Abstract
Climate change and ocean warming have a huge impact on microbial communities, leading to an increased prevalence of Vibrio parahaemolyticus infections in northern America. V. parahaemolyticus is an inhabitant of aquatic environments and is associated with fishes and shellfishes, particularly with oysters. It causes gastrointestinal infection through consumption of contaminated seafood, as well as wound infections or septicemia. Temperature is known to affect virulence and persistence factors in V. parahaemolyticus. In this study, twenty clinical strains isolated form sick patients in Quebec, Canada, were characterized for persistence and virulence factor production at different temperatures to assess the impact of a switch from sea water to the human body on them. Their capacity to produce biofilm, hemolysins, and membrane vesicles as well as their motility and antibiotic resistance at 20 °C and 37 °C were assessed. Our results revealed that while temperature had little effect on vesicle production, it significantly influenced their growth, antimicrobial resistance, biofilm formation, and motility. Additionally, all V. parahaemolyticus strains produced hemolysins at 37 °C but not under environmental conditions.
1. Introduction
Vibrio are Gram-negative bacteria that reside in relatively warm and low-salinity marine environments [1]. They are commonly associated with a wide range of aquatic animals, including fish, crustaceans, and mollusks. Among the Vibrio genus, V. cholerae, V. parahaemolyticus, V. vulnificus, and V. alginolyticus are the primary species with strains that cause disease in humans [2]. Vibrio are the only foodborne pathogens with an increasing incidence in the United States, which makes them an important concern [1]. In this country, Vibrio comprise the most reported cause of seafood-associated outbreaks, with V. parahaemolyticus being the species most commonly isolated from affected patients [3,4]. Cases of V. parahaemolyticus infection have increased annually over the last decade [4,5,6,7]. It is indeed estimated to be responsible for more than 92,000 infections [8], and it represents 40% of all the reported Vibrio infections, called vibriosis, each year [3,4]. V. parahaemolyticus is also responsible for up to 19% of all the non-foodborne Vibrio infections [9]. Vibriosis have been under surveillance by the Centers for Disease Control and Prevention since 2007, when the number of cases first became noticeable [5].
While the United States (CDC) and British Columbia (BC Center for Disease Control) have surveillance programs for Vibrio and V. parahaemolyticus infections, such a program does not exist for the province of Quebec or for Canada at a national level. In Canada, important V. parahaemolyticus outbreaks occurred in 1997, 2015, and 2020, infecting more than 209, 82, and 23 people, respectively [10,11,12]. The two first outbreaks were linked to the consumption of shellfishes from British Columbia coastal waters, while the 2020 outbreak was linked to shellfishes from Atlantic Canadian coastal waters and touched seven people from the province of Quebec [10].
V. parahaemolyticus infections mostly occur by ingestion of contaminated undercooked or raw seafood, like oysters. Besides the acute gastroenteritis that V. parahaemolyticus can cause, it can be responsible for wound infections after exposure to contaminated water [2,13]. On rare occasions, V. parahaemolyticus can cause a sepsis in patients with underlying health conditions [14]. Amongst V. parahaemolyticus’s many virulence factors [15], the thermostable direct hemolysin (TDH) and TDH-related hemolysin (TRH) are the most important, inducing inflammatory gastroenteritis [16,17,18]. Their production is associated with pathogenic strains [19], although environmental strains can also encode for these toxins [20]. Its virulence factors also include two type III secretion systems [21], adhesion [22,23] and motility [24]. V. parahaemolyticus possesses two flagellar systems consisting of a single polar flagellum and lateral flagella. They are responsible for motility, adhesion to surfaces, and biofilm formation and for persistence in oysters [22,25]. V. parahaemolyticus can form biofilm—structured microbial communities embedded in a matrix—on seafood, enhancing its persistence and posing a threat to food safety [22,25].
Generally, V. parahaemolyticus outbreaks are seasonal and are associated with warmer water temperature, promoting bacterial spread [2,26]. For instance, the 2015 outbreak was associated with a historically high water temperature in the area [26,27]. Climate change is one of the main issues of the 21st century, affecting not only human populations but also ecosystems and their microbial inhabitants [28,29]. One of the consequences of climate change is the rise in ocean temperature, promoting the emergence of pathogenic bacteria and the expansion of their habitat area due to reduced biodiversity and altered environmental conditions [28,30]. The effect of climate change on marine bacteria extends beyond higher temperature, encompassing lower salinity, increased acidity, altered water circulation patterns, and rising sea water levels [28,30]. As marine bacteria, Vibrio are exposed to ocean warming, which represents an increasing concern regarding risks of infection by pathogenic marine bacteria [1,31,32,33]. Ocean warming has been linked to the increase in Vibrio infections’ prevalence [30,31,32,33,34], and the portrait is likely to worsen, including in Canada, making it urgent to understand V. parahaemolyticus’s virulence and persistence.
Temperature is known to be a modulator of virulence in V. parahaemolyticus, especially during the shift from the environment to the human body [17,22]. A collection of 20 clinical strains of V. parahaemolyticus isolated from sick patients in Quebec from August 2018 to August 2022 was provided by the Laboratoire de santé publique du Québec (LSPQ, a part of Institut National de Santé Publique du Québec). In this study, they were characterized for resistance and persistence traits at different temperatures, representing water and human body temperatures, to assess how temperature affects their virulence and persistence. Their resistance to antimicrobials was determined, and it showed a better global resistance at 20 °C than at 37 °C. Vesiculation at 20 °C and 37 °C were comparable. V. parahaemolyticus was generally more motile at 37 °C, which correlates with a lower capacity to form biofilm than at 20 °C. The hemolysis capacity was compared, and it showed that all the strains produce hemolysins at 37 °C but not at 20 °C. The presence of the major hemolysins tdh and trh was assessed by PCR and revealed that 95% of the strains encode for at least one of them, while one strain contained neither of them. The temperature significantly modified the phenotypes exhibited by V. parahaemolyticus, and our results could help to understand this emerging pathogen.
2. Materials and Methods
2.1. Strains
A collection from LSPQ (a part of Institut National de Santé Publique du Québec) of 20 pathogenic strains of V. parahaemolyticus isolated from patients in Quebec from 2018 to 2022 was used for this study, and the strains are listed in Table 1. V. parahaemolyticus strains were grown in LB2%NaCl (10 mg mL−1 tryptone (Termo Fisher™, Waltham, MA, USA), 5 mg mL−1 yeast extract (Thermo Fisher™, Waltham, MA, USA), 20 mg mL−1 NaCl (Thermo Fisher™, Waltham, MA, USA) or on LB2%NaCl agar plates (12 mg/mL agar) at 37 °C.
Table 1.
Bacterial strains used in this study.
2.2. Growth Curves and Minimal Inhibitory Concentrations
V. parahaemolyticus was grown at 37 °C to an optical density of 600 nm (OD600nm) of 0.3, then were further diluted by 1:30,000 in LB2%NaCl and distributed in 96-well plates with decreasing concentrations of antimicrobial peptides and antibiotics. Bacterial growth was measured by reading the OD600nm after 18 h of incubation at 20 °C and 37 °C. The minimal inhibitory concentration was defined as the smallest concentration inhibiting 100% of the bacterial growth (OD600nm = 0).
One hundred microliters of overnight cultures of V. parahaemolyticus diluted by 1:20 in fresh LB2%NaCl were distributed in a 96-well plate, which was further incubated at 20 °C and 37 °C with agitation. The growth curves were obtained by reading the OD600nm every hour using a SpectraMax ID3 plate reader (Molecular Devices, San Jose, CA, USA). Bacterial suspensions were diluted in PBS and spread on LB2%NaCl agar plates for bacterial counts. Data were obtained from three independent experiments in technical triplicates.
2.3. Biofilm Formation Assays
Biofilm formation was assessed as described before [35]. Briefly, bacteria were grown for 16 h in LB2%NaCl at 37 °C then diluted by 1:100 in fresh medium. Bacteria were distributed in a 96-well plate and incubated at 20 °C and 37 °C for 48 h without shaking. The biofilms were washed with sterile water, dried, and stained with 0.1% crystal violet for 10 min. After washing, the biofilms were dissolved in 100 µL of 30% acetic acid. The optical density at 595 nm (OD595nm) of the suspension was measured using a plate reader (Molecular Devices, San Jose, CA, USA) to quantify the biofilm biomass. The values were normalized on the OD600nm of the planktonic phase.
2.4. Hemolysin Production and Detection of tdh and trh by PCR
V. parahaemolyticus was grown in LB2%NaCl for 16 h at 37 °C. Three microliters of the bacterial suspension was spotted on sheep blood agar plates (Oxoid, Nepean, ON, Canada). The plates were incubated at 20 °C or 37 °C for 48 h. The diameter of the colony and of the hemolysis zone were measured. The colony diameter was subtracted from the diameter of the hemolysis zone. The experiment was repeated 4 times in independent experiments.
The presence of tdh and trh in the clinical strains was determined by PCR with commonly used sets of primers [20,36]. tdh was amplified with L-tdh: 5′-gtaaaggtctctgacttttggac-3′ and R-tdh 5′-tggaatagaaccttcatcttcacc-3′, and trh was amplified with L-trh: 5′-ttggcttcgatattttcagtatct-3′ and R-trh: 5′-cataacaaacatatgcccatttcc g-3′, using DNA Taq Polymerase from New England Biolabs (Whitby, ON, Canada). The cycle consisted of an initial denaturation step of 30 s at 95 °C followed by 30 cycles of amplification consisting of a denaturation step of 20 s at 95 °C, primer annealing at 47 or 45 °C for 20 s (for tdh and trh, respectively), and extension at 68 °C for 30 s. A final extension step of 5 min at 68 °C was added. The sample migrated on 1% agarose gel with RedSafe™ Nucleic Acid Staining Solution. The experiment was repeated three times to ensure the absence of false positives or negatives.
2.5. Swimming Motility Assays
Swimming motility assays were performed as previously described [37,38], with slight modifications. Overnight cultures of bacteria were spotted on LB2%NaCl plates containing 0.3 or 1.2% agar. They were incubated for 24 h at 20 °C or 37 °C. The diameter of the bacterial growth was measured at 24 h. The relative diameter was calculated by dividing the diameter on motility agar (0.3%) by the diameter on agar plates (1.2%) for a strain at the same temperature. The experiment was repeated in six independent experiments.
2.6. Membrane Vesicle Production
Membrane vesicle production in the culture supernatant was assessed using the fluorescent marker FM1-43 (N-(3-Triethylammoniumpropyl)-4-(4-(Dibutyl amino) Styryl) Pyridinium Dibromide, Invitrogen, Waltham, MA, USA). V. parahaemolyticus clinical strains were grown in 150 µL of LB 2% NaCl in 96-well plates at 20 and 37 °C with agitation for 16 h. MO10 and its hypervesiculating variants V2 and V8 were used as control [38]. The OD600nm of the cultures was measured to assess bacterial growth, then the cultures were transferred into round-bottom plates and centrifuged at 1500× g for 30 min. Fifty microliters of the supernatant were transferred into a 96-well plate and FM1-43 was added at a final concentration of 10 µg/mL. The plates were incubated for 5 min in the dark, and the fluorescence at 479/579 nm was measured in SpectraMax ID3 plate reader (Molecular Devices, San Jose, CA, USA). The relative fluorescence was calculated by dividing the absolute fluorescence values by the bacterial growth values (OD600nm). The experiment was conducted in duplicates and repeated in 5 independent experiments.
2.7. Statistical Analysis
All data are expressed as mean ± SD and were analyzed for significance using GraphPad Prism (version.9.5.1). Student’s t-tests were used to compare conditions between 2 groups. One-way ANOVA was used for multiple group comparison. A result was considered as significant when the p value < 0.05 (*).
3. Results
3.1. V. parahaemolyticus Grows Faster at 37 °C than at 20 °C
Twenty clinical strains of V. parahaemolyticus isolated from sick patients in the province of Quebec, Canada, between 2018 and 2022 were characterized for their virulence and resistance traits at 20 °C and 37 °C. The bacterial growth of the strains at different temperatures was first assessed (Figure 1). Globally, for the same temperature, all the strains grew and exhibited comparable growth curves, as shown by similar OD600nm values through time (Figure 1A,B). Their growth was faster at 37 °C than at 20 °C (Figure 1A,B). At 20 °C, the OD600nm started to increase after 2 h, and while it reached a plateau (OD600nm of 0.6) at 12 h for some strains (4 out 20), it continued to increase until 24 h for the others (Figure 1A). At 37 °C, the growth began as early as 1 h after inoculation (Figure 1B). A plateau was reached for all the strains at an approximative OD600nm of 0.6 after only 8 h (Figure 1B). In contrast to the growth at 20 °C, the OD600nm remained stable after 8 h, and only a slight increase was observed at 24 h (Figure 1B). At 24 h, the OD600nm showed a tendency to be higher at 20 °C than at 37 °C with a mean final OD600nm of 0.756 and 0.621, respectively (Figure 1A,B). Bacterial counts were performed at 24 h of incubation (Figure 1C), and showed a similar tendency of the strains to display a higher number of colony forming units (CFU)/mL at 20 °C than at 37 °C, although this difference was not significant. These results suggest a slower but higher growth at 20 °C than at 37 °C.
Figure 1.
Growth of V. parahaemolyticus clinical strains at 20 and 37 °C. Clinical strains of V. parahaemolyticus were grown to an optical density at 600 nm (OD600nm) of 0.3 in LB2%NaCl at 37 °C. The cultures were diluted in fresh medium and distributed in 96-well culture plates. Bacteria were grown at (A) 20 °C or (B) 37 °C with agitation. The OD600nm was measured at different times to follow bacterial growth. (C) Bacterial counts in colony forming units per ml (CFU/mL) after 24 h of growth. Data are presented as mean ± SD from 5 independent experiments conducted in technical triplicates.
3.2. Temperature Affects V. parahaemolyticus Sensitivity to Antimicrobials
The resistance of the clinical strains of V. parahaemolyticus to antimicrobials was assessed by determination of their MIC for polymyxin B (PmB), carbenicillin, rifampicin, streptomycin, kanamycin, tetracycline, and chloramphenicol (Table 2). These antimicrobials interfere with different essential processes of the bacterial cell, i.e., RNA, cell wall and protein synthesis, and maintenance of membrane integrity. All the strains were sensitive to tetracycline and chloramphenicol, both affecting protein synthesis, regardless of the temperature, with a MIC below 1 µg/mL (Table 2). The strains had a moderate resistance to rifampicin, with MIC values ranging from 3.13 to 12.50 µg/mL (Table 2). For this antibiotic, an increased resistance was noticeable for six strains at 20 °C in comparison to 37 °C but with two strains (L 00 09 24 89 and L 00 39 90 22) being more resistant at 37 °C than at 20 °C. The MIC values of PmB (18/20), carbenicillin (16/20), and streptomycin (13/20) were generally higher at 20 °C than at 37 °C. Regarding kanamycin, the MIC values were sometimes up to four times higher at 37 °C than at 20 °C (Table 2), but five strains were more resistant at 20 °C than at 37 °C.
Table 2.
Minimal inhibitory concentration (MIC) of antimicrobial peptides and antibiotics at 20 °C and 37 °C for all the clinical strains of V. parahaemolyticus.
3.3. V. parahaemolyticus Produces More Biofilm at a Lower Temperature
Because of its importance in environmental persistence, the impact of temperature on V. parahaemolyticus clinical strains’ capacity to produce biofilm was assessed (Figure 2). Bacteria were grown in 96-well plates without shaking at 20 °C and 37 °C for 48 h, and the biofilm biomass was quantified using crystal violet. The biofilm production was relativized on OD600nm values to normalize the biofilm quantification on bacterial growth regardless of the effect of temperature on bacterial growth rate.
Figure 2.
Biofilm production of the clinical strains of V. parahaemolyticus at different temperatures. Bacteria were grown in LB2%NaCl at 20 °C (dark bars) and 37 °C (light bars) for 48 h without shaking in 96-well plates. The biofilms were stained with crystal violet and dissolved in acetic acid. The optical density (OD) at 595 nm of the suspension was measured to quantify the biofilm biomass. The relative OD was calculated using the OD at 600 nm of the planktonic phase to normalize biofilm production with bacterial growth. Data are presented as mean ± SD from six independent experiments conducted in technical triplicates. Asterisk represents a significant difference in biofilm biomass quantification for the same strain between growth temperatures, as determined by a one-way ANOVA (*, p < 0.05; **, p < 0.005).
All strains produced a biofilm at both temperatures (Figure 2). From all the strains, L 00 09 07 31 and L 00 09 75 90 produced the lowest biofilm biomass when grown at 37 °C (Figure 2). L 00 42 58 94 and L 00 40 18 94 produced the highest biomass at 20 °C (Figure 2). Although most strains produced a comparable biofilm biomass at 20 °C (mean = 3.828) and 37 °C (mean = 2.214), some strains produced significantly more biofilm biomass when the bacteria were grown at 20 °C than at 37 °C (Figure 2).
3.4. Temperature Has an Impact on V. parahaemolyticus’s Swimming Motility
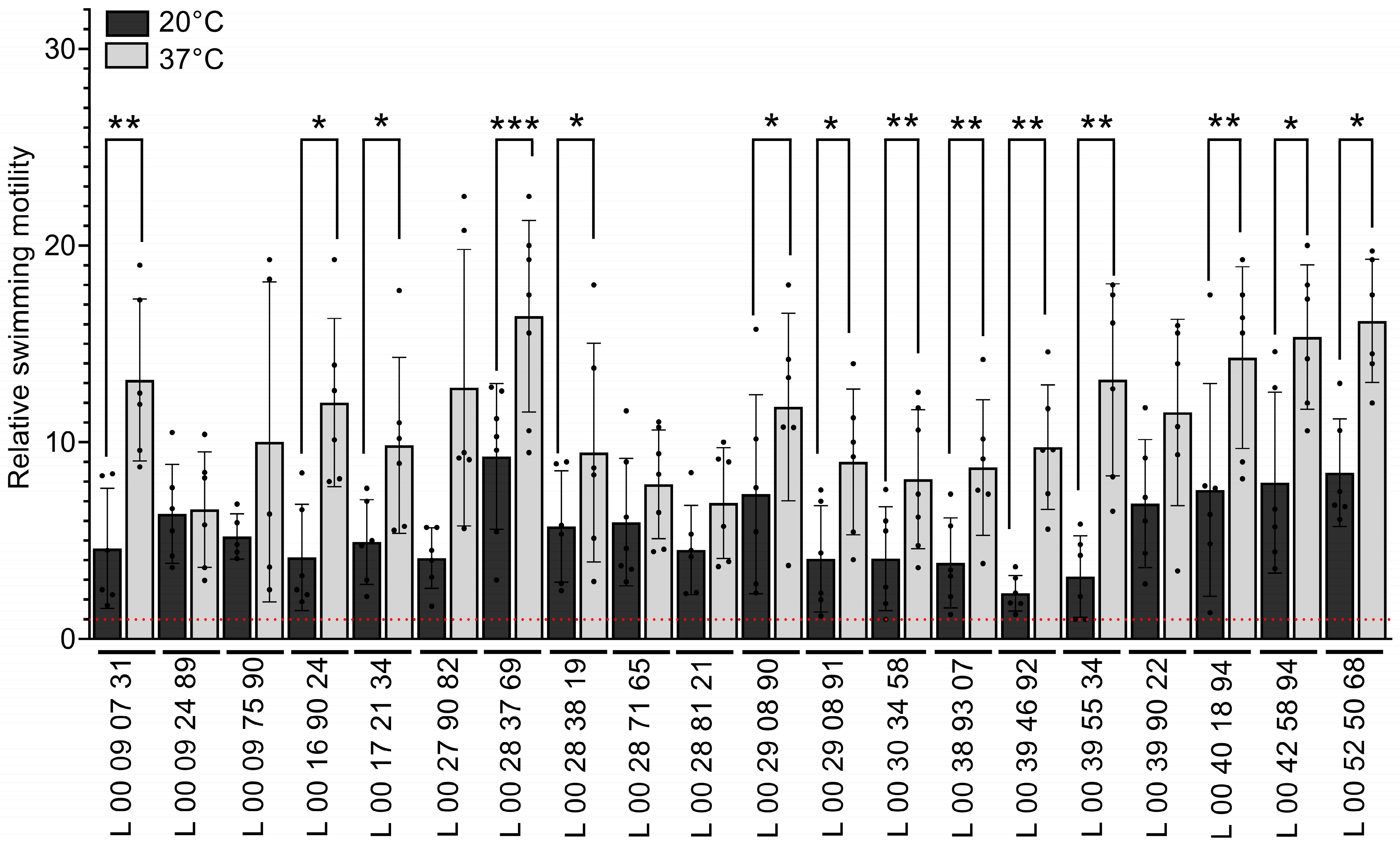
Motility, as well as being important for nutrients acquisition through chemotaxis, plays a role in virulence in V. parahaemolyticus [24]. The swimming motility of the strains was assessed by measuring the diameter of the colony on motility agar plates at 20 °C and 37 °C after 24 h (Figure 3). All the strains were motile at both temperatures, with a relative motility over 1 (red dotted line) (Figure 3). L 00 28 37 69 showed the highest motility, both at 37 °C and 20 °C, while L 00 39 46 92 showed the lowest at 20 °C (Figure 3). Several strains were significantly more motile at 37 °C than at 20 °C, as determined by a wider colony diameter on 0.3% agar plates, and an overall tendency of increased motility at 37 °C is observed (Figure 3).
Figure 3.
Swimming motility of the clinical strains of V. parahaemolyticus at different temperatures. Bacterial cultures were spotted on soft LB2%NaCl—0.3% agar plates and grown at 20 °C (dark grey) and 37 °C (light grey) for 24 h. The diameter of the colony was measured at 24 h on LB2%NaCl with 1.2% agar and 0.3% agar. The colony diameter on 0.3% agar plates was divided by the diameter on 1.2% agar plates. Data are presented as mean ± SD from at least 6 independent experiments. The red dotted line represents a relative motility of 1. Asterisk represents a significant difference in motility for a same strain between growth temperatures, as determined by a one-way ANOVA (*, p < 0.05; **, p < 0.005; ***, p < 0.0005).
3.5. Temperature Has No Effect on Membrane Vesicle Formation
Membrane vesicles (MVs) are implicated in various biological functions, including resistance to antimicrobials and phages, membrane modulation, and secretion of virulence factors and misfolded proteins, for example [39,40]. The impact of temperature on MV production was assessed by quantification of the MVs in the culture supernatant after 16 h of growth (Figure 4. MVs were produced by all strains at both temperatures. There was no significant difference in MV production between the strains, as similar fluorescence values were obtained for all the strains (Figure 4). Similar fluorescence values for the same strain between the conditions suggest that MV production was not affected by temperature either in those conditions (Figure 4).
Figure 4.
Membrane vesicle quantification in the culture supernatant of clinical strains of V. parahaemolyticus grown at different temperatures. Membrane vesicle production in the culture supernatant was assessed using FM1-43. Strains were grown in LB 2% NaCl in 96-well plates at 20 and 37 °C with agitation for 16 h. FM1-43 was added at a final concentration of 10 µg/mL to the culture supernatants, and the fluorescence at 479/579 nm was measured. The relative fluorescence was calculated by dividing the absolute fluorescence values by the optical density at 600 nm of the bacterial cultures. Data are presented as mean ± SD from seven independent experiments conducted in technical duplicates.
3.6. Effect of Temperature on Hemolysin Production
V. parahaemolyticus produces multiple hemolysins, including the pore-forming thermostable direct hemolysin (TDH) and TDH-related hemolysin (TRH) involved in virulence [41]. To assess the impact of temperature on hemolysins production, V. parahaemolyticus samples were spotted on TSA sheep blood agar and incubated for 48 h at 20 °C and 37 °C. The diameter of the hemolysis zone was measured (Figure 5A). At 37 °C, all the strains showed a hemolysis zone of variable size and wider than the colony diameter (Figure 5A,C). A variability between the strains was observed, with differences in the width of the hemolysis zone. The mean width of the hemolysis zone, excluding the colony diameter, was 0.466 cm. Interestingly, there was almost no hemolysis at 20 °C for all the strains (Figure 5B, bottom picture), suggesting that the hemolysins are less produced at this temperature. Given the diffused and faint hemolysis, the hemolysis zone could not be measured at 20 °C. Furthermore, at 20 °C, the colony morphology showed large swarming patterns (Figure 5B, top picture). This phenotype was observed at 37 °C, but the colonies were not as outspread as at 20 °C (Figure 5C).
Figure 5.
Hemolysin production is affected by temperature. Three microliters of bacterial suspension was spotted on sheep blood agar plates. The plates were incubated at 20 °C or 37 °C for 48 h. (A) The width of the hemolysis zone excluding the colony diameter was measured at 37 °C. Data are presented as mean ± SD of four independent experiments. Colony morphology on sheep blood agar after 48 h at (B) 20 °C or (C) 37 °C (upper panel). The lower-panel pictures show the hemolysis zone under the colonies. Pictures are representative of 3 different experiments. Asterisk represents a significant difference in diameter of the hemolysis zone between the strains, as determined by a one-way ANOVA (**, p < 0.005; ***, p < 0.0005; ****, p < 0.0001).
Since tdh and trh sequences are conserved amongst the strains with more than 80% homology, commonly used sets of primers were used for PCR amplification of those genes to determine their presence in the strains [36]. Fifteen strains contained tdh, while nineteen had the trh gene (Table 3). The strain L00090731 did not encode for tdh or trh, although hemolysis was visible on blood agar.
Table 3.
Presence of thermostable direct hemolysin (TDH) and TDH-related hemolysin (TRH) in the strains as determined by PCR amplification.
4. Discussion
In this study, we characterized twenty strains of V. parahaemolyticus isolated from sick patients between 2018 and 2022, including strains from the 2020 outbreak, in the province of Quebec, Canada. Their growth, their capacity to produce biofilm, hemolysins, and MVs, and their motility at 20 °C and 37 °C were assessed to determine their modulation by temperatures found in water and the human body.
First, the bacterial growth at both temperatures was compared. We observed that while the growth was slower, the clinical strains grew at 20 °C in LB2%NaCl and reached a higher final OD600nm than at 37 °C (Figure 1). A previous study showed that V. parahaemolyticus did not grow at 21 °C in sea water, while the growth was rapid and began as early as 1 h after the inoculation at 31 °C [42]. These differences could be due to the use of a rich medium instead of sea water, the strains used, or high biofilm production [43]. According to our results, the higher OD600nm after 24 h at 20 °C is likely due to a higher number of bacteria with CFU counts showing a tendency to be higher at this temperature than at 37 °C. After only 1 h of incubation at 37 °C, the OD600nm increased, while at 20 °C, the OD600nm began to rise after 2 h of incubation, suggesting a faster growth at 37 °C. This observation is consistent with previous studies showing a shorter lag time at 37 °C [42,43].
Next, the impact of the temperature on antimicrobial resistance was assessed. The results showed that the clinical strains were resistant to PmB, carbenicillin (β-lactam), the aminoglycosides kanamycin and streptomycin, and, to some extent, rifampicin (rifamycin). Previous studies also reported a high prevalence of resistance to polymyxins, including PmB and colistin, ampicillin (β-lactam), sulfonamide, and streptomycin (aminoglycoside) in V. parahaemolyticus clinical strains and strains isolated from seafood [15]. Conversely, all the strains used in this study were sensitive to chloramphenicol and tetracycline. Resistance genes to tetracyclines, β-lactams, aminoglycosides, and rifamycins were found is V. parahaemolyticus isolates in a genotypic study and a screening of antimicrobial resistance genes in 10,000 genomes but were not correlated to phenotype [15,44,45].
An impact of temperature on resistance to some antimicrobials was observed. While there was no impact of temperature on resistance to tetracycline and chloramphenicol, the strains had an increased resistance to PmB, carbenicillin, and streptomycin at 20 °C compared to at 37 °C (Table 2). These antibiotics affect different bacterial processes, i.e., the membrane, cell wall, and protein synthesis, respectively. An impact of temperature on antimicrobial resistance was previously observed [46,47,48]. The outer membrane, by being anchored to the peptidoglycan and because of the outer membrane protein and lipopolysaccharide network, is less fluid than the cytoplasmic membrane, conferring resistance to antimicrobials in Gram-negative bacteria [49]. It is known that the temperature affects membrane fluidity, with high temperatures making it more fluid, while low temperatures make it is less fluid [50,51,52]. It was shown in V. parahaemolyticus that temperature modifies the relative proportions of saturated and unsaturated fatty acids, affecting membrane fluidity and permeability [53]. A lower temperature might then limit the penetration of antibiotics inside the cell, making the bacteria more resistant to antimicrobials.
Streptomycin is a polycationic antibiotic of the aminoglycoside’s family, which enters the cell after the first interaction with the negatively charged components at the cell surface, such as lipopolysaccharides in Gram-negative bacteria [54]. Stenotrophomonas maltophilia, another Gram-negative bacterium, is less susceptible to aminoglycoside antibiotics at 30 °C than at 37 °C because of a reduction in negatively charged phosphate in the lipopolysaccharides at lower temperatures [55]. In other Gram-negative bacteria, low temperature is known to increase the expression of genes from the envelope stress response, leading to resistance to PmB and β-lactam, or to activate alternate sigma factors regulating adaptative responses to environmental stresses [56,57]. Such a response could also occur in V. parahaemolyticus, which could explain, at least in part, the resistance to higher PmB and carbenicillin concentrations at 20 °C than at 37 °C.
Overall, our findings show that V. parahaemolyticus exhibits increased resistance to several antibiotics at lower temperatures, which could have significant implications for antibiotic use in aquaculture. In these environments, where temperatures are often lower than 37 °C, susceptibility testing performed at standard clinical conditions (37 °C) may underestimate resistance levels seen in the field, leading to inappropriate antibiotic selection or dosing. This mismatch could contribute to the development of antimicrobial resistance in aquaculture settings, where excessive or ineffective use of antibiotics may promote the spread of resistant strains that are more difficult to treat in humans, especially following exposure from seafood or aquaculture sources. Key resistance mechanisms, such as efflux pump activity [58] and β-lactamase production [59], can be thermally regulated, altering their expression depending on the surrounding temperature. However, the overall misuse of antibiotics in these environments—whether due to inadequate dosing or inappropriate drug selection—can drive adaptation in V. parahaemolyticus, enhancing its resistance over time. Our current and previous findings [35] emphasize the need for antimicrobial susceptibility testing that considers environmental temperature variations to ensure effective treatment and prevent the emergence of resistant strains.
Lastly, the impact of temperature on the persistence and virulence factors of V. parahaemolyticus as it transitions from environmental to human body temperature was assessed. Although an impact of temperature on clinical strains of V. parahaemolyticus virulence was observed before, the underlying mechanisms driving this modulation and its effects on virulence and persistence remain unknown [17,42,60].
At 20 °C, representing the marine environment, the strains generally showed more swarming but less swimming motility. V. parahaemolyticus possesses a constitutive sheathed polar flagellum, used for swimming motility in liquids, and non-sheathed lateral peritrichous flagella, used for swarming motility on viscous or solid surfaces [61,62,63]. Motility is a key virulence and colonization factor of V. parahaemolyticus [62]. Furthermore, both flagellar systems are important for oysters’ colonization and biofilm formation [23,64]. The polar flagellum initiates attachment to surfaces for biofilm formation [65]. The expression of lateral flagella is induced when the rotation of the polar flagellum slows on viscous or solid surfaces [66]. This leads to a differentiation to a swarming phenotype, defined by filamentation of the bacteria and lateral flagella production, used for adhesion to and colonization of surfaces, such as chitin, and microcolony formation with cell-to-cell interaction [61,63,67,68]. The expression of lateral flagella is also modulated by starvation, iron, quorum sensing, and cyclic di-GMP (c-di-GMP) concentrations [66,67]. This correlates with a higher biofilm production at 20 °C than at 37° C, the polar flagellum and biofilm formation being inversely regulated in V. parahaemolyticus [62]. For all the strains used in this study, after 48 h, large swarming patterns were observed at 20 °C on sheep blood agar, indicating the production of peritrichous flagella by V. parahaemolyticus [69], and although swarming was observed at 37 °C, the diameter was much smaller (Figure 5). These results suggest that V. parahaemolyticus might highly produce lateral flagella at 20 °C in specific conditions as this phenomenon was not observed on LB supplemented with 2% NaCl. Conversely to the swarming motility, the clinical isolates of V. parahaemolyticus showed generally more swimming motility at 37 °C than at 20 °C (Figure 3), as observed before [17].
Because of the role of the flagella in biofilm formation and the importance of biofilm in V. parahaemolyticus environmental persistence, the biofilm biomass was quantified after 48 h, at 20 °C and at 37 °C. A high variability between the strains and an overall higher biofilm production at 20 °C than at 37 °C were observed (Figure 2). V. parahaemolyticus biofilm production depends on flagella, capsular polysaccharide production, pili, and adhesion factors such as GbpA [42]. A previous study using 39 environmental and pathogenic strains of V. parahaemolyticus isolated from patients or shrimps showed a highly variable strain-dependent biofilm production [70]. A higher global biofilm production and densification were observed at 25 °C than at 37 °C [70]. Other studies showed higher biofilm formation at lower temperatures than at 37 °C [71,72], but the opposite trend can be observed [17,22,42,73] and is likely due to strain variability and experimental conditions. A kinetic analysis of biofilm formation at different temperatures showed that a mature biofilm is obtained faster when incubated at 37 °C (after only 8 h) than at 15 or 25 °C (12 to 48 h) [70]. Biofilm observation after short periods of time would thus lead to a reversed phenotype than after 48 h. Since the biofilm is formed more rapidly at 37 °C than at 20 °C [70], it is possible that after 48 h at 37 °C, the biofilms were in the dispersion phase, reflecting a lower biomass than at 20 °C, for which the mature biofilm is obtained later. Altogether, our results corroborate an impact of temperature on biofilm production in V. parahaemolyticus.
Our results also reveal differences in biofilm formation between strains, with some producing two to three times more biomass than others. Several studies have demonstrated the important roles of quorum sensing and c-di-GMP levels in biofilm regulation [74]. V. parahaemolyticus produces and responds to several quorum-sensing molecules, including DPO (3,5-dimethylpyrazin-2-ol, produced by the Tdh synthase), AI-1 (N-(3-hydroxybutanoyl)-L-homoserine lactone), AI-2 ((2S,4S)-2-methyl-2,3,3,4-tetrahydroxytetrahydrofuran-borate), and CAI-1 ((Z)-3-aminoundec-2-en-4-one) [75]. Furthermore, quorum sensing plays an important role in c-di-GMP homeostasis in V. parahaemolyticus [74,76,77]. Differences in the production and detection of quorum-sensing and c-di-GMP molecules have been reported between V. parahaemolyticus strains due to genetic mutations or phase variation [75,78]. It is possible that the variation observed between strains in our study is due to differential expression or functionality of quorum-sensing and c-di-GMP pathways and their downstream effectors, ultimately leading to differences in biofilm formation capacity.
Although they are not essential for virulence [79], TDH and TRH hemolysins are considered the major virulence factor in V. parahaemolyticus [41]. Our results showed hemolysis on blood sheep agar plates at 37 °C, but not at 20 °C, by all strains, although a variability in hemolysis between the strains was observed (Figure 5). TDH is a pore-forming toxin that leads to release of water and ions, leading to diarrhea, while TRH is responsible for fluid accumulation in the gut as a result of Cl− release [41]. It was suggested that V. parahaemolyticus might express tdh and trh to acquire nutrients in a hostile environment, such as the host [41]. It was estimated that 10% of clinical isolates do not encode tdh and/or trh, with some pathogenic isolates lacking both of them [41]. A PCR amplification [36] of tdh and trh in our 20 clinical strains showed that 95% of the strains had at least one of them, while 75% possessed both genes, which is similar to what was observed. It is, however, possible that because of point mutations, the amplification could not occur on some strains. One strain (L00090731) did not encode for tdh or trh, although hemolysis was visible on blood agar, with a hemolytic zone near the mean value. However, V. parahaemolyticus possesses other hemolytic toxins such as the thermolabile hemolysin tlh and δ-VPH, which could explain this phenotype [80,81,82]. The strains L00394692 and L00169024 had the widest hemolytic zones, even without encoding for tdh, suggesting a differential regulation in those strains. Previous studies reported a temperature effect on hemolysins, as the expression of tdh and the global hemolytic activity of V. parahaemolyticus were higher at 37 °C than at lower temperatures [17,42,83], which correlates with our results.
Taken together, our results clearly demonstrate an impact of temperature on persistence and virulence factors produced by V. parahaemolyticus, which can provide colonization (20 °C) or virulence (37 °C) advantages (Table 4). Some phenotypes at 20 °C could help V. parahaemolyticus to persist in oysters and in the aquatic environment, such as swarming, which is associated with high adherence and biofilm formation [61], and biofilm formation that protects the bacteria from hostile environment [65]. The strains were also more resistant to PmB, a cationic antimicrobial peptide, at 20 °C. Although PmB is not produced by oysters, cationic antimicrobial peptides play a crucial role in their immune defense system [84]. Conversely, at 37 °C, the strains grew faster and produced virulence-associated factors like TDH and TRH, and a high swimming motility. TDH and TRH are toxins with cytotoxic and hemolysin activities and are associated with pathogenic strains [41].
Table 4.
Summary of the temperature effects on clinical strains of V. parahaemolyticus.
Bacterial pathogens that alternate between environmental reservoirs and mammalian hosts often rely on environmental signals to regulate the expression of virulence-related genes [85]. In V. parahaemolyticus, clinical and environmental strains exhibit notable differences in virulence gene expression, with clinical strains showing increased activation of virulence factors—including hemolysins, biofilm formation, and motility—when shifting from 28 °C to 37 °C [17]. Several regulators mediate the temperature-dependent expression of virulence effectors in V. parahaemolyticus. Notably, the histone-like nucleoid-structuring protein (H-NS) contributes to the activation of T3SS2—an apparatus involved in TDH secretion—at 37 °C but not at temperatures below 30 °C, including 20 °C [83,86]. This regulation pattern aligns with our hemolytic activity results, although additional hemolysins are likely involved.
Another study showed that a temperature shift from 16 °C to 30 °C induces the expression of flagellar assembly genes, as well as genes encoding the type VI secretion system (T6SS) and adhesion factors [87]. In their analysis, both opaR and toxR—two known regulators—were downregulated at 30 °C, consistent with T6SS activation. Although ToxR is a positive regulator of motility and its deletion reduces motility [88], an increased motility at 37 °C was observed here. OpaR is a known repressor of polar flagellum expression [89]. Thus, the downregulation of opaR at 30 °C may partly explain the upregulation of flagellar-related genes, which aligns with the increased motility we observed.
OpaR, the master regulator of quorum sensing in V. parahaemolyticus, plays a crucial role in the regulation of biofilm formation. This process is highly controlled and influenced by the secondary messenger c-di-GMP in a strain-dependent manner. OpaR can function either as a repressor or an activator of biofilm formation. As a repressor, it reduces intracellular c-di-GMP levels, thereby inhibiting biofilm development [76]. Conversely, it can also promote biofilm formation by upregulating the expression of cpsQ, which encodes a c-di-GMP-binding protein that activates this process [90,91]. A previous study showed that biofilm formation in V. parahaemolyticus is influenced by temperature. Thicker biofilms were observed at lower temperatures (15 °C and 25 °C) compared to 37 °C, with the densest biofilm forming at 25 °C [70], consistent with our observations.
Given the expected rise in Vibrio species, including pathogens, in marine environments due to warming temperatures, especially in coastal areas where shellfish are harvested, it may become necessary to combine multiple post-harvest methods for more effective control of V. parahaemolyticus. A systematic review by Spaur and colleagues [92] evaluated several post-harvest interventions for V. parahaemolyticus in raw oysters and assessed their effectiveness in reducing bacterial contamination. They found that high hydrostatic pressure was the most consistently effective method, achieving significant bacterial reductions without compromising oyster quality. Other approaches, such as freezing, depuration, and high-salinity relaying, showed variable effectiveness, often influenced by environmental conditions or negative impacts on oyster sensory attributes. In all cases, strict maintenance of the cold chain after harvesting is essential to prevent bacterial proliferation. Studies show that 18% of oyster shipments exceed the temperature guidelines set by the U.S. government, while proper cold chain management reduces V. parahaemolyticus levels in 75% of shipments [93]. Notably, temperatures between 15 and 20 °C are commonly observed between harvest and shipping. In our study, we observed that biofilm formation at 20 °C enhances bacterial survival and increases resistance to environmental stresses. Therefore, maintaining post-harvest temperatures well below this threshold is crucial not only to limit bacterial growth but also to prevent the formation of biofilms, which can reduce the effectiveness of downstream interventions. These findings emphasize the importance of integrating temperature control with sanitation measures and, where appropriate, post-harvest treatments to safeguard seafood safety especially in the context of a warming climate. With the increased prevalence of V. parahaemolyticus infections due to climate change, a better comprehension of this pathogen and the regulation of its virulence and persistence in changing environmental conditions will also be necessary to prevent and limit infections and ensure food safety.
Author Contributions
Conceptualization: M.D.; methodology: all authors; validation: all authors; formal analysis: F.C.M. and A.M.-D.; investigation: F.C.M. and A.M.-D.; resources: M.D.; data curation: F.C.M. and A.M.-D.; writing—original draft: A.M.-D.; writing—review and editing: all authors.; visualization: A.M.-D.; supervision: A.M.-D. and M.D.; project administration: M.D.; funding acquisition: M.D. All authors have read and agreed to the published version of the manuscript.
Funding
This work was supported by the Natural Sciences and Engineering Research Council of Canada (NSERC; http://www.nserc-crsng.gc.ca/index_eng.asp, accessed on 22 May 2025) Discovery grant number RGPIN-2017-05322. AM-D received financial support from the NSERC scholarship program (BESC D3—558,624—2021). AM-D and MD received financial support from the RAQ (Ressources Aquatiques Québec), an inter-institutional group supported financially by the Fonds de recherche du Québec—Nature et technologies (FRQNT) (Programme regroupements stratégiques).
Institutional Review Board Statement
Not applicable.
Informed Consent Statement
Not applicable.
Data Availability Statement
The original contributions presented in this study are included in the article. Further inquiries can be directed to the corresponding author.
Acknowledgments
The authors would like to thank the Institut National de Santé Publique du Québec (INSPQ), especially Dre. Cindy Lalancette, for the bacterial strains.
Conflicts of Interest
The authors declare no conflicts of interest.
References
- Baker-Austin, C.; Trinanes, J.; Gonzalez-Escalona, N.; Martinez-Urtaza, J. Non-cholera Vibrios: The microbial barometer of climate change. Trends Microbiol. 2017, 25, 76–84. [Google Scholar] [CrossRef] [PubMed]
- Baker-Austin, C.; Oliver, J.D.; Alam, M.; Ali, A.; Waldor, M.K.; Qadri, F.; Martinez-Urtaza, J. Vibrio spp. infections. Nat. Rev. Dis. Primers 2018, 4, 1–19. [Google Scholar] [CrossRef] [PubMed]
- Iwamoto, M.; Ayers, T.; Mahon, B.E.; Swerdlow, D.L. Epidemiology of seafood-associated infections in the United States. Clin. Microbiol. Rev. 2010, 23, 399–411. [Google Scholar] [CrossRef]
- CDC. Cholera and Other Vibrio Illness Surveillance: Annual Summary. 2019. Available online: https://www.cdc.gov/vibrio/php/surveillance/annual-summary-2019.html (accessed on 6 December 2024).
- National Center for Emerging and Zoonotic Infectious Diseases (U.S.); Division of Foodborne, Waterborne, and Environmental Diseases. National Enteric Disease Surveillance: COVIS Annual Summary, 2012; U.S. Centers For Disease Control And Prevention: Atlanta, GA, USA, 2014; p. 9.
- National Center for Emerging and Zoonotic Infectious Diseases (U.S.); Division of Foodborne, Waterborne, and Environmental Diseases. National Enteric Disease Surveillance: COVIS Annual Summary, 2013; U.S. Centers For Disease Control And Prevention: Atlanta, GA, USA, 2015.
- National Center for Emerging and Zoonotic Infectious Diseases (U.S.); Division of Foodborne, Waterborne, and Environmental Diseases. National Enteric Disease Surveillance: COVIS Annual Summary, 2014; U.S. Centers For Disease Control and Prevention: Atlanta, GA, USA, 2016; p. 11.
- Seelman, S.L.; Whitney, B.M.; Stokes, E.K.; Elliot, E.L.; Griswold, T.; Patel, K.; Bloodgood, S.; Jones, J.L.; Cripe, J.; Cornell, J.; et al. An outbreak investigation of Vibrio parahaemolyticus infections in the United States linked to crabmeat imported from venezuela: 2018. Foodborne Pathog. Dis. 2023, 20, 123–131. [Google Scholar] [CrossRef]
- Dechet, A.M.; Yu, P.A.; Koram, N.; Painter, J. Nonfoodborne Vibrio infections: An important cause of morbidity and mortality in the United States, 1997-2006. Clin. Infect. Dis. 2008, 46, 970–976. [Google Scholar] [CrossRef]
- Public Health Agency of Canada. Public Health Notice: Outbreak of Vibrio parahaemolyticus Infections Linked to Shellfish; Public Health Agency of Canada: Ottawa, ON, Canada, 2020.
- Public Health Agency of Canada. Public Health Notice—Outbreak of Vibrio parahaemolyticus Linked to Raw Shellfish; Public Health Agency of Canada: Ottawa, ON, Canada, 2017.
- Centers for Disease Control and Prevention (CDC). Outbreak of Vibrio parahaemolyticus infections associated with eating raw oysters--Pacific Northwest, 1997. MMWR Morb. Mortal. Wkly. Rep. 1998, 47, 457–462. [Google Scholar]
- Ma, J.Y.; Zhu, X.K.; Hu, R.G.; Qi, Z.Z.; Sun, W.C.; Hao, Z.P.; Cong, W.; Kang, Y.H. A systematic review, meta-analysis and meta-regression of the global prevalence of foodborne Vibrio spp. infection in fishes: A persistent public health concern. Mar. Pollut. Bull. 2023, 187, 114521. [Google Scholar] [CrossRef] [PubMed]
- Butt, A.A.; Aldridge, K.E.; Sanders, C.V. Infections related to the ingestion of seafood Part I: Viral and bacterial infections. Lancet Infect. Dis. 2004, 4, 201–212. [Google Scholar] [CrossRef]
- Koutsoumanis, K.; Allende, A.; Alvarez-Ordóñez, A.; Bolton, D.; Bover-Cid, S.; Chemaly, M.; De Cesare, A.; Herman, L.; Hilbert, F.; Lindqvist, R.; et al. Public health aspects of Vibrio spp. related to the consumption of seafood in the EU. EFSA J. 2024, 22, e8896. [Google Scholar] [CrossRef]
- Baker-Austin, C.; Stockley, L.; Rangdale, R.; Martinez-Urtaza, J. Environmental occurrence and clinical impact of Vibrio vulnificus and Vibrio parahaemolyticus: A European perspective. Environ. Microbiol. Rep. 2010, 2, 7–18. [Google Scholar] [CrossRef]
- Mahoney, J.C.; Gerding, M.J.; Jones, S.H.; Whistler, C.A. Comparison of the pathogenic potentials of environmental and clinical Vibrio parahaemolyticus strains indicates a role for temperature regulation in virulence. Appl. Environ. Microbiol. 2010, 76, 7459–7465. [Google Scholar] [CrossRef] [PubMed]
- Honda, T.; Iida, T. The pathogenicity of Vibrio parahaemolyticus and the role of the thermostable direct haemolysin and related haemolysins. Rev. Med. Microbiol. 1993, 4, 106–113. [Google Scholar] [CrossRef]
- Theethakaew, C.; Feil, E.J.; Castillo-Ramirez, S.; Aanensen, D.M.; Suthienkul, O.; Neil, D.M.; Davies, R.L. Genetic relationships of Vibrio parahaemolyticus isolates from clinical, human carrier, and environmental sources in Thailand, determined by multilocus sequence analysis. Appl. Environ. Microbiol. 2013, 79, 2358–2370. [Google Scholar] [CrossRef]
- Gutierrez West Casandra, K.; Klein Savannah, L.; Lovell Charles, R. High frequency of virulence factor genes tdh, trh, and tlh in Vibrio parahaemolyticus strains isolated from a Pristine estuary. Appl. Environ. Microbiol. 2013, 79, 2247–2252. [Google Scholar] [CrossRef]
- Park, K.S.; Ono, T.; Rokuda, M.; Jang, M.H.; Okada, K.; Iida, T.; Honda, T. Functional characterization of two type III secretion systems of Vibrio parahaemolyticus. Infect. Immun. 2004, 72, 6659–6665. [Google Scholar] [CrossRef]
- Han, N.; Mizan, M.F.R.; Jahid, I.K.; Ha, S.-D. Biofilm formation by Vibrio parahaemolyticus on food and food contact surfaces increases with rise in temperature. Food Control 2016, 70, 161–166. [Google Scholar] [CrossRef]
- Aagesen, A.M.; Phuvasate, S.; Su, Y.C.; Hase, C.C. Characterizing the adherence profiles of virulent Vibrio parahaemolyticus isolates. Microb. Ecol. 2018, 75, 152–162. [Google Scholar] [CrossRef] [PubMed]
- Josenhans, C.; Suerbaum, S. The role of motility as a virulence factor in bacteria. Int. J. Med. Microbiol. 2002, 291, 605–614. [Google Scholar] [CrossRef]
- Rajkowski, K.T. Biofilms in fish processing. In Biofilms in the Food and Beverage Industries; Elsevier: Cambridge, UK, 2009; pp. 499–516. [Google Scholar]
- Galanis, E.; Otterstatter, M.; Taylor, M. Measuring the impact of sea surface temperature on the human incidence of Vibrio sp. infection in British Columbia, Canada, 1992–2017. Environ. Health 2020, 19, 58. [Google Scholar] [CrossRef]
- Taylor, M.; Cheng, J.; Sharma, D.; Bitzikos, O.; Gustafson, R.; Fyfe, M.; Greve, R.; Murti, M.; Stone, J.; Honish, L.; et al. Outbreak of Vibrio parahaemolyticus associated with consumption of raw oysters in Canada, 2015. Foodborne Pathog. Dis. 2018, 15, 554–559. [Google Scholar] [CrossRef]
- Ibáñez, A.; Garrido-Chamorro, S.; Barreiro, C. Microorganisms and climate change: A not so invisible effect. Microbiol. Res. 2023, 14, 918–947. [Google Scholar] [CrossRef]
- Cavicchioli, R.; Ripple, W.J.; Timmis, K.N.; Azam, F.; Bakken, L.R.; Baylis, M.; Behrenfeld, M.J.; Boetius, A.; Boyd, P.W.; Classen, A.T.; et al. Scientists’ warning to humanity: Microorganisms and climate change. Nat. Rev. Microbiol. 2019, 17, 569–586. [Google Scholar] [CrossRef] [PubMed]
- Harvell, C.D.; Mitchell, C.E.; Ward, J.R.; Altizer, S.; Dobson, A.P.; Ostfeld, R.S.; Samuel, M.D. Climate warming and disease risks for terrestrial and marine biota. Science 2002, 296, 2158–2162. [Google Scholar] [CrossRef] [PubMed]
- Baker-Austin, C.; Trinanes, J.A.; Taylor, N.G.H.; Hartnell, R.; Siitonen, A.; Martinez-Urtaza, J. Emerging Vibrio risk at high latitudes in response to ocean warming. Nat. Clim. Chang. 2013, 3, 73–77. [Google Scholar] [CrossRef]
- Vezzulli, L.; Brettar, I.; Pezzati, E.; Reid, P.C.; Colwell, R.R.; Hofle, M.G.; Pruzzo, C. Long-term effects of ocean warming on the prokaryotic community: Evidence from the vibrios. ISME J. 2012, 6, 21–30. [Google Scholar] [CrossRef]
- Climate change exacerbates almost two-thirds of pathogenic diseases affecting humans. Nat. Clim. Chang. 2022, 12, 791–792. [CrossRef]
- Fleischmann, S.; Herrig, I.; Wesp, J.; Stiedl, J.; Reifferscheid, G.; Strauch, E.; Alter, T.; Brennholt, N. Prevalence and distribution of potentially human pathogenic Vibrio spp. on German North and Baltic sea coasts. Front. Cell Infect. Microbiol. 2022, 12, 846819. [Google Scholar] [CrossRef]
- Pauze-Foixet, J.; Mathieu-Denoncourt, A.; Duperthuy, M. Elevated concentrations of polymyxin B elicit a biofilm-specific resistance mechanism in Vibrio cholerae. Res. Microbiol. 2024, 175, 104179. [Google Scholar] [CrossRef]
- Bej, A.K.; Patterson, D.P.; Brasher, C.W.; Vickery, M.C.L.; Jones, D.D.; Kaysner, C.A. Detection of total and hemolysin-producing Vibrio parahaemolyticus in shellfish using multiplex PCR amplification of tl, tdh and trh. J. Microbiol. Methods 1999, 36, 215–225. [Google Scholar] [CrossRef]
- Giacomucci, S.; Cros, C.D.; Perron, X.; Mathieu-Denoncourt, A.; Duperthuy, M. Flagella-dependent inhibition of biofilm formation by sub-inhibitory concentration of polymyxin B in Vibrio cholerae. PLoS ONE 2019, 14, e0221431. [Google Scholar] [CrossRef]
- Giacomucci, S.; Mathieu-Denoncourt, A.; Vincent, A.T.; Jannadi, H.; Duperthuy, M. Experimental evolution of Vibrio cholerae identifies hypervesiculation as a way to increase motility in the presence of polymyxin B. Front. Microbiol. 2022, 13, 932165. [Google Scholar] [CrossRef] [PubMed]
- Toyofuku, M.; Schild, S.; Kaparakis-Liaskos, M.; Eberl, L. Composition and functions of bacterial membrane vesicles. Nat. Rev. Microbiol. 2023, 21, 415–430. [Google Scholar] [CrossRef]
- Juodeikis, R.; Carding Simon, R. Outer membrane vesicles: Biogenesis, functions, and issues. Microbiol. Mol. Biol. Rev. 2022, 86, e00032-22. [Google Scholar] [CrossRef] [PubMed]
- Raghunath, P. Roles of thermostable direct hemolysin (TDH) and TDH-related hemolysin (TRH) in Vibrio parahaemolyticus. Front. Microbiol. 2014, 5, 805. [Google Scholar] [CrossRef] [PubMed]
- Billaud, M.; Seneca, F.; Tambutté, E.; Czerucka, D. An Increase of Seawater Temperature Upregulates the Expression of Vibrio parahaemolyticus Virulence Factors Implicated in Adhesion and Biofilm Formation. Front. Microbiol. 2022, 13, 840628. [Google Scholar] [CrossRef]
- Kim, Y.W.; Lee, S.H.; Hwang, I.G.; Yoon, K.S. Effect of temperature on growth of Vibrio parahaemolyticus [corrected] and Vibrio vulnificus in flounder, salmon sashimi and oyster meat. Int. J. Environ. Res. Public Health 2012, 9, 4662–4675. [Google Scholar] [CrossRef]
- Janecko, N.; Bloomfield, S.J.; Palau, R.; Mather, A.E. Whole genome sequencing reveals great diversity of Vibrio spp in prawns at retail. Microb. Genom. 2021, 7, 000647. [Google Scholar] [CrossRef] [PubMed]
- Martinez-Urtaza, J.; Cabrera-Gumbau, J.M. Screening of AMR-related genes in the genomes of Vibrio parahaemolyticus strains isolated in Europe from clinical, environmental and other sources. Zenodo 2024. [Google Scholar] [CrossRef]
- De Silva, P.M.; Chong, P.; Fernando Dinesh, M.; Westmacott, G.; Kumar, A. Effect of incubation temperature on antibiotic resistance and virulence factors of Acinetobacter baumannii ATCC 17978. Antimicrob. Agents Chemother. 2017, 62, e01514-17. [Google Scholar] [CrossRef]
- Mackowiak, P.A.; Marling-Cason, M.; Cohen, R.L. Effects of temperature on antimicrobial susceptibility of bacteria. J. Infect. Dis. 1982, 145, 550–553. [Google Scholar] [CrossRef]
- Wheat, P.F.; Winstanley, T.G.; Spencer, R.C. Effect of temperature on antimicrobial susceptibilities of Pseudomonas maltophilia. J. Clin. Pathol. 1985, 38, 1055–1058. [Google Scholar] [CrossRef]
- Nikaido, H.; Vaara, M. Molecular basis of bacterial outer membrane permeability. Microbiol. Rev. 1985, 49, 1–32. [Google Scholar] [CrossRef]
- Nenninger, A.; Mastroianni, G.; Robson, A.; Lenn, T.; Xue, Q.; Leake, M.C.; Mullineaux, C.W. Independent mobility of proteins and lipids in the plasma membrane of Escherichia coli. Mol. Microbiol. 2014, 92, 1142–1153. [Google Scholar] [CrossRef]
- Los, D.A.; Murata, N. Membrane fluidity and its roles in the perception of environmental signals. Biochim. Biophys. Acta 2004, 1666, 142–157. [Google Scholar] [CrossRef]
- Ginez, L.D.; Osorio, A.; Vazquez-Ramirez, R.; Arenas, T.; Mendoza, L.; Camarena, L.; Poggio, S. Changes in fluidity of the E. coli outer membrane in response to temperature, divalent cations and polymyxin-B show two different mechanisms of membrane fluidity adaptation. FEBS J. 2022, 289, 3550–3567. [Google Scholar] [CrossRef]
- Chiang, M.-L.; Yu, R.-C.; Chou, C.-C. Fatty acid composition, cell morphology and responses to challenge by organic acid and sodium chloride of heat-shocked Vibrio parahaemolyticus. Int. J. Food Microbiol. 2005, 104, 179–187. [Google Scholar] [CrossRef]
- Krause, K.M.; Serio, A.W.; Kane, T.R.; Connolly, L.E. Aminoglycosides: An overview. Cold Spring Harb. Perspect. Med. 2016, 6, a027029. [Google Scholar] [CrossRef]
- Rahmati-Bahram, A.; Magee, J.T.; Jackson, S.K. Effect of temperature on aminoglycoside binding sites in Stenotrophomonas maltophilia. J. Antimicrob. Chemother. 1997, 39, 19–24. [Google Scholar] [CrossRef]
- Detweiler, C.S.; Monack, D.M.; Brodsky, I.E.; Mathew, H.; Falkow, S. virK, somA and rcsC are important for systemic Salmonella enterica serovar Typhimurium infection and cationic peptide resistance. Mol. Microbiol. 2003, 48, 385–400. [Google Scholar] [CrossRef]
- Huang, L.; Ahmed, S.; Gu, Y.; Huang, J.; An, B.; Wu, C.; Zhou, Y.; Cheng, G. The effects of natural products and environmental conditions on antimicrobial resistance. Molecules 2021, 26, 4277. [Google Scholar] [CrossRef]
- Bengoechea, J.A.; Skurnik, M. Temperature-regulated efflux pump/potassium antiporter system mediates resistance to cationic antimicrobial peptides in Yersinia. Mol. Microbiol. 2000, 37, 67–80. [Google Scholar] [CrossRef]
- Cullmann, W.; Dick, W. Influence of temperature on beta-lactamase production and outer membrane proteins in Gram-negative rods. Chemotherapy 2009, 36, 277–286. [Google Scholar] [CrossRef]
- Aagesen, A.M.; Hase, C.C. Seasonal effects of heat shock on bacterial populations, including artificial Vibrio parahaemolyticus exposure, in the Pacific oyster, Crassostrea gigas. Food Microbiol. 2014, 38, 93–103. [Google Scholar] [CrossRef]
- McCarter, L.L. Dual flagellar systems enable motility under different circumstances. J. Mol. Microbiol. Biotechnol. 2004, 7, 18–29. [Google Scholar] [CrossRef]
- Khan, F.; Tabassum, N.; Anand, R.; Kim, Y.-M. Motility of Vibrio spp.: Regulation and controlling strategies. Appl. Microbiol. Biotechnol. 2020, 104, 8187–8208. [Google Scholar] [CrossRef]
- Stewart, B.J.; McCarter, L.L. Lateral flagellar gene system of Vibrio parahaemolyticus. J. Bacteriol. 2003, 185, 4508–4518. [Google Scholar] [CrossRef]
- Aagesen, A.M.; Phuvasate, S.; Su, Y.C.; Hase, C.C. Persistence of Vibrio parahaemolyticus in the Pacific oyster, Crassostrea gigas, is a multifactorial process involving pili and flagella but not type III secretion systems or phase variation. Appl. Environ. Microbiol. 2013, 79, 3303–3305. [Google Scholar] [CrossRef]
- Yildiz, F.H.; Visick, K.L. Vibrio biofilms: So much the same yet so different. Trends Microbiol. 2009, 17, 109–118. [Google Scholar] [CrossRef]
- Gode-Potratz, C.J.; Kustusch, R.J.; Breheny, P.J.; Weiss, D.S.; McCarter, L.L. Surface sensing in Vibrio parahaemolyticus triggers a programme of gene expression that promotes colonization and virulence. Mol. Microbiol. 2011, 79, 240–263. [Google Scholar] [CrossRef]
- Merino, S.; Shaw, J.G.; Tomás, J.M. Bacterial lateral flagella: An inducible flagella system. FEMS Microbiol. Lett. 2006, 263, 127–135. [Google Scholar] [CrossRef]
- McCarter, L.; Silverman, M. Surface-induced swarmer cell differentiation of Vibrio parahaemolyticus. Mol. Microbiol. 1990, 4, 1057–1062. [Google Scholar] [CrossRef]
- Kearns, D.B. A field guide to bacterial swarming motility. Nat. Rev. Microbiol. 2010, 8, 634–644. [Google Scholar] [CrossRef]
- Song, X.; Ma, Y.; Fu, J.; Zhao, A.; Guo, Z.; Malakar, P.K.; Pan, Y.; Zhao, Y. Effect of temperature on pathogenic and non-pathogenic Vibrio parahaemolyticus biofilm formation. Food Control 2017, 73, 485–491. [Google Scholar] [CrossRef]
- Velez, K.E.C.; Leighton, R.E.; Decho, A.W.; Pinckney, J.L.; Norman, R.S. Modeling pH and temperature effects as climatic hazards in Vibrio vulnificus and Vibrio parahaemolyticus planktonic growth and biofilm formation. Geohealth 2023, 7, e2022GH000769. [Google Scholar] [CrossRef]
- Liu, M.; Nie, H.; Luo, X.; Yang, S.; Chen, H.; Cai, P. A polysaccharide biosynthesis Locus in Vibrio parahaemolyticus important for biofilm formation has homologs widely distributed in aquatic bacteria mainly from Gammaproteobacteria. mSystems 2022, 7, e0122621. [Google Scholar] [CrossRef]
- Leighton, R.E.; Correa Vélez, K.E.; Xiong, L.; Creech, A.G.; Amirichetty, K.P.; Anderson, G.K.; Cai, G.; Norman, R.S.; Decho, A.W. Vibrio parahaemolyticus and Vibrio vulnificus in vitro colonization on plastics influenced by temperature and strain variability. Front. Microbiol. 2023, 13, 1099502. [Google Scholar] [CrossRef]
- Srivastava, D.; Waters, C.M. A tangled web: Regulatory connections between quorum sensing and cyclic Di-GMP. J. Bacteriol. 2012, 194, 4485–4493. [Google Scholar] [CrossRef]
- Duddy, O.P.; Silpe, J.E.; Fei, C.; Bassler, B.L. Natural silencing of quorum-sensing activity protects Vibrio parahaemolyticus from lysis by an autoinducer-detecting phage. PLoS Genet. 2023, 19, e1010809. [Google Scholar] [CrossRef]
- Zhang, Y.; Qiu, Y.; Gao, H.; Sun, J.; Li, X.; Zhang, M.; Xue, X.; Yang, W.; Ni, B.; Hu, L.; et al. OpaR controls the metabolism of c-di-GMP in Vibrio parahaemolyticus. Front. Microbiol. 2021, 12, 676436. [Google Scholar] [CrossRef]
- Zamorano-Sánchez, D.; Alejandre-Sixtos Jesús, E.; Arredondo-Hernández, A.; Martínez-Méndez, R. OpaR exerts a dynamic control over c-di-GMP homeostasis and cpsA expression in Vibrio parahaemolyticus through its Rregulation of ScrC and the trigger phosphodiesterase TpdA. Microbiol. Spectr. 2023, 11, e00872-23. [Google Scholar] [CrossRef]
- Gode-Potratz, C.J.; McCarter, L.L. Quorum sensing and silencing in Vibrio parahaemolyticus. J. Bacteriol. 2011, 193, 4224–4237. [Google Scholar] [CrossRef] [PubMed]
- Park, K.S.; Ono, T.; Rokuda, M.; Jang, M.H.; Iida, T.; Honda, T. Cytotoxicity and enterotoxicity of the thermostable direct hemolysin-deletion mutants of Vibrio parahaemolyticus. Microbiol. Immunol. 2004, 48, 313–318. [Google Scholar] [CrossRef] [PubMed]
- Taniguchi, H.; Kubomura, S.; Hirano, H.; Mizue, K.; Ogawa, M.; Mizuguchi, Y. Cloning and characterization of a gene encoding a new thermostable hemolysin from Vibrio parahaemolyticus. FEMS Microbiol. Lett. 1990, 67, 339–345. [Google Scholar] [CrossRef]
- Zhang, X.H.; Austin, B. Haemolysins in Vibrio species. J. Appl. Microbiol. 2005, 98, 1011–1019. [Google Scholar] [CrossRef]
- Taniguchi, H.; Ohta, H.; Ogawa, M.; Mizuguchi, Y. Cloning and expression in Escherichia coli of Vibrio parahaemolyticus thermostable direct hemolysin and thermolabile hemolysin genes. J. Bacteriol. 1985, 162, 510–515. [Google Scholar] [CrossRef]
- Gotoh, K.; Kodama, T.; Hiyoshi, H.; Izutsu, K.; Park, K.S.; Dryselius, R.; Akeda, Y.; Honda, T.; Iida, T. Bile acid-induced virulence gene expression of Vibrio parahaemolyticus reveals a novel therapeutic potential for bile acid sequestrants. PLoS ONE 2010, 5, e13365. [Google Scholar] [CrossRef]
- Schmitt, P.; Rosa, R.D.; Duperthuy, M.; de Lorgeril, J.; Bachere, E.; Destoumieux-Garzon, D. The antimicrobial defense of the Pacific oyster, Crassostrea gigas. How diversity may compensate for scarcity in the regulation of resident/pathogenic microflora. Front. Microbiol. 2012, 3, 160. [Google Scholar] [CrossRef]
- Roux, A.; Payne, S.M.; Gilmore, M.S. Microbial telesensing: Probing the environment for friends, foes, and food. Cell Host Microbe 2009, 6, 115–124. [Google Scholar] [CrossRef]
- Pratama, A.; Ishii, E.; Kodama, T.; Iida, T.; Matsuda, S. The xenogeneic silencer Histone-Like Nucleoid-Structuring protein mediates the temperature and salinity-dependent regulation of the type III secretion system 2 in Vibrio parahaemolyticus. J. Bacteriol. 2022, 205, e00266-22. [Google Scholar] [CrossRef]
- Li, L.; Lu, J.; Zhan, P.; Qiu, Q.; Chen, J.; Xiong, J. RNA-seq analysis unveils temperature and nutrient adaptation mechanisms relevant for pathogenicity in Vibrio parahaemolyticus. Aquaculture 2022, 558, 738397. [Google Scholar] [CrossRef]
- Chen, L.; Qiu, Y.; Tang, H.; Hu, L.F.; Yang, W.H.; Zhu, X.J.; Huang, X.X.; Wang, T.; Zhang, Y.Q. ToxR is required for biofilm formation and motility of Vibrio parahaemolyticus. Biomed. Environ. Sci. 2018, 31, 848–850. [Google Scholar] [CrossRef] [PubMed]
- Lu, R.; Sun, J.; Qiu, Y.; Zhang, M.; Xue, X.; Li, X.; Yang, W.; Zhou, D.; Hu, L.; Zhang, Y. The quorum sensing regulator OpaR is a repressor of polar flagellum genes in Vibrio parahaemolyticus. J. Microbiol. 2021, 59, 651–657. [Google Scholar] [CrossRef]
- Ferreira, R.B.; Chodur, D.M.; Antunes, L.C.; Trimble, M.J.; McCarter, L.L. Output targets and transcriptional regulation by a cyclic dimeric GMP-responsive circuit in the Vibrio parahaemolyticus Scr network. J. Bacteriol. 2012, 194, 914–924. [Google Scholar] [CrossRef]
- Li, X.; Lian, W.; Zhang, M.; Luo, X.; Zhang, Y.; Lu, R. QsvR and OpaR coordinately regulate the transcription of cpsS and cpsR in Vibrio parahaemolyticus. Can. J. Microbiol. 2024, 70, 128–134. [Google Scholar] [CrossRef]
- Spaur, M.; Davis, B.J.K.; Kivitz, S.; DePaola, A.; Bowers, J.C.; Curriero, F.C.; Nachman, K.E. A systematic review of post-harvest interventions for Vibrio parahaemolyticus in raw oysters. Sci. Total Environ. 2020, 745, 140795. [Google Scholar] [CrossRef]
- Love, D.C.; Kuehl, L.M.; Lane, R.M.; Fry, J.P.; Harding, J.; Davis, B.J.K.; Clancy, K.; Hudson, B. Performance of cold chains and modeled growth of Vibrio parahaemolyticus for farmed oysters distributed in the United States and internationally. Int. J. Food Microbiol. 2020, 313, 108378. [Google Scholar] [CrossRef]
Disclaimer/Publisher’s Note: The statements, opinions and data contained in all publications are solely those of the individual author(s) and contributor(s) and not of MDPI and/or the editor(s). MDPI and/or the editor(s) disclaim responsibility for any injury to people or property resulting from any ideas, methods, instructions or products referred to in the content. |
© 2025 by the authors. Licensee MDPI, Basel, Switzerland. This article is an open access article distributed under the terms and conditions of the Creative Commons Attribution (CC BY) license (https://creativecommons.org/licenses/by/4.0/).




