The Effects of Constant Mechanical Wind, Sinusoidal Wind, and Simulated Natural Wind on Thermal Comfort in a Slightly Hot Environment
Abstract
1. Introduction
2. Methods
3. Results
3.1. Thermal Sensation Vote
3.2. Thermal Comfort Vote
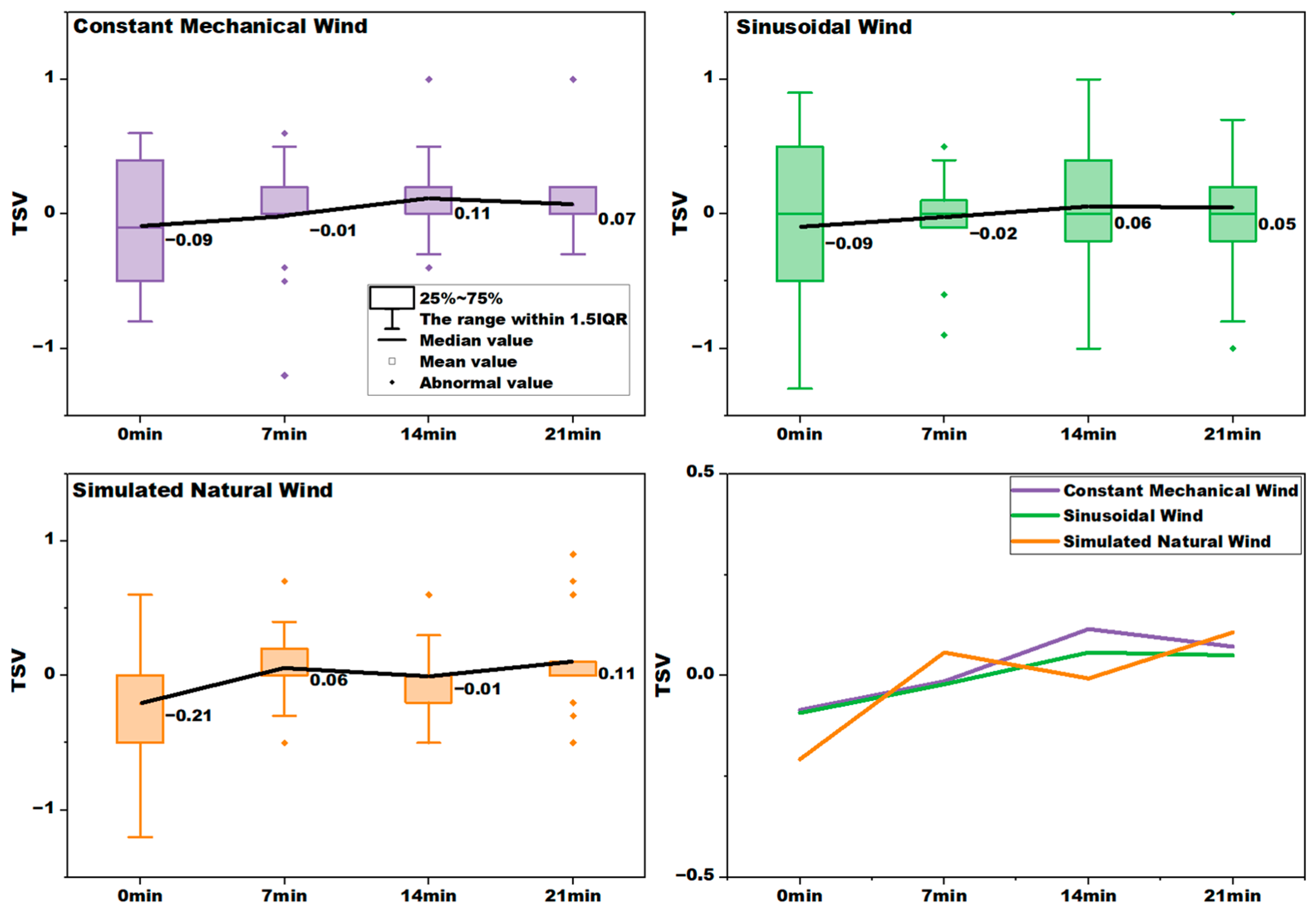
3.3. Variation in Thermal Sensation Vote over Time
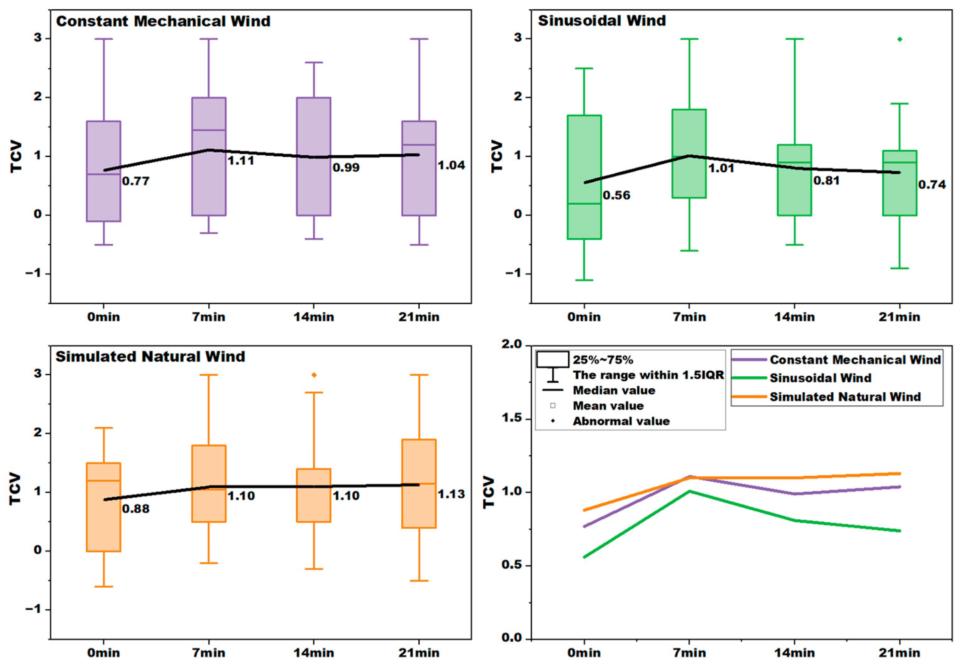
3.4. Variation in Thermal Comfort Vote over Time
3.5. Thermal Sensation Vote for Different Body Parts
3.6. Thermal Comfort Vote for Different Body Parts
3.7. Mean Skin Temperature
3.8. Skin Temperature of Different Body Parts
3.9. Gender Differences in TSV
3.10. Gender Differences in TCV
4. Discussion
4.1. Airflow Characteristics and Subjects Perception
4.2. Skin Temperature and Thermal Sensation
4.3. Individual Differences
4.4. Limitations and Subsequent Research Directions
5. Conclusions
- Compared to constant mechanical wind and sinusoidal wind, the lowest TSV and the highest TCV were observed in the simulated natural wind environment, indicating that simulated natural wind is more effective in reducing thermal sensation and improving thermal comfort in a hot environment.
- The fluctuation of TSV in the simulated natural wind environment was found to be the most significant over time. In all three wind environments, TSV demonstrated an initial increase, followed by a small decrease or fluctuation over time.
- During the experimental period, the TCV recorded under simulated natural wind conditions remained higher and more stable than those measured under both sinusoidal and constant mechanical airflow conditions.
- The lowest levels of TSVs were observed in the upper arm and forearm, while the highest levels were detected in the feet. The uniformity of thermal sensation across all body parts under the simulated natural wind was comparatively superior to that under the constant mechanical wind and sinusoidal wind, and it was closer to neutrality.
- The findings demonstrated that the sensation of softness and relaxation experienced under the simulated natural wind was higher than under the constant mechanical wind or sinusoidal wind conditions. Furthermore, the level of calmness perceived was lower in the simulated natural wind conditions compared to the constant mechanical wind. This finding suggests that the variability of the simulated natural wind may enhance the subjects’ sense of softness and relaxation; however, it may also induce disturbances.
- At 30 °C, an airflow with an average wind speed of around 1.25 m/s can make the thermal sensation of the subjects approach thermal neutrality. Features that are closer to natural wind may enhance the comfort of the subjects. However, there are certain limitations on the amplitude and frequency of the fluctuations. Due to the limited space in the indoor environment, too large amplitude and frequency of the fluctuations may cause certain disturbances to the users.
Author Contributions
Funding
Institutional Review Board Statement
Informed Consent Statement
Data Availability Statement
Conflicts of Interest
Abbreviations
| TSV | Thermal sensation vote |
| TCV | Thermal comfort vote |
| Ta | Air temperature |
| RH | Relative humidity |
| Va | Air velocity |
| Tg | Globe temperature |
| Tskin | Skin temperature |
| mTsk | Mean skin temperature |
| M | Metabolic rate (met) |
| Iclo | Clothing insulation (clo) |
References
- Randazzo, T.; De Cian, E.; Mistry, M.N. Air conditioning and electricity expenditure: The role of climate in temperate countries. Econ. Model. 2020, 90, 273–287. [Google Scholar] [CrossRef]
- Liu, S.; Schiavon, S.; Kabanshi, A.; Nazaroff, W.W. Predicted percentage dissatisfied with ankle draft. Indoor Air 2017, 27, 852–862. [Google Scholar] [CrossRef]
- Chen, A.; Chang, V.W.-C. Human health and thermal comfort of office workers in Singapore. Build. Environ. 2012, 58, 172–178. [Google Scholar] [CrossRef]
- D’Amato, M.; Molino, A.; Calabrese, G.; Cecchi, L.; Annesi-Maesano, I.; D’Amato, G. The impact of cold on the respiratory tract and its consequences to respiratory health. Clin. Transl. Allergy 2018, 8, 20. [Google Scholar] [CrossRef]
- Tamura, K.; Matsumoto, S.; Tseng, Y.H.; Kobayashi, T.; Miwa, J.; Miyazawa, K.; Hirao, T.; Matsumoto, S.; Hiramatsu, S.; Otake, H.; et al. Physiological and subjective comfort evaluation under different airflow directions in a cooling environment. PLoS ONE 2021, 16, e0249235. [Google Scholar] [CrossRef]
- Hua, J.; Ouyang, Q.; Wang, Y.; Li, H.; Zhu, Y. A dynamic air supply device used to produce simulated natural wind in an indoor environment. Build. Environ. 2012, 47, 349–356. [Google Scholar] [CrossRef]
- Tian, X.; Zhang, S.; Lin, Z.; Li, Y.; Cheng, Y.; Liao, C. Experimental investigation of thermal comfort with stratum ventilation using a pulsating air supply. Build. Environ. 2019, 165, 106416. [Google Scholar] [CrossRef]
- Bhandari, N.; Tadepalli, S.; Gopalakrishnan, P. Influence of non-uniform distribution of fan-induced air on thermal comfort conditions in university classrooms in warm and humid climate, India. Build. Environ. 2023, 238, 110373. [Google Scholar] [CrossRef]
- Fanger, P.O.; Østergaard, J.; Olesen, S.; Madsen, T.L. The effect on man’s comfort of a uniform airflow from different directions. ASHRAE Trans. 1974, 80, 142–157. [Google Scholar]
- Arens, E.; Xu, T.; Miura, K.; Hui, Z.; Fountain, M.; Bauman, F. A study of occupant cooling by personally controlled air movement. Energy Build. 1998, 27, 45–59. [Google Scholar] [CrossRef]
- Yu, W.; Zhou, Y.; Li, B.; Ruan, L.; Zhang, Y.; Du, C. An innovative method of simulating close-to-nature-dynamic air movement through dynamically controlling electric fans. J. Build. Eng. 2022, 45, 103410. [Google Scholar] [CrossRef]
- Wang, Y.; Wang, Z.; Zhang, N.; Ji, W.; Zhu, Y.; Cao, B. Field studies on thermal comfort in China over the past 30 years. Build. Environ. 2025, 269, 112449. [Google Scholar] [CrossRef]
- Cao, S.-H.; Ming, P.-P.; Zhao, X. Fuzzy comprehensive evaluation of human thermal comfort in simulating natural wind environment. Build. Environ. 2021, 188, 107447. [Google Scholar] [CrossRef]
- Hoyt, T.; Arens, E.; Zhang, H. Extending air temperature setpoints: Simulated energy savings and design considerations for new and retrofit buildings. Build. Environ. 2015, 88, 89–96. [Google Scholar] [CrossRef]
- O’Connor, F.K.; Meade, R.D.; Wagar, K.E.; Harris-Mostert, R.C.; Tetzlaff, E.J.; McCormick, J.J.; Kenny, G.P. Effect of Electric Fans on Body Core Temperature in Older Adults Exposed to Extreme Indoor Heat. JAMA 2024, 332, 1752–1754. [Google Scholar] [CrossRef] [PubMed]
- ASHRAE 55-2023; Thermal Environmental Conditions for Human Occupancy. ASHRAE: Peachtree Corners, GA, USA, 2023.
- Zhao, H.; Ji, W.; Deng, S.; Wang, Z.; Liu, S. A review of dynamic thermal comfort influenced by environmental parameters and human factors. Energy Build. 2024, 318, 114467. [Google Scholar] [CrossRef]
- Xie, Z.; Cao, B.; Zhu, Y. A novel wind comfort evaluation method for different airflows by considering dynamic characteristics of wind direction and velocity. Build. Environ. 2023, 246, 110976. [Google Scholar] [CrossRef]
- Xiao, D.; Yuan, Q.; Yue, R. Experimental investigation of air conditioner’s comfortable and energy by multidimensional wind. Chin. J. Refrig. Technol. 2011, 21–22+39. [Google Scholar]
- Pasut, W.; Arens, E.; Zhang, H.; Zhai, Y. Enabling energy-efficient approaches to thermal comfort using room air motion. Build. Environ. 2014, 79, 13–19. [Google Scholar] [CrossRef]
- Kabanshi, A.; Wigö, H.; Ljung, R.; Sörqvist, P. Experimental evaluation of an intermittent air supply system—Part 2: Occupant perception of thermal climate. Build. Environ. 2016, 108, 99–109. [Google Scholar] [CrossRef]
- Uğursal, A.; Culp, C.H. The effect of temperature, metabolic rate and dynamic localized airflow on thermal comfort. Appl. Energy 2013, 111, 64–73. [Google Scholar] [CrossRef]
- Xie, Z.; Fan, J.; Cao, B.; Zhu, Y. Airflow Analytical Toolkit (AAT): A MATLAB-based analyzer for holistic studies on the dynamic characteristics of airflows. Build. Simul. 2024, 17, 1137–1159. [Google Scholar] [CrossRef]
- Zhu, Y.; Ouyang, Q.; Dai, W. Literature review of airflow fluctuations in building environments. J. Tsinghua Univ. (Sci. Technol.) 2004, 1622–1625. [Google Scholar] [CrossRef]
- Ouyang, Q.; Dai, W.; Li, H.; Zhu, Y. Study on dynamic characteristics of natural and mechanical wind in built environment using spectral analysis. Build. Environ. 2006, 41, 418–426. [Google Scholar] [CrossRef]
- Xie, Z.; Xie, Y.; Cao, B.; Zhu, Y. A study of the characteristics of dynamic incoming flow directions of different airflows and their influence on wind comfort. Build. Environ. 2023, 245, 110861. [Google Scholar] [CrossRef]
- Li, J.; Zhou, S.; Yu, Y.; Niu, J. Effects of dynamic airflows on convective cooling of human bodies—Advances in thermal comfort assessment and engineering design. Energy Build. 2024, 324, 114924. [Google Scholar] [CrossRef]
- Zhou, S.; Yu, Y.; Niu, J.; Kwok, K.C.; Chauhan, K.; Tse, K.T.; Xu, X.; Wong, S.H.Y. Human body convective heat transfer coefficient under non-stationary turbulent wind. Build. Environ. 2025, 271, 112632. [Google Scholar] [CrossRef]
- Cao, S.; Li, X.; Yang, B.; Li, F. A review of research on dynamic thermal comfort. Build. Serv. Eng. Res. Technol. 2021, 42, 435–448. [Google Scholar] [CrossRef]
- Xie, Z.; Zhu, Y.; Cao, B. Multi-fanning based simulated natural wind environment and its comfort performance under warm-to-hot conditions. Build. Environ. 2024, 262, 111792. [Google Scholar] [CrossRef]
- Zhu, Y.; Luo, M.; Ouyang, Q.; Huang, L.; Cao, B. Dynamic characteristics and comfort assessment of airflows in indoor environments: A review. Build. Environ. 2015, 91, 5–14. [Google Scholar] [CrossRef]
- Buonocore, C.; De Vecchi, R.; Lamberts, R.; Güths, S. From characterisation to evaluation: A review of dynamic and non-uniform airflows in thermal comfort studies. Build. Environ. 2021, 206, 108386. [Google Scholar] [CrossRef]
- Liu, W.; Lian, Z.; Deng, Q. Use of mean skin temperature in evaluation of individual thermal comfort for a person in a sleeping posture under steady thermal environment. Indoor Built Environ. 2015, 24, 489–499. [Google Scholar] [CrossRef]
- Wang, Y.; Hua, J.; Ouyang, Q.; Li, X.; Zhu, Y. Human thermal comfort under simulated natural wind with different turbulence intensities. Heat. Vent. Air Cond. 2013, 43, 91–96. [Google Scholar] [CrossRef]
- Zhou, X.; Ouyang, Q.; Lin, G.; Zhu, Y. Impact of dynamic airflow on human thermal response. Indoor Air 2006, 16, 348–355. [Google Scholar] [CrossRef]
- Huang, L.; Ouyang, Q.; Zhu, Y. Perceptible airflow fluctuation frequency and human thermal response. Build. Environ. 2012, 54, 14–19. [Google Scholar] [CrossRef]
- Parkinson, T.; de Dear, R. Thermal pleasure in built environments: Physiology of alliesthesia. Build. Res. Inf. 2015, 43, 288–301. [Google Scholar] [CrossRef]
- Xie, Z.; Zhu, Y.; Cao, B. Multi-fanning and its improvement of thermal and wind comfort: An auxiliary means to air conditioning. Energy Build. 2024, 315, 114299. [Google Scholar] [CrossRef]
- Huang, X.; Xiao, Y.; Chen, J.; Wei, S.; Zhou, H.; Miao, W.; Kang, R.; Ma, X.; Bian, C.; Yu, W. Developing a practical method coupling the impact of temperature, humidity, and air velocity on human acceptable temperature in warm environment. Build. Environ. 2025, 285, 113566. [Google Scholar] [CrossRef]


















| Gender | Number | Age (year) | Height (cm) | Weight (kg) | BMI (kg/m2) |
|---|---|---|---|---|---|
| Male | 10 | 23 ± 3 | 177.3 ± 6.6 | 68.9 ± 10.2 | 21.9 ± 2.8 |
| Female | 10 | 23 ± 3 | 165.7 ± 3.8 | 59.2 ± 8.6 | 21.5 ± 2.7 |
| No. | Measurement | Instrument | Accuracy | Resolution | Measurement Range |
|---|---|---|---|---|---|
| 1 | Air temperature (Ta) | WSZY-1 Thermometer | ±0.3 °C | 0.1 °C | −40–100 °C |
| 2 | Relative Humidity (RH) | WSZY-1 Thermometer | ±3% | 0.1% | 0–100% |
| 3 | Air Velocity (Va) | SWA03 Anemometer | At room temperature: 0.05–1.00 m/s: ±0.03 m/s; 1.00–3.00 m/s: ±3% of the measured value | 0.05–3 m/s | |
| 4 | Globe Temperature (Tg) | HQZY-1 Globe Thermometer (Standard 150 mm globe) | ±0.3 °C | 0.1 °C | −20–80 °C |
| 5 | Skin Temperature (Tskin) | PyroButtons (Opulus, PA, USA) | ±0.1 °C | 8 bits: 0.5 °C 11 bits: 0.0625 °C | 0–125 °C |
| −1 | −2 | −3 | 0 | 1 | 2 | 3 | |
|---|---|---|---|---|---|---|---|
| TSV | cold | cool | slightly cool | neutral | slightly warm | warm | hot |
| TCV | very uncomfortable | uncomfortable | slightly uncomfortable | not uncomfortable | slightly comfortable | comfortable | very comfortable |
Disclaimer/Publisher’s Note: The statements, opinions and data contained in all publications are solely those of the individual author(s) and contributor(s) and not of MDPI and/or the editor(s). MDPI and/or the editor(s) disclaim responsibility for any injury to people or property resulting from any ideas, methods, instructions or products referred to in the content. |
© 2025 by the authors. Licensee MDPI, Basel, Switzerland. This article is an open access article distributed under the terms and conditions of the Creative Commons Attribution (CC BY) license (https://creativecommons.org/licenses/by/4.0/).
Share and Cite
Li, J.; Ling, J.; Liu, J.; Gu, M.; Wang, Y.; Cao, B.; Qin, K.; Yuan, M. The Effects of Constant Mechanical Wind, Sinusoidal Wind, and Simulated Natural Wind on Thermal Comfort in a Slightly Hot Environment. Buildings 2025, 15, 3711. https://doi.org/10.3390/buildings15203711
Li J, Ling J, Liu J, Gu M, Wang Y, Cao B, Qin K, Yuan M. The Effects of Constant Mechanical Wind, Sinusoidal Wind, and Simulated Natural Wind on Thermal Comfort in a Slightly Hot Environment. Buildings. 2025; 15(20):3711. https://doi.org/10.3390/buildings15203711
Chicago/Turabian StyleLi, Jing, Jing Ling, Jinwen Liu, Mingliang Gu, Yijia Wang, Bin Cao, Kang Qin, and Miao Yuan. 2025. "The Effects of Constant Mechanical Wind, Sinusoidal Wind, and Simulated Natural Wind on Thermal Comfort in a Slightly Hot Environment" Buildings 15, no. 20: 3711. https://doi.org/10.3390/buildings15203711
APA StyleLi, J., Ling, J., Liu, J., Gu, M., Wang, Y., Cao, B., Qin, K., & Yuan, M. (2025). The Effects of Constant Mechanical Wind, Sinusoidal Wind, and Simulated Natural Wind on Thermal Comfort in a Slightly Hot Environment. Buildings, 15(20), 3711. https://doi.org/10.3390/buildings15203711

