Sign in to use this feature.

Years

Between: -

Subjects

remove_circle_outline
remove_circle_outline
remove_circle_outline
remove_circle_outline
remove_circle_outline
remove_circle_outline
remove_circle_outline
remove_circle_outline
remove_circle_outline

Journals

remove_circle_outline
remove_circle_outline
remove_circle_outline
remove_circle_outline
remove_circle_outline
remove_circle_outline

Article Types

Countries / Regions

remove_circle_outline
remove_circle_outline
remove_circle_outline
remove_circle_outline
remove_circle_outline

Search Results (438)

Search Parameters:
Keywords = thermal sensation

Order results
Result details
Results per page
Select all
Export citation of selected articles as:
22 pages, 1848 KB  
Article
Thermophysiological and Subjective Thermal Responses to Soft and Rigid Spinal Exoskeletons in Young Male Workers: An Experimental Study
by Yang Liu, Zhuoya Zhang, Yanmin Xue, Mengcheng Wang, Hao Fan, Rui Li, Zhi Qiao and Xingbo Yao
Appl. Sci. 2026, 16(2), 820; https://doi.org/10.3390/app16020820 - 13 Jan 2026
Viewed by 89
Abstract
In industrial and logistics settings, the use of soft and rigid spinal exoskeletons has been increasing. However, under a unified assistance level and comparable work scenarios, systematic comparisons of their effects on users’ thermophysiological responses and subjective thermal perceptions remain limited. Twenty male [...] Read more.
In industrial and logistics settings, the use of soft and rigid spinal exoskeletons has been increasing. However, under a unified assistance level and comparable work scenarios, systematic comparisons of their effects on users’ thermophysiological responses and subjective thermal perceptions remain limited. Twenty male participants performed manual handling tasks under three load conditions (5, 10, and 15 kg) in three experimental conditions: without the exoskeleton (WEXO), a rigid exoskeleton (REXO), and a soft exoskeleton (SEXO). Metabolic rate, mean skin temperature (MST), thermal comfort vote (TCV), and thermal sensation vote (TSV) were measured. The key findings are as follows: Compared with WEXO, both exoskeletons significantly reduced metabolic rate. Across all loads, SEXO yielded a lower metabolic rate than REXO and showed a more gradual linear increase as the load increased, whereas REXO exhibited a larger rise at 15 kg. Overall, MST was higher in REXO than in SEXO. Wearing an exoskeleton was often associated with increased skin temperature at 5–10 kg, yet MST decreased for both exoskeletons at 15 kg. Subjective ratings further indicated better TCV and TSV with SEXO than with REXO, with the difference more pronounced under higher loads. Taken together, under the conditions of this study, the soft exoskeleton appears to better balance assistive benefits and thermal comfort. Nevertheless, its heat transfer and heat dissipation performance should be further optimized in future designs. Full article
(This article belongs to the Special Issue Human-Centered Design in Wearable Technology)
Show Figures

Figure 1

24 pages, 7764 KB  
Article
Perception of Environmental Comfort in Historic Museum Buildings Depending on the Method of Active Microclimate Control—A Case Study of the National Museum in Krakow
by Agnieszka Sadłowska-Sałęga, Weronika Burda and Karolina Moskal
Energies 2026, 19(1), 170; https://doi.org/10.3390/en19010170 - 28 Dec 2025
Viewed by 432
Abstract
Museums open to the public must reconcile heritage preservation requirements with energy-conscious microclimate management and visitors’ environmental experience. In historic buildings, indoor conditions are typically controlled primarily for preventive conservation, while opportunities for detailed assessment of human comfort are often limited by existing [...] Read more.
Museums open to the public must reconcile heritage preservation requirements with energy-conscious microclimate management and visitors’ environmental experience. In historic buildings, indoor conditions are typically controlled primarily for preventive conservation, while opportunities for detailed assessment of human comfort are often limited by existing monitoring systems and operational constraints. This study investigates visitors’ perceptions of thermal conditions and indoor air quality (IAQ) in two branches of the National Museum in Krakow (NMK) characterized by different microclimate-control strategies: the mechanically ventilated and air-conditioned Cloth Hall and the predominantly passively controlled Bishop Erazm Ciołek Palace. A pilot survey was conducted in spring 2023 to capture subjective assessments of thermal sensation and perceived IAQ. These perceptions were contextualized using long-term air temperature and relative humidity data (2013–2023) routinely monitored for conservation purposes. Environmental data were analyzed to assess the stability of indoor conditions and to provide background for interpreting survey responses, rather than to perform a normative evaluation of thermal comfort. The results indicate that visitors frequently perceived the indoor environment as slightly warm and reported lower air quality in the Palace, where air was often described as stale or stuffy. These perceptions occurred despite relatively small differences in monitored air temperature and relative humidity between the two buildings. The findings suggest that ventilation strategy, air exchange effectiveness, odor accumulation, room configuration, and lighting conditions may influence perceived environmental quality more strongly than temperature or humidity alone. Although limited in scope, this pilot study highlights the value of incorporating visitor perception into discussions of energy-conscious microclimate management in museums and indicates directions for further multidisciplinary research. Full article
(This article belongs to the Special Issue Energy Efficiency of the Buildings: 4th Edition)
Show Figures

Figure 1

17 pages, 1357 KB  
Article
Impact of Temperature Drift on Thermal Sensation in nZEB Residential Buildings Under Winter Conditions
by Arturs Staveckis and Anatolijs Borodinecs
Energies 2026, 19(1), 151; https://doi.org/10.3390/en19010151 - 27 Dec 2025
Viewed by 231
Abstract
This paper is dedicated to investigating how short-term indoor temperature drift influences occupants’ thermal sensation in residential nZEB buildings and how this affects the applicability of steady-state comfort prediction. Residential buildings frequently operate under transient conditions, where the classical PMV approach may deviate [...] Read more.
This paper is dedicated to investigating how short-term indoor temperature drift influences occupants’ thermal sensation in residential nZEB buildings and how this affects the applicability of steady-state comfort prediction. Residential buildings frequently operate under transient conditions, where the classical PMV approach may deviate from reported sensation. The objective of this paper is to evaluate the agreement between steady-state PMV and occupants’ thermal sensation votes under winter conditions to test a regression-based correction index Aeff and an adjusted indicator PMVadj while preserving the PMV concept. The study uses high-resolution measurements of indoor air temperature and mean radiant temperature synchronised with TSV responses, followed by statistical evaluation using error metrics and correlation analysis. The results show that baseline PMV correlates well with TSV but exhibits a consistent magnitude mismatch under transient conditions. The proposed PMVadj reduces this mismatch, decreasing NRMSE from 17.61% to 14.00% and slightly improving agreement with Pearson r = 82.18%, R2 = 67.54%. Regression analysis shows that Aeff is strongly associated with the indoor air temperature drift rate ΔTint with R2 = 0.6805, but has a weaker relationship with ΔTMRTt, R2 = 0.1851. The research provides a practical basis for improving PMV-based comfort assessment during winter operation in residential nZEB. Full article
(This article belongs to the Section G: Energy and Buildings)
Show Figures

Figure 1

27 pages, 10793 KB  
Article
Thermal Characteristics of Pocket Parks in Hot–Humid Cities Based on Usage Patterns
by Ya Zou, Shuxian Liang, Nan Mo, Feng Shi, Wenjing Liu, Junsong Wang and Qinglin Meng
Buildings 2026, 16(1), 32; https://doi.org/10.3390/buildings16010032 - 21 Dec 2025
Viewed by 200
Abstract
Pocket parks serve as vital everyday green spaces in high-density cities, yet many remain underused, especially in hot–humid regions where thermal discomfort restricts outdoor activities. Traditional pocket-park classification approaches overlook actual usage patterns of pocket parks, and existing studies have not examined whether [...] Read more.
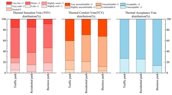
Pocket parks serve as vital everyday green spaces in high-density cities, yet many remain underused, especially in hot–humid regions where thermal discomfort restricts outdoor activities. Traditional pocket-park classification approaches overlook actual usage patterns of pocket parks, and existing studies have not examined whether thermal environments influence pocket park use, nor have they adequately addressed thermal comfort from the perspective of user needs. To address these gaps, this study investigates usage behavior, thermal environments, and thermal comfort demands in pocket parks in Guangzhou, a representative hot–humid city in southern China. Through a preliminary reconnaissance survey, this study selected three typical pocket parks for detailed case-study investigation, and the corresponding usage characteristics were systematically identified. Thermal environments and thermal comfort demands were collected separately through on-site thermal measurements and questionnaire surveys. Correlation and comparative analyses were then conducted to examine the relationships among usage characteristics, thermal environmental conditions, and thermal comfort. The findings reveal that (1) the usage rate of residential pocket parks showed the most sensitivity to WBGT, followed by business pocket parks, while the usage rate of traffic pocket parks showed no significant correlation with WBGT; and (2) business parks had the highest thermal sensitivity with PET, followed by residential and traffic types. A one-unit decrease in TSV corresponds to PET reductions of 11.1 °C, 12.5 °C, and 16.6 °C for business, residential, and traffic parks, respectively; (3) among thermal environmental parameters, wind speed exerted the greatest influence on the subjective thermal responses of users in both residential and business pocket parks. As for usage characteristics, activity type was the most significant factor affecting the thermal sensation of users in the traffic pocket park, while short-term thermal experience played the dominant role for users in the business pocket park. The results of this study offer a scientific basis for user-centered, climate-responsive design strategies for pocket parks in hot–humid regions. Full article
Show Figures

Figure 1

18 pages, 3688 KB  
Article
Assessing Artificial Shading and Evaporative Cooling for Enhanced Outdoor Thermal Comfort at the American University of Beirut
by Zahraa Diab, Hadi Kachmar and Nesreen Ghaddar
Sustainability 2025, 17(24), 11365; https://doi.org/10.3390/su172411365 - 18 Dec 2025
Viewed by 339
Abstract
Urban environments, particularly university campuses, are increasingly exposed to thermal discomfort due to the Urban Heat Island (UHI) effect and intense solar radiation. This study evaluates the effectiveness of passive and hybrid cooling strategies, specifically sun-sail shading and mist cooling, in enhancing outdoor [...] Read more.
Urban environments, particularly university campuses, are increasingly exposed to thermal discomfort due to the Urban Heat Island (UHI) effect and intense solar radiation. This study evaluates the effectiveness of passive and hybrid cooling strategies, specifically sun-sail shading and mist cooling, in enhancing outdoor thermal comfort (OTC) in a university courtyard. The Van Dyck courtyard at the American University of Beirut, located on the East Mediterranean coast, was selected due to its heavy use between 10 am and 2 pm during summer, when ambient temperatures ranged between 32 and 36 °C and relative humidity between 21 and 33%. Thermal variations across four seating areas were analyzed using ENVI-met, a high-resolution microscale model validated against on-site data, achieving Mean Absolute Percentage Errors of 4% for air temperature and 5.2% for relative humidity. Under baseline conditions, Physiological Equivalent Temperature (PET) exceeded 58 °C, indicating severe thermal stress. Several mitigation strategies were evaluated, including three shading configurations, two mist-cooling setups, and a combined system. Results showed that double-layer shading reduced PET by 17.1 °C, mist cooling by 1.2 °C, and the combined system by 20.7 °C. Shading minimized radiant heat gain, while mist cooling enhanced evaporative cooling, jointly bringing thermal sensations closer to slightly warm–comfortable conditions. These cooling interventions also have sustainability value by reducing dependence on mechanically cooled indoor spaces and lowering campus air-conditioning demand. As passive or low-energy measures, shading and mist cooling support climate-adaptive outdoor design in heat-stressed Mediterranean environments. Full article
Show Figures

Graphical abstract

11 pages, 1275 KB  
Article
Evaluation of Resting-State Cooling Effectiveness in Wearable Body-Cooling Devices Using Thermophysiological and Psychological Responses
by Hiroki Maru, Takumi Yuasa and Hiroyuki Kanai
Textiles 2025, 5(4), 69; https://doi.org/10.3390/textiles5040069 - 17 Dec 2025
Viewed by 421
Abstract
Heat exposure in summer increases the risk of heat strain during work and rest, highlighting the need for effective cooling strategies. This study evaluated the cooling effectiveness of a fan-cooling jacket (FC) and a thermoelectric neck cooler (NC) under resting conditions in a [...] Read more.
Heat exposure in summer increases the risk of heat strain during work and rest, highlighting the need for effective cooling strategies. This study evaluated the cooling effectiveness of a fan-cooling jacket (FC) and a thermoelectric neck cooler (NC) under resting conditions in a hot and humid environment. Six healthy males completed three trials (no cooling, FC, and NC) in an environmental chamber (35 °C, 70% RH). Thermophysiological responses (mean skin temperature, armpit temperature, sweat volume) and psychological ratings (thermal comfort, wetness sensation) were simultaneously assessed. FC significantly reduced mean skin temperature, attenuated the rise in axillary temperature, and decreased sweat volume while also improving thermal comfort and wetness sensation. In contrast, NC provided only transient improvements in comfort and did not suppress the rise in axillary temperature; wetness sensation deteriorated over time, likely due to its localized and limited cooling area. These findings indicate that, under low-activity conditions, broad-area forced convection cooling is more effective for mitigating heat stress than localized neck cooling. The results highlight the practical utility of fan-cooling garments for rest periods and other low-intensity scenarios. Full article
(This article belongs to the Special Issue Advances in Smart Textiles)
Show Figures

Figure 1

21 pages, 1264 KB  
Article
Difference in Preferred Air Speed Between Young and Elderly Adults in Warm Environments
by Gang Wang, Lili Wang, Wenxuan Sun, Hui Zhu and Songtao Hu
Buildings 2025, 15(24), 4454; https://doi.org/10.3390/buildings15244454 - 10 Dec 2025
Viewed by 321
Abstract
To investigate age-related differences in preferred air speed in warm conditions, experiments were conducted in a climate-controlled chamber. 24 young and 24 elderly participants were tested in windless and preferred wind conditions. A resting metabolic rate (RMR) prediction model based on body composition [...] Read more.
To investigate age-related differences in preferred air speed in warm conditions, experiments were conducted in a climate-controlled chamber. 24 young and 24 elderly participants were tested in windless and preferred wind conditions. A resting metabolic rate (RMR) prediction model based on body composition was proposed to examine the effects of individual differences on preferred air speed. Results showed that the elderly exhibited lower RMR than the young, but their mean preferred air speed was 1.3 m/s, significantly higher than that of the young (0.9 m/s), corresponding to their higher mean skin temperatures. Preferred airflow effectively reduced thermal sensation and perceived sweating, thereby improving thermal comfort and airflow acceptance. During airflow exposure, mean skin temperature decreased, while LF/HF index of heart rate variability and skin conductance level increased, indicating enhanced sympathetic activity. These findings suggest that reduced sweat gland function and evaporative heat dissipation cause the elderly to require higher air speeds to achieve thermal neutrality. Their reduced thermal sensitivity further highlights the need for more precise environmental control. RMR exerted a more pronounced influence on the preferred air speed among the elderly, underscoring its significance in designing thermally adaptive environments for aging populations. Full article
Show Figures

Figure 1

17 pages, 2752 KB  
Article
Short-Time Transient Thermal Behaviour in Textile Fabrics—The Dual Phase Approach
by Gilbert De Mey, Izabela Ciesielska-Wróbel, Maria Strąkowska, Bogusław Więcek, Carla Hertleer and Lieva Van Langenhove
Textiles 2025, 5(4), 66; https://doi.org/10.3390/textiles5040066 - 8 Dec 2025
Viewed by 692
Abstract
Short-time thermal exchange (0–20 s) between human skin and textile surfaces determines initial warm–cool sensations, which influences comfort perception. Classical Fourier models predicting a √t cannot fully describe this early transient phase, particularly for porous or heterogeneous materials such as fabrics. This study [...] Read more.
Short-time thermal exchange (0–20 s) between human skin and textile surfaces determines initial warm–cool sensations, which influences comfort perception. Classical Fourier models predicting a √t cannot fully describe this early transient phase, particularly for porous or heterogeneous materials such as fabrics. This study investigates the early and short-time temperature response of a fingertip to contact with eight woven and knitted fabrics of different compositions, densities, thermal resistances, and thicknesses, measured under controlled laboratory conditions using a fine-gauge thermocouple at the skin–fabric interface. Experimental temperature–time data, when converted to the Laplace domain, exhibited slopes corresponding to time-domain exponents of t, t¼, and occasionally t, all lower than the classical diffusion exponent of ½.The dual-phase lag (DPL) model was applied to interpret these deviations through two lag times—τq (heat flux) and τT (temperature gradient)—and their ratio Z = τT/τq, which controls the slope of the Laplace-domain response. DPL curves reproduced the observed exponents without additional empirical parameters. The results show that short-time heat transfer depends strongly on textile structure: higher thickness leads to slower transient responses (“warmer” feel), whereas denser fabrics promote faster equilibration (“cooler” feel). This dual-phase interpretation bridges physical heat transfer with tactile thermal perception, providing a predictive framework for the design of textiles with thermal properties. Full article
Show Figures

Figure 1

22 pages, 3945 KB  
Article
Fan Coil Unit Influence on Thermal Comfort in Waiting Areas of Energy-Efficient Office Buildings
by Małgorzata Fedorczak-Cisak, Alicja Kowalska-Koczwara, Aleksandra Buda-Chowaniec, Mirosław Dechnik, Michał Ciuła and Anna Shymanska
Energies 2025, 18(23), 6187; https://doi.org/10.3390/en18236187 - 26 Nov 2025
Viewed by 508
Abstract
Ensuring thermal comfort in waiting areas is essential for visitor satisfaction and well-being. In the context of nearly zero-energy buildings (nZEBs), these spaces—typically characterized by short-term occupancy, transient user behavior, and the need for rapid temperature adjustment—pose specific challenges for HVAC control in [...] Read more.
Ensuring thermal comfort in waiting areas is essential for visitor satisfaction and well-being. In the context of nearly zero-energy buildings (nZEBs), these spaces—typically characterized by short-term occupancy, transient user behavior, and the need for rapid temperature adjustment—pose specific challenges for HVAC control in balancing comfort and energy demand. This study investigates the influence of a ceiling-mounted fan coil unit (FCU) operating in heating mode on thermal comfort conditions in an nZEB office waiting area. Measurements were conducted at multiple points within the space to assess microclimate parameters, followed by the calculation of the predicted mean vote (PMV) and predicted percentage of dissatisfied (PPD) indices, supported by occupant feedback collected through short interviews. The results showed that although the FCU effectively increased the average temperature, its intermittent operation and localized air jets during the heating phase caused temporary discomfort near the unit. Occupant feedback confirmed sensations of discomfort due to strong air movement during FCU operation but indicated slightly higher overall dissatisfaction and smaller variability compared to model-based PPD values, reflecting the averaging effect of occupant perception over time. These findings highlight the need for optimized FCU control strategies in waiting areas, such as operating at reduced fan speeds and preheating the heat exchanger, to enhance occupant comfort. This study contributes to improving HVAC control concepts for semi-transient spaces in nZEBs. Full article
Show Figures

Figure 1

17 pages, 1771 KB  
Systematic Review
Thermoregulation and Heat Stroke Prevention in Older Adults: Advances in Emerging Technologies and Interventions
by Sandra Núñez-Rodríguez, Carla Collazo-Riobó, Félix Menéndez-Vega, Javier Sedano, Ana Isabel Sánchez-Iglesias, Jerónimo Javier González-Bernal and Josefa González-Santos
Sensors 2025, 25(22), 7058; https://doi.org/10.3390/s25227058 - 19 Nov 2025
Viewed by 826
Abstract
This systematic review explores interventions and technologies aimed at assessing or improving thermoregulation in older adults (≥60 years) across community, clinical, and institutional settings. Following PRISMA guidelines, a comprehensive search in PubMed, Scopus, Web of Science, and ScienceDirect (2010–2025) identified 449 records, of [...] Read more.
This systematic review explores interventions and technologies aimed at assessing or improving thermoregulation in older adults (≥60 years) across community, clinical, and institutional settings. Following PRISMA guidelines, a comprehensive search in PubMed, Scopus, Web of Science, and ScienceDirect (2010–2025) identified 449 records, of which nine studies met inclusion criteria. The evidence revealed that thermoregulation in older adults is influenced by complex interactions between environmental, physiological, behavioral, and cognitive factors. Predictive models based on skin or facial temperature, and supported by machine learning approaches, showed promising accuracy in estimating thermal sensation and core temperature. Active interventions, such as cooling devices, ventilated clothing, and microclimatic systems, demonstrated significant reductions in skin and core temperature, improving thermal comfort. Educational and community-based strategies also proved effective in reducing thermal risk perception and adverse events. However, despite the availability of wearable devices capable of continuous monitoring, no studies have reported their application in daily-life or environmental contexts for heatstroke prevention in older adults. This gap highlights a critical opportunity for integrating wearable technologies into preventive frameworks. Future research should focus on validating these approaches in ecological settings and tailoring strategies to individual vulnerabilities, thereby improving thermal safety, autonomy, and well-being in this vulnerable population. Full article
(This article belongs to the Section Wearables)
Show Figures

Figure 1

12 pages, 1984 KB  
Article
Sensory Recovery After Free Muscle Flap Reconstruction—A Clinical Study of Protective and Discriminative Function of Free Gracilis and Latissimus Dorsi Muscle Flaps Without Neurotization
by Maximilian C. Stumpfe, Moritz Billner, Marc Hellweg, Maximilian Hirschmann, Rakan R. Al-Turki, Celena A. Sörgel, Vadym Burchak, Nikolaus Wachtel and Denis Ehrl
Med. Sci. 2025, 13(4), 262; https://doi.org/10.3390/medsci13040262 - 7 Nov 2025
Viewed by 549
Abstract
Background/Objectives: Free gracilis (GM) and latissimus dorsi muscle (LDM) flaps are reliable options for complex defect coverage, but long-term sensory outcomes remain underexplored. Sensory impairment, especially the loss of protective cutaneous sensation, increases the risk of injury, thermal damage, and ulceration in reconstructed [...] Read more.
Background/Objectives: Free gracilis (GM) and latissimus dorsi muscle (LDM) flaps are reliable options for complex defect coverage, but long-term sensory outcomes remain underexplored. Sensory impairment, especially the loss of protective cutaneous sensation, increases the risk of injury, thermal damage, and ulceration in reconstructed areas. This study aimed to systematically assess multidimensional sensory recovery after free muscle flap (FMF) reconstruction. Methods: In a prospective single-center study, 94 patients (49 GM, 45 LDM) underwent standardized sensory testing following FMF transfer. Five modalities were evaluated: pressure detection (Semmes-Weinstein monofilaments), vibration perception, two-point discrimination (2PD), sharp–dull differentiation, and temperature differentiation. Measurements were compared to contralateral healthy skin (CHS). Subgroup analyses were performed by anatomical region (head, trunk, extremities). Results: All sensory modalities were significantly impaired in FMF compared to CHS (p < 0.0001). Mean pressure thresholds were markedly higher in FMF (248.8 g) versus CHS (46.8 g). Vibration perception scores were reduced (FMF 3.97 vs. CHS 5.31), and 2PD was significantly poorer (11.6 cm vs. 4.7 cm). Sharp–dull and thermal discrimination were largely absent in FMF (positivity rates < 20%), with 58.5% of patients demonstrating only deep pressure sensation (≥300 g). No significant differences were found between GM and LDM in most modalities, except for worse 2PD in GM. Subgroup analyses confirmed uniform deficits across all anatomical regions. Conclusions: FMFs without neurotization result in profound, persistent sensory deficits, particularly the loss of protective sensation. Clinically, fascio-cutaneous flaps with nerve coaptation should be considered in functionally critical regions. Future strategies should focus on neurotization techniques to enhance sensory recovery. Full article
Show Figures

Figure 1

16 pages, 2750 KB  
Article
Cosmetics for Sensitive Skin: Assessing Rheological Properties, Stability, and Safety
by Antonia Mancuso, Antonio Silletta, Mario Verdiglione, Nicola d’Avanzo, Antonella Barone, Jolanda Sacco, Maria Chiara Cristiano and Donatella Paolino
Cosmetics 2025, 12(6), 239; https://doi.org/10.3390/cosmetics12060239 - 27 Oct 2025
Viewed by 3788
Abstract
Skin compatibility is a common issue and can often be worsened by certain ingredients in cosmetics. This is why developing well-balanced and -tolerated formulas is now an essential challenge. In this work we developed a cream rich in antioxidant, soothing, and moisturizing agents [...] Read more.
Skin compatibility is a common issue and can often be worsened by certain ingredients in cosmetics. This is why developing well-balanced and -tolerated formulas is now an essential challenge. In this work we developed a cream rich in antioxidant, soothing, and moisturizing agents complying with concentration limits for sensitive skin. An initial optimization was carried out, and the best-performing formula was fully characterized to test its rheological properties under static or dynamic conditions and product safety. The formulation proved to be highly stable even under thermal stress, as shown by Turbiscan Lab analyses, which reported backscattering values ±2. Rheological tests also indicated a solid-like behavior with reduced viscosity at skin temperature of 32 °C, confirming the good spreadability of the cream. Finally, in vivo tests on healthy volunteers showed excellent safety results and good overall appreciation of the product. No changes in transepidermal water loss (7.9 ± 3.5 vs. 5.5 ± 0.4, p > 0.05), skin hydration (44.2 ± 18.6 vs. 50.5 ± 14.1, p > 0.05), or color were detected within 6 h from application, compared with baseline values. Moreover, volunteers highlighted the cream’s suitability for dry skin and expressed satisfaction with spreadability, a nourishing and hydrating sensation after application, and the absence of residues, consistently rating them ≥4 in the skin feeling questionnaire. These results are promising and support the potential use of the product on sensitive skin. Full article
(This article belongs to the Section Cosmetic Dermatology)
Show Figures

Figure 1

35 pages, 2751 KB  
Article
Multisensory Coding of Red and Blue in Interior Design for Older Adults and Visually Impaired Users: An Inclusive Design Perspective
by Agnieszka Rek-Lipczyńska and Aleksandra Kowalska
Sustainability 2025, 17(21), 9381; https://doi.org/10.3390/su17219381 - 22 Oct 2025
Cited by 1 | Viewed by 1288
Abstract
This article analyses the design aspects of multisensory colour experience in interior architecture. It presents the results of comparative studies on the perception of red and blue spatial environments through various senses (vision, hearing, smell, touch, and thermal sensation). The phenomenon of synaesthesia [...] Read more.
This article analyses the design aspects of multisensory colour experience in interior architecture. It presents the results of comparative studies on the perception of red and blue spatial environments through various senses (vision, hearing, smell, touch, and thermal sensation). The phenomenon of synaesthesia and its potential application in design are discussed, demonstrating how colors can be encoded and perceived through senses other than sight. Spatial solutions are proposed to enable blind individuals to experience color through touch (e.g., differentiated surface textures), sound (appropriate tones or rhythms), temperature (warm vs. cool lighting), and other environmental properties. The text includes references to the cultural and symbolic meanings of red and blue—covering cross-cultural differences and spatial characteristics attributed to these colors—based on an analysis of Stanisław Lem’s novel Solaris. Furthermore, the article formulates design recommendations from the perspective of sustainable development and inclusivity, taking into account European accessibility guidelines and universal design principles. The aim is to present an integrated approach to interior design, in which color becomes an experience accessible to all users, in line with the concept of “Design for All” and the principles of sustainable design. Full article
Show Figures

Figure 1

27 pages, 8536 KB  
Article
Thermal Comfort Differences Between the Elderly and Young People Under Different Infrared Radiation Conditions: A Quantitative Study Based on Subjective Evaluation and EEG Characteristics
by Peiping Gao, Yunhao Li, Keming Hou, Mingli Lu, Chao Liu, Hongyu Guan, Wenjing Yan and Juanmei Li
Buildings 2025, 15(20), 3798; https://doi.org/10.3390/buildings15203798 - 21 Oct 2025
Viewed by 751
Abstract
With the intensification of global aging, a comfortable indoor environment is crucial for the well-being of the elderly. However, research on the thermal effect of solar radiation, i.e., infrared radiation, remains scarce. This study innovatively used infrared heaters to simulate the thermal effect [...] Read more.
With the intensification of global aging, a comfortable indoor environment is crucial for the well-being of the elderly. However, research on the thermal effect of solar radiation, i.e., infrared radiation, remains scarce. This study innovatively used infrared heaters to simulate the thermal effect of solar radiation and conducted a comprehensive thermal comfort experiment involving subjective evaluations and electroencephalogram (EEG) measurements on 30 elderly participants and 30 young participants in an artificial climate laboratory. The results showed that there were significant age-related differences in the subjective ratings and EEG power under different infrared radiation levels. Under low radiation conditions, as the irradiated area increased, the elderly participants’ thermal sensation ratings were 0.5 points higher than those of young participants, and their evaluation results in terms of comfort, relaxation, and alertness were also higher. The logarithmic EEG power of both age groups decreased, but the overall power level of the elderly was consistently lower. Notably, under high radiation conditions, the comfort level of both groups decreased, with a more significant decline in young people. Interestingly, when the EEG power of young people decreased, that of the elderly increased, indicating that despite the elderly’s better subjective evaluations, they are more susceptible to heat stress. In addition, this study shows that under the action of infrared radiation, the logarithmic EEG power of young participants is approximately 1.0% to 1.5% higher than that of elderly participants. This study found that the frontal alpha band is a key indicator for predicting thermal comfort in people of different ages, which highlights the innovative contribution of this research. To fill the gap in the field of thermal comfort research, this study explored the elderly’s response to infrared radiation, an aspect that has not been fully studied before. These insights can provide references for the design of more comfortable environments in facilities for the elderly, thereby significantly improving the quality of life of this population. Full article
(This article belongs to the Section Building Energy, Physics, Environment, and Systems)
Show Figures

Figure 1

19 pages, 4532 KB  
Article
The Effects of Constant Mechanical Wind, Sinusoidal Wind, and Simulated Natural Wind on Thermal Comfort in a Slightly Hot Environment
by Jing Li, Jing Ling, Jinwen Liu, Mingliang Gu, Yijia Wang, Bin Cao, Kang Qin and Miao Yuan
Buildings 2025, 15(20), 3711; https://doi.org/10.3390/buildings15203711 - 15 Oct 2025
Viewed by 741
Abstract
In high-temperature environments, using airflow systems has been demonstrated to be an effective method of regulating thermal sensation and enhancing thermal comfort. Given the importance of optimizing airflow selection strategies, the impact of different airflow forms on thermal comfort is a topic worthy [...] Read more.
In high-temperature environments, using airflow systems has been demonstrated to be an effective method of regulating thermal sensation and enhancing thermal comfort. Given the importance of optimizing airflow selection strategies, the impact of different airflow forms on thermal comfort is a topic worthy of consideration. This study aimed to compare and analyze thermal comfort under three distinct airflow conditions: constant mechanical wind, sinusoidal wind and simulated natural wind. The experimental condition was set to a high temperature of 30 °C. The experimental results show that thermal sensation votes (TSV) are lower and thermal comfort votes (TCV) are higher in the simulated natural wind environment than in the other two environments. Statistical analysis of subjects’ environmental preferences showed that simulated natural wind was the most preferred option. When exposed to simulated natural wind, subjects reported a stronger sense of softness and relaxation than when exposed to constant mechanical wind or sinusoidal wind. Additionally, the level of calmness experienced under the simulated natural wind condition was found to be lower than that observed under the constant mechanical wind condition. Comparing TSV and TCV results over time reveals that thermal comfort is influenced not only by thermal sensation but also by the stimulation that different types of airflow variation exert on the human body. Concurrently, in airflow environments, thermal sensation exhibits a non-linear relationship with changes in skin temperature, and this relationship may be influenced by airflow stimulation. This study clarifies the mechanism by which different airflows affect thermal comfort differently in high-temperature environments. It thereby provides both experimental evidence and theoretical support for the airflow design of air-conditioning systems, with the goal of aligning such designs with human physiological perceptual characteristics. Full article
Show Figures

Figure 1

Back to TopTop