Numerical and Theoretical Study on the Vertical Shear Behavior of a Novel Multi-Ribbed Profiled Steel Sheeting-Concrete Composite Slab in the Construction Stage
Abstract
1. Introduction
2. Finite Element Model
2.1. Material Properties
2.2. Interfacial Interaction and Constraints
2.3. Boundary Conditions and Loading Scheme
2.4. Validation of the Finite Element Model
3. Response Characteristics of a Typical Specimen in Vertical Shear
3.1. Load-Displacement Curves and Internal Force Analysis
3.2. Crack Development and Interface Damage Analysis
4. Effect Analysis of Geometric Parameters on Vertical Shear Performance
4.1. Shear-Span Ratio Effects
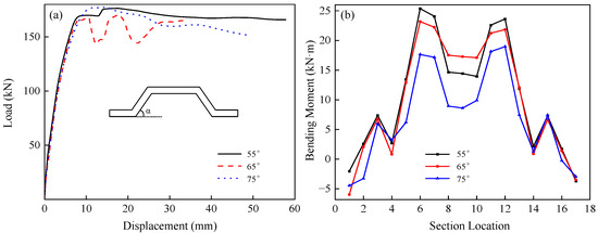
4.2. Profiled Steel Sheeting Rib Inclination Angle Effects
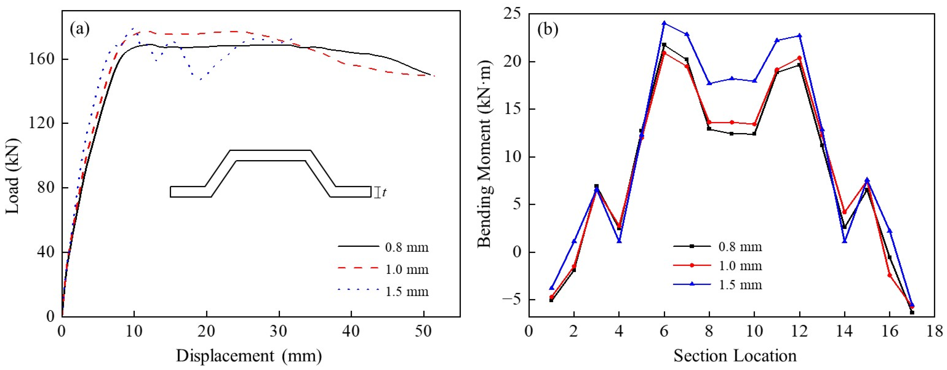
4.3. Profiled Steel Sheeting Thickness Effects
4.4. Longitudinal Reinforcement Ratio Effects
5. Theoretical Model for Calculating the Vertical Shear Capacity
5.1. Theoretical Model for Analysis
5.2. Validation Against Finite Element Results and Applicability
6. Conclusions
- (1)
- The load-carrying process of the novel multi-ribbed profiled steel sheeting-concrete composite slab can be divided into four stages. The purely elastic stage is short, followed by a long elastic-plastic stage with high stiffness, which guarantees adequate load-carrying capacity and stability. Approximately 50% of the total plastic deformation is accumulated in Stage III ensuring ductility and robustness under accidental actions. In the final failure stage, the strengths of both the profiled sheeting and the concrete are effectively mobilized.
- (2)
- The effects of the stress state on the failure mode and load-carrying capacity of the multi-ribbed profiled steel sheeting-concrete composite slab were examined. As the shear-span ratio increases, the concrete compression zone becomes smaller. For slabs with identical configurations, increasing the shear-span ratio from 2 to 2.7 leads to reductions of about 40% in initial stiffness and about 20% in vertical shear capacity.
- (3)
- Parametric analyses were carried out on the rib inclination angle and thickness of the multi-ribbed profiled sheeting and on the longitudinal reinforcement ratio. Increasing the rib inclination angle α weakens the composite interaction between the profiled sheeting and the concrete, and the maximum bending moment of the slab at α = 75° is approximately 40% lower than that at α = 55. Increasing the thickness of the profiled sheeting and the slab depth enhances the load-carrying capacity and stiffness of the composite slab. Introducing a moderate longitudinal reinforcement ratio improves the internal stress state of the concrete and increases the initial stiffness.
- (4)
- A strength-equivalent analytical model for the vertical shear capacity of the new composite slab was developed and calibrated against finite-element simulations over a wide range of structural parameters. Theoretical predictions agree with the numerical results within 15% and are generally lower than the numerical capacities, indicating that the proposed vertical shear-capacity equation is both accurate and mildly conservative for design applications. It should be noted that the proposed calculation method for the vertical shear capacity has been primarily validated against numerical results, and its accuracy still requires further examination through subsequent experimental studies.
Author Contributions
Funding
Data Availability Statement
Conflicts of Interest
References
- Tan, M.; Wu, Y.; Pan, W.; Liu, G.; Chen, W. Optimal Design of a Novel Large-Span Cable-Supported Steel-Concrete Composite Floor System. Buildings 2024, 14, 113. [Google Scholar] [CrossRef]
- Tang, B.; Zhang, X.; Xia, Z.; Shi, H.; Deng, X.; Chen, X.; Mao, X.; Wang, J. Construction process monitoring of a large-span steel truss roof based on response-increment comparison strategy. Meas. Sci. Technol. 2024, 35, 025001. [Google Scholar] [CrossRef]
- Favarato, L.F.; Gomes, A.V.S.; de Moura Candido, D.C.; Ferrareto, J.A.; Vianna, J.d.C.; Calenzani, A.F.G. On the composite behavior of a rebar truss ribbed slab with incorporated shuttering made of lipped channel section. J. Build. Eng. 2022, 55, 104663. [Google Scholar] [CrossRef]
- Candido, D.C.d.M.; Gomes, A.V.S.; Favarato, L.F.; Ferrareto, J.A.; Vianna, J.d.C.; Calenzani, A.F.G. Flexural behavior of composite ribbed slabs employing cold-formed steel lipped channels. Eng. Struct. 2024, 298, 117070. [Google Scholar] [CrossRef]
- Raza, S.; Sakha, M.; Hassan, Z.; Manshadi, B.; Wang, X.; Fan, H.; Dillenburger, B.; Shahverdi, M. Flexural behavior of stay-in-place load-bearing 3D-printed concrete formwork for ribbed slabs. Eng. Struct. 2025, 338, 120531. [Google Scholar] [CrossRef]
- Zhu, J.; Guo, X.; Kang, J.; Duan, M.; Wang, Y. Numerical and theoretical research on flexural behavior of steel-UHPC composite beam with waffle-slab system. J. Constr. Steel Res. 2020, 171, 106141. [Google Scholar] [CrossRef]
- Elsanadedy, H.; Al Kallas, A.; Abbas, H.; Almusallam, T.; Al-Salloum, Y. Capacity reinstatement of reinforced concrete one-way ribbed slabs with rib-cutting shear zone openings: Hybrid fiber reinforced polymer/steel technique. Adv. Struct. Eng. 2024, 27, 2521–2543. [Google Scholar] [CrossRef]
- Ghasemi, S.; Zohrevand, P.; Mirmiran, A.; Xiao, Y.; Mackie, K. A super lightweight UHPC-HSS deck panel for movable bridges. Eng. Struct. 2016, 113, 186–193. [Google Scholar] [CrossRef]
- Aladzic, V.; Kekanovic, M.; Milicic, I. Traditional Thick Concrete Floor Slabs—An Obstacle to the Flexibility, Energy Efficiency and Seismic Safety. Teh. Vjesn.-Tech. Gaz. 2019, 26, 1794–1802. [Google Scholar] [CrossRef]
- Zeng, X.; Feng, Y.; Ruan, S.; Xu, M.; Gong, L. Experimental and Numerical Study on Flexural Behavior of a Full-Scale Assembled Integral Two-Way Multi-Ribbed Composite Floor System. Buildings 2023, 13, 2517. [Google Scholar] [CrossRef]
- Huber, T.; Burger, J.; Mata-Falcon, J.; Kaufmann, W. Structural design and testing of material optimized ribbed RC slabs with 3D printed formwork. Struct. Concr. 2023, 24, 1932–1955. [Google Scholar] [CrossRef]
- Alali, A.A.; Tsavdaridis, K.D. Experimental investigation on flexural behaviour of prefabricated ultra-shallow steel concrete composite slabs. J. Constr. Steel Res. 2024, 217, 108632. [Google Scholar] [CrossRef]
- Paul, S.; Shaji, A.; Menon, D.; Prasad, A.M. Experimental study on two-way prototype GFRG-RC floor slab systems. Structures 2025, 71, 108061. [Google Scholar] [CrossRef]
- Zheng, C.Y.; Xiong, F.; Liu, Y.; Yu, M.J. Study on the flexural behavior of precast concrete multi-ribbed sandwich slabs under different boundary conditions. Eng. Struct. 2023, 291, 17. [Google Scholar] [CrossRef]
- Nie, J.G.; Wang, J.J.; Gou, S.K.; Zhu, Y.Y.; Fan, J.S. Technological development and engineering applications of novel steel-concrete composite structures. Front. Struct. Civ. Eng. 2019, 13, 1–14. [Google Scholar] [CrossRef]
- Lai, B.L.; Li, Y.R.; Becque, J.; Zheng, Y.Y.; Fan, S.G. Axial compressive behavior of circular stainless steel tube confined UHPC stub columns under monotonic and cyclic loading. Thin-Walled Struct. 2025, 208, 112830. [Google Scholar] [CrossRef]
- Majdi, Y.; Hsu, C.T.T.; Zarei, M. Finite element analysis of new composite floors having cold-formed steel and concrete slab. Eng. Struct. 2014, 77, 65–83. [Google Scholar] [CrossRef]
- Dinh, P.T.; Jeung-Hwan, D.; Sam, F.; Ho, N.M.; Tim, P. Numerical modeling techniques and investigation into the flexural behavior of two-way posttensioned concrete slabs with profiled steel sheeting. Struct. Concr. 2023, 24, 2674–2698. [Google Scholar] [CrossRef]
- Dinh, P.T.; Doh, J.H. Experimental study and numerical modelling of post-tensioning systems on the transverse direction of composite steel deck-concrete structures. Structures 2024, 70, 107881. [Google Scholar] [CrossRef]
- John, K.; Ashraf, M.; Weiss, M.; Al-Ameri, R. Experimental study and numerical modelling of a novel two-way steel-concrete composite slab. Structures 2023, 57, 105096. [Google Scholar] [CrossRef]
- Yi, O.; Mills, J.E.; Zhuge, Y.; Ma, X.; Gravina, R.J.; Youssf, O. Performance of crumb rubber concrete composite-deck slabs in 4-point-bending. J. Build. Eng. 2021, 40, 102695. [Google Scholar] [CrossRef]
- Zhang, R.; Jiao, J.; He, M.; Tao, Z.; He, P. Design, implementation and performance prediction of profiled steel sheet-mixed aggregate recycled concrete hollow composite slab. J. Build. Eng. 2023, 79, 107839. [Google Scholar] [CrossRef]
- Zhu, G.; Wang, X.; Wang, W.; Wang, J.; Yang, Y. Research on the Flexural Behavior of Profiled Steel Sheet-Hollow Concrete Composite Floor Slab. Buildings 2025, 15, 2140. [Google Scholar] [CrossRef]
- Lai, B.L.; Zhou, X.; Zhang, M.Y.; Zheng, X.F.; Fan, S.G. Experimental study on the eccentric compressive behavior of steel reinforced concrete composite columns with stay-in-place ECC jacket. J. Build. Eng. 2025, 102, 112007. [Google Scholar] [CrossRef]
- Girhammar, U.A.; Pajari, M. Tests and analysis on shear strength of composite slabs of hollow core units and concrete topping. Constr. Build. Mater. 2008, 22, 1708–1722. [Google Scholar] [CrossRef]
- Hegger, J.; Roggendorf, T.; Kerkeni, N. Shear capacity of prestressed hollow core slabs in slim floor constructions. Eng. Struct. 2009, 31, 551–559. [Google Scholar] [CrossRef]
- Rahman, M.K.; Baluch, M.H.; Said, M.K.; Shazali, M.A. Flexural and Shear Strength of Prestressed Precast Hollow-Core Slabs. Arab. J. Sci. Eng. 2012, 37, 443–455. [Google Scholar] [CrossRef]
- ACI 318-05; Building Code Requirements for Structural Concrete and Commentary. American Concrete Institute: Farmington Hills, MI, USA, 2005.
- Pereira, M.; Simoes, R. Contribution of steel sheeting to the vertical shear capacity of composite slabs. J. Constr. Steel Res. 2019, 161, 275–284. [Google Scholar] [CrossRef]
- Xiang, D.; Liu, Y.; Shi, Y.; Xu, X. Vertical shear capacity of steel-concrete composite deck slabs with steel ribs. Eng. Struct. 2022, 262, 114396. [Google Scholar] [CrossRef]
- Shang, R.; Jiang, F. Experimental study on shear capacity of cast-in-situ concrete hollow floor in transverse direction. J. Build. Struct. 2015, 36, 110–115. [Google Scholar]
- Wu, F.; Liu, B.; Luo, J. Experimental Study on Shear Resisting Properties of Prestressed Concrete Composite Hollow Core Slabs. Eng. Mech. 2016, 33, 196–203. [Google Scholar]
- Han, L.H. Concrete-Filled Steel Tube Structures; Science Press: Beijing, China, 2000. [Google Scholar]
- Mander, J.B.; Priestley, M.J.N.; Park, R. Theoretical Stress-Strain Model for Confined Concrete. J. Struct. Eng. 1988, 114, 1804–1826. [Google Scholar] [CrossRef]
- GB 50010-2010; Code for Design of Concrete Structures. China Architecture & Building Press: Beijing, China, 2010.
- Yu, S.; Sun, Z.; Yu, J.; Yang, J.; Zhu, C. An improved meshless method for modeling the mesoscale cracking processes of concrete containing random aggregates and initial defects. Constr. Build. Mater. 2023, 363, 129770. [Google Scholar] [CrossRef]
- Yu, S.; Ren, X.; Zhang, J.; Sun, Z. Simulating the chemical-mechanical-damage coupling problems of cement-based materials using an improved smoothed particle hydrodynamics method. Case Stud. Constr. Mater. 2023, 18, e02018. [Google Scholar] [CrossRef]
- Nguyen, T.N.H.; Tan, K.H.; Kanda, T. Investigations on web-shear behavior of deep precast, prestressed concrete hollow core slabs. Eng. Struct. 2019, 183, 579–593. [Google Scholar] [CrossRef]
- Neuberger, Y.M.; Andrade, M.V.; de Sousa, A.M.D.; Bandieira, M.; da Silva Junior, E.P.; dos Santos, H.F.; Catoia, B.; Bolandim, E.A.; Aquino, V.B.d.M.; Christoforo, A.L.; et al. Numerical Analysis of Reinforced Concrete Corbels Using Concrete Damage Plasticity: Sensitivity to Material Parameters and Comparison with Analytical Models. Buildings 2023, 13, 2781. [Google Scholar] [CrossRef]
- EN 1994-2; Eurocode 4: Design of Composite Steel and Concrete Structures—Part 2: General Rules and Rules for Bridges. European Committee for Standardization: Brussels, Belgium, 2005.
- Euro-International Committee for Concrete. CEB-FIP Model Code 1990: Design Code; Thomas Telford Services Ltd.: London, UK, 1993; ISBN 0-7277-1696-4. [Google Scholar]
- Lai, B.L.; Zheng, X.F.; Fan, S.G.; Chang, Z.Q. Behavior and design of concrete filled stainless steel tubular columns under concentric and eccentric compressive loading. J. Constr. Steel Res. 2024, 213, 108319. [Google Scholar] [CrossRef]
- Wan, Y.Y. Theoretical and Experimental Research on Bending Performance of Composite Slab with New Type Two-Way Multi-ribbed Steel Sheet. Master’s Thesis, Southeast University, Nanjing, China, 2020. [Google Scholar]



















| Type | Thickness or Diameter (mm) | Yield Strength or Cube Compressive Strength (MPa) | Elastic Modulus (MPa) |
|---|---|---|---|
| Profiled steel sheeting | 1.2 | 239 | 2.06 × 105 |
| HRB400 | 14 | 417 | 2.06 × 105 |
| Concrete | - | 30 | 2.4 × 104 |
| ψ | ξ | σb0/σc0 | Kc | μ |
|---|---|---|---|---|
| 30 | 0.1 | 1.16 | 0.667 | 0.001 |
| Contact Interface | Steel-Concrete | ||
|---|---|---|---|
| Cohesive-Coulomb mixed model parameters | Stiffness (MPa/mm) | Knn | 5.36 |
| Kss | 5.36 | ||
| Ktt | 5.36 | ||
| Peak stress (MPa) | 0.3 | ||
| 0.3 | |||
| 0.3 | |||
| Fracture energy (N/mm) | 0.053 | ||
| Friction coefficient | μ | 0.3 | |
| Specimens | Embossment Height (mm) | Rib Inclination Angle (°) | Sheeting Thickness (mm) | Slab Width (mm) | Shear-Span Ratio |
|---|---|---|---|---|---|
| ZB-1 | 180 | 65 | 1.2 | 1000 | 2 |
| ZB-2 | 180 | 65 | 1.2 | 1000 | 2.7 |
| ZB-3 | 150 | 65 | 1.2 | 1000 | 2 |
| ZB-4 | 150 | 65 | 0.8 | 1000 | 2 |
| ZB-5 | 150 | 75 | 1.2 | 1000 | 2 |
| ZB-6 | 180 | 65 | 1.2 | 1400 | 2 |
| ZB-7 | 180 | 65 | 1.2 | 1400 | 2.7 |
| ZB-8 | 150 | 75 | 1.2 | 1400 | 2 |
| Specimens | Numerical Result (kN) | Analytical Prediction (kN) | Relative Error (%) |
|---|---|---|---|
| ZB-1 | 194.08 | 193.31 | −0.3 |
| ZB-2 | 140.02 | 121.11 | −13.5 |
| ZB-3 | 168.60 | 165.81 | −1.6 |
| ZB-4 | 148.81 | 136.56 | −8.2 |
| ZB-5 | 157.2 | 139.79 | −11.1 |
| ZB-6 | 212.55 | 207.57 | −2.3 |
| ZB-7 | 173.08 | 175.76 | 1.5 |
| ZB-8 | 194.14 | 185.18 | −4.6 |
Disclaimer/Publisher’s Note: The statements, opinions and data contained in all publications are solely those of the individual author(s) and contributor(s) and not of MDPI and/or the editor(s). MDPI and/or the editor(s) disclaim responsibility for any injury to people or property resulting from any ideas, methods, instructions or products referred to in the content. |
© 2026 by the authors. Licensee MDPI, Basel, Switzerland. This article is an open access article distributed under the terms and conditions of the Creative Commons Attribution (CC BY) license.
Share and Cite
Hou, K.; Shu, G.; Wan, Y. Numerical and Theoretical Study on the Vertical Shear Behavior of a Novel Multi-Ribbed Profiled Steel Sheeting-Concrete Composite Slab in the Construction Stage. Buildings 2026, 16, 234. https://doi.org/10.3390/buildings16010234
Hou K, Shu G, Wan Y. Numerical and Theoretical Study on the Vertical Shear Behavior of a Novel Multi-Ribbed Profiled Steel Sheeting-Concrete Composite Slab in the Construction Stage. Buildings. 2026; 16(1):234. https://doi.org/10.3390/buildings16010234
Chicago/Turabian StyleHou, Keyi, Ganping Shu, and Yuanyuan Wan. 2026. "Numerical and Theoretical Study on the Vertical Shear Behavior of a Novel Multi-Ribbed Profiled Steel Sheeting-Concrete Composite Slab in the Construction Stage" Buildings 16, no. 1: 234. https://doi.org/10.3390/buildings16010234
APA StyleHou, K., Shu, G., & Wan, Y. (2026). Numerical and Theoretical Study on the Vertical Shear Behavior of a Novel Multi-Ribbed Profiled Steel Sheeting-Concrete Composite Slab in the Construction Stage. Buildings, 16(1), 234. https://doi.org/10.3390/buildings16010234
