Antimicrobial Resistance Transmission of Multidrug-Resistant Bacteria in Hydroponic Farming Components
Abstract
1. Introduction
2. Materials and Methods
2.1. Bacterial Strains and Antibiotics
2.2. Antimicrobial Susceptibility Testing
2.3. Conjugation Assays
2.4. Influence of UV Light on Conjugation
2.5. Influence of Antibiotics on the Conjugation
2.6. Data Analysis
3. Results and Discussion
3.1. Selection of Donor and Recipient
3.2. Transconjugation with Hydroponic Elements
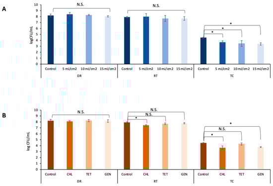
3.3. Influence of UV Light on Transconjugation
3.4. Influence of Antibiotic Residues on Transconjugation
4. Limitations
5. Conclusions
Author Contributions
Funding
Institutional Review Board Statement
Informed Consent Statement
Data Availability Statement
Conflicts of Interest
References
- WHO. Preventing Antimicrobial Resistance Together: Quadripartite Announces WAAW 2022 Theme. World Health Organization. 2022. Available online: https://www.who.int/news/item/04-07-2022-world-antimicrobial-awareness-week-2022-preventing-antimicrobial-resistance-together (accessed on 9 May 2022).
- Huang, F.; An, Z.; Moran, M.J.; Liu, F. Recognition of typical antibiotic residues in environmental media related to groundwater in China (2009–2019). J. Hazard. Mater. 2020, 399, 122813. [Google Scholar] [CrossRef]
- Zhang, Y.; Snow, D.D.; Parker, D.; Zhou, Z.; Li, X. Intracellular and extracellular antimicrobial resistance genes in the sludge of livestock waste management structures. Environ. Sci. Technol. 2013, 47, 10206–10213. [Google Scholar] [CrossRef]
- Tikasz, P.; MacPherson, S.; Adamchuk, V.; Lefsrud, M. Aerated chicken, cow, and turkey manure extracts differentially affect lettuce and kale yield in hydroponics. Int. J. Recycl. Org. Waste Agric. 2019, 8, 241–252. [Google Scholar] [CrossRef]
- Wee, B.A.; Muloi, D.M.; van Bunnik, B.A. Quantifying the transmission of antimicrobial resistance at the human and livestock interface with genomics. Clin. Microbiol. Infect. 2020, 26, 1612–1616. [Google Scholar] [CrossRef] [PubMed]
- WHO. Environmental aspects of manufacturing for the prevention of antimicrobial resistance. WHO Drug Inf. 2019, 33, 709–712. [Google Scholar]
- Wu, W. For Putting the Chinese Medicine Composition of Chicken Nonreactive Cultivation in a Suitable Place to Breed. China Patent No. CN105311368B, 15 March 2019. [Google Scholar]
- WHO. WHO Strategic Priorities on Antimicrobial Resistance: Preserving Antimicrobials for Today and Tomorrow; World Health Organization: Geneva, Switzerland, 2022.
- Pinstrup-Andersen, P. Is it time to take vertical indoor farming seriously? Glob. Food Secur. 2018, 17, 233–235. [Google Scholar] [CrossRef]
- Son, J.E.; Kim, H.J.; Ahn, T.I. Hydroponic systems. In Plant Factory; Elsevier: Amsterdam, The Netherlands, 2020; pp. 273–283. [Google Scholar]
- Li, H.B.; Hou, A.M.; Chen, T.J.; Yang, D.; Chen, Z.S.; Shen, Z.Q.; Qiu, Z.G.; Yin, J.; Yang, Z.W.; Shi, D.Y.; et al. Decreased antibiotic susceptibility in Pseudomonas aeruginosa surviving UV irradiation. Front. Microbiol. 2021, 12, 604245. [Google Scholar]
- Olaimat, A.N.; Holley, R.A. Factors influencing the microbial safety of fresh produce: A review. Food Microbiol. 2012, 32, 1–19. [Google Scholar] [CrossRef]
- Tham, C.A.T.; Zwe, Y.H.; Ten, M.M.Z.; Ng, G.S.Y.; Toh, J.Y.L.; Poh, B.L.; Li, D. Sanitization of hydroponic farming facilities in Singapore: What, why, and how. Appl. Environ. Microbiol. 2024, 90, e00672-24. [Google Scholar] [CrossRef]
- Warriner, K.; Ibrahim, F.; Dickinson, M.; Wright, C.; Waites, W.M. Interaction of Escherichia coli with growing salad spinach plants. J. Food Prot. 2003, 66, 1790–1797. [Google Scholar] [CrossRef]
- Takayama, S.; Zhang, Q.; Zwe, Y.H.; Li, D.; Sano, D.; Oishi, W. Quantitative microbial risk assessment of antibiotic-resistant Salmonella enterica contaminating hydroponic leafy vegetables. Microb. Risk Anal. 2024, 27, 100330. [Google Scholar] [CrossRef]
- Goddek, S.; Delaide, B.; Mankasingh, U.; Ragnarsdottir, K.V.; Jijakli, H.; Thorarinsdottir, R. Challenges of sustainable and commercial aquaponics. Sustainability 2015, 7, 4199–4224. [Google Scholar] [CrossRef]
- Charoenpakdee, S. Using animal manure to grow lettuce (Lactuca sativa L.) in a homemade hydroponics system. Asia-Pac. J. Sci. Technol. 2014, 19, 256–261. [Google Scholar]
- Eregno, F.E.; Moges, M.E.; Heistad, A. Treated greywater reuse for hydroponic lettuce production in a green wall system: Quantitative health risk assessment. Water 2017, 9, 454. [Google Scholar] [CrossRef]
- Kawamura-Aoyama, C.; Fujiwara, K.; Shinohara, M.; Takano, M. Study on the hydroponic culture of lettuce with microbially degraded solid food waste as a nitrate source. Jpn. Agric. Res. Q. 2014, 48, 71–76. [Google Scholar] [CrossRef]
- Lee, S.; Lee, J. Beneficial bacteria and fungi in hydroponic systems: Types and characteristics of hydroponic food production methods. Sci. Hortic. 2015, 195, 206–215. [Google Scholar] [CrossRef]
- Álvarez-Molina, A.; de Toro, M.; Ruiz, L.; López, M.; Prieto, M.; Alvarez-Ordóñez, A. Selection for antimicrobial resistance in foodborne pathogens through exposure to UV light and nonthermal atmospheric plasma decontamination techniques. Appl. Environ. Microbiol. 2020, 86, e00102-20. [Google Scholar] [CrossRef]
- Andersson, D.I.; Hughes, D. Microbiological effects of sublethal levels of antibiotics. Nat. Rev. Microbiol. 2014, 12, 465–478. [Google Scholar] [CrossRef] [PubMed]
- Showsh, S.A.; Andrews, R.E., Jr. Tetracycline enhances Tn916-mediated conjugal transfer. Plasmid 1992, 28, 213–224. [Google Scholar] [CrossRef]
- Lopatkin, A.J.; Huang, S.; Smith, R.P.; Srimani, J.K.; Sysoeva, T.A.; Bewick, S.; Karig, D.K.; You, L. Antibiotics as a selective driver for conjugation dynamics. Nat. Microbiol. 2016, 1, 16044. [Google Scholar] [CrossRef]
- Zwe, Y.H.; Yuk, H.G. Prior exposure of agricultural cephalosporin ceftiofur impaired conjugation of blaCTX-M-65 gene-bearing plasmid in Salmonella Saintpaul. J. Appl. Microbiol. 2020, 129, 1552–1565. [Google Scholar] [CrossRef]
- Zwe, Y.H.; Tang, V.C.Y.; Aung, K.T.; Gutiérrez, R.A.; Ng, L.C.; Yuk, H.-G. Prevalence, sequence types, antibiotic resistance and gyrA mutations of Salmonella isolated from retail fresh chicken meat in Singapore. Food Control 2018, 90, 233–240. [Google Scholar] [CrossRef]
- Tham, C.A.T.; Zwe, Y.H.; Li, D. Microbial study of lettuce and agricultural water used for lettuce production at Singapore urban farms. Food Control 2021, 126, 108065. [Google Scholar] [CrossRef]
- Khan, S.A.; Kim, M.J.; Yuk, H.G. Genome-wide transcriptional response of Escherichia coli O157:H7 to light-emitting diodes with various wavelengths. Sci. Rep. 2023, 13, 1976. [Google Scholar] [CrossRef]
- Kessler, C.; Hou, J.; Neo, O.; Buckner, M. In situ, in vivo and in vitro approaches for studying AMR plasmid conjugation in the gut microbiome. FEMS Microbiol. Rev. 2023, 47, fuac044. [Google Scholar] [CrossRef]
- Tejerizo, G.T.; Bañuelos, L.A.; Cervantes, L.; Gaytán, P.; Pistorio, M.; Romero, D.; Brom, S. Development of molecular tools to monitor conjugative transfer in rhizobia. J. Microbiol. Methods 2015, 117, 155–163. [Google Scholar] [CrossRef]
- Tagg, K.A.; Venturini, C.; Kamruzzaman, M.; Ginn, A.N.; Partridge, S.R. Horizontal Gene Transfer; de la Cruz, F., Ed.; Humana: New York, NY, USA, 2020; Volume 2075. [Google Scholar] [CrossRef]
- Ding, Y.; Zwe, Y.H.; Chin, S.F.; Kohli, G.S.; Drautz-Moses, D.I.; Givskov, M.; Schlundt, J.; Schuster, S.C.; Yuk, H.-G.; Yang, L. Characterization of a novel multidrug resistance plasmid pSGB23 isolated from Salmonella enterica subsp. enterica serovar Saintpaul. Gut Pathog. 2018, 10, 20. [Google Scholar] [CrossRef]
- One Health Antimicrobial Resistance Working Group. One Health Report on Antimicrobial Utilisation and Resistance, 2017. Ministry of Health, Singapore. 2017. Available online: https://isomer-user-content.by.gov.sg/3/6b32d1e6-0a9d-4290-8c0c-1ea7c6405811/2017-one-health-report-on-antimicrobial-utilisation-and-resistance.pdf (accessed on 9 May 2022).
- Headd, B.; Bradford, S.A. Physicochemical factors that favor conjugation of an antibiotic-resistant plasmid in non-growing bacterial cultures in the absence and presence of antibiotics. Front. Microbiol. 2018, 9, 2122. [Google Scholar] [CrossRef] [PubMed]
- Li, Y.; Zwe, Y.H.; Tham, C.A.T.; Zou, Y.; Li, W.; Li, D. Fate and mitigation of Salmonella-contaminated lettuce (Lactuca sativa) seeds grown in a hydroponic system. J. Appl. Microbiol. 2022, 132, 1449–1456. [Google Scholar] [CrossRef] [PubMed]
- Garland, J.J.A. The structure and function of microbial communities in recirculating hydroponic systems. Adv. Space Res. 1994, 14, 383–386. [Google Scholar] [CrossRef]
- Abe, K.; Nomura, N.; Suzuki, S. Biofilms: Hot spots of horizontal gene transfer (HGT) in aquatic environments, with a focus on a new HGT mechanism. FEMS Microbiol. Ecol. 2020, 96, fiaa031. [Google Scholar] [CrossRef]
- Fish, K.E.; Osborn, A.M.; Boxall, J. Characterising and understanding the impact of microbial biofilms and the extracellular polymeric substance (EPS) matrix in drinking water distribution systems. Environ. Sci. Water Res. Technol. 2016, 2, 614–630. [Google Scholar] [CrossRef]
- Hausner, M.; Wuertz, S. High rates of conjugation in bacterial biofilms as determined by quantitative in situ analysis. Appl. Environ. Microbiol. 1999, 65, 3710–3713. [Google Scholar] [CrossRef] [PubMed]
- Molin, S.; Tolker-Nielsen, T. Gene transfer occurs with enhanced efficiency in biofilms and induces enhanced stabilisation of the biofilm structure. Curr. Opin. Biotechnol. 2003, 14, 255–261. [Google Scholar] [CrossRef] [PubMed]
- Angles, M.; Marshall, K.; Goodman, A. Plasmid transfer between marine bacteria in the aqueous phase and biofilms in reactor microcosms. Appl. Environ. Microbiol. 1993, 59, 843–850. [Google Scholar] [CrossRef]
- Savage, V.J.; Chopra, I.; O’Neill, A.J. Staphylococcus aureus biofilms promote horizontal transfer of antibiotic resistance. Antimicrob. Agents Chemother. 2013, 57, 1968–1970. [Google Scholar] [CrossRef]
- Low, H.H.; Gubellini, F.; Rivera-Calzada, A.; Braun, N.; Connery, S.; Dujeancourt, A.; Lu, F.; Redzej, A.; Fronzes, R.; Orlova, E.V. Structure of a type IV secretion system. Nature 2014, 508, 550–553. [Google Scholar] [CrossRef]
- Hall, J.P.; Wright, R.C.; Harrison, E.; Muddiman, K.J.; Wood, A.J.; Paterson, S.; Brockhurst, M.A. Plasmid fitness costs are caused by specific genetic conflicts enabling resolution by compensatory mutation. PLoS Biol. 2021, 19, e3001225. [Google Scholar] [CrossRef] [PubMed]
- Lee, O.-M.; Kim, H.Y.; Park, W.; Kim, T.-H.; Yu, S. A comparative study of disinfection efficiency and regrowth control of microorganisms in secondary wastewater effluent using UV, ozone, and ionizing irradiation process. J. Hazard. Mater. 2015, 295, 201–208. [Google Scholar] [CrossRef]
- Elumalai, S.D.; Shaw, A.M.; Pattillo, D.A.; Currey, C.J.; Rosentrater, K.A.; Xie, K. Influence of UV treatment on the food safety status of a model aquaponic system. Water 2017, 9, 27. [Google Scholar] [CrossRef]
- Moriarty, M.J.; Semmens, K.; Bissonnette, G.K.; Jaczynski, J. Inactivation with UV radiation and internalization assessment of coliforms and Escherichia coli in aquaponically grown lettuce. LWT 2018, 89, 624–630. [Google Scholar] [CrossRef]
- Webber, M.A.; Whitehead, R.N.; Mount, M.; Loman, N.J.; Pallen, M.J.; Piddock, L.J. Parallel evolutionary pathways to antibiotic resistance selected by biocide exposure. J. Antimicrob. Chemother. 2015, 70, 2241–2248. [Google Scholar] [CrossRef]
- Lin, W.; Li, S.; Zhang, S.; Yu, X. Reduction in horizontal transfer of conjugative plasmid by UV irradiation and low-level chlorination. Water Res. 2016, 91, 331–338. [Google Scholar] [CrossRef]
- Madec, J.-Y.; Haenni, M. Antimicrobial resistance plasmid reservoir in food and food-producing animals. Plasmid 2018, 99, 72–81. [Google Scholar] [CrossRef]
- Xiao, X.; Zeng, F.; Li, R.; Liu, Y.; Wang, Z. Subinhibitory concentration of colistin promotes the conjugation frequencies of Mcr-1- and blaNDM-5-positive plasmids. Microbiol. Spectr. 2022, 10, e02160-21. [Google Scholar] [CrossRef]
- Raro, O.H.F.; Poirel, L.; Tocco, M.; Nordmann, P. Impact of veterinary antibiotics on plasmid-encoded antibiotic resistance transfer. J. Antimicrob. Chemother. 2023, 78, 2209–2216. [Google Scholar] [CrossRef] [PubMed]
- Zhou, H.; Lu, Z.; Liu, X.; Bie, X.; Xue, F.; Tang, S.; Yang, J. Environmentally relevant concentrations of tetracycline promote horizontal transfer of antimicrobial resistance genes via plasmid-mediated conjugation. Foods 2024, 13, 1787. [Google Scholar] [CrossRef] [PubMed]



| Disk | Category | /disc) |
|---|---|---|
| Ampicillin | Penicillin | 10 |
| Ceftriaxone | Cephalosporin | 30 |
| Tetracycline | Tetracycline | 30 |
| Ciprofloxacin | Quinolone and Fluoroquinolone | 5 |
| Nalidixic acid | Quinolone and Fluoroquinolone | 30 |
| Tobramycin | Aminoglycoside | 10 |
| Chloramphenicol | Phenicol | 30 |
| Fosfomycin | Fosfomycin | 200 |
| Imipenem | Carbapenem | 10 |
| Sulfamethoxazole and trimethoprim | Folate pathway inhibitor | 23.75 and 1.25 |
| DR | RT | Enumeration (CFU mL−1) | ||
|---|---|---|---|---|
| Donor | Recipient | Transconjugant | ||
| S. Saintpaul B23 | E. coli ATCC15597 | |||
| E. coli O157:H7 EDL933 | ||||
| E. coli O157:H7 EDL931 | ||||
| E. coli O157:H7 C7927 | <10 | |||
| S. Brunei HW5 | ||||
| S. Saintpaul B23 | E. coli 15597 | |
|---|---|---|
| Gentamicin | 128 (R) | 2 (S) |
| Tetracycline | 256 (R) | 4 (S) |
| Chloramphenicol | 64 (R) | 8 (S) |
Disclaimer/Publisher’s Note: The statements, opinions and data contained in all publications are solely those of the individual author(s) and contributor(s) and not of MDPI and/or the editor(s). MDPI and/or the editor(s) disclaim responsibility for any injury to people or property resulting from any ideas, methods, instructions or products referred to in the content. |
© 2025 by the authors. Licensee MDPI, Basel, Switzerland. This article is an open access article distributed under the terms and conditions of the Creative Commons Attribution (CC BY) license (https://creativecommons.org/licenses/by/4.0/).
Share and Cite
Zhang, Q.; Zwe, Y.H.; Sano, D.; Li, D. Antimicrobial Resistance Transmission of Multidrug-Resistant Bacteria in Hydroponic Farming Components. Pathogens 2025, 14, 1134. https://doi.org/10.3390/pathogens14111134
Zhang Q, Zwe YH, Sano D, Li D. Antimicrobial Resistance Transmission of Multidrug-Resistant Bacteria in Hydroponic Farming Components. Pathogens. 2025; 14(11):1134. https://doi.org/10.3390/pathogens14111134
Chicago/Turabian StyleZhang, Qian, Ye Htut Zwe, Daisuke Sano, and Dan Li. 2025. "Antimicrobial Resistance Transmission of Multidrug-Resistant Bacteria in Hydroponic Farming Components" Pathogens 14, no. 11: 1134. https://doi.org/10.3390/pathogens14111134
APA StyleZhang, Q., Zwe, Y. H., Sano, D., & Li, D. (2025). Antimicrobial Resistance Transmission of Multidrug-Resistant Bacteria in Hydroponic Farming Components. Pathogens, 14(11), 1134. https://doi.org/10.3390/pathogens14111134

