Monitoring the Bioprotective Potential of Lactiplantibacillus pentosus Culture on Pathogen Survival and the Shelf-Life of Fresh Ready-to-Eat Salads Stored under Modified Atmosphere Packaging
Abstract
1. Introduction
2. Materials and Methods
2.1. Experimental Design
2.2. Preparation of the Bacterial Cultures
2.3. Inoculation of Fresh-CUT Salads and Packaging of the Samples
2.4. Microbiological Analysis and pH Measurements
2.5. Sensory Analysis
2.6. FTIR-ATR Spectroscopy
2.7. Image Acquisition and Segmentation
2.8. Data Analysis
2.9. Evaluation of Model Performance
2.10. Statistical Analysis
3. Results
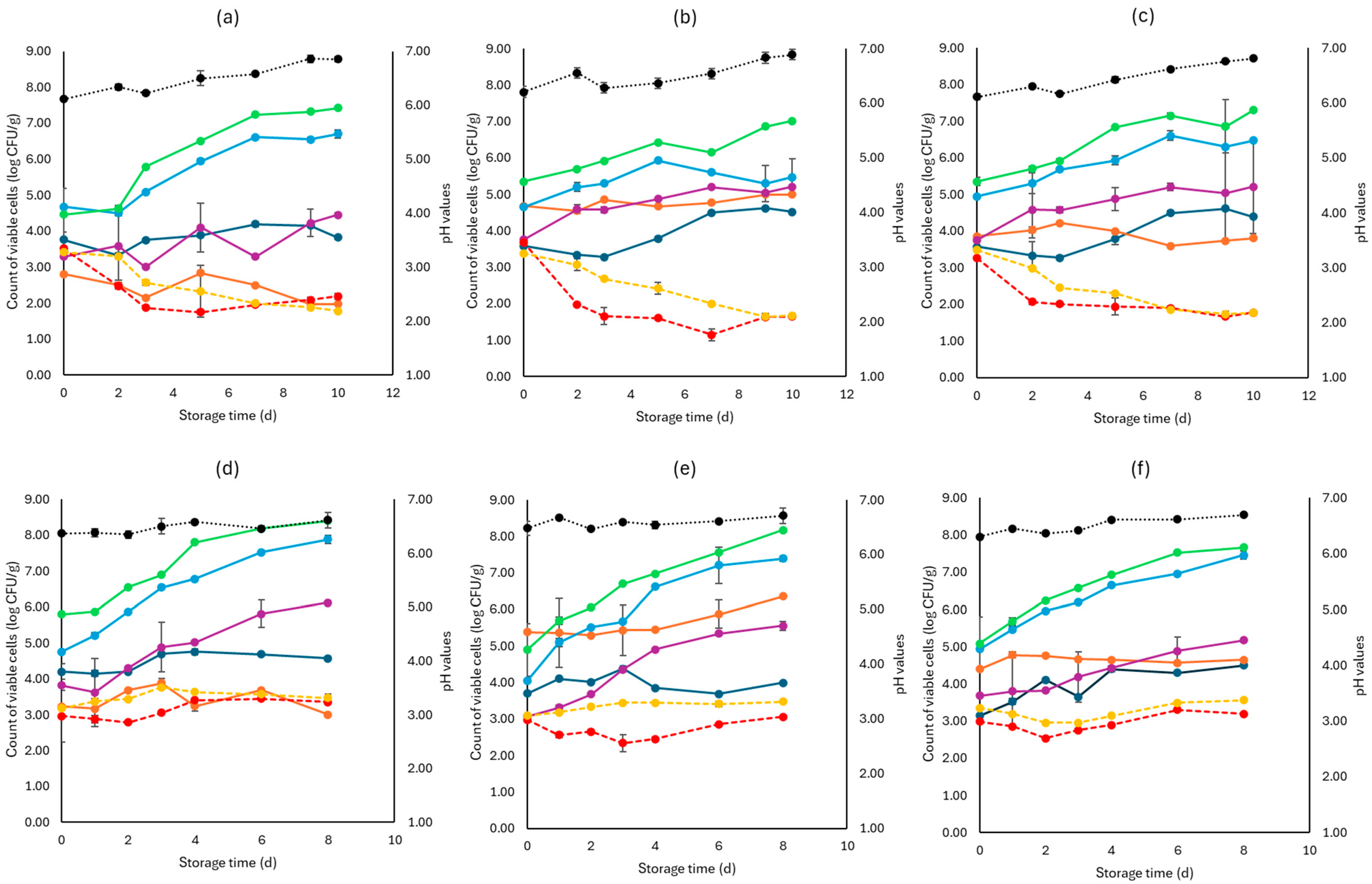
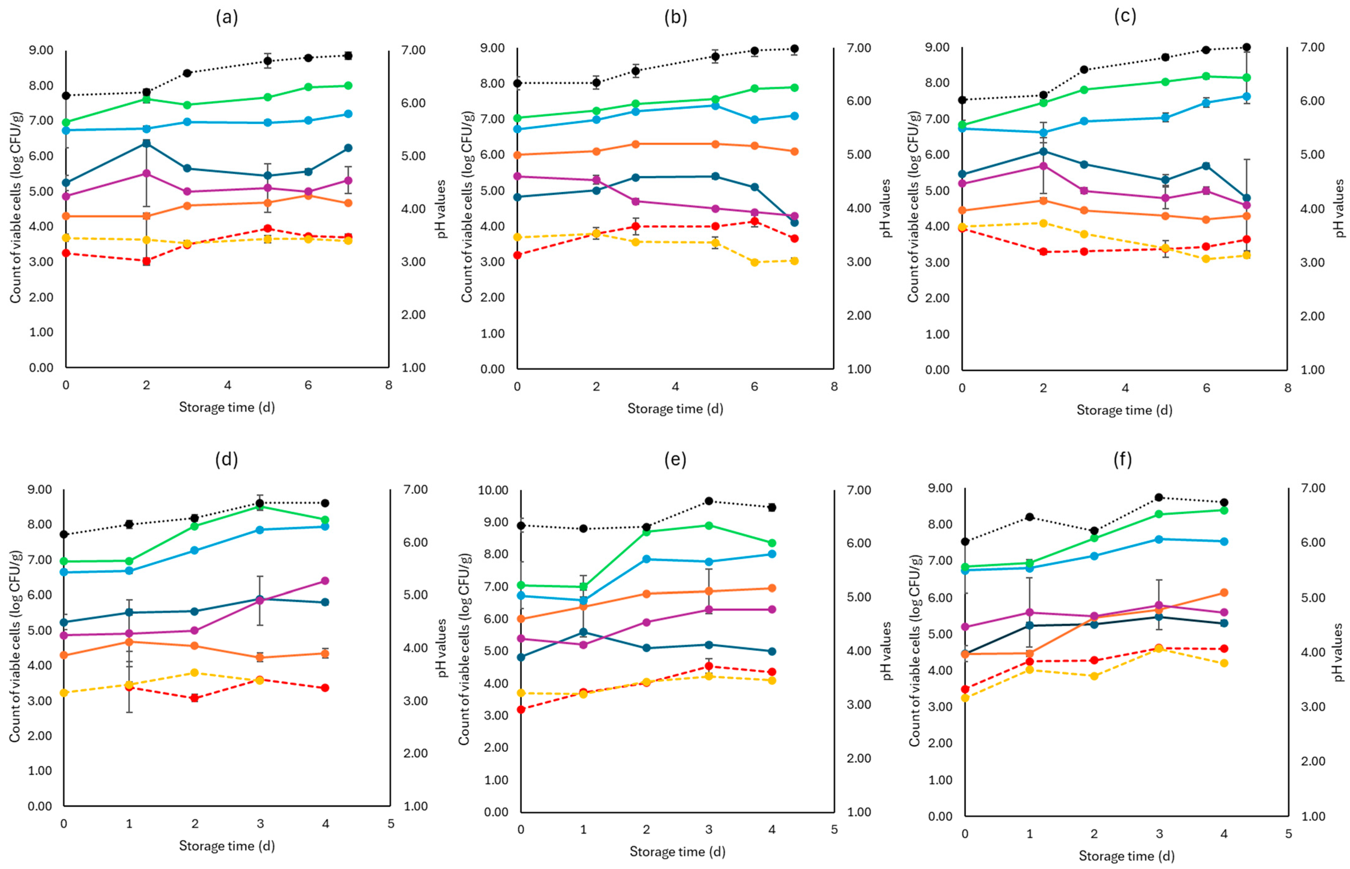
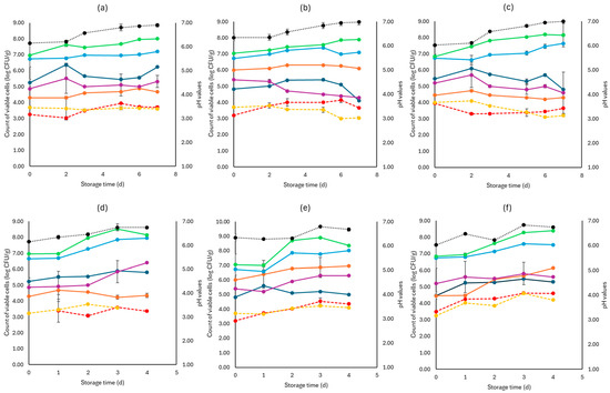
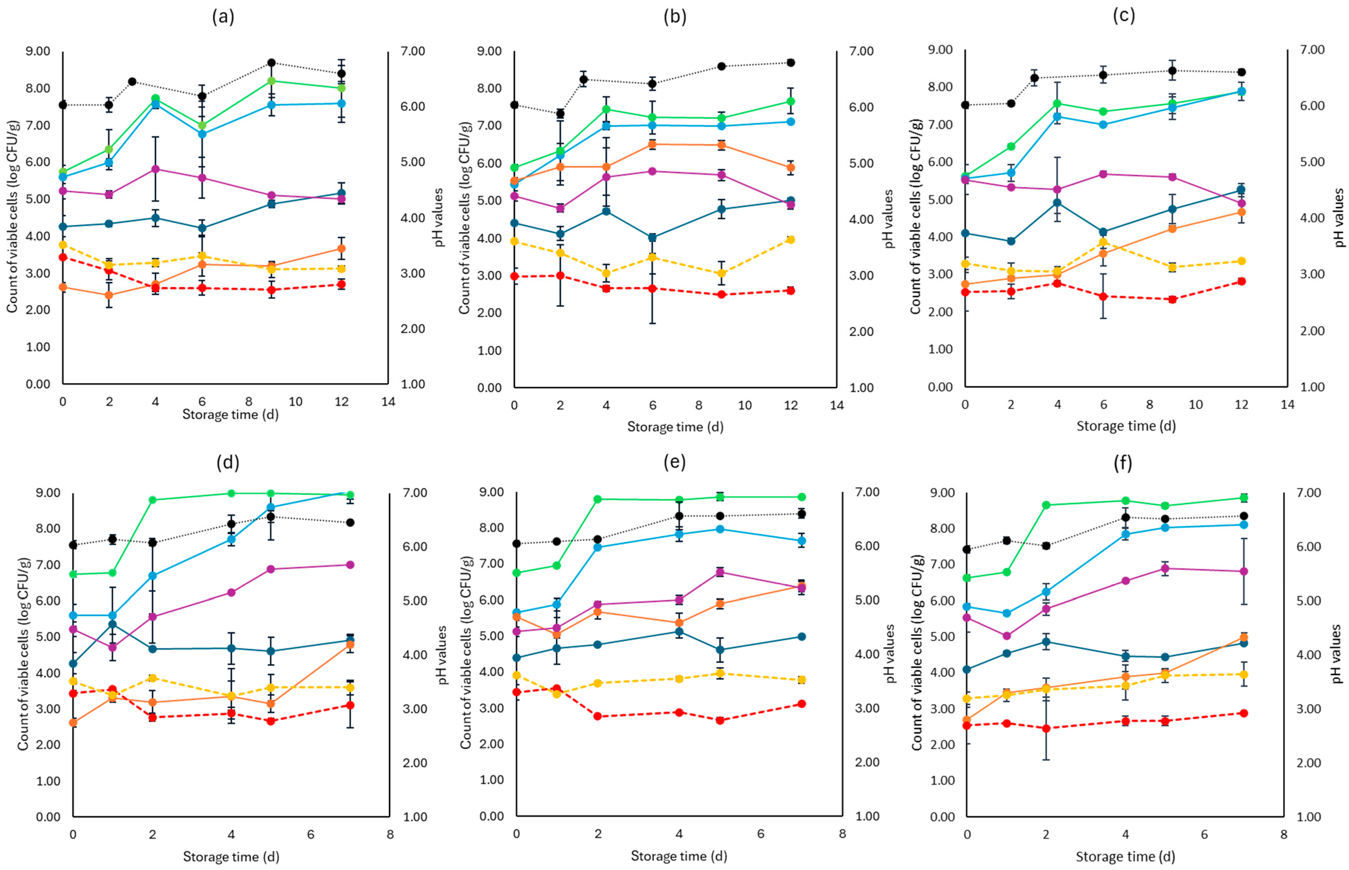
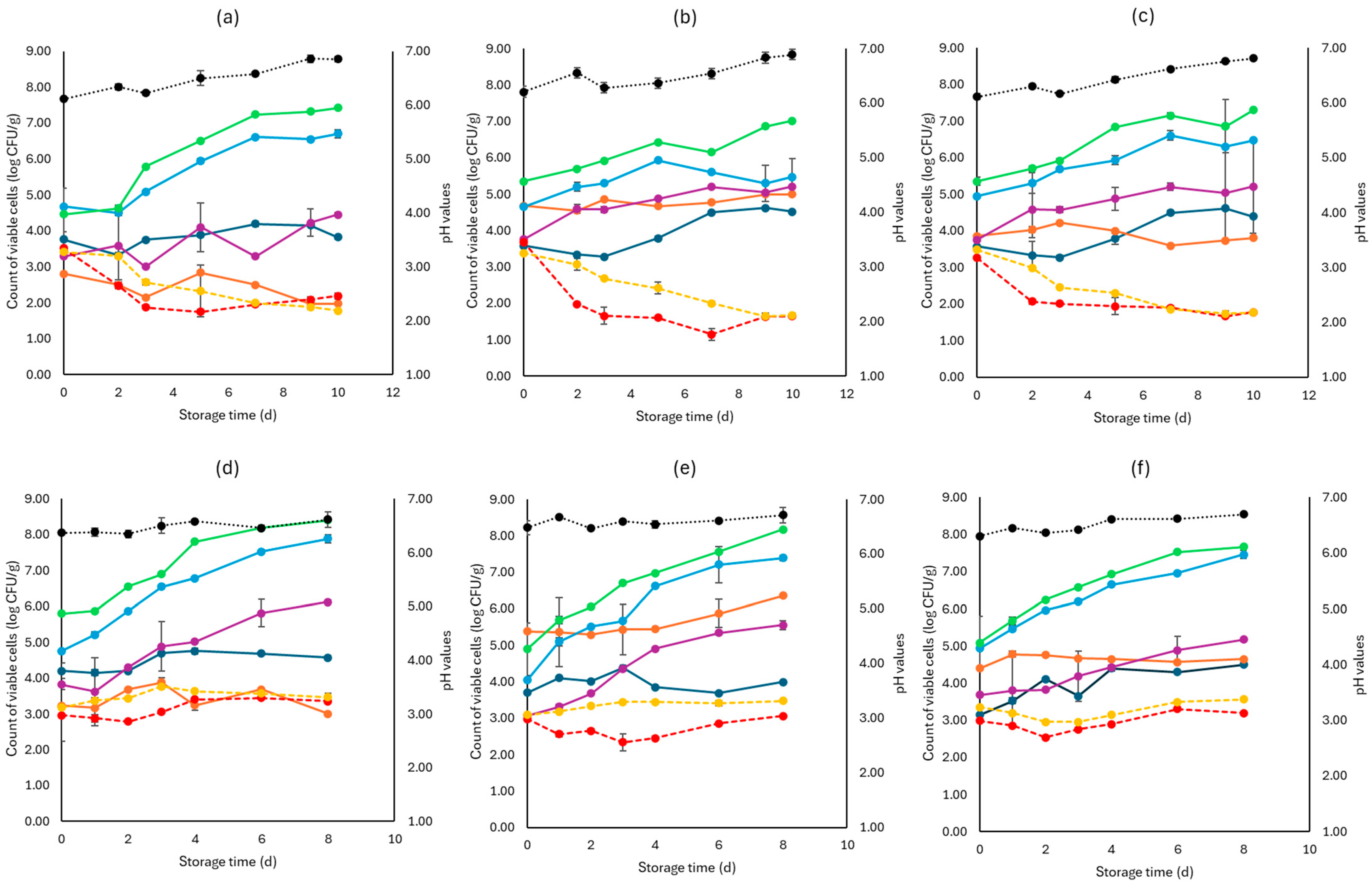
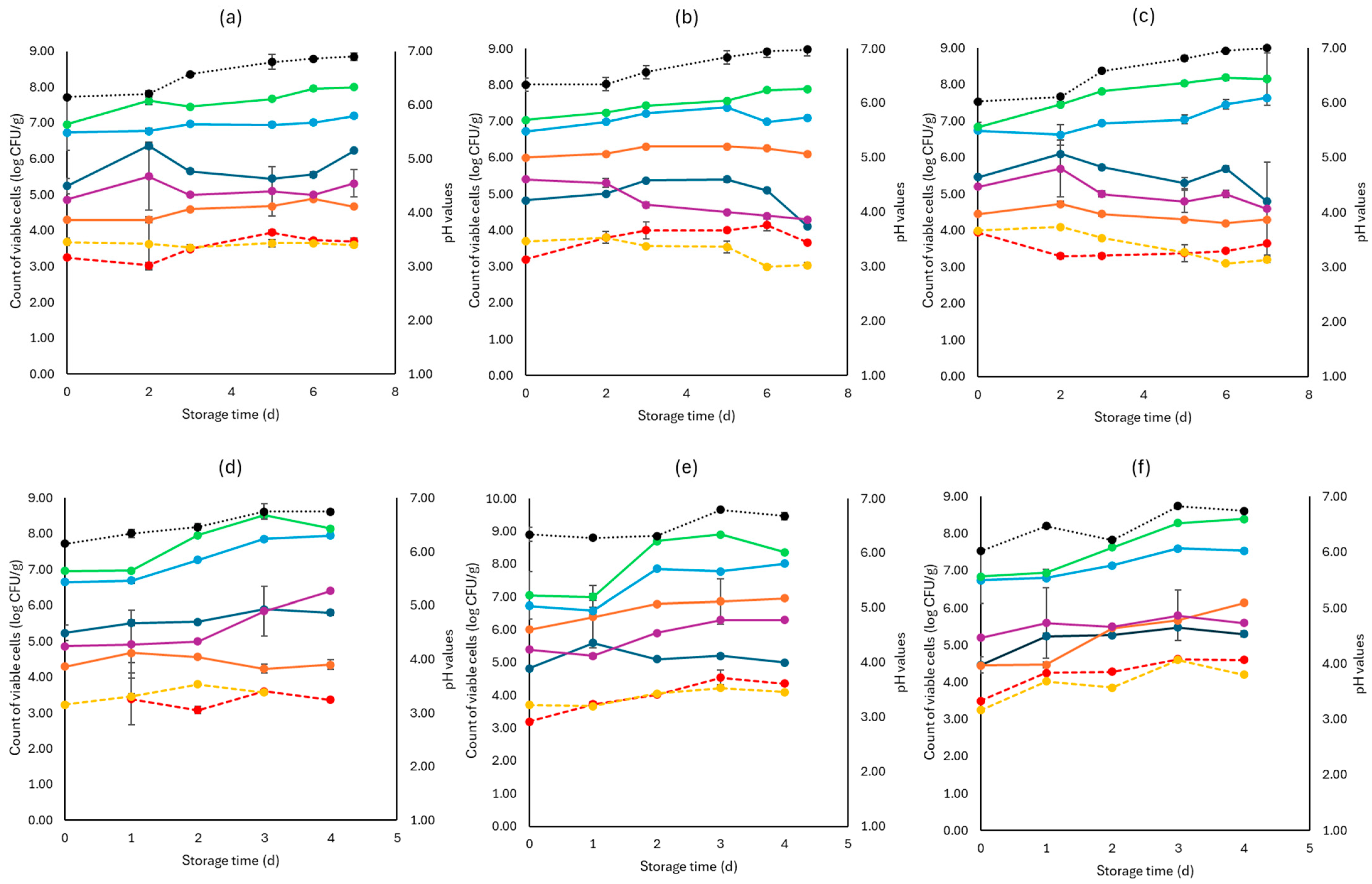
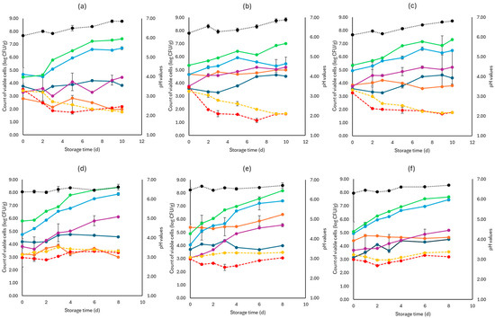
3.1. Microbial Analyses and pH
3.2. Sensory Evaluation
3.3. Prediction of Microbial Quality
4. Discussion
5. Conclusions
Author Contributions
Funding
Institutional Review Board Statement
Informed Consent Statement
Data Availability Statement
Conflicts of Interest
References
- Christison, C.A.; Lindsay, D.; von Holy, A. Microbiological Survey of Ready-To-Eat Foods and Associated Preparation Surfaces in Retail Delicatessens, Johannesburg, South Africa. Food Control 2008, 19, 727–733. [Google Scholar] [CrossRef]
- Farber, J.M.; Harwig, J. The Canadian Position on Listeria Monocytogenes in Ready-To-Eat Foods. Food Control 1996, 7, 253–258. [Google Scholar] [CrossRef]
- Chitarra, W.; Decastelli, L.; Garibaldi, A.; Gullino, M.L. Potential Uptake of Escherichia coli O157:H7 and Listeria Monocytogenes from Growth Substrate into Leaves of Salad Plants and Basil Grown in Soil Irrigated with Contaminated Water. Int. J. Food Microbiol. 2014, 189, 139–145. [Google Scholar] [CrossRef]
- Yang, X.; Scharff, R. Foodborne Illnesses from Leafy Greens in the United States: Attribution, Burden, and Cost. J. Food Prot. 2024, 87, 100275. [Google Scholar] [CrossRef] [PubMed]
- Mogren, L.; Windstam, S.; Boqvist, S.; Vågsholm, I.; Söderqvist, K.; Rosberg, A.K.; Lindén, J.; Mulaosmanovic, E.; Karlsson, M.; Uhlig, E.; et al. The Hurdle Approach–a Holistic Concept for Controlling Food Safety Risks Associated with Pathogenic Bacterial Contamination of Leafy Green Vegetables. A Review. Front. Microbiol. 2018, 9, 1965. [Google Scholar] [CrossRef]
- Berger, C.N.; Shaw, R.K.; Ruiz-Perez, F.; Nataro, J.P.; Henderson, I.R.; Pallen, M.J.; Frankel, G. Interaction of Enteroaggregative Escherichia coli with Salad Leaves. Environ. Microbiol. Rep. 2009, 1, 234–239. [Google Scholar] [CrossRef] [PubMed]
- Fletcher, J.; Leach, J.E.; Eversole, K.; Tauxe, R. Human Pathogens on Plants: Designing a Multidisciplinary Strategy for Research. Phytopathology 2013, 103, 306–315. [Google Scholar] [CrossRef] [PubMed]
- Franz, E.; Klerks, M.M.; De Vos, O.J.; Termorshuizen, A.J.; van Bruggen, A.H.C. Prevalence of Shiga Toxin-Producing Escherichia coli Stx1, Stx2, EaeA, and RfbE Genes and Survival of E. coli O157:H7 in Manure from Organic and Low-Input Conventional Dairy Farms. Appl. Environ. Microbiol. 2007, 73, 2180–2190. [Google Scholar] [CrossRef]
- Park, S.; Szonyi, B.; Gautam, R.; Nightingale, K.; Anciso, J.; Ivanek, R. Risk Factors for Microbial Contamination in Fruits and Vegetables at the Preharvest Level: A Systematic Review. J. Food Prot. 2012, 75, 2055–2081. [Google Scholar] [CrossRef]
- Lynch, M.F.; Tauxe, R.V.; Hedberg, C.W. The Growing Burden of Foodborne Outbreaks due to Contaminated Fresh Produce: Risks and Opportunities. Epidemiol. Infect. 2009, 137, 307–315. [Google Scholar] [CrossRef]
- Holden, N.; Pritchard, L.; Toth, I. Colonization Outwith the Colon: Plants as an Alternative Environmental Reservoir for Human Pathogenic Enterobacteria. FEMS Microbiol. Rev. 2009, 33, 689–703. [Google Scholar] [CrossRef] [PubMed]
- Carstens, C.K.; Salazar, J.K.; Darkoh, C. Multistate Outbreaks of Foodborne Illness in the United States Associated with Fresh Produce from 2010 to 2017. Front. Microbiol. 2019, 10, 2667. [Google Scholar] [CrossRef] [PubMed]
- Xylia, P.; Botsaris, G.; Skandamis, P.; Tzortzakis, N. Expiration Date of Ready-To-Eat Salads: Effects on Microbial Load and Biochemical Attributes. Foods 2021, 10, 941. [Google Scholar] [CrossRef] [PubMed]
- McManamon, O.; Kaupper, T.; Scollard, J.; Schmalenberger, A. Nisin Application Delays Growth of Listeria monocytogenes on Fresh-Cut Iceberg Lettuce in Modified Atmosphere Packaging, While the Bacterial Community Structure Changes within One Week of Storage. Postharvest Biol. Technol. 2019, 147, 185–195. [Google Scholar] [CrossRef]
- de São José, J.F.B.; de Andrade, N.J.; Ramos, A.M.; Vanetti, M.C.D.; Stringheta, P.C.; Chaves, J.B.P. Decontamination by Ultrasound Application in Fresh Fruits and Vegetables. Food Control 2014, 45, 36–50. [Google Scholar] [CrossRef]
- Siroli, L.; Patrignani, F.; Serrazanetti, D.I.; Gardini, F.; Lanciotti, R. Innovative Strategies Based on the Use of Bio-Control Agents to Improve the Safety, Shelf-Life and Quality of Minimally Processed Fruits and Vegetables. Trends Food Sci. Technol. 2015, 46, 302–310. [Google Scholar] [CrossRef]
- Siroli, L.; Patrignani, F.; Serrazanetti, D.I.; Tabanelli, G.; Montanari, C.; Gardini, F.; Lanciotti, R. Lactic Acid Bacteria and Natural Antimicrobials to Improve the Safety and Shelf-Life of Minimally Processed Sliced Apples and Lamb’s Lettuce. Food Microbiol. 2015, 47, 74–84. [Google Scholar] [CrossRef]
- Siroli, L.; Patrignani, F.; Serrazanetti, D.I.; Vernocchi, P.; Del Chierico, F.; Russo, A.; Torriani, S.; Putignani, L.; Gardini, F.; Lanciotti, R. Effect of Thyme Essential Oil and Lactococcus Lactis CBM21 on the Microbiota Composition and Quality of Minimally Processed Lamb’s Lettuce. Food Microbiol. 2017, 68, 61–70. [Google Scholar] [CrossRef] [PubMed]
- Alegre, I.; Viñas, I.; Usall, J.; Anguera, M.; Altisent, R.; Abadias, M. Antagonistic Effect of Pseudomonas Graminis CPA-7 against Foodborne Pathogens in Fresh-Cut Apples under Simulated Commercial Conditions. Food Microbiol. 2013, 33, 139–148. [Google Scholar] [CrossRef]
- Engelhardt, T.; Albano, H.; Kiskó, G.; Mohácsi-Farkas, C.; Teixeira, P. Antilisterial Activity of Bacteriocinogenic Pediococcus acidilactici HA6111-2 and Lactobacillus plantarum ESB 202 Grown under PH and Osmotic Stress Conditions. Food Microbiol. 2015, 48, 109–115. [Google Scholar] [CrossRef]
- Ramos, B.; Miller, F.A.; Brandão, T.R.S.; Teixeira, P.; Silva, C.L.M. Fresh Fruits and Vegetables—An Overview on Applied Methodologies to Improve Its Quality and Safety. Innov. Food Sci. Emerg. Technol. 2013, 20, 1–15. [Google Scholar] [CrossRef]
- Trias, R.; Badosa, E.; Montesinos, E.; Baneras, L. Bioprotective Leuconostoc Strains against Listeria Monocytogenes in Fresh Fruits and Vegetables. Int. J. Food Microbiol. 2008, 127, 91–98. [Google Scholar] [CrossRef] [PubMed]
- Vescovo, M.; Torriani, S.; Orsi, C.; Macchiarolo, F.; Scolari, G. Application of Antimicrobial-Producing Lactic Acid Bacteria to Control Pathogens in Ready-To-Use Vegetables. J. Appl. Bacteriol. 1996, 81, 113–119. [Google Scholar] [CrossRef]
- Ramos, B.; Brandão, T.R.S.; Teixeira, P.; Silva, C.L.M. Biopreservation Approaches to Reduce Listeria monocytogenes in Fresh Vegetables. Food Microbiol. 2020, 85, 103282. [Google Scholar] [CrossRef] [PubMed]
- Allende, A.; Martinez, B.; Selma, V.; Gil, M.; Suarez, J.; Rodriguez, A. Growth and Bacteriocin Production by Lactic Acid Bacteria in Vegetable Broth and Their Effectiveness at Reducing Listeria monocytogenes in Vitro and in Fresh-Cut Lettuce. Food Microbiol. 2007, 24, 759–766. [Google Scholar] [CrossRef] [PubMed]
- Barbosa, M.S.; Jurkiewicz, C.; Landgraf, M.; Todorov, S.D.; Franco, B.D.G.M. Effect of Proteins, Glucose and NaCl on Growth, Biosynthesis and Functionality of Bacteriocins of Lactobacillus sakei subsp. sakei 2a in Foods during Storage at 4 °C: Tests in Food Models. Lebensm.-Wiss. Technol./Food Sci. Technol. 2018, 95, 167–171. [Google Scholar] [CrossRef]
- Martínez, B.; García, P.; Rodríguez, A. Swapping the Roles of Bacteriocins and Bacteriophages in Food Biotechnology. Curr. Opin. Biotechnol. 2019, 56, 1–6. [Google Scholar] [CrossRef] [PubMed]
- Argyri, A.A.; Lyra, E.; Panagou, E.Z.; Tassou, C.C. Fate of Escherichia coli O157:H7, Salmonella Enteritidis and Listeria monocytogenes during Storage of Fermented Green Table Olives in Brine. Food Microbiol. 2013, 36, 1–6. [Google Scholar] [CrossRef]
- Saxami, G.; Karapetsas, A.; Lamprianidou, E.; Kotsianidis, I.; Chlichlia, A.; Tassou, C.; Zoumpourlis, V.; Galanis, A. Two Potential Probiotic Lactobacillus Strains Isolated from Olive Microbiota Exhibit Adhesion and Anti-Proliferative Effects in Cancer Cell Lines. J. Funct. Foods 2016, 24, 461–471. [Google Scholar] [CrossRef]
- Argyri, A.A.; Nisiotou, A.A.; Pramateftaki, P.; Doulgeraki, A.I.; Panagou, E.Z.; Tassou, C.C. Preservation of Green Table Olives Fermented with Lactic Acid Bacteria with Probiotic Potential under Modified Atmosphere Packaging. LWT—Food Sci. Technol. 2015, 62, 783–790. [Google Scholar] [CrossRef]
- Nychas, G.-J.E.; Panagou, E.Z.; Mohareb, F. Novel Approaches for Food Safety Management and Communication. Curr. Opin. Food Sci. 2016, 12, 13–20. [Google Scholar] [CrossRef]
- Danezis, G.P.; Tsagkaris, A.S.; Camin, F.; Brusic, V.; Georgiou, C.A. Food Authentication: Techniques, Trends & Emerging Approaches. TrAC Trends Anal. Chem. 2016, 85, 123–132. [Google Scholar] [CrossRef]
- Hassoun, A.; Guðjónsdóttir, M.; Prieto, M.A.; Garcia-Oliveira, P.; Simal-Gandara, J.; Marini, F.; Di Donato, F.; D’Archivio, A.A.; Biancolillo, A. Application of Novel Techniques for Monitoring Quality Changes in Meat and Fish Products during Traditional Processing Processes: Reconciling Novelty and Tradition. Processes 2020, 8, 988. [Google Scholar] [CrossRef]
- Manios, S.G.; Konstantinidis, N.; Gounadaki, A.S.; Skandamis, P.N. Dynamics of Low (1–4 Cells) vs High Populations of Listeria monocytogenes and Salmonella Typhimurium in Fresh-Cut Salads and Their Sterile Liquid or Solidified Extracts. Food Control 2013, 29, 318–327. [Google Scholar] [CrossRef]
- Papadopoulou, O.; Panagou, E.Z.; Tassou, C.C.; Nychas, G.-J.E. Contribution of Fourier Transform Infrared (FTIR) Spectroscopy Data on the Quantitative Determination of Minced Pork Meat Spoilage. Food Res. Int. 2011, 44, 3264–3271. [Google Scholar] [CrossRef]
- Panagou, E.Z.; Papadopoulou, O.; Carstensen, J.M.; Nychas, G.-J.E. Potential of Multispectral Imaging Technology for Rapid and Non-Destructive Determination of the Microbiological Quality of Beef Filets during Aerobic Storage. Int. J. Food Microbiol. 2014, 174, 1–11. [Google Scholar] [CrossRef] [PubMed]
- Del Nobile, M.A.; Baiano, A.; Benedetto, A.; Massignan, L. Respiration Rate of Minimally Processed Lettuce as Affected by Packaging. J. Food Eng. 2006, 74, 60–69. [Google Scholar] [CrossRef]
- Sandhya. Modified Atmosphere Packaging of Fresh Produce: Current Status and Future Needs. LWT—Food Sci. Technol. 2010, 43, 381–392. [Google Scholar] [CrossRef]
- Fonseca, S.C.; Oliveira, F.A.R.; Brecht, J.K. Modelling Respiration Rate of Fresh Fruits and Vegetables for Modified Atmosphere Packages: A Review. J. Food Eng. 2002, 52, 99–119. [Google Scholar] [CrossRef]
- Kader, A.A.; Zagory, D.; Kerbel, E.L.; Wang, C.Y. Modified Atmosphere Packaging of Fruits and Vegetables. Crit. Rev. Food Sci. Nutr. 1989, 28, 1–30. [Google Scholar] [CrossRef]
- Kapetanakou, A.E.; Taoukis, P.; Skandamis, P.N. Model Development for Microbial Spoilage of Packaged Fresh-Cut Salad Products Using Temperature and In-Package CO2 Levels as Predictor Variables. LWT—Food Sci. Technol. 2019, 113, 108285. [Google Scholar] [CrossRef]
- Zagory, D.; Kader, A.A. Modified Atmosphere Packaging of Fresh Produce. Food Technol. 1988, 42, 70–77. [Google Scholar]
- Babic, I.; Watada, A.E. Microbial Populations of Fresh-Cut Spinach Leaves Affected by Controlled Atmospheres. Postharvest Biol. Technol. 1996, 9, 187–193. [Google Scholar] [CrossRef]
- Ballantyne, A.; Stark, R.; Selman, J.D. Modified Atmosphere Packaging of Shredded Lettuce. Int. J. Food Sci. Technol. 2007, 23, 267–274. [Google Scholar] [CrossRef]
- Brecht, P.E. Use of Controlled Atmospheres to Retard Deterioration of Produce. Available online: https://iifiir.org/en/fridoc/use-of-controlled-atmospheres-to-retard-deterioration-of-produce-70237 (accessed on 2 June 2024).
- Kader, A.A. Biochemical and Physiological Basis for Effects of Controlled and Modified Atmospheres on Fruit and Vegetables. Food Technol. 1986, 40, 99–104. [Google Scholar]
- Oliveira, M.; Abadias, M.; Usall, J.; Torres, R.; Teixidó, N.; Viñas, I. Application of Modified Atmosphere Packaging as a Safety Approach to Fresh-Cut Fruits and Vegetables—A Review. Trends Food Sci. Technol. 2015, 46, 13–26. [Google Scholar] [CrossRef]
- Jacxsens, L.; Devlieghere, F.; De Rudder, T.; Debevere, J. Designing Equilibrium Modified Atmosphere Packages for Fresh-Cut Vegetables Subjected to Changes in Temperature. LWT—Food Sci. Technol. 2000, 33, 178–187. [Google Scholar] [CrossRef]
- Jacxsens, L.; Devlieghere, F.; Debevere, J. Predictive Modelling for Packaging Design: Equilibrium Modified Atmosphere Packages of Fresh-Cut Vegetables Subjected to a Simulated Distribution Chain. Int. J. Food Microbiol. 2002, 73, 331–341. [Google Scholar] [CrossRef]
- Hyun, J.-E.; Lee, S.-Y. Effect of Modified Atmosphere Packaging on Preserving Various Types of Fresh Produce. J. Food Saf. 2017, 38, e12376. [Google Scholar] [CrossRef]
- Oliveira, M.; Usall, J.; Solsona, C.; Alegre, I.; Viñas, I.; Abadias, M. Effects of Packaging Type and Storage Temperature on the Growth of Foodborne Pathogens on Shredded “Romaine” Lettuce. Food Microbiol. 2010, 27, 375–380. [Google Scholar] [CrossRef]
- Zhu, Z.; Wu, X.; Geng, Y.; Sun, D.-W.; Chen, H.; Zhao, Y.; Zhou, W.; Li, X.; Pan, H. Effects of Modified Atmosphere Vacuum Cooling (MAVC) on the Quality of Three Different Leafy Cabbages. LWT 2018, 94, 190–197. [Google Scholar] [CrossRef]
- Manthou, E.; Karnavas, A.; Fengou, L.-C.; Bakali, A.; Lianou, A.; Tsakanikas, P.; Nychas, G.-J.E. Spectroscopy and Imaging Technologies Coupled with Machine Learning for the Assessment of the Microbiological Spoilage Associated to Ready-To-Eat Leafy Vegetables. Int. J. Food Microbiol. 2022, 361, 109458. [Google Scholar] [CrossRef]
- Al-Kharousi, Z.S.; Guizani, N.; Al-Sadi, A.M.; Al-Bulushi, I.M.; Shaharoona, B. Hiding in Fresh Fruits and Vegetables: Opportunistic Pathogens May Cross Geographical Barriers. Int. J. Microbiol. 2016, 2016, 4292417. [Google Scholar] [CrossRef]
- FAO/WHO. Microbiological Hazards in Fresh Leafy Vegetables and Herbs; Meeting Report; Microbiological Risk Assessment Series No. 14; Nutrition and Consumer Protection Division, Food and Agriculture Organization of the United Nations: Rome, Italy, 2008. [Google Scholar]
- Dankwa, A.S.; Machado, R.M.; Perry, J.J. Sources of Food Contamination in a Closed Hydroponic System. Lett. Appl. Microbiol. 2019, 70, 55–62. [Google Scholar] [CrossRef]
- Iwu, C.D.; Okoh, A.I. Preharvest Transmission Routes of Fresh Produce Associated Bacterial Pathogens with Outbreak Potentials: A Review. Int. J. Environ. Res. Public Health 2019, 16, 4407. [Google Scholar] [CrossRef] [PubMed]
- Yeni, F.; Yavaş, S.; Alpas, H.; Soyer, Y. Most Common Foodborne Pathogens and Mycotoxins on Fresh Produce: A Review of Recent Outbreaks. Crit. Rev. Food Sci. Nutr. 2015, 56, 1532–1544. [Google Scholar] [CrossRef]
- Henríquez, T.; Lenzi, A.; Baldi, A.; Marvasi, M. Frontiers in Plant Breeding: Perspectives for the Selection of Vegetables Less Susceptible to Enteric Pathogens. Front. Microbiol. 2020, 11, 1087. [Google Scholar] [CrossRef]
- Brandl, M.T.; Cox, C.E.; Teplitski, M. Salmonella Interactions with Plants and Their Associated Microbiota. Phytopathology 2013, 103, 316–325. [Google Scholar] [CrossRef]
- Cox, C.E.; Brandl, M.T.; de Moraes, M.H.; Gunasekera, S.; Teplitski, M. Production of the Plant Hormone Auxin by Salmonella and Its Role in the Interactions with Plants and Animals. Front. Microbiol. 2018, 8, 2668. [Google Scholar] [CrossRef] [PubMed]
- Hernández-Reyes, C.; Schikora, A. Salmonella, a Cross-Kingdom Pathogen Infecting Humans and Plants. FEMS Microbiol. Lett. 2013, 343, 1–7. [Google Scholar] [CrossRef]
- Erickson, M.C.; Liao, J.; Payton, A.S.; Webb, C.C.; Ma, L.; Zhang, G.; Flitcroft, I.; Doyle, M.P.; Beuchat, L.R. Fate of Escherichia coli O157:H7 and Salmonella in Soil and Lettuce Roots as Affected by Potential Home Gardening Practices. J. Sci. Food Agric. 2013, 93, 3841–3849. [Google Scholar] [CrossRef] [PubMed]
- Mitra, R.; Cuesta-Alonso, E.; Wayadande, A.; Talley, J.; Gilliland, S.; Fletcher, J. Effect of Route of Introduction and Host Cultivar on the Colonization, Internalization, and Movement of the Human Pathogen Escherichia coli O157:H7 in Spinach. J. Food Prot. 2009, 72, 1521–1530. [Google Scholar] [CrossRef] [PubMed]
- Wright, K.M.; Chapman, S.; McGeachy, K.; Humphris, S.; Campbell, E.; Toth, I.K.; Holden, N.J. The Endophytic Lifestyle of Escherichia coli O157:H7: Quantification and Internal Localization in Roots. Phytopathology 2013, 103, 333–340. [Google Scholar] [CrossRef] [PubMed]
- Franz, E.; van Diepeningen, A.D.; de Vos, O.J.; van Bruggen, A.H.C. Effects of Cattle Feeding Regimen and Soil Management Type on the Fate of Escherichia coli O157:H7 and Salmonella Enterica Serovar Typhimurium in Manure, Manure-Amended Soil, and Lettuce. Appl. Environ. Microbiol. 2005, 71, 6165–6174. [Google Scholar] [CrossRef] [PubMed]
- Franz, E.; van Bruggen, A.H.C. Ecology of E. coli O157:H7 and Salmonella enterica in the primary vegetable production chain. Crit. Rev. Microbiol. 2008, 34, 143–161. [Google Scholar] [CrossRef] [PubMed]
- Gorny, J.R.; Giclas, H.; Gombas, D.; Means, K. Commodity Specific Food Safety Guidelines for the Lettuce and Leafy Greens Supply Chain; US Food and Drug Administration: Rockwell, MD, USA, 2006; pp. 1–45. Available online: https://www.fda.gov/files/food/published/Commodity-Specific-Food-Safety-Guidelines-for-the-Lettuce-and-Leafy-Greens-Supply-Chain-1st-Edition-%28PDF%29.pdf (accessed on 30 June 2024).
- Martínez-Vaz, B.M.; Fink, R.C.; Diez-Gonzalez, F.; Sadowsky, M.J. Enteric Pathogen-Plant Interactions: Molecular Connections Leading to Colonization and Growth and Implications for Food Safety. Microbes Environ. 2014, 29, 123–135. [Google Scholar] [CrossRef] [PubMed]
- Cordano, A.M.; Rocourt, J. Occurrence of Listeria monocytogenes in Food in Chile. Int. J. Food Microbiol. 2001, 70, 175–178. [Google Scholar] [CrossRef] [PubMed]
- Crépet, A.; Albert, I.; Dervin, C.; Carlin, F. Estimation of Microbial Contamination of Food from Prevalence and Concentration Data: Application to Listeria monocytogenes in Fresh Vegetables. Appl. Environ. Microbiol. 2006, 73, 250–258. [Google Scholar] [CrossRef][Green Version]
- Nousiainen, L.-L.; Joutsen, S.; Lunden, J.; Hänninen, M.-L.; Fredriksson-Ahomaa, M. Bacterial Quality and Safety of Packaged Fresh Leafy Vegetables at the Retail Level in Finland. Int. J. Food Microbiol. 2016, 232, 73–79. [Google Scholar] [CrossRef]
- Degl’Innocenti, E.; Pardossi, A.; Tognoni, F.; Guidi, L. Physiological Basis of Sensitivity to Enzymatic Browning in “Lettuce”, “Escarole” and “Rocket Salad” When Stored as Fresh-Cut Products. Food Chem. 2007, 104, 209–215. [Google Scholar] [CrossRef]
- Saltveit, M.E. Wound Induced Changes in Phenolic Metabolism and Tissue Browning Are Altered by Heat Shock. Postharvest Biol. Technol. 2000, 21, 61–69. [Google Scholar] [CrossRef]
- Degl’Innocenti, E.; Guidi, L.; Pardossi, A.; Tognoni, F. Biochemical Study of Leaf Browning in Minimally Processed Leaves of Lettuce (Lactuca sativa L. Var. Acephala). J. Agric. Food Chem. 2005, 53, 9980–9984. [Google Scholar] [CrossRef] [PubMed]
- Hyodo, H.; Fujinami, H. The Effect of 2,5-Norbornadiene on the Induction of Activity of Phenylalanine Ammonia-Lyase in Wounded Mesocarp Tissue of Cucurbita Maxima. Plant Cell Physiol. 1989, 30, 857–860. [Google Scholar] [CrossRef]
- Ritenour, M.A.; Ahrens, M.J.; Saltveit, M.E. Effects of Temperature on Ethylene-Induced Phenylalanine Ammonia Lyase Activity and Russet Spotting in Harvested Iceberg Lettuce. J. Am. Soc. Hortic. Sci. 1995, 120, 84–87. [Google Scholar] [CrossRef]
- Molinos, A.C.; Abriouel, H.; Ben Omar, N.; Valdivia, E.; Lopez, R.L.; Maqueda, M.; Canamero, M.M.; Galvez, A. Effect of Immersion Solutions Containing Enterocin AS-48 on Listeria monocytogenes in Vegetable Foods. Appl. Environ. Microbiol. 2005, 71, 7781–7787. [Google Scholar] [CrossRef] [PubMed]
- Randazzo, C.L.; Pitino, I.; Scifo, G.O.; Caggia, C. Biopreservation of Minimally Processed Iceberg Lettuces Using a Bacteriocin Produced by Lactococcus lactis Wild Strain. Food Control 2009, 20, 756–763. [Google Scholar] [CrossRef]
- Poimenidou, S.V.; Bikouli, V.C.; Gardeli, C.; Mitsi, C.; Tarantilis, P.A.; Nychas, G.-J.; Skandamis, P.N. Effect of single or com-bined chemical and natural antimicrobial interventions on Escherichia coli O157:H7, total microbiota and color of packaged spinach and lettuce. Int. J. Food Microbiol. 2016, 220, 6–18. [Google Scholar] [CrossRef]








| Sample | Instrument | Selected Region (cm−1) | RMSE | R2 | Slope | Offset | |
|---|---|---|---|---|---|---|---|
| Rocket | FTIR | 870–1800 | Training | 0.667 | 0.132 | 0.132 | 6.698 |
| Validation | 0.157 | 0.600 | 0.176 | 6.438 | |||
| Prediction | 0.614 | 0.041 | 0.114 | 6.836 | |||
| Benchtop-MSI | - | Training | 0.549 | 0.402 | 0.402 | 4.612 | |
| Validation | 0.585 | 0.288 | 0.319 | 5.261 | |||
| Prediction | 0.572 | 0.049 | 0.291 | 5.431 | |||
| Portable-MSI | - | Training | 0.513 | 0.454 | 0.454 | 4.121 | |
| Validation | 0.512 | 0.222 | 0.527 | 3.577 | |||
| Prediction | 0.555 | 0.387 | 0.404 | 4.556 | |||
| White cabbage | FTIR | 870–1800 | Training | 1.145 | 0.279 | 0.279 | 4.258 |
| Validation | 1.244 | −0.078 | 0.232 | 4.518 | |||
| Prediction | 1.464 | 0.274 | 0.237 | 4.515 | |||
| Benchtop-MSI | - | Training | 0.950 | 0.466 | 0.466 | 3.058 | |
| Validation | 1.212 | 0.250 | 0.636 | 2.109 | |||
| Prediction | 1.244 | 0.178 | 0.379 | 3.344 | |||
| Portable-MSI | - | Training | 0.559 | 0.814 | 0.814 | 1.227 | |
| Validation | 0.633 | 0.787 | 0.751 | 1.731 | |||
| Prediction | 0.722 | 0.756 | 0.699 | 1.817 | |||
| Romaine lettuce | FTIR | 870–1800 | Training | 0.737 | 0.396 | 0.362 | 4.905 |
| Validation | 0.865 | 0.226 | 2.444 | 5.902 | |||
| Prediction | 0.847 | 0.125 | 0.319 | 5.318 | |||
| Benchtop-MSI | - | Training | 0.702 | 0.466 | 0.466 | 4.082 | |
| Validation | 0.429 | 0.721 | 0.306 | 5.264 | |||
| Prediction | 0.708 | 0.331 | 0.310 | 4.564 | |||
| Portable-MSI | - | Training | 0.495 | 0.649 | 0.649 | 2.210 | |
| Validation | 0.583 | 0.287 | 0.514 | 3.641 | |||
| Prediction | 0.604 | 0.347 | 0.376 | 4.581 |
Disclaimer/Publisher’s Note: The statements, opinions and data contained in all publications are solely those of the individual author(s) and contributor(s) and not of MDPI and/or the editor(s). MDPI and/or the editor(s) disclaim responsibility for any injury to people or property resulting from any ideas, methods, instructions or products referred to in the content. |
© 2024 by the authors. Licensee MDPI, Basel, Switzerland. This article is an open access article distributed under the terms and conditions of the Creative Commons Attribution (CC BY) license (https://creativecommons.org/licenses/by/4.0/).
Share and Cite
Doukaki, A.; Papadopoulou, O.S.; Tzavara, C.; Mantzara, A.-M.; Michopoulou, K.; Tassou, C.; Skandamis, P.; Nychas, G.-J.; Chorianopoulos, N. Monitoring the Bioprotective Potential of Lactiplantibacillus pentosus Culture on Pathogen Survival and the Shelf-Life of Fresh Ready-to-Eat Salads Stored under Modified Atmosphere Packaging. Pathogens 2024, 13, 557. https://doi.org/10.3390/pathogens13070557
Doukaki A, Papadopoulou OS, Tzavara C, Mantzara A-M, Michopoulou K, Tassou C, Skandamis P, Nychas G-J, Chorianopoulos N. Monitoring the Bioprotective Potential of Lactiplantibacillus pentosus Culture on Pathogen Survival and the Shelf-Life of Fresh Ready-to-Eat Salads Stored under Modified Atmosphere Packaging. Pathogens. 2024; 13(7):557. https://doi.org/10.3390/pathogens13070557
Chicago/Turabian StyleDoukaki, Angeliki, Olga S. Papadopoulou, Chrysavgi Tzavara, Aikaterini-Malevi Mantzara, Konstantina Michopoulou, Chrysoula Tassou, Panagiotis Skandamis, George-John Nychas, and Nikos Chorianopoulos. 2024. "Monitoring the Bioprotective Potential of Lactiplantibacillus pentosus Culture on Pathogen Survival and the Shelf-Life of Fresh Ready-to-Eat Salads Stored under Modified Atmosphere Packaging" Pathogens 13, no. 7: 557. https://doi.org/10.3390/pathogens13070557
APA StyleDoukaki, A., Papadopoulou, O. S., Tzavara, C., Mantzara, A.-M., Michopoulou, K., Tassou, C., Skandamis, P., Nychas, G.-J., & Chorianopoulos, N. (2024). Monitoring the Bioprotective Potential of Lactiplantibacillus pentosus Culture on Pathogen Survival and the Shelf-Life of Fresh Ready-to-Eat Salads Stored under Modified Atmosphere Packaging. Pathogens, 13(7), 557. https://doi.org/10.3390/pathogens13070557

