Stability Assessment of Operation Tunnels Considering Long-Term Interaction Between the Lining and Surrounding Rock
Abstract
1. Introduction

2. Time-Dependent Characteristics of Tunnel Structures
2.1. Degradation Process of Concrete Lining
2.2. Time-Dependent Behavior of Surrounding Rock
3. Long-Term Interaction Between the Lining and Surrounding Rock Considering Delayed Processes
3.1. Modeling and Derivation of Coupled Analytical Models
3.1.1. First Stage: Free Convergence of an Unlined Tunnel
3.1.2. Second Stage: Operation of the Tunnel
3.2. Verification of Coupled Mechanics Models
4. Analysis of Long-Term Coupling Mechanism Between Lining Structure and Surrounding Rock
4.1. Mechanical Response of Tunnel Structure Considering Delayed Processes
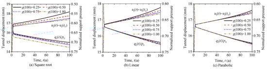
4.1.1. Influence of Degradation Model of Concrete Lining
4.1.2. Influence of Thickness of Concrete Lining
4.1.3. Influence of Rheological Properties of Surrounding Rock
4.2. Long-Term Stability Assessment of Operation Tunnels
5. Discussion
6. Conclusions
- (1)
- The long-term stability of tunnels is governed by the interaction between the concrete lining and the surrounding rock. Under sustained rheological effects, tunnel deformation and support pressure increase over time, while lining degradation reduces structural stiffness, slowing pressure growth but accelerating deformation. Different degradation models and rates significantly influence mechanical response, with thinner linings showing greater susceptibility. Viscoelastic rock properties further affect system behavior. By analyzing the evolution of structure stress and bearing capacity, this study evaluates how rock rheology and lining deterioration collectively impact service life. The amplified effect of degradation under long-term rock loading underscores the necessity of understanding these coupled mechanisms for accurate life predictions.
- (2)
- Remediation of structural damage in operation tunnels should consider the surrounding rock condition and support structure performance, significantly improving long-term safety and reducing remediation costs. A long-term performance maintenance method for operation tunnels is proposed and illustrated by a tunnel rehabilitation project, and the reliability of the proposed method has been verified through long-term field monitoring. The presented approach for assessing the long-term stability of tunnels, although valid for some simplified conditions, allows us to estimate the influence of significantly delayed behaviors that affect the support structure and surrounding rock.
- (3)
- This study employs theoretical analytical methods to investigate the mechanical behavior of tunnel structures during service. Given the complexity of the derivation, certain necessary assumptions were introduced. The interaction between tunnel support and surrounding rock is fundamentally a multi-body contact behavior, involving interfaces between the support and the rock, as well as among different support components. In long-term service, the contact patterns and load transfer mechanisms among these bodies may evolve. Therefore, future research should focus on the evolution of contact relationships and the corresponding mechanical behavior between the support and surrounding rock throughout the tunnel’s service life.
Author Contributions
Funding
Data Availability Statement
Conflicts of Interest
Appendix A
References
- Sun, Z.; Zhang, D.; Fang, Q.; Dui, G.; Tai, Q.; Sun, F. Analysis of the Interaction between Tunnel Support and Surrounding Rock Considering Pre-Reinforcement. Tunn. Undergr. Space Technol. 2021, 115, 104074. [Google Scholar] [CrossRef]
- Sun, Z.; Zhang, D.; Wang, J.; Hou, Y. Analytical Approach for the Design of Composite Linings in Deep Tunnels Considering the Blasting Damaged Zone. Tunn. Undergr. Space Technol. 2024, 147, 105695. [Google Scholar] [CrossRef]
- Ye, F.; Qin, N.; Liang, X.; Ouyang, A.; Qin, Z.; Su, E. Analyses of the Defects in Highway Tunnels in China. Tunn. Undergr. Space Technol. 2021, 107, 103658. [Google Scholar] [CrossRef]
- Liu, C.; Gao, J.; Zhang, S.; Zhang, D.; Li, P.; Liu, D. Investigating the Time-Dependent Behavior of Rock Induced by Environmental Erosion and Its Effect on the Long-Term Safety of Tunnel Lining. Tunn. Undergr. Space Technol. 2025, 155, 106152. [Google Scholar] [CrossRef]
- Chen, Z.; He, C.; Dong, W.; Jiang, C. Investigation on Failure Mechanism and Time-Delay Fracturing Behavior of Hard-Rock Tunnel under Extremely High Geostress State. Tunn. Undergr. Space Technol. 2024, 148, 105767. [Google Scholar] [CrossRef]
- Ai, Q.; Yuan, Y.; Shen, S.L.; Wang, H.; Huang, X. Investigation on Inspection Scheduling for the Maintenance of Tunnel with Different Degradation Modes. Tunn. Undergr. Space Technol. 2020, 106, 103589. [Google Scholar] [CrossRef]
- Liu, C.; Zhang, D.; Zhang, S.; Fang, Q.; Sun, Z. Long-Term Mechanical Analysis of Tunnel Structures in Rheological Rock Considering the Degradation of Primary Lining. Undergr. Space 2023, 10, 217–232. [Google Scholar] [CrossRef]
- Ma, G.; He, Z.; He, C.; Kang, X.; Wang, S.; Xu, G. Time-Dependent Performance Assessment of Mountain Tunnels Considering the Hazards Associated with Squeezing Soft Rock and Nonuniform Steel Corrosion in RC Lining Structure. Comput. Geotech. 2023, 164, 105808. [Google Scholar] [CrossRef]
- Liu, C.; Zhang, D.; Zhang, S. Characteristics and Treatment Measures of Lining Damage: A Case Study on a Mountain Tunnel. Eng. Fail. Anal. 2021, 128, 105595. [Google Scholar] [CrossRef]
- Liu, N.; Li, N.; Xu, C.; Li, G.; Song, Z.; Yang, M. Mechanism of Secondary Lining Cracking and Its Simulation for the Dugongling Tunnel. Rock. Mech. Rock. Eng. 2020, 53, 4539–4558. [Google Scholar] [CrossRef]
- Liu, C.; Zhang, D.; Fang, Q.; Zhang, S.; Sun, Z. Investigation of Progressive Failure Mechanism of Tunnel Lining with Material Defects Using Discrete Element Method. Theor. Appl. Fract. Mech. 2023, 125, 103832. [Google Scholar] [CrossRef]
- Qin, W.; Chen, E.J.; Wang, F.; Liu, W.; Zhou, C. Data-Driven Models in Reliability Analysis for Tunnel Structure: A Systematic Review. Tunn. Undergr. Space Technol. 2024, 152, 105928. [Google Scholar] [CrossRef]
- Xu, G.; Wang, B.; Ma, G.; Du, J.; Chen, X.; Hou, Z. Study on the Damage Evolutional Process of Secondary Tunnel Lining under Rheological Effect of Surrounding Rock. Eng. Fail. Anal. 2022, 142, 106758. [Google Scholar] [CrossRef]
- Zhao, L.; Yang, W.; Wang, Z.; Liang, Y.; Zeng, Z. Long-Term Safety Evaluation of Soft Rock Tunnel Structure Based on Knowledge Decision-Making and Data-Driven Models. Comput. Geotech. 2024, 169, 106244. [Google Scholar] [CrossRef]
- Liu, C.; Zheng, Y.; Zhang, S.; Zhang, D.; Du, M.; Guan, X. Time-Dependent Mechanical Behavior of Double-Layer Primary Support in Deeply Buried Soft Rock Tunnels Influenced by Hardening Features. Rock Mech. Rock Eng. 2025. [Google Scholar] [CrossRef]
- Yang, J.; Li, P.; Gao, J.; Tao, Y.; Tao, L. Bearing Performance of a Novel Multiple Resistance Yielding Support for Tunnel Lining in Squeezing Rock: Experimental, Numerical and Theoretical Investigations. Tunn. Undergr. Space Technol. 2026, 167, 107077. [Google Scholar] [CrossRef]
- Galan, I.; Baldermann, A.; Kusterle, W.; Dietzel, M.; Mittermayr, F. Durability of Shotcrete for Underground Support– Review and Update. Constr. Build. Mater. 2019, 202, 465–493. [Google Scholar] [CrossRef]
- Sandrone, F.; Labiouse, V. Analysis of the Evolution of Road Tunnels Equilibrium Conditions with a Convergence–Confinement Approach. Rock Mech. Rock Eng. 2010, 43, 201–218. [Google Scholar] [CrossRef]
- Showkati, A.; Salari-rad, H.; Hazrati Aghchai, M. Predicting Long-Term Stability of Tunnels Considering Rock Mass Weathering and Deterioration of Primary Support. Tunn. Undergr. Space Technol. 2021, 107, 103670. [Google Scholar] [CrossRef]
- Kamel, T.; Limam, A.; Silvani, C.; Pellet, F.L. Modeling the Degradation of Old Subway Galleries Using a Continuum Approach. Tunn. Undergr. Space Technol. 2015, 48, 77–93. [Google Scholar] [CrossRef]
- Barla, G.; Debernardi, D.; Sterpi, D. Time-Dependent Modeling of Tunnels in Squeezing Conditions. Int. J. Geomech. 2012, 12, 697–710. [Google Scholar] [CrossRef]
- Lyu, C.; Liu, J.; Ren, Y.; Liang, C.; Liao, Y. Study on Very Long-Term Creep Tests and Nonlinear Creep-Damage Constitutive Model of Salt Rock. Int. J. Rock Mech. Min. Sci. 2021, 146, 104873. [Google Scholar] [CrossRef]
- Gutiérrez-Ch, J.G.; Senent, S.; Zeng, P.; Jimenez, R. DEM Simulation of Rock Creep in Tunnels Using Rate Process Theory. Comput. Geotech. 2022, 142, 104559. [Google Scholar] [CrossRef]
- Li, S.; Wu, Y.; Huo, R.; Song, Z.; Fujii, Y.; Shen, Y. Mechanical Properties of Acid-Corroded Sandstone under Uniaxial Compression. Rock Mech. Rock Eng. 2021, 54, 289–302. [Google Scholar] [CrossRef]
- Liu, X.; Hong, J.; Liu, Z. Investigations on Mechanical Behavior of Longitudinal Joints in Segmental Tunnel Linings Reinforced with Epoxy Bonded-Bolted Steel Plates. Tunn. Undergr. Space Technol. 2025, 163, 106724. [Google Scholar] [CrossRef]
- Liu, X.; Hong, J.; Liu, Z.; Cao, B.T. Mechanical Behavior and Failure Mechanisms of Shield Tunnel Linings Reinforced with Lightweight Epoxy Bonded-Bolted Steel Plates. Tunn. Undergr. Space Technol. 2026, 168, 107137. [Google Scholar] [CrossRef]
- Yang, W.; Wang, X.; Ivanović, A.; Zhang, X. Coupled Analytical Solutions for Circular Tunnels Considering Rock Creep Effects and Time-Dependent Anchoring Forces in Prestressed Bolts. Tunn. Undergr. Space Technol. 2023, 134, 104954. [Google Scholar] [CrossRef]
- Wu, K.; Shao, Z.; Jiang, Y.; Zhao, N.; Qin, S.; Chu, Z. Determination of Stiffness of Circumferential Yielding Lining Considering the Shotcrete Hardening Property. Rock Mech. Rock Eng. 2023, 56, 3023–3036. [Google Scholar] [CrossRef]
- Liu, C.; Zhang, D.; Zhang, S.; Sun, Z. Interaction Analysis between Composite Supports and Rheological Rock Considering Progressive Hardening Characteristic of Shotcrete. Constr. Build. Mater. 2023, 374, 130876. [Google Scholar] [CrossRef]
- Chu, Z.; Wu, Z.; Liu, Q.; Weng, L.; Xu, X.; Wu, K.; Sun, Z. Viscos-Elastic-Plastic Solution for Deep Buried Tunnels Considering Tunnel Face Effect and Sequential Installation of Double Linings. Comput. Geotech. 2024, 165, 105930. [Google Scholar] [CrossRef]
- Liu, W.; Chen, J.; Luo, Y.; Chen, L.; Shi, Z.; Wu, Y. Deformation Behaviors and Mechanical Mechanisms of Double Primary Linings for Large-Span Tunnels in Squeezing Rock: A Case Study. Rock Mech. Rock Eng. 2021, 54, 2291–2310. [Google Scholar] [CrossRef]
- Wang, Y.; Liu, Y.; Wang, Z.F.; Zhang, X.; Hui, Y.; Li, J. Investigation on Progressive Failure Process of Tunnel Lining Induced by Creep Effect of Surrounding Rock: A Case Study. Eng. Fail. Anal. 2023, 144, 106946. [Google Scholar] [CrossRef]
- Sui, Y.; Cheng, X.; Zhao, Z.; Ma, W. Investigation of Cracking Mechanism of the First Tunnel Lining during Double-Arch Tunnel Construction. Undergr. Space 2024, 14, 1–17. [Google Scholar] [CrossRef]
- Xu, G.; He, C.; Yan, J.; Ma, G. A New Transversely Isotropic Nonlinear Creep Model for Layered Phyllite and Its Application. Bull. Eng. Geol. Environ. 2019, 78, 5387–5408. [Google Scholar] [CrossRef]
- Wang, H.; Wang, F.; Fan, C.; Guo, C. Experimental Investigation on the Load-Bearing Capacity and Deformation Behaviour of the Composite Lining with Polyurethane Compressible Layer. Tunn. Undergr. Space Technol. 2024, 147, 105722. [Google Scholar] [CrossRef]
- Xu, G.; Gutierrez, M. Study on the Damage Evolution in Secondary Tunnel Lining under the Combined Actions of Corrosion Degradation of Preliminary Support and Creep Deformation of Surrounding Rock. Transp. Geotech. 2021, 27, 100501. [Google Scholar] [CrossRef]
- Inokuma, A.; Inano, S. Road Tunnels in Japan: Deterioration and Countermeasures. Tunn. Undergr. Space Technol. 1996, 11, 305–309. [Google Scholar] [CrossRef]
- Feng, J.; Qiu, W.; Wang, Y.; Wang, H. Study of Defect Distribution Regularity in Existing Tunnels and the Classification of Tunnel Environments. Mod. Tunn. Technol. 2013, 50, 35–41. [Google Scholar]
- Wang, J.; Xie, Q.; Liu, J. Research on Diseases and Current Situation of Operation Maintenance Management of Japanese Tunnels and Suggestions. Tunn. Constr. 2020, 40, 1824–1833. [Google Scholar]
- Fabio, G.M.; Piercarlo, M.; Marcello, A. Simplified Procedure for Evaluating the Effects of Creep and Shrinkage on Prestressed Concrete Girder Bridges and the Application of European and North American Prediction Models. J. Bridge Eng. 2013, 18, 1281–1297. [Google Scholar] [CrossRef]
- Wang, W.; Gong, J. New Relaxation Function and Age-Adjusted Effective Modulus Expressions for Creep Analysis of Concrete Structures. Eng. Struct. 2019, 188, 1–10. [Google Scholar] [CrossRef]
- Mori, Y.; Ellingwood, B.R. Reliability-Based Service-Life Assessment of Aging Concrete Structures. J. Struct. Eng. 1993, 119, 1600–1621. [Google Scholar] [CrossRef]
- Chan, H.Y.; Melchers, R.E. Time-Dependent Resistance Deterioration in Probabilistic Structural Systems. Civ. Eng. Syst. 1995, 12, 115–132. [Google Scholar] [CrossRef]
- Ma, K.; Long, G.; Xie, Y. Railway Tunnel Concrete Lining Damaged by Formation of Gypsum, Thaumasite and Sulfate Crystallization Products in Southwest of China. J. Cent. South Univ. 2012, 19, 2340–2347. [Google Scholar] [CrossRef]
- Yin, Z.; Zhang, X.; Li, X.; Zhang, J.; Zhang, Q. Modified Burgers Model of Creep Behavior of Grouting-Reinforced Body and Its Long-Term Effect on Tunnel Operation. Tunn. Undergr. Space Technol. 2022, 127, 104537. [Google Scholar] [CrossRef]
- Andreotti, G.; Lai, C.G. Use of Fragility Curves to Assess the Seismic Vulnerability in the Risk Analysis of Mountain Tunnels. Tunn. Undergr. Space Technol. 2019, 91, 103008. [Google Scholar] [CrossRef]
- Zhang, Z.; Ye, T.; Zhu, Z.; Pan, Y.T.; Wu, Z. Hydraulic and Displacement Response Analysis of Shield Tunnel in Gassy Seabed under Wave Action. Rock Soil Mech. 2023, 44, 1557–1573. [Google Scholar] [CrossRef]
- Du, J.; Fang, Q.; Wang, G.; Wang, J. Analytical Solution of a Circular Lined Tunnel with Alterable Mechanical Property under Hydrostatic Stress and Internal Pressure. J. Cent. South. Univ. 2022, 29, 2757–2770. [Google Scholar] [CrossRef]
- Wang, J.; Niu, D.; Wang, Y.; He, H.; Liang, X. Chloride Diffusion of Shotcrete Lining Structure Subjected to Nitric Acid, Salt–Frost Degradation, and Bending Stress in Marine Environment. Cem. Concr. Compos. 2019, 104, 103396. [Google Scholar] [CrossRef]
- He, W.; Xu, L. Time-Dependent Mechanical Behavior of Tunnel Linings under Sulfate Attack. Chin. J. Geotech. Eng. 2021, 43, 1010–1018. [Google Scholar] [CrossRef]
- Zhou, H.; Zheng, J.; Hu, D.; Zhang, C.; Lu, J.; Gao, Y.; Zhang, W. Deterioration Mechanism of Tunnel Lining Structure in the Carbonated Water Environment. Rock Soil Mech. 2019, 40, 2469–2477. [Google Scholar] [CrossRef]
- Liu, C.; Zhang, D.; Zhang, S.; Fang, Q.; Fang, H. Analytical Solution of the Long-Term Service Performance of Tunnel Considering Surrounding Rock Rheology and Lining Deterioration Characteristics. Rock Soil Mech. 2021, 42, 2795–2807. [Google Scholar] [CrossRef]
- Soltanian, H.; Firouzi, A.; Mohammadzadeh, S. Time Dependent Reliability Analysis of Railway Sleepers Subjected to Corrosion. Struct. Concr. 2018, 19, 1409–1418. [Google Scholar] [CrossRef]
- Chen, J.; Zhang, W.; Gu, X. Modeling Time-Dependent Circumferential Non-Uniform Corrosion of Steel Bars in Concrete Considering Corrosion-Induced Cracking Effects. Eng. Struct. 2019, 201, 109766. [Google Scholar] [CrossRef]
- Peng, L.; Shi, C.; Huang, J.; Liu, S. Study on the Fatigue Life of the Tunnel Bed Structure under Train Loads. J. China Railw. Soc. 2007, 29, 82–85. [Google Scholar]
- Holmen, J.O. Fatigue of Concrete by Constant and Variable Amplitude Loading; ACI Special Publication; American Concrete Institute: Farmington Hills, MI, USA, 1982; Volume SP-075, pp. 71–110. [Google Scholar]
- Silva, A.; Neves, R.; De Brito, J. Statistical Modelling of Carbonation in Reinforced Concrete. Cem. Concr. Compos. 2014, 50, 73–81. [Google Scholar] [CrossRef]
- Ladanyi, B.; Gill, D.E. Design of Tunnel Linings in a Creeping Rock. Int. J. Min. Geol. Eng. 1988, 6, 113–126. [Google Scholar] [CrossRef]
- Paraskevopoulou, C.; Diederichs, M. Analysis of Time-Dependent Deformation in Tunnels Using the Convergence-Confinement Method. Tunn. Undergr. Space Technol. 2018, 71, 62–80. [Google Scholar] [CrossRef]
- Kontogianni, V.; Psimoulis, P.; Stiros, S. What Is the Contribution of Time-Dependent Deformation in Tunnel Convergence? Eng. Geol. 2006, 82, 264–267. [Google Scholar] [CrossRef]
- Chu, Z.; Wu, Z.; Liu, B.; Liu, Q. Coupled Analytical Solutions for Deep-Buried Circular Lined Tunnels Considering Tunnel Face Advancement and Soft Rock Rheology Effects. Tunn. Undergr. Space Technol. 2019, 94, 103111. [Google Scholar] [CrossRef]
- Nomikos, P.; Rahmannejad, R.; Sofianos, A. Supported Axisymmetric Tunnels within Linear Viscoelastic Burgers Rocks. Rock Mech. Rock Eng. 2011, 44, 553–564. [Google Scholar] [CrossRef]
- Asadollahpour, E.; Rahmannejad, R.; Asghari, A.; Abdollahipour, A. Back Analysis of Closure Parameters of Panet Equation and Burger׳s Model of Babolak Water Tunnel Conveyance. Int. J. Rock Mech. Min. Sci. 2014, 68, 159–166. [Google Scholar] [CrossRef]
- Do, D.-P.; Tran, N.-T.; Mai, V.-T.; Hoxha, D.; Vu, M.-N. Time-Dependent Reliability Analysis of Deep Tunnel in the Viscoelastic Burger Rock with Sequential Installation of Liners. Rock Mech. Rock Eng. 2020, 53, 1259–1285. [Google Scholar] [CrossRef]
- Do, D.-P.; Vu, M.-N.; Tran, N.-T.; Armand, G. Closed-Form Solution and Reliability Analysis of Deep Tunnel Supported by a Concrete Liner and a Covered Compressible Layer within the Viscoelastic Burger Rock. Rock Mech. Rock Eng. 2021, 54, 2311–2334. [Google Scholar] [CrossRef]
- Fahimifar, A.; Tehrani, F.M.; Hedayat, A.; Vakilzadeh, A. Analytical Solution for the Excavation of Circular Tunnels in a Visco-Elastic Burger’s Material under Hydrostatic Stress Field. Tunn. Undergr. Space Technol. 2010, 25, 297–304. [Google Scholar] [CrossRef]
- Lakes, R. Viscoelastic Materials; Cambridge University Press: Cambridge, UK, 2009; ISBN 9780511626722. [Google Scholar]
- Wu, X. Study on the Engineering Disease Analysis and Treatment Measures of Lilong Expressway Malingtou Tunnel. Master’s Thesis, Chang’an University, Chang’an, China, 2016. [Google Scholar]













| Surrounding rock | Gm = 3.45 GPa, ηm = 160 GPa∙month, Gk = 0.35 GPa, ηk = 7.98 GPa∙month |
| Lining | r0 = 4.57 m, r1 = 3.96 m, E0 = 16.55 GPa, vs = 0.2 |
| Other parameters | p0 = 6.90 MPa, t0 = 2 month, α = 0.7, m = 0.5, v = 2.28 m/day |
Disclaimer/Publisher’s Note: The statements, opinions and data contained in all publications are solely those of the individual author(s) and contributor(s) and not of MDPI and/or the editor(s). MDPI and/or the editor(s) disclaim responsibility for any injury to people or property resulting from any ideas, methods, instructions or products referred to in the content. |
© 2025 by the authors. Licensee MDPI, Basel, Switzerland. This article is an open access article distributed under the terms and conditions of the Creative Commons Attribution (CC BY) license (https://creativecommons.org/licenses/by/4.0/).
Share and Cite
Peng, P.; Ji, Z.; Liu, C.; Zhang, S.; Du, M. Stability Assessment of Operation Tunnels Considering Long-Term Interaction Between the Lining and Surrounding Rock. Buildings 2025, 15, 4240. https://doi.org/10.3390/buildings15234240
Peng P, Ji Z, Liu C, Zhang S, Du M. Stability Assessment of Operation Tunnels Considering Long-Term Interaction Between the Lining and Surrounding Rock. Buildings. 2025; 15(23):4240. https://doi.org/10.3390/buildings15234240
Chicago/Turabian StylePeng, Peng, Zhaopeng Ji, Chang Liu, Sulei Zhang, and Mingqing Du. 2025. "Stability Assessment of Operation Tunnels Considering Long-Term Interaction Between the Lining and Surrounding Rock" Buildings 15, no. 23: 4240. https://doi.org/10.3390/buildings15234240
APA StylePeng, P., Ji, Z., Liu, C., Zhang, S., & Du, M. (2025). Stability Assessment of Operation Tunnels Considering Long-Term Interaction Between the Lining and Surrounding Rock. Buildings, 15(23), 4240. https://doi.org/10.3390/buildings15234240
