unified control strategy of the two robots above.
Based on the above analysis, this paper presents a simple planar 2R underactuated robot control strategy. By optimizing the PD parameters of the controller, the time required for the 2R underactuated robot to stabilize to the ideal state is shortened. The structure of the subsequent chapters of this paper is elaborated from the following aspects: A dynamic model of a planar 2R underactuated robot system is established in Section 2.1, and the characteristics of the system are described in Section 2.2. Then, in Section 3, a PD controller with adjustable parameters is designed. To attain the desired control objective, in Section 4, the differential evolution algorithm (DEA) [29] is used to continuously enhance the parameters to obtain the optimal control effect, so as to ensure that each link can best achieve the control objective. Finally, in Section 5, three sets of simulation experiments with different initial conditions and target conditions are carried out for the 2R underactuated robot Acrobot and Pendubot, respectively, to assess the efficacy and universal applicability of the method.

2. Model and Characteristics

This section is mainly to establish a planar 2R underactuated robot model and analyze its underactuated control characteristics, so as to pave the way for the subsequent controller design.

2.1. Model

The mechanical architecture of the planar 2R underactuated robot is shown in Figure 1. θ i is the angle of i-th (i = 1, 2) link, m i is the mass of this link, L i and L c i , respectively, are the length of the link and the distance from the midpoint of the link to the center of the joint axis, and J i stands for the moment of inertia. τ r is the applied torque at the i-th joint and r = 1, 2.
Figure 1. Model of a planar 2R underactuated robot.
When an active joint of the planar robot fails or is damaged, the joint will lose its driving ability and become a passive joint, and the whole system will become an underactuated system. Moreover, due to the different positions of damaged or failed joints, the planar underactuated robot will exhibit different characteristics.
The object of this paper is the planar 2R underactuated robot, whose dynamic model is constructed as follows
M ( θ ) θ ¨ + H ( θ , θ ˙ ) = τ
In this model, θ = θ 1 , θ 2 T is the vector of angle, θ ˙ = θ ˙ 1 , θ ˙ 2 T is the angular velocity, and θ ¨ = θ ¨ 1 , θ ¨ 2 T is the angular acceleration of the planar robot. In the dynamic model, the M ( θ ) contains the Coriolis and centrifugal forces and it belongs to R 2 × 2 . M ( θ ) and H ( θ , θ ˙ ) are expressed in detail, as follows in the dynamic model [30].
M ( θ ) = M 11 ( θ ) M 12 ( θ ) M 21 ( θ ) M 22 ( θ ) , H ( θ , θ ˙ ) = H 1 ( θ , θ ˙ ) H 2 ( θ , θ ˙ )
According to the position of the passive joint, the planar 2R underactuated robot can be categorized into two distinct scenarios:
  • Situation 1: the planar Acrobot, the passive joint is the first joint and torque vector is τ = 0 , τ 2 T ;
  • Situation 2: the planar Pendubot, the passive joint is the second joint and torque vector is τ = τ 1 , 0 T .
The following is the precise representation of every element in the matrix above:
M 11 ( θ ) = n 1 + n 2 + 2 n 3 cos θ 2 M 12 ( θ ) = M 21 ( θ ) = n 2 + n 3 cos θ 2 M 22 ( θ ) = n 2 H 1 ( θ , θ ˙ ) = n 3 ( 2 θ ˙ 1 θ ˙ 2 + θ ˙ 2 2 ) sin θ 2 H 2 ( θ , θ ˙ ) = n 3 θ ˙ 1 2 sin θ 2
where
n 1 = m 1 l c 1 2 + m 2 l 1 2 + J 1 n 2 = m 2 l c 2 2 + J 2 n 3 = m 2 l 1 l c 2

2.2. Control Characteristic Analysis

The passive part of (1) is
M p 1 θ ¨ 1 + M p 2 θ ¨ 2 + H p = 0
when p = 1, for the underactuated planar Acrobot constraint relationship; when p = 2, for underactuated planar Pendubot constraint relationship.
Equation shown below could be obtained by Equation (5) and the constraint relation of underactuated characteristics.
θ ˙ p = 0 T r = 1 , r p 2 M p r θ θ ¨ r + H p M p p d t θ ˙ p 0 θ p = 0 T θ ˙ p d t θ p 0
where the initial angle and angular velocity of the underactuated link are denoted by θ p 0 and θ ˙ p 0 , respectively. The Equation (6) specifically expresses that the underactuated link is constrained by the actuated link state.

3. Controller Design

We design a PD controller in this subsection in order to steer all links toward their desired states. Let the x = [ x 1 x 2 x 3 x 4 ] T , in which x 1 , x 2 represent θ 1 , θ 2 , the angles of the two links of the robot and x 3 , x 4 are θ ˙ 1 , θ ˙ 2 , the angular acceleration at the two linking joints. The following state space expression can be further obtained as
x ˙ = f ( x ) + g ( x ) τ
In this state space Equation (7),
f ( x ) = f 1 f 2 = M 1 ( θ ) H ( θ , θ ˙ )
g ( x ) = M 1 ( θ ) = g 11 ( x ) g 12 ( x ) g 21 ( x ) g 22 ( x )
The active link’s control goal determines the selection of the Lyapunov function, and it is given in Equation (10).
V ( x ) = P r 2 ( x i x i d ) 2 + 1 2 M r p x m 2
where P r represents the positive constant, and r = 1 , 2 ; x i represents the angular state of the link, x i d represents the angular target state of the link, i = 1 , 2 ; x m represents the angular velocity of the link, m = 3 , 4 .
Then, the derivative of V ( x ) is going to be
V ˙ ( x ) = x m ( P r ( x i x i d ) + τ r )
Therefore, the controller design of the system is as follows
τ r = P r ( x i x i d ) D r x m
where D r > 0 , g r r is the principal diagonal element of the matrix of Equation (9), which is g 11 and g 22 . Since M ( θ ) is a positive definite matrix, the elements of the principal diagonal are not zero, that is, g r r is nozero, which effectively avoids the control torque singularity problem. τ r is divided into τ 1 and τ 2 , which correspond to the control torque of planar Pendubot and planar Acrobot, respectively.
Bringing Equation (12) into Equation (11) gives
V ˙ ( x ) = D r x m 2 0
When Equation (12) is substituted for Equation (7), the system which is closed loop will be
x ˙ = F x = f 1 f 2 + g 11 g 12 g 21 g 22 P 1 ( x 2 x 2 d ) D 1 x 4 P 2 ( x 1 x 1 d ) D 2 x 3
Equation (14) is a closed-loop control system with a PD controller. It is obvious from Equation (13) that V ( x ) is bounded. Then, we define the following conditions
Ω 1 = x R 4 V x λ 1
in which λ 1 > 0 . Any solution x of Equation (15) coming from Ω 1 still remains in Ω 1 for all t 0 . By setting Φ 1 as the invariant of Equation (14), we obtain
Φ 1 = x t Ω 1 V ˙ x = 0
Set V ˙ ( x ) 0 , x m 0 , then substitute it into Equation (7) and obtain the following result.
f r = g r r τ r
According to the different positions of the passive joints, f r can be specifically divided into f 1 and f 2 in Equation (8). The passive joint is f 1 in the first link, and the passive joint is f 2 in the second link. Substituting Equation (17) into Equation (12) obtains x i = x i d . Then, the maximum invariant set is
W 1 = x R 4 x i = θ i d , x m = 0
According to the LaSalle invariability principle [31], when Equation (16) reaches the predetermined control goal, the state of the actuated link is θ i = θ id , θ ˙ i = 0 .
Therefore, when the following conditions are satisfied, the linkage of the planar 2R underactuated robot system is controlled to the target state.
x i x i d e 1 x m e 2
where e 1 and e 2 are small positive error coefficients.
According to the above analysis, the underactuated link is still rotating when the actuated link stabilizes to the desired state, and the underactuated link is the one containing the underactuated joint. Therefore, this paper designed a simple PD controller for the actuated link, optimized the controller parameters through DEA, and successfully realized the stability of the whole system.

4. Controller Parameter Optimization

The active link’s control objectives could be achieved by the intended controller because the controller (12) forces the actuated link to remain stable at its goal position. Therefore, the DEA is used to calculate P r and D r to guarantee that the unactuated link successfully attains its intended state.
The DEA’s evaluation function, as explained in [29].
h = θ p θ p d + θ ˙ p
where p = 1 , 2 , and p r .
The following are the steps of the designed controller calculated by DEA.
  • Process 1: Random initialization of P r ˜ and D r ˜ .
  • Process 2: Submit P r ˜ and D r ˜ into Equations (12) and (5). Then, calculate θ ˜ p and θ ˜ ˙ p by means of numerically integrating Equation (6) according to θ ˜ 2 , θ ˜ ˙ 2 and θ ˜ ¨ 2 , θ 2 d , θ ˙ 2 = 0 , and θ ¨ 2 = 0 .
  • Process 3: If h is less than η 1 (a tiny positive constant), the optimization operation is completed. The result of the promotion are P r = P ˜ r and D r = D ˜ r . If not, the program moves on to the next phase.
  • Process 4: Update P ˜ r and D ˜ r through mutation, crossover, and selection procedures by using p m (mutation factor) and p c (crossed factor). The procedure then turns to Process 2.
The basic operation flow of DEA is shown in Figure 2.
Figure 2. Basic operational flow of DEA.
Based on the optimized controller parameters P r ˜ and D r ˜ , the link controller can be determined, and then the initial and target state parameters can be set to verify the designed controller by simulation.

5. Simulations

In this section, the proposed control strategy is verified by Matlab simulation, and three sets of simulations are carried out on the plane Acrobat and plane Pendubot for a planar 2R underactuated robot under different initial and target states, respectively, to assess the efficacy of the proposed control strategy. We choose the same length, weight, and moment of inertia for both links. Table 1 shows the unified parameters of the planar 2R underactuated robot model.
Table 1. Planar 2R underactuated robot model parameters.

5.1. The Simulation for Planar Acrobot

When the first link fails or is damaged, the planar 2R underactuated robot has underactuated characteristics. In this case, the main drive is the second link, and torque is applied to link 2, i.e., τ 2 . How to use the motion of the second actuated link to control the first link to stabilize the target state is a problem that the simulation experiment must take into account. The model structure is transformed into a planar underactuated robot Acrobot. The converted Acrobot model is shown in Figure 3.
Figure 3. The model of the planar Acrobot.
Therefore, we consider that we will first move the second link to the target state under the action of torque. At the same time, according to the above constraints of the planar Acrobot underactuated robot, under the action of a PD controller, the appropriate parameters are optimized to control the first underactuated connecting rod to move to the target state and finally realize the stability control of the whole planar Acrobot.

5.1.1. Simulation Result 1 for Planar Acrobot

The parameters of the DEA are selected as follows: maximum number of iterations G m a x = 100, the G m a x is generally used as the termination condition of the evolutionary process; population number N = 50, the greater the population number, the greater the probability of obtaining the optimal solution, but the calculation time is longer; mutation factor p m = 0.5, the mutation factor p m is an important parameter for controlling population diversity and convergence; crossover factor p c = 0.7, the crossover factor p c can control the degree of participation of each dimension of the individual parameters in the crossover, as well as the balance of global and local search capabilities; η = 0.005, η is used as the judgment threshold for the final optimization success. DEA is used to control parameters calculated and optimized in Equation (12) so that it can attain optimal control efficacy on the planar Acrobot. The results of parameter optimization are as follows
P 1 = 11.9401 D 1 = 11.1636
The initial and target states of our chosen simulation 1 are shown in Equation (22).
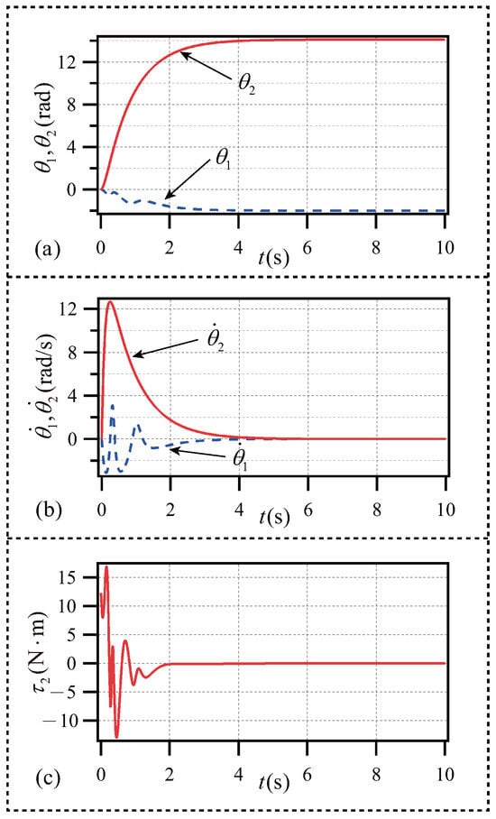
θ 10 θ 20 θ ˙ 10 θ ˙ 20 = 0 0 0 0 θ 1 d θ 2 d θ ˙ 1 d θ ˙ 2 d = 1.999 14.106 0 0
where θ 10 , θ 20 , θ 1 d , θ 2 d represent the starting angle and desired angle of the first link and the second link, respectively, and θ ˙ 10 , θ ˙ 20 , θ ˙ 1 d , θ ˙ 2 d represent the initial angular velocity and target angular velocity of the two links, respectively.
The control of planar Acrobot has achieved the target shown in the simulation results 1, and each state variable is primly convergent to the predetermined value. As shown in Figure 4a,b, both the angle and angular velocity of the two links converge steadily from the initial state set by Equation (22) to the target state. Figure 4c shows the torque variation of the second actuated link.
Figure 4. Simulation result 1 for planar Acrobot: (a) angle; (b) angular velocity; (c) control torque.
As can be seen from the Figure 4, the planar Acrobot has reached the target state and remained stable before t = 5 s, the maximum angular velocity does not exceed θ ˙ = ± 15 rad/s, and the torque range is maintained at τ 2 = ± 20 N · m . The control strategy has good rapidity and system stability.

5.1.2. Simulation Result 2 for Planar Acrobot

Under the condition that the algorithm parameters remain unchanged, we transform different starting conditions and desired condition parameters to continue the optimization. DEA parameters are as follows: maximum number of iterations G m a x = 100, population number N = 50, mutation factor p m = 0.3, crossover factor p c = 0.7, convergence judgment threshold η = 0.005. The optimization parameters of simulation result 2 are shown as follows.
P 1 = 19.5405 D 1 = 5.3866
In simulation result 2, the starting state and the desired state are
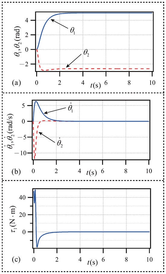
θ 10 θ 20 θ ˙ 10 θ ˙ 20 = 0 0 0 0 θ 1 d θ 2 d θ ˙ 1 d θ ˙ 2 d = 0.28 4.20 0 0
As shown in Figure 5a,b, both the angle and angular velocity of the two links converge steadily from the initial state set by Equation (24) to the target state. Figure 5c shows the torque variation of the second actuated link. The planar Acrobot before t = 4 s achieves the target state and maintains stability, the maximum absolute angular speed does not exceed θ ˙ = 10 rad/s, the value of the torque is still maintained in the range of τ 2 = ± 10 N · m , and planar Acrobot fast stability control requirements are achieved.
Figure 5. Simulation result 2 for planar Acrobot: (a) angle; (b) angular velocity; (c) control torque.

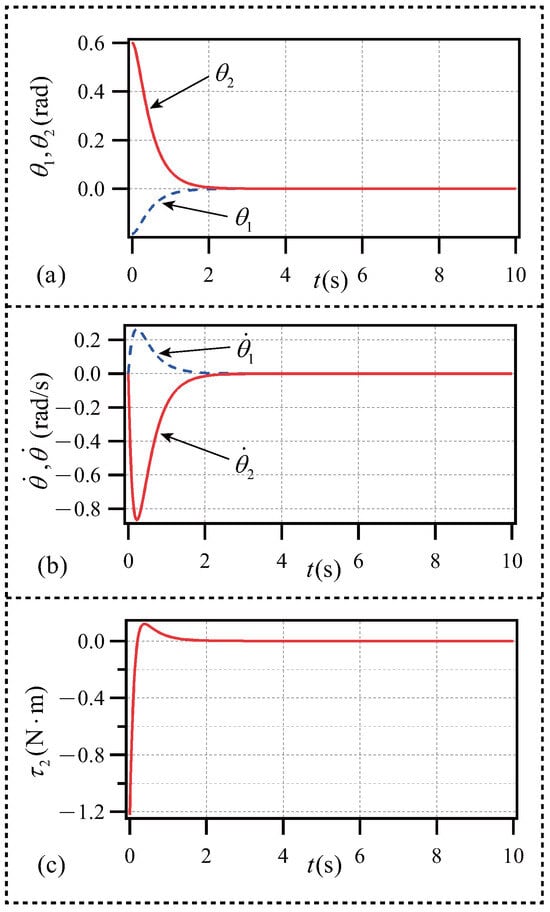
5.1.3. Simulation Result 3 for Planar Acrobot

To assess the validity of the suggested control strategy, we set up a set of simulations, set state parameters, and optimized PD controller parameters. DEA parameters are as follows: maximum number of iterations G m a x = 100, population number N = 50, mutation factor p m = 0.3, crossover factor p c = 0.8, convergence judgment threshold η = 0.005. The parameters of simulation result 3 are
P 1 = 18.5003 D 1 = 9.8357
In simulation 3, the starting and desired states of the planar Acrobot are
θ 10 θ 20 θ ˙ 10 θ ˙ 20 = 0.2998 0.6000 0 0 θ 1 d θ 2 d θ ˙ 1 d θ ˙ 2 d = 0 0 0 0
As shown in Figure 6a,b, both the angle and angular velocity of the two links converge steadily from the initial state set by Equation (26) to the target state. Figure 6c shows the torque variation of the second actuated link. The final results indicate that the control method successfully converges to the target state within t = 3 s, the angular velocity range is θ ˙ = ± 1 rad/s, and the range of torque is maintained at τ 2 = ± 1.2 N · m . The control goal can still be achieved.
Figure 6. Simulation result 3 for planar Acrobot: (a) angle; (b) angular velocity; (c) control torque.
In simulations 2 and 3 of the planar Acrobot, we set different parameters and different target states, but in the end, it is ideal in terms of speed and stability. In addition, compared with reference [27], this method is simpler and can control the target state quickly without the need for trajectory planning.

5.2. The Simulation for Planar Pendubot

When the second link of the planar 2R underactuated robot fails or is damaged, then the model has underactuated characteristics, and the model structure is transformed into the planar Pendubot underactuated robot. The specific structure is shown in Figure 7, and simulation experiments are carried out on the planar Pendubot model.
Figure 7. The model of the planar Pendubot.
Also, three sets of different starting state parameters and desired state parameters are selected to carry out simulation on the planar Pendubot underactuated robot. For the planar Pendubot underactuated robot model, in this case, the main driver is the first link, and torque is applied to link τ 1 . The first link moves to the target state under the action of torque. At the same time, according to the constraint relation of the planar Pendubot underactuated robot, the second underactuated link is controlled to move to the desired state, and the stability control of the entire planar Pendubot is finally realized.

5.2.1. Simulation Result 1 for Planar Pendubot

Similarly, the parameters of the DEA are selected as follows: maximum number of iterations G m a x = 100, population number N = 50, mutation factor p m = 0.5, crossover factor p c = 0.7, convergence judgment threshold η 1 = 0.005. Using DEA for the controller parameters, we calculated and optimized Equation (12), so that it can attain optimal control efficacy on the planar Pendubot. The results of parameter optimization are as follows
P 2 = 16.1889 D 2 = 10.0598
In simulation result 1, the starting state and the desired state are
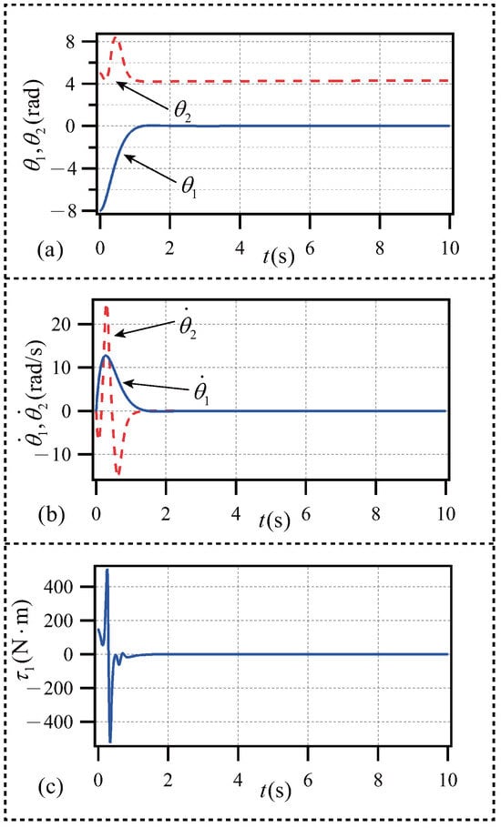
θ 10 θ 20 θ ˙ 10 θ ˙ 20 = 0 0 0 0 θ 1 d θ 2 d θ ˙ 1 d θ ˙ 2 d = 5.00 2.65 0 0
The control of planar Pendubot reaches the target shown in simulation results 1, and each state variable basically converges to the predetermined value. As shown in Figure 8a,b, both the angle and angular velocity of the two links converge steadily from the initial state set by Equation (28) to the target state. Figure 8c shows the control torque variation of the first link. Before t = 5 s, the planar Pendubot has reached the target state and maintained stability. The angular velocity range is θ ˙ = ± 15 rad / s , and the control torque range is within τ 1 = ± 50 N · m , which meets the control requirements of the system. Therefore, this control strategy has good rapidity and system stability for planar Pendubot.
Figure 8. Simulation result 1 for planar Pendubot: (a) angle; (b) angular velocity; (c) control torque.

5.2.2. Simulation Result 2 for Planar Pendubot

In the same case that the algorithm parameters are unchanged, different starting state parameters and desired state parameters are transformed to continue the optimization. DEA parameters are as follows: maximum number of iterations G m a x = 100, population number N = 50, mutation factor p m = 0.3, crossover factor p c = 0.7, convergence judgment threshold η = 0.005. Optimization parameters of simulation result 2 are as follows:
P 2 = 15.5203 D 2 = 9.7898
In simulation result 2, the starting state and the desired state are
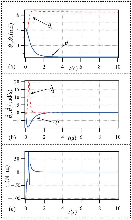
θ 10 θ 20 θ ˙ 10 θ ˙ 20 = 4.5 3.8 0 0 θ 1 d θ 2 d θ ˙ 1 d θ ˙ 2 d = 3 8.8 0 0
The planar Pendubot control achieves the target shown in simulation result 2, and each state variable basically converges to the predetermined value. As shown in Figure 9a,b, both the angle and angular velocity of the two links converge steadily from the initial state set by Equation (30) to the target state. Figure 9c shows the control torque variation of the first link. Under the second set of state parameters, the changes of state variables of the planar Pendubot double links mechanism and the changes of torque of the movable link mechanism are analyzed. Before t = 4 s, the planar Pendubot has reached the target state and remains stable. The angular velocity range is θ ˙ = ± 22 rad / s , and the control torque range is within τ 1 = ± 100 N · m , which reaches the control goal of the system.
Figure 9. Simulation result 2 for planar Pendubot: (a) angle; (b) angular velocity; (c) control torque.

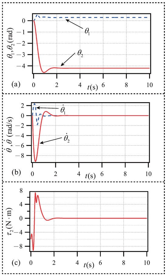
5.2.3. Simulation Result 3 for Planar Pendubot

To confirm the general applicability of the strategy to the planar Pendubot underactuated robot, the third set of simulation experiments was conducted, and the following state parameters were selected to optimize the PD controller by differential evolution algorithms. DEA parameters are as follows: maximum number of iterations G m a x = 100, population number N = 50, mutation factor p m = 0.3, crossover factor p c = 0.8, convergence judgment threshold η = 0.005. The parameters of simulation result 3 are
P 2 = 14.8870 D 2 = 6.4524
In simulation result 3, the initial and target states of each state variable of the planar Pendubot are
θ 10 θ 20 θ ˙ 10 θ ˙ 20 = 8 5 0 0 θ 1 d θ 2 d θ ˙ 1 d θ ˙ 2 d = 0 4.3 0 0
Under the third set of state parameters, the planar Pendubot control reaches the target shown in the simulation results, and each state variable basically converges to the predetermined value. As shown in Figure 10a,b, both the angle and angular velocity of the two links converge steadily from the initial state set by Equation (32) to the target state. Figure 10c shows the control torque variation of the first link. Before t = 3 s, the planar Pendubot has reached the target state and remains stable. The angular velocity range is θ ˙ = ± 25 rad / s , and the control torque range is within τ 1 = ± 500 N · m .
Figure 10. Simulation result 3 for planar Pendubot: (a) angle; (b) angular velocity; (c) control torque.
In simulations 2 and 3 of planar Pendubot, different parameters and different target states are set, and the simulation results indicate that the results are good in terms of speed and stability. In addition, compared with reference [27], this method is simpler and can control the target state quickly without the need for trajectory planning.

5.3. Analysis of Simulation Results

For planar Arcobot and planar Pendubot underactuated robots, three groups of different state parameters were selected to design a simple PD controller, and the parameters of the PD controller were successfully optimized by the differential evolution algorithm. Different mutation factor p m and crossover factor p c parameters are set to verify the effect on the convergence rate and show the sensitivity of the algorithm to the parameters. The proposed control strategy’s effectiveness was validated through simulation. The following are three different groups of parameter indicators in the control process of planar Arcobot and planar Pendubot underactuated robots, as shown in Table 2 and Table 3.
Table 2. Comparison of three simulation groups of planar Arcobot.
Table 3. Comparison of three simulation groups of planar Pendubot.
The results of Table 2 and Table 3 show that the rotation angle of all the links in the simulation successfully converges, and the stable control of the target state is achieved. The change in angular velocity is proportional to the change in torque. The larger the variation factor pm, the slower the convergence rate and the increased stabilization time required. The larger the crossover factor pc, the faster the convergence rate, and the less time it takes to reach stability.
In optimization design, DEA has the following main characteristics compared with traditional optimization methods:
(1) The DEA searches from a group of multiple points rather than from a single point, which is the main reason why it can find the overall optimal solution with a high probability;
(2) The evolutionary criterion of DEA is based on adaptive information and does not need to rely on other auxiliary information (such as requiring the function to be derivable or continuous), which greatly expands its application scope;
(3) DEA has inherent parallelism, which makes it very suitable for large-scale parallel distributed processing and reduces the overhead of inter-cost;
(4) DEA adopts probabilistic transition rules and does not require deterministic rules.

6. Conclusions

A simple PD control strategy is proposed for a planar 2R underactuated robot. The appropriate controller parameters are obtained by DEA, and the PD controller makes the whole system move from the initial state to the target state under the actuated link. Finally, the effectiveness and universality of the proposed strategy are verified by simulation, and the potential relationship between angular velocity variation and torque magnitude, as well as the influence of mutation factor and crossover factor on the convergence rate, are obtained.
In future work, we will use this simple and effective control method to deal with multi-degrees of freedom underactuated robots, cluster underactuated robot control, and multi-passive joint underactuated robots. This control method expands the theory of nonlinear control and underactuated control and provides a theoretical basis and reference for subsequent research.

Author Contributions

Planning research programs and making comments, Z.H.; collect data for simulation and paper writing, X.G.; model building and literature collection, X.W.; provide technical support and advice, H.Z. All authors have read and agreed to the published version of the manuscript.

Funding

This research was funded by the Nature Science Foundation of Hubei Province (Grant No. 2023AFB380), the Hubei Key Laboratory of Intelligent Robot (Grant No. HBIRL202301), the Foundation of Yunnan Key Laboratory of Unmanned Autonomous Systems (Grant No. 202408YB06), the Open Project Program of Fujian Key Laboratory of Special Intelligent Equipment Measurement and Control, Fujian Special Equipment Inspection and Research Institute (Grant No.FJIES2024KF12).

Institutional Review Board Statement

Not applicable.

Data Availability Statement

The data presented in this study are available on request from the corresponding author.

Conflicts of Interest

The authors declare no conflicts of interest.

References

  1. Lu, B.; Fang, Y.C. Online trajectory planning control for a class of underactuated mechanical systems. IEEE Trans. Autom. 2024, 69, 442–448. [Google Scholar] [CrossRef]
  2. Yang, T.; Sun, N.; Chen, H.; Fang, Y.C. Adaptive optimal motion control of uncertain underactuated mechatronic systems with actuator constraints. IEEE/ASME Trans. Mech. 2023, 28, 210–222. [Google Scholar] [CrossRef]
  3. Yang, T.; Sun, N.; Fang, Y.C. Neuroadaptive control for complicated underactuated systems with simultaneous output and velocity constraints exerted on both actuated and unactuated states. IEEE Trans. Neural Netw. Learn. Syst. 2023, 34, 4488–4498. [Google Scholar] [CrossRef] [PubMed]
  4. Han, F.; Yi, J.G. Stable learning-based tracking control of underactuated balance robots. IEEE Rob. Autom. 2021, 6, 1543–1550. [Google Scholar] [CrossRef]
  5. Yang, T.; Chen, H.; Sun, N. Adaptive neural network output feedback control of uncertain underactuated systems with actuated and unactuated state constraints. IEEE Trans. Syst. Man Cybern. Syst. 2022, 52, 7027–7043. [Google Scholar] [CrossRef]
  6. Pucci, D.; Romano, F.; Nori, F. Collocated adaptive control of underactuated mechanical systems. IEEE Trans. Robot. 2015, 31, 1527–1536. [Google Scholar] [CrossRef]
  7. Yang, T.; Sun, N.; Fang, Y.C. Adaptive fuzzy control for a class of MIMO underactuated systems with plant uncertainties and actuator dead zones: Design and experiments. IEEE Trans. Cybern. 2022, 52, 8213–8226. [Google Scholar] [CrossRef]
  8. Huang, Z.X.; Lai, X.Z.; Zhang, P.; Meng, Q.X.; Wu, M. A general control strategy for planar 3-DoF underactuated manipulators with one passive joint. Inform. Sci. 2020, 534, 139–153. [Google Scholar] [CrossRef]
  9. Xu, F.; Wang, H.H.; Liu, Z.; Chen, W.D. Adaptive visual servoing for an underwater soft robot considering refraction effects. IEEE Trans. Ind. Electron. 2020, 67, 10575–10586. [Google Scholar] [CrossRef]
  10. Wang, L.J.; Lai, X.Z.; Meng, Q.X.; Wu, M. Effective control method based on trajectory optimization for three-link vertical underactuated manipulators with only one active joint. IEEE Trans. Cybern. 2023, 53, 3782–3793. [Google Scholar] [CrossRef]
  11. Zou, Y.; Zhou, Z.Q.; Dong, X.W.; Meng, Z.Y. Distributed formation control for multiple vertical takeoff and landing UAVs with switching topologies. IEEE/ASME Trans. Mech. 2018, 23, 1750–1761. [Google Scholar] [CrossRef]
  12. Wang, L.J.; Lai, X.Z.; Zhang, P.; Wu, M. A control strategy based on trajectory planning and optimization for two-link underactuated manipulators in vertical plane. IEEE Trans. Syst. Man Cybern. 2022, 52, 3466–3475. [Google Scholar] [CrossRef]
  13. Li, D.W.; Wei, Z.A.; Huang, Z.X. Two-stage control strategy based on motion planning for planar prismatic–rotational underactuated robot. Actuators 2024, 13, 278. [Google Scholar] [CrossRef]
  14. Wang, Y.W.; Lai, X.Z.; Zhang, P.; Wu, M. Control strategy based on model reduction and online intelligent calculation for planar n-link underactuated manipulators. IEEE Trans. Syst. Man Cybern. 2017, 50, 1046–1054. [Google Scholar] [CrossRef]
  15. Li, J.; Wang, L.J.; Chen, Z.; Huang, Z.X. Drift suppression control based on online intelligent optimization for planar underactuated manipulator with passive middle joint. IEEE Access 2021, 9, 38611–38619. [Google Scholar] [CrossRef]
  16. Ma, Z.Q.; Huang, P.F.; Lin, Y.X. Learning-based sliding-mode control for underactuated deployment of tethered space robot with limited input. IEEE Trans. Aerosp. Electron. Syst. 2022, 58, 2026–2038. [Google Scholar] [CrossRef]
  17. Wang, K.; Liu, Y.H.; Li, L.Y. Vision-based tracking control of underactuated water surface robots without direct position measurement. IEEE Trans. Control Syst. Technol. 2015, 23, 2391–2399. [Google Scholar] [CrossRef]
  18. Wang, J.S.; Wang, J.; Han, Q.L. Receding-horizon trajectory planning for under-actuated autonomous vehicles based on collaborative neurodynamic optimization. IEEE/CAA J. Autom. Sin. 2022, 9, 1909–1923. [Google Scholar] [CrossRef]
  19. Oriolo, G.; Nakamura, Y. Control of mechanical systems with second-order nonholonomic constraints: Underactuated manipulators. In Proceedings of the 30th IEEE Conference on Decision and Control, Brighton, UK, 11–13 December 1991; pp. 2398–2403. [Google Scholar] [CrossRef]
  20. Wang, Z.Y.; Xin, X.; Liu, Y.N. Strong stabilization of two-link underactuated planar robots. In Proceedings of the 2022 China Automation Congress (CAC), Xiamen, China, 25–27 November 2022; pp. 4125–4129. [Google Scholar] [CrossRef]
  21. Lai, X.Z.; She, J.H.; Cao, W.H.; Yang, S.X. Stabilization of underactuated planar acrobot based on motionstate constraints. Int. J. Non. Linear Mech. 2015, 77, 342–347. [Google Scholar] [CrossRef]
  22. Xiong, P.Y.; Feng, G.F.; Zeng, H.F.; Pan, C.Z. Position control for a planar underactuated manipulator based on model reduction and energy attenuation. In Proceedings of the 2022 41st Chinese Control Conference (CCC), Hefei, China, 25–27 July 2022; pp. 884–889. [Google Scholar] [CrossRef]
  23. Luo, Y.B.; Lai, X.Z.; Wu, M. A positioning control strategy of planar Acrobot. In Proceedings of the 30th Chinese Control Conference, Yantai, China, 22–24 July 2011; pp. 743–747. [Google Scholar]
  24. Shoji, T.; Katsumata, S.; Nakaura, S.; Sampei, M. Throwing motion control of the springed Pendubot. IEEE Trans. Control Syst. Technol. 2013, 21, 950–957. [Google Scholar] [CrossRef]
  25. Luca, A.D.; Mattone, R.; Oriolo, G. Stabilization of an underactuated planar 2R manipulator. Int. J. Robust Nonlinear Control 2000, 10, 181–198. [Google Scholar] [CrossRef]
  26. Urrea, C.; Kern, J.; Alvarez, E. Design of a generalized dynamic model and a trajectory control and position strategy for n-link underactuated revolute planar robots. Control Eng. Pract. 2022, 128, 5316–5329. [Google Scholar] [CrossRef]
  27. Huang, Z.X.; Hou, M.Y.; Wei, S.Q.; Wang, L.J. The unified control strategy for planar Acrobot and Pendubot. J. Shenzhen Univ. Sci. Eng. 2023, 40, 275–283. [Google Scholar] [CrossRef]
  28. Wang, H.N.; Hua, Y.; Chen, L. Unified control strategy of 2-DOF rotary underactuated manipulator. Modul. Mach. Tool Autom. Manuf. Technol. 2024, 11, 152–155. [Google Scholar] [CrossRef]
  29. Storn, R.; Price, K. Differential evolution—A simple and efficient heuristic for global optimization over continuous spaces. J. Glob. Optim. 1997, 11, 341–359. [Google Scholar] [CrossRef]
  30. Cao, S.Q.; Lai, X.Z.; Wu, M. Motion control method of planar Acrobot based on trajectory characteristics. In Proceedings of the 31st Chinese Control Conference, Hefei, China, 25–27 July 2012; pp. 4910–4915. [Google Scholar]
  31. LaSalle, J.P. Stability theory for ordinary differential equations. J. Differ. Equ. 1968, 4, 57–65. [Google Scholar] [CrossRef]
Disclaimer/Publisher’s Note: The statements, opinions and data contained in all publications are solely those of the individual author(s) and contributor(s) and not of MDPI and/or the editor(s). MDPI and/or the editor(s) disclaim responsibility for any injury to people or property resulting from any ideas, methods, instructions or products referred to in the content.

Article Metrics

Citations

Article Access Statistics

Multiple requests from the same IP address are counted as one view.