Abstract
The Machine-Managed Bidding (MMB) system is an innovative bidding mode implemented by the Chinese government to mitigate collusive bidding behavior. Prior studies have focused minimally on the bidding mechanism and the possible collusive bidding behavior under this mode. The objectives of this study are to analyze the bidding mechanism and the dynamic evolution of collusive bidding behavior under the MMB system and provide targeted regulation countermeasures. To this end, this study develops an evolutionary game model among collusion initiators, free bidders, and regulators, explores possible scenarios for evolutionarily stable strategies, and performs sensitivity analysis of critical parameters utilizing MATLAB software (Version R2024a) based on empirical data. Results indicate that: (1) The MMB model significantly mitigates vertical collusive bidding behavior but lacks measures for governing transverse collusive bidding; (2) The game model has five evolutionarily stable strategies, with the one where the collusion initiator adopting the “non-collude” strategy, the free bidder adopting the “bid” strategy, and the regulator adopting the “negative regulate” strategy being the optimal evolutionary stable strategy; (3) Decreasing the costs associated with preparing bid documents, enhancing supervision costs, increasing the technical complexity of collusive bidding, and expanding the total number of construction enterprises with high-credit and low-credit ratings can expedite the evolution of the three participants toward the optimal evolutionarily stable strategy. This study supplements current knowledge on the regulation of collusive bidding behavior and enriches the knowledge framework of the MMB model. This study also provides insights for policymakers to guarantee the smooth implementation of the MMB.
1. Introduction
The bidding system, an essential component of China’s socialist market economy, plays a positive role in improving the trading environment of the construction market and enhancing investment efficiency. However, due to the high-risk returns associated with collusive bidding, the limitations of existing laws and regulations on its identification, and the covert of participants’ actions, collusive bidding persists despite prohibitions [1]. Collusive bidding can be broadly categorized into two types, i.e., vertical and transverse collusive bidding. Vertical collusive bidding refers to collusion between entities of different types in bidding activities, while transverse collusive bidding refers to collusion between entities of the same type. The Machine-Managed Bidding (MMB) system implemented by Hainan Province, China is a novel program to mitigate collusive bidding. This system incorporates blockchain, cloud computing, and big data technologies to reinvent the electronic bidding system in Hainan Province, seeking to further standardize bidding operations in the construction sector and promote a fairer competitive order. Based on the credit system of Hainan’s construction market, the MMB system thoroughly improves various stages in the traditional bidding systems including invitation to bid, bidding, opening, evaluation, and winning of bids. In the invitation to bid stage, by formulating standardized bid invitation documents and enabling the system to automatically match the qualifications of bidders, the phenomenon of the bid inviter customizing qualification criteria for specific bidders is eliminated. In the bidding stage, the use of advanced technology enhances the convenience of bidding while assuring the confidentiality and authenticity of bid information. In the opening of the bid stage, the system offers selectable options for bid opening and implements automatic decryption of bid documents. In the evaluation of the bid stage, an entirely new bid evaluation method is established to enable the entire process to be automatically evaluated by the “machine”. In the winning of the bid stage, it advocates the “assessment separation” method of determining the winning of the bid and strengthens the main responsibility of the bidder. This model successfully inhibits vertical collusive bidding behavior between the bid inviter and the bidder, but there are no clear constraints on transverse collusive bidding among bidders. Previous studies have shown that in 481 completed MMB projects, approximately 88.10% of the bidders submitted bid prices within a discount range of 0–1%, yet the number of winners in this range was 0 [2]. This strategy, where bidders bid without the intention of winning, raises suspicions of transverse collusive bidding. Although the current MMB model cannot classify abnormal bid prices as transverse collusive bidding, regulators have identified some instances of transverse collusive bidding, deemed as “collusion” in legislation, through methods such as “IP similarity warnings”, “similar lock number warnings in pricing software”, “similar serial number warnings in data storage devices”, and “post-bid big data analysis of similar contact numbers”. The existence of transverse collusive bidding directly weakens the fairness of bidding competition [3]; hence, how to effectively regulate transverse collusive bidding under the MMB model is vital for the smooth implementation of the MMB system. However, contemporary academic research on the MMB model remains scarce, and studies on the regulation of transverse collusive bidding within this model are even more absent. This study aims to fill this research gap by constructing a game model of the collusion initiators, free bidders, and regulators based on the evolutionary game theory (EGT).
The reasons why this study adopts the EGT lies in the following: first, the emergence of transverse collusive bidding under the MMB model results from the interaction among collusion initiators, non-colluding bidders (referred to as “free bidders” in this study), and regulators. For the collusion initiators, the bid prices of the collusion group will influence the evaluation benchmark price, which in turn affects the probability of winning for free bidders in normal bidding. When the collusion initiators choose the “collude” strategy, the probability of winning for free bidders will be weakened, thereby lowering their expected returns from normal bidding. However, when the collusion initiators choose the “non-collude” strategy, the probability of winning for free bidders will increase, leading to higher expected returns from normal bidding. For free bidders, their bid prices also influence the evaluation benchmark price, which in turn affects the probability of winning for the collusion initiators. When free bidders choose the “bid” strategy, the probability of winning for the collusion initiators will be weakened, thereby lowering their expected returns from organizing the collusion. However, when free bidders choose the “non-bid” strategy, the probability of winning for collusion initiators will increase, leading to higher expected returns from organizing the collusion. For the regulators, due to limited regulatory resources, it must differentiate the level of supervision applied to different bidding projects. Before implementing regulatory strategies, the regulators estimate the number of the collusion group and free bidders based on data from similar projects. When the number of free bidders is much smaller than that of the collusion group, transverse collusive bidding behavior significantly reduces the probability of free bidders winning. In such cases, the regulators will adopt an active regulatory strategy, investing more resources to curb the unfair competition behavior of the collusion initiators. When the number of free bidders is much greater than that of the collusion group, the impact of the collusion initiators’ strategic choices on the winning probability of free bidders becomes negligible. In this case, the regulators, from the perspective of resource allocation, will abandon the previous “active regulate” strategy and instead adopt the “negative regulate (non-regulate)” strategy. The regulators’ choice of strategy will affect the expected returns of both the collusion initiators and the free bidders. Therefore, to accomplish the effective regulation of transverse collusive bidding under the MMB model, it is vital to construct a game model among the participants. Second, within the MMB model, the heterogeneity of strategy choices and the limitations of cognitive abilities among collusion initiators, free bidders, and regulators not only indicate that these groups exhibit significant bounded rationality but also render the gaming process dynamic. Evolutionary game theory, based on the assumptions of bounded rationality and incomplete knowledge, provides a strong study framework for a comprehensive analysis of the evolutionary process of transverse collusive bidding behaviors within the MMB model.
In summary, this study examines the topic from the standpoint of evolutionary game theory, including collusion initiators, free bidders, and regulators into a single game analysis framework. Based on actual project data and survey findings, it evaluates the impact of important parameters on the strategy choices and evolutionary speeds of the three parties, hoping to provide significant insights for the successful regulation of transverse collusive bidding inside the MMB model.
The rest of this study is organized as follows. Section 1 summarizes the related literature. Section 2 builds the tripartite evolutionary game model. Section 3 provides a sensitivity analysis of the principal parameters. Section 4 analyzes the discrepancies between the research findings and prior studies and presents pertinent policy recommendations. Section 5 concludes this study by explicitly identifying the limitations and avenues for future research.
2. Related Literature
2.1. Study on Transverse Collusive Bidding Behavior
Current studies on transverse collusive bidding behavior can be categorized into three primary domains. The first domain focused on the causes of transverse collusive bidding behavior. Wang et al. [4] detected the effects of economic, industrial, geographical, urban environment [5], firm-related [6], and collusion information dissemination [7] on collusive bidding decisions. Peng et al. [8] proposed that overconfidence, illusion of control, and cognitive dissonance determine a bidder’s willingness to engage in collusion. Du [9] suggested that the rapid shock of social transformation, the flaws in qualification management, and the excessive power of the tendering party are the causes of transverse collusive bidding. Shi et al. [10] analyzed the causes of collusive bidding from four perspectives: economic interests driving market behavior, imperfect bidding systems, weak enforcement of criminal laws on bid rigging, and the social management model being overly focused on certain aspects. Zhang [11] affirmed that the lack of corporate integrity, low personnel quality, inadequate information disclosure, difficulty in identifying collusive behavior, and ineffective supervision as the causes of transverse collusive bidding. The second domain concentrated on the detection method of transverse collusive bidding behavior. The majority of contemporary research concentrates on the applications of machine learning methods to detect transverse collusive bidding behavior [12,13,14,15,16]. Rodríguez et al. [17] tested the accuracy of eleven machine-learning models for detecting collusion. Silveira et al. [18] applied machine-learning algorithms (together with price screens) to find possible patterns of cartels in Switzerland, Croatia, and Brazil, respectively. Wallimann [19,20] proposed a detection method for flagging bid-rigging cartels with incomplete and adapted machine-learning-based price screens within the context of a railway infrastructure market. The third domain is the governance of transverse collusive bidding behavior. Zhou [21] proposed a combined internal and external governance approach. Internally, the bidding system should be improved, bidding agents should be incentivized, and bid-rigging should be investigated using evaluation experts. Externally, a reputation mechanism for bidders should be established, and supervision and punishment of collusion participants should be strengthened. Wang [22] proposed measures to govern transverse collusive bidding, including accelerating the improvement and expansion of relevant laws and regulations, strengthening the reform of bidding mechanisms at all levels of government, establishing special rectification measures at both the project and enterprise levels, and speeding up the development of electronic platforms. Qiao [23] argued that analyzing the relational network of bidders to detect community structures can effectively identify potential bid-rigging behavior.
2.2. The Application of Evolutionary Game Theory in Transverse Collusive Bidding Behavior
Given the bounded rationality traits of actors engaged in transverse collusive bidding behavior, numerous scholars have examined this phenomenon through the lens of evolutionary game theory.
Most scholars formulated the evolutionary model comprising bidders, colluders, and regulators [24,25,26]. Sun et al. [27] established a tripartite evolutionary game model based on the interaction behavior of governments, owners, and general contractors. Ma et al. [28] established a four-party evolutionary game model for tenderers, enterprises with a higher willingness to collude, enterprises with a lower willingness to collude, and supervising enterprises. Cheng et al. [29] analyzed the interaction behavior of the public sector, the private sector, and the public and their equilibrium state based on the evolutionary game method and prospect theory. Liu et al. [30] constructed a tripartite game model between the technical experts, the business experts, and the management department. The suitability of evolutionary game theory in analyzing transverse collusive bidding regulation under traditional bidding models has been confirmed by numerous authors. The MMB model, a specialized variant of the traditional bidding models, retains the fundamental processes and attributes of the traditional bidding models. Therefore, the method of evolutionary game theory is appropriate for the examination of transverse collusive bidding governance under the MMB model.
The academic community has performed an extensive study on the regulation of transverse collusive bidding in classical models, and evolutionary game analysis approaches have become rather mature in this subject area. However, investigations into the formation mechanisms of transverse collusive bidding among bidders and the associated regulation mechanisms within the MMB model are inadequate. In light of this, this study investigates the characteristics of the MMB model and constructs an evolutionary game model involving collusion initiators, free bidders, and regulators to explore possible scenarios of evolutionarily stable strategies, revealing the interactive relationships and dynamic evolutionary processes of the three parties’ strategies under bounded rationality. Additionally, this study gives regulation proposals for transverse collusive bidding, offering a theoretical basis and decision-making reference for managing transverse collusive bidding within the MMB model.
3. Model Building
3.1. Description of the Problem
The Simplified Evaluation Method employed by the MMB system (illustrated in Figure 1) is a significant factor influencing transverse collusive bidding behavior. This method employs the market credit assessment outcomes from Hainan Province to classify prospective bidders into three tiers. Through the execution of distinct preliminary selections with restricted quotas for various sequences and nonselective re-evaluation, a total of 20 bids are filtered for scoring and ranking. Following assessment by evaluation specialists, the outcomes are presented to the bidder for the conclusive determination of the winning of the bid. The complete bidding process is overseen by regulators via a system of administrative supervision. The bid evaluation method of the MMB system shows that the new system not only effectively restricts vertical collusive bidding behaviors but also facilitates bidding for participants, significantly reducing normal bidding costs and thereby encouraging the bidding willingness of potential bidders. This has led to a boom in the number of bidders (with some projects having over a thousand bidders), resulting in new characteristics of transverse collusive bidding behaviors under this model.
Figure 1.
The scoring methodology of the Simplified Evaluation Method (Note 1 (Classify A-level bidders into the first sequence; classify B-level bidders into the second sequence; and classify C, D, and E-level bidders into the third sequence), Note 2 (Calculate the arithmetic mean of the bid prices for each sequence of bidders, and rank them by the absolute value of the difference between the mean and the bid price, from low to high. Select the top 20 bidders from the first sequence, the top 10 from the second sequence, top 30 from the third sequence), Note 3 (Calculate the arithmetic mean of the bid prices from the 60 shortlisted bidders, and multiply it by the bid competition rate discount to obtain the evaluation benchmark price. Then, rank the bidders by the absolute value of the difference between the evaluation benchmark price and their bid prices, from low to high, and select the top 20)).
In the evaluation method of the traditional bidding model in Hainan Province, during the qualification stage, the 15 bidders whose bid price is lower than and closest to the cost price qualify (the cost price is calculated in advance by the tenderer using a specified method and is disclosed in the opening of the bid). In the evaluation stage, the average of the total price, list price, and material price of the shortlisted bidders is calculated to determine the corresponding evaluation benchmark price. The closer the corresponding item in the bid price is to the benchmark evaluation price, the higher the score; the bidder with the highest total score wins the contract. In the traditional bidding model, transverse collusion behavior typically occurs when the collusion group obtains knowledge of the cost price as a prerequisite. The collusion group monopolizes the qualifying spots by colluding on bid prices, then manipulates the evaluation benchmark price to ensure the collusion initiator wins the contract. The MMB model, with its Simplified Evaluation Method, does not set a cost price. In the qualification stage, the bidder whose bid price is closest to the average of all bidders’ bid prices qualifies. In the evaluation stage, the rules are consistent with those of the traditional bidding model. Because the MMB model uses the average bid price as the qualifying criterion and the number of bidders increases dramatically, assuming that the bid prices of free bidders are randomly distributed within a reasonable range (illustrated in Figure 2a), to ensure more members of the collusion group qualify and effectively control the evaluation benchmark price, a reasonable approach for the collusion group is to concentrate their bid prices (illustrated in Figure 2b) and increase the proportion of the collusion group members relative to the total number of bidders. Therefore, in terms of the organization of transverse collusive bidding, collusion initiators need to assemble additional accomplices to boost the possibilities of their collusion group qualifying and obtaining contracts. As a result, the expense involved with collusion increases significantly [31]. Regarding the technical aspects of transverse collusive bidding, influenced by the shortlisted free bidders, the technical difficulty of aligning the predicted evaluation benchmark price with the actual evaluation benchmark price increases, and the likelihood of the collusion initiator winning depends on their skill in colluding on bid prices. Furthermore, unlike previous transverse collusive bidding practices, where the aim was for the collusion initiator to win, in the MMB model, the predicted evaluation benchmark price may deviate from the actual evaluation benchmark price, making it difficult to ensure that the leader has the highest total score, the collusion initiators are more likely to pursue the bid for the members of the collusion group and then have the actual contractor undertake the construction tasks.
Figure 2.
Illustration of the shortlisted simulation.
When a bidder intends to initiate transverse collusive bidding, they may collaborate with several accomplices to submit bids, potentially resulting in the formation of a collusion group among the bidders. When multiple bidders have the intention to initiate transverse collusive bidding, there may be multiple collusion groups among the bidders; other potential bidders, apart from the collusion groups, will act as free bidders, deciding autonomously whether to participate in the normal bidding process (the structure of bidders with a single collusion group and multiple collusion groups is illustrated in Figure 3a,b). Since the number of members in the collusion group is a key factor affecting the organization and technicality of collusion, this study limits its research focus to the bidding issue in the context of a single collusion group. As the influence of the bid inviter, bidding agency, and bid evaluation expert results are relatively weak, the collusion initiator, as the organizer, determines whether collusion occurs. The bidding behavior of free bidders determines the scale of the bidders and influences the final winning results. Furthermore, regulators exert a certain suppressive effect on the occurrence of illegal transverse collusive bidding through oversight. Therefore, this study considers the collusion initiator, free bidders, and regulators as the three parties in the game under the MMB model.
Figure 3.
The Possible States of the Potential Bidders’ Group.
In summary, the innovations in system integration and changes in bid evaluation methods within the MMB model have significantly altered the organization and technicality of transverse collusive bidding, directly reshaping the game relationships among the collusion initiators, free bidders, and regulators. To this end, this study employs evolutionary game theory to construct a tripartite evolutionary game model involving the collusion initiator, free bidders, and regulators, revealing the evolutionary mechanisms of multiagent behavior in transverse collusive bidding within the MMB model and exploring the key factors influencing the strategy choices of collusion initiators.
3.2. Model Assumption
This study explores the strategic behaviors of collusion initiators, free bidders, and regulators under the MMB model based on evolutionary game theory, starting with the following assumptions.
(1) The game participants include collusion initiators, free bidders, and regulators, all of whom are boundedly rational agents whose strategy choices gradually evolve toward an optimal strategy.
(2) The strategy set of the collusion initiator is {collude, non-collude(non-bid)}, the probability of adopting the “collude” strategy is , the probability of adopting the “non-collude” strategy is . Noteworthily when the collusion initiator employs the “non-collude” strategy, a collusion group fails to materialize, and the collusion initiator’s later implementation of the “bid” strategy exerts negligible influence on the game system; consequently, this study excludes the scenario of separate bidding under the “non-collude” strategy of the collusion initiator; The strategy set of the free bidders is {bid, non-bid}, the probability of adopting the “bid” strategy is the probability of adopting the “non-bid” strategy is ; The strategy set of the regulators is {active regulate, negative regulate (non-regulate)}, the probability of adopting the “active regulate” strategy is the probability of adopting the “negative regulate” strategy is . It is essential to recognize that implementing the “active regulate” strategy does not ensure successful regulation, as the success of regulation is influenced by the current regulatory methods and measures [32]. Therefore, this study sets the probability of successfully detecting transverse collusive bidding as the probability of failing to detect transverse collusive bidding as .
(3) Designate bidders with a credit rating of A as high-credit bidders, whilst those with credit ratings B, C, D, and E are categorized as low-credit bidders. As the size of collusion groups increases and the costs of transverse collusive bidding rise, the initiators must possess not only strong organizational and planning abilities but also sufficient financial resources. According to the credit evaluation criteria for construction companies in Hainan Province (https://zw.hainan.gov.cn/ggzy/ggzy/dfj/180705.jhtml, accessed on 2 January 2025), the credit rating reflects, to some extent, the overall strength of the company. Compared to low-credit bidders, high-credit bidders are more likely to have the capability and resources to become initiators. Consequently, it is determined that initiators of transverse collusive bidding belong to the high-credit bidders. Furthermore, according to the rules of the Simplified Evaluation Method for corporate integrity scores (https://zjt.hainan.gov.cn/szjt/0411/202409/a6e6e98ec5904e4d872f605bb475eaf7.shtml, accessed on 2 January 2025), high-credit bidders consistently receive higher scores than low-credit bidders. To illustrate the differences in integrity scores during the evaluation phase between high-credit and low-credit bidders, this study introduces a credit coefficient (the value depends on the weighting of the integrity evaluation; the higher the weight, the greater the scoring advantage for high-credit bidders, and the larger the difference between and ).
(4) Set the tender sum limit as , construction costs as , the costs associated with preparing bid documents as . Set the number of participants in the collusion group as , with being the number of high-credit bidders and being the number of low-credit bidders; Set the number of free bidders as , with being the number of high-credit bidders and being the number of low-credit bidders; Total number of bidders is . Under the same conditions, the ability of different initiators to collude on bid price may vary. Therefore, this study introduces the technical parameter (The stronger the technical level of collusion on the bid price, the greater the value of ), the bid price of collusion group participants is , and the bid price of free bidders is . The collusion initiator compensates high-credit and low-credit bidders involved in the collision with a one-time payment of and [32], respectively, contingent upon the bidder’s credit classification and project magnitude (tender sum limit).
(5) Set the active regulation costs as , the regulators impose a penalty of on the collusion initiator when the transverse collusive bidding behavior is discovered [32].
For convenience, we will denote in the following text. represents the winning probability of the collusion group, which this study considers as the winning probability of the collusion initiator.
Table 1 displays the pertinent parameters and their definitions.
Table 1.
The pertinent parameters and their definitions.
3.3. Construction of the Evolutionary Game Model
Utilizing the aforementioned assumptions and taking into account real-game events, we develop the payment matrix among collusion initiators, free bidders, and regulators, as illustrated in Table 2.
Table 2.
Payment matrix among collusion initiators, free bidders, and authorities.
From Table 2, it can be seen that the expected returns and for collusion initiators adopting the “collude” and “non-collude” strategies, along with the average return , are as follows:
The expected returns and for free bidders adopting the “bid” and “no-bid” strategies, along with the average return , are as follows:
The expected returns and for regulators adopting the “active regulate” and “negative regulate” strategies, along with the average return , are as follows:
Utilizing evolutionary game theory, we formulate a replicator dynamic system for the strategy selection of collusion initiators, free bidders, and regulators:
3.4. Examination of Equilibrium Points and Stability in the Game Model
According to the EGT, the entire system will gravitate toward stability when . The system exhibits eight pure strategy equilibrium points: , , , , , , , . In EGT, equilibrium points must adhere to the rigors of Nash equilibrium (pure Nash equilibrium) to be deemed stable solutions, known as evolutionarily stable strategies (ESS) [33]. Consequently, it is adequate to evaluate the stability of the eight aforementioned equilibrium points.
This study examines the stability of the tripartite replicative dynamic system utilizing the Jacobian matrix, as seen below:
where
The eigenvalues of the Jacobian matrix for the eight equilibrium points are presented in Table 3. Lyapunov’s stability theory [34] posits that if all three eigenvalues of the Jacobian matrix are negative, the equilibrium point constitutes an ESS. Consequently, equilibrium points , , and cannot be ESS of the replicator dynamic system under any circumstances, although equilibrium points , , , , and maybe ESS of the system. Table 4 delineates the stability conditions for the five prospective ESS.
Table 3.
Eigenvalues of the Jacobian matrix.
Table 4.
Stability conditions for the five equilibrium points.
When the benefits of the “collude” strategy for the collusion initiator surpass the costs, while the benefits of the “bid” strategy for free bidders fall short of the costs, and the benefits of the “active regulate” strategy for the regulator are less than the costs, the collusion initiator will implement the “collude” strategy, the free bidders will choose the “non-bid” strategy, and the regulator will pursue the “negative regulate” strategy. This scenario not only undermines the original purpose of the MMB model to oversee bidding practices but also enhances the collusion initiator’s propensity to collude due to the absence of competition between free bidders and the collusion initiator. Moreover, as the benefits derived from the “bid” strategy for free bidders are inferior to the associated costs, free bidders are compelled to either withdraw from the market or transform into accomplices or collusion initiators (illustrated in Figure 4a), ultimately leading to a potential bidder composition for the MMB project that excludes free bidders (depicted in Figure 4b). Consequently, the equilibrium point represents the worst equilibrium of the system, aligning with the tactics of the three players in the game as the worst evolutionarily stable strategy.
Figure 4.
The Worst Structure of the Potential Bidders’ Group.
When the benefits of the “collude” strategy for the collusion initiator are inferior to the costs, and the advantages of the “bid” strategy for free bidders are above the costs, the collusion initiator will resort to the “non-collude” strategy, whereas free bidders will persist with the “bid” strategy. In the absence of transverse collusive bidding inside the project, the regulator may implement the “negative regulate (non-regulate)” strategy, thereby conserving regulatory resources and financial assets. At the same time, the likelihood of success in bids for free bidders will remain unaffected by transverse collusive bidding, which not only enhances the anticipated benefits for free bidders with each bid but also promotes an equitable and just bidding environment in the market. Moreover, in the absence of transverse collusive bidding, the collusion initiator and participants can only opt to withdraw from the market or transform into free bidders (illustrated in Figure 5a), ultimately leading to a potential bidder composition for the MMB project that only free bidders remain (depicted in Figure 5b). Consequently, the equilibrium point represents the optimal equilibrium of the system, aligning with the strategies of the three participants in the game as the optimal evolutionarily stable strategy.
Figure 5.
The Optimal Structure of the Potential Bidders’ Group.
4. Numerical Simulation
To intuitively illustrate the impact of parameter changes on the stable states of the tripartite evolutionary game, this paper conducts a sensitivity analysis using MATLAB software (Version R2024a). Establish parameters , , , , and utilize the real data from a designated project, where the weighting of the integrity evaluation is 10%, corresponding to the parameter , , the number of high-credit and low-credit bidders are 70 and 1130, corresponding to the parameter , , and tender sum limit is 300,000,000, corresponding to the parameter . Establish parameters and according to the research findings: , . Research indicates that the winning price for MMB projects is roughly 92% of the tender sum limit [2]. Set the quotations from collusion groups in collusion projects on average 97% of the tender sum limit. Consequently, assign and . Set according to Article 53 of the Regulation on the Implementation of the Bidding Law of the People’s Republic of China (https://www.gov.cn/gongbao/content/2019/content_5468831.htm, accessed on 2 January 2025). Due to the active regulation costs , the probability of detecting transverse collusive bidding , construction costs , the technical parameters of transverse collusive bidding , the number of high-credit and low-credit bidders in the collusion groups and , the costs associated with preparing bid documents difficulty in determining, this study establishes , , , , , , to advance the system toward the ideal ESS. Given that the beginning strategy ratios of the three participants in the game do not influence the evolutionarily stable strategy of the system, this work, without loss of generality, establishes the initial strategy ratio . The initial value of the pertinent parameters is illustrated in Table 5.
Table 5.
The initial value of the pertinent parameters.
The critical parameters discussed in this study are the probability of detecting transverse collusive bidding , construction costs , the technical parameters of transverse collusive bidding , the number of high-credit bidders , the number of low-credit bidders , the weighting of the integrity evaluation , active regulation costs , the costs associated with preparing bid documents .
- (1)
- The probability of detecting transverse collusive bidding
To explore the sensitivity of the three parties to the probability of detecting transverse collusive bidding, let take values of 0.01, 0.1, 0.3, 0.6, and 0.9. The evolutionary paths of the three parties are illustrated in Figure 6. As can be seen, when the detection probability is high, the system will evolve toward the optimal evolutionarily stable strategy; When the detection probability is low, it becomes difficult to effectively deter collusion initiators. Data from pertinent departments indicate that the average number of bidders for MMB projects is 200. As of 8 December 2023, the projected total of bidders for the 153 executed projects is 30,600. Calculating under the assumption that half of the bidders are colluding (15,300), the provided enforcement data indicates approximately 120 incidents, yielding a detection probability of under 1%, this will result in the system evolving toward an equilibrium point , defined by collusion initiators colluding, free bidders non-bidding, and the regulator negative regulating as the worst evolutionarily stable strategy. Moreover, as the probability of detecting transverse collusive bidding rises, the rate of evolution for collusion initiators employing the “non-collude” strategy and the regulator implementing the “negative regulate” strategy will increase, whereas the evolution rate of free bidders utilizing the “bid” strategy will be minimally impacted.
Figure 6.
Sensitivity of the three parties to the probability of detecting transverse collusive bidding.
- (2)
- Construction costs
To explore the sensitivity of the three parties to the construction costs, let take values of 262,000,000, 264,000,000, 266,000,000, 268,000,000, and 270,000,000. The evolutionary paths of the three parties are illustrated in Figure 7. As can be seen, with the increase in construction costs, the system will progress toward the optimal ESS, aligning with the equilibrium point , where collusion initiators refrain from collusion, free bidders bid, and the regulator adopts the negative regulatory strategy. As construction costs decline and surpass a specific threshold, the evolutionarily stable strategy will transition toward the equilibrium point , where collusion initiators collude, free bidders bid and the regulator actively regulates. Moreover, reduced construction costs will accelerate the evolution rate of free bidders employing the “bid” strategy.
Figure 7.
Sensitivity of the three parties to the construction costs.
- (3)
- The technical parameters of transverse collusive bidding
To explore the sensitivity of the three parties to the technical parameters of transverse collusive bidding, let take values of 0.6, 0.9, 1.2, 1.5, and 1.8. The evolutionary paths of the three parties are illustrated in Figure 8. The augmentation of the technical parameters of transverse collusive bidding will elevate the likelihood of winning for collusion initiators, therefore amplifying their profits. Consequently, when collusion initiators possess greater technical parameters of transverse collusive bidding parameters, the rate at which they adopt the “non-collude” strategy will decelerate. Likewise, the pace of evolution for the regulator implementing the “negative regulate” strategy will decelerate, while the effect on the evolution speed of free bidders will be very minimal.
Figure 8.
Sensitivity of the three parties to the technical parameters of transverse collusive bidding.
- (4)
- The number of high-credit bidders
To explore the sensitivity of the three parties to the number of high-credit bidders, let take values of 40, 70, 100, 130, and 160. The evolutionary paths of the three parties are illustrated in Figure 9. The number of high-credit in the collusion group and the number of high-credit bidders in the free bidders will maintain the original ratio, which is 50%, with the evolutionary paths of the three parties illustrated in Figure 9. As the number of high-credit bidders rises, the evolutionary pace of collusion initiators and the regulator will intensify, whilst the evolutionary speed of free bidders will decelerate; however, the impact is minimal.
Figure 9.
Sensitivity of the three parties to the number of high-credit bidders.
- (5)
- The number of low-credit bidders
To explore the sensitivity of the three parties in the game to the number of low-credit bidders, let take values of 1030, 1130, 1230, 1330, and 1430. The evolutionary paths of the three parties are illustrated in Figure 10. The number of low-credit in the collusion group and the number of low-credit bidders in the free bidders will maintain the original ratio, which is 50% , with the evolutionary paths of the three parties illustrated in Figure 10. Like the impact of augmenting high-credit bidders, an increase in low-credit bidders will expedite the evolution rates of collusion initiators and the regulator, whereas the evolution rate of free bidders will decelerate, albeit the effect is not substantial.
Figure 10.
Sensitivity of the three parties to the number of low-credit bidders.
- (6)
- The weighting of the integrity evaluation
To explore the sensitivity of the three parties in the game to the weighting of the integrity evaluation, let take values of 8%, corresponding to , , let take values of 10%, corresponding to , , let take values of 12%, corresponding to , , let take values of 14%, corresponding to , , let take values of 16%, corresponding to , . The evolutionary paths of the three parties are illustrated in Figure 11. The weighting of the integrity evaluation does not alter the strategic decisions of the three parties in the game, nor does it substantially influence their rates of progress.
Figure 11.
Sensitivity of the three parties to the weighting of the integrity evaluation.
- (7)
- Active regulation costs
To explore the sensitivity of the three parties in the game to the active regulation costs, let take values of 20,000, 60,000, 100,000, 140,000, and 180,000. The evolutionary paths of the three parties are illustrated in Figure 12. The active regulation costs will not change the strategy choices and evolution speeds of collusion initiators and free bidders. However, for the regulator, higher costs of active regulation costs will accelerate the evolution speed of adopting the “negative regulate” strategy.
Figure 12.
Sensitivity of the three parties to the active regulation costs.
- (8)
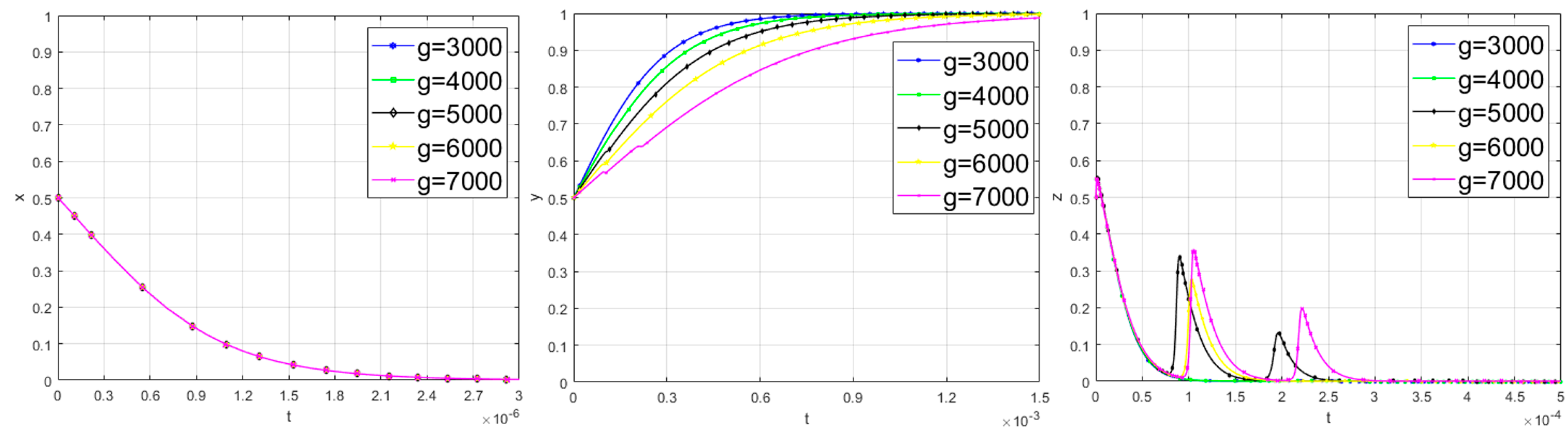
- The costs associated with preparing bid documents
To explore the sensitivity of the three parties in the game to the costs associated with preparing bid documents, let take values of 3000, 4000, 5000, 6000, and 7000. The evolutionary paths of the three parties are illustrated in Figure 13. The costs associated with preparing bid documents do not alter the strategic decisions of the three participants in the game; nonetheless, they influence the rate of strategy evolution for both free bidders and the regulator. As the costs associated with preparing bid documents diminish, the pace of evolution for free bidders employing the “bid” strategy will increase, whilst the rate of evolution for the regulator utilizing the “negative regulate” strategy would decrease. Consequently, reduced costs associated with preparing bid documents enhance the willingness of free bidders to engage in the bidding process, thereby expediting the system’s progression toward the optimal ESS.
Figure 13.
Sensitivity of the three parties to the costs associated with preparing bid documents.
5. Discussion
5.1. Research Findings
The principal results of this study are as follows: First, the system possesses five evolutionary stable strategies, and the evolutionary trajectory of the game system is contingent upon the payoff matrix and the parameter values. From the perspective of regulating bidding activities, represents the optimal equilibrium point for the tripartite evolutionary game, where the collusion initiator adopts the “non-collude” strategy, free bidders adopt the “bid” strategy, and the regulator adopts the “negative regulate (non-regulate)” strategy. This result diverges from prior studies [24,25,26] by categorizing bidder types and considering free bidders as a participant in the game, the objective of the aforementioned method is to elucidate the organizational and technical distinctions between the MMB model and traditional bidding models. Second, the change in the probability of detecting transverse collusive bidding and construction costs beyond a certain range will affect the strategic choices of the three parties. This finding aligns with prior literature [24,25,26] grounded in the traditional bidding models. Third, reducing the costs associated with preparing bid documents and active regulation costs, increasing the technical difficulty of collusion, and expanding the total number of high-credit and low-credit construction enterprises can accelerate the evolution of the three parties in the game toward the optimal ESS. Owing to the distinctiveness of the MMB model, no scholars have presented conclusions concerning the aspect of credit.
5.2. Theoretical Implications
This study contributes to theory in several ways. First, it provides a detailed description of the MMB’S operational model and the possible forms of transverse collusive bidding behavior. The study finds that the MMB model significantly mitigates vertical collusive bidding behavior but lacks measures for governing transverse collusive bidding. Second, this study is the first to examine the operational characteristics of transverse collusive bidding behavior under the MMB model. The study finds that the MMB model is a new bidding model based on emerging technologies such as artificial intelligence and big data. Transverse collusive bidding behavior under this model differs significantly from that in traditional bidding models in terms of organization and technicality. Thirdly, this study reveals the evolution mechanism of transverse collusive bidding behavior between collusion initiators, free bidders, and regulators under the MMB model, thereby enriching the knowledge framework of the MMB model. Additionally, it provides theoretical insights for further research on the governance of horizontal collusion in the MMB model. Fourth, this study expands the boundaries of evolutionary game theory. Although existing studies have used evolutionary game theory to analyze the governance of collusive bidding behavior in other bidding models [24,25,26], no literature has yet analyzed the governance of the transverse collusive behavior under the MMB model in light of its specific characteristics.
5.3. Policy Implications
This study also renders insightful policy implications for the effective regulation of the transverse collusive bidding behavior within the MMB system.
First, it is recommended that regulators improve existing regulatory methods while expanding new approaches. On one hand, the regulator can focus on the social network relationships of bidders, paying special attention to high-risk signs of collusion, such as relationships between bidders, overlapping positions among senior management of different bidders, personnel mixing, familial relationships, and frequent “group” bidding [35,36]. On the other hand, the regulator can analyze the distribution of bidders’ prices, with a focus on examining those whose bid price is concentrated within a certain range. And develop corresponding algorithms to analyze and identify bidders with abnormal winning frequencies, closely monitoring those with unusually low winning rates and “accomplices” who do not bid with the intent to win. Additionally, it is imperative to improve the reporting channels for bidders, strengthen the education and penalties for the integrity of construction enterprises, and foster an atmosphere of “mutual inspection” in the construction market bidding process [37].
Second, it is recommended that regulators alleviate the unpredictability of building expenses and expand the variety of contracts appropriate for the MMB model. The MMB model presently aligns with the unit price contract derived from bills of quantities, resulting in considerable uncertainty around construction costs [38]. Bidders frequently secure contracts at reduced costs and subsequently modify contract sums by variation orders [39], claims [40], and price adjustments [41]. In comparison to the earlier bidding model, the collusion costs borne by collusion initiators during the bidding process under the MMB model have escalated significantly. This further intensifies their motivation to recoup the collusion costs incurred during the bidding period through various measures. Therefore, mitigating the uncertainty of construction costs is one of the ways to reduce malicious low bidding by bidders and decrease the willingness of collusion initiators to collude. The MMB model should quickly adapt to various types of contracts, such as fixed-price and adjustable-price contracts [42], to mitigate the uncertainty of construction costs, thereby reducing the willingness of collusion initiators to engage in transverse collusive bidding.
Third, it is recommended that regulators adhere to existing bidder admission policies and improve the rules for the Simplified Evaluation Method. The results indicate that increasing the number of bidders can raise the costs for collusion initiators, reduce their probability of winning bids, and help the three parties in the game evolve toward the optimal ESS. Regulators should uphold existing bidder admission policies to allow more potential bidders to participate in MMB projects. Furthermore, the bidding competition rate in the rules for the Simplified Evaluation Method is a key parameter for adjusting the evaluation benchmark price. Currently, it is set as a fixed value in the bidding documents for MMB projects, making it difficult to curb transverse collusive bidding. It is recommended that regulators set this parameter within a certain range in the bid invitation documents and determine it through random selection during the bid opening, thereby increasing the difficulty for collusion initiators to coordinate bids, reducing their expected gains from collusion, and weakening their willingness to engage in transverse collusive bidding.
6. Conclusions and Limitations
The existence of transverse collusive bidding behavior directly undermines the fairness of bidding competition and severely obstructs the development of the MMB model. To attain efficient regulation of transverse collusive bidding behavior under the MMB model, this study constructs an evolutionary game model of transverse collusive bidding involving collusion initiators, free bidders, and regulators, based on the characteristics of the MMB model. It explores possible ESS scenarios and analyzes the impact of key parameters on the strategy choices and evolutionary speeds of collusion initiators, free bidders, and regulators. Based on the results, it recommends regulation countermeasures to address transverse collusive bidding behavior within the MMB model tailored to practical conditions.
The research has limitations, which also need to be acknowledged. First, several assumptions presented in this study diverge from actual conditions, such as the assumption of bid price consistency among members of the collusion group and the assumption of bid price consistency within the group of free bidders. Second, the assignment of certain parameters is subjective, such as the probability of detecting transverse collusive bidding, the technical parameters of transverse collusive bidding, and active regulation costs. Third, certain research conclusions are based on specific parameter ranges and may lack universal applicability. Fourth, this study suggests that the bid prices of collusion groups in the MMB model may exhibit the characteristic of concentrated characteristics; however, there is a lack of supporting data on the bid prices of these collusion groups. To better adapt to the governance needs of transverse collusive bidding behavior in the MMB model, this study suggests that future research could focus on the following areas: (1) Utilizing research methodologies from analogous disciplines to enhance the suitability of the assumptions. (2) Gathering and analyzing extensive MMB project data to enhance the precision of parameters assignment. (3) Classifying MMB projects by various types, bid control prices, and bidder quantities, and analyzing them individually to improve the universality of the research findings. (4) By analyzing the bid price data of collusion groups, the characteristics of their bid prices can be further clarified, thereby exploring methods for identifying transverse collusion behavior. Whereas the study of the governance of transverse collusive bidding behavior in the MMB model is still in its infancy, it is hoped that the research presented in this paper can foster future studies in this fertile and unexplored area.
Author Contributions
Conceptualization, J.L.; methodology, Z.Z. (Zongyuan Zhang); software, Z.Z. (Zongyuan Zhang); investigation, B.C.; writing—original draft preparation, Z.Z. (Zongyuan Zhang); writing—review and editing, J.L.; supervision, Z.Z. (Zhitian Zhang); project administration, J.L. All authors have read and agreed to the published version of the manuscript.
Funding
This study was supported by the Hainan Province Philosophy and Social Sciences 2021 Planned Project [Grant No. HNSK(ZC)21-127].
Data Availability Statement
The research data in the study are included in the article, further inquiries can be directed to the corresponding author.
Conflicts of Interest
The authors declare no conflicts of interest.
References
- Kawai, K.; Nakabayashi, J. Detecting large-scale collusion in procurement auctions. J. Polit. Econ. 2022, 130, 1364–1411. [Google Scholar] [CrossRef]
- Liu, D.C.; Zhang, X.Y.; Fu, Q.S. Research on the pathways of collusion paths among the bidding body under the machine-managed bidding model. J. Railw. Eng. 2024, 1, 11. [Google Scholar]
- Xiao, L.; Ye, K.; Zhou, J.; Ye, X.; Tekka, R.S. A social network-based examination on bid riggers’ relationships in the construction industry: A case study of China. Buildings 2021, 11, 363. [Google Scholar] [CrossRef]
- Wang, X.; Arditi, D.; Ye, K. Coupling effects of economic, industrial, and geographical factors on collusive bidding decisions. J. Constr. Eng. Manag. 2022, 148, 04022042. [Google Scholar] [CrossRef]
- Wang, X.; Long, W.; Sang, M.; Yang, Y. Towards sustainable urbanization: Exploring the influence paths of the urban environment on bidders’ collusive willingness. Land 2022, 11, 280. [Google Scholar] [CrossRef]
- Wang, X.; Ye, K.; Chen, M.; Yao, Z. A conceptual framework for the inclusion of exogenous factors into collusive bidding price decisions. J. Manag. Eng. 2021, 37, 04021071. [Google Scholar] [CrossRef]
- Wang, X.; Ye, K.; Zhuang, T.; Liu, R. The influence of collusive information dissemination on bidder’s collusive willingness in urban construction projects. Land 2022, 11, 643. [Google Scholar] [CrossRef]
- Peng, Z.; Ye, K.; Li, J. Break the Cycle of Collusion: Simulation to Influence Mechanism of Cognitive Bias on To-Collude Decision Making. Buildings 2022, 12, 997. [Google Scholar] [CrossRef]
- Du, X.H. Game Analysis of Collusion Bidding in Public Procurement. J. Soochow Univ. (Phil. Soc. Sci. Ed.) 2017, 38, 97–103. [Google Scholar]
- Shi, J.H.; Li, Y.Y. Criminal law governance of collusive bidding crimes). J. Chongqing Univ. (Soc. Sci. Ed.) 2021, 27, 191–204. [Google Scholar]
- Zhang, Z.Y. Exploration and Governance Strategy of the Collusion in Projects Bidding. Constant Econ. 2022, 43, 10–16. [Google Scholar]
- Ballesteros-Pérez, P.; Skitmore, M.; Das, R.; del Campo-Hitschfeld, M.L. Quick abnormal-bid-detection method for construction contract auctions. J. Constr. Eng. Manag. 2015, 141, 04015010. [Google Scholar] [CrossRef]
- Huber, M.; Imhof, D. Machine learning with screens for detecting bid-rigging cartels. Int. J. Ind. Organ. 2019, 65, 277–301. [Google Scholar] [CrossRef]
- Razmi, P.; Buygi, M.O.; Esmalifalak, M. A machine learning approach for collusion detection in electricity markets based on nash equilibrium theory. J. Mod. Power Syst. Clean Energy. 2020, 9, 170–180. [Google Scholar] [CrossRef]
- Gautier, A.; Ittoo, A.; Van Cleynenbreugel, P. AI algorithms, price discrimination and collusion: A technological, economic and legal perspective. Eur. J. Law Econ. 2020, 50, 405–435. [Google Scholar] [CrossRef]
- Signor, R.; Ballesteros-Pérez, P.; Love, P.E. Collusion detection in infrastructure procurement: A modified order statistic method for uncapped auctions. IEEE Trans. Eng. Manag. 2021, 70, 464–477. [Google Scholar] [CrossRef]
- Rodríguez, M.J.G.; Rodríguez-Montequín, V.; Ballesteros-Pérez, P.; Love, P.E.; Signor, R. Collusion detection in public procurement auctions with machine learning algorithms. Autom. Constr. 2022, 133, 104047. [Google Scholar] [CrossRef]
- Silveira, D.; Vasconcelos, S.; Resende, M.; Cajueiro, D.O. Won’t get fooled again: A supervised machine learning approach for screening gasoline cartels. Energy Econ. 2022, 105, 105711. [Google Scholar] [CrossRef]
- Wallimann, H.; Imhof, D.; Huber, M. A machine learning approach for flagging incomplete bid-rigging cartels. Comput. Econ. 2023, 62, 1669–1720. [Google Scholar] [CrossRef]
- Wallimann, H.; Sticher, S. On suspicious tracks: Machine-learning based approaches to detect cartels in railway-infrastructure procurement. Transp. Policy 2023, 143, 121–131. [Google Scholar] [CrossRef]
- Zhou, J.E. Research on the Phenomenon and Governance Mechanism about Horizontal Collusion in the Bidding Field of Construction Projects. Master’s Thesis, Tianjin University of Technology, Tianjin, China, 2010. [Google Scholar]
- Wang, X. Research on the External Environmental Influence Mechanism and Governance Countermeasures of Collusive Bidding in Construction. Ph.D. Thesis, Chongqing University, Chongqing, China, 2022. [Google Scholar]
- Qiao, Z. Research on Supervision for the Electronic Bidding of Railway Construction Driven by Big Data. Ph.D. Thesis, Beijing Jiaotong University, Beijing, China, 2021. [Google Scholar]
- Zhang, Q.; Jin, L.; Chen, Y.; Jiang, G. Repeated game behavior between bidder and regulatory agency of construction engineering with intertemporal choice. RAIRO-Oper. Res. 2024, 58, 2001–2014. [Google Scholar] [CrossRef]
- Wang, Q.; Pan, L. Tripartite evolutionary game analysis of participants’ behaviors in technological innovation of mega construction projects under risk orientation. Buildings 2023, 13, 287. [Google Scholar] [CrossRef]
- Cheng, L.; Liu, G.; Huang, H.; Wang, X.; Chen, Y.; Zhang, J.; Yu, T. Equilibrium analysis of general N-population multi-strategy games for generation-side long-term bidding: An evolutionary game perspective. J. Clean. Prod. 2020, 276, 124123. [Google Scholar] [CrossRef]
- Sun, C.; Wang, M.; Man, Q.; Wan, D. Research on the BIM application mechanism of engineering-procurement-construction projects based on a tripartite evolutionary game. J. Constr. Eng. Manag. 2023, 149, 04022182. [Google Scholar] [CrossRef]
- Ma, C.; Chen, Y.; Nie, S. Four-Way Evolutionary Game Analysis of Government Project Bidding Collusion in a State of Limited Rationality Based on Prospect Theory. Comput. Intell. Neurosci. 2022, 2022, 6092802. [Google Scholar] [CrossRef]
- Cheng, X.; Cheng, M.; Liu, Y. The behavioral strategies of multiple stakeholders in the NIMBY facility public-private partnership project: A tripartite evolutionary game analysis based on prospect theory. Can. J. Civ. Eng. 2024. [Google Scholar] [CrossRef]
- Liu, X.; Zhang, Z.; Qi, W. The strategy analysis of grouped bid evaluation in reverse auction: A tripartite evolutionary game perspective. IEEE Syst. J. 2021, 16, 88–99. [Google Scholar] [CrossRef]
- Brown, J.; Loosemore, M. Behavioural factors influencing corrupt action in the Australian construction industry. Eng. Constr. Archit. Manag. 2015, 22, 372–389. [Google Scholar] [CrossRef]
- Zhang, M.J. Research on the Evolution Simulation of the Collusion Participants’ Behavior Decision-making in Construction Projects. Master’s Thesis, Chongqing University, Chongqing, China, 2020. [Google Scholar]
- Friedman, D. Evolutionary games in economics. Econom. J. Econom. Soc. 1991, 637–666. [Google Scholar] [CrossRef]
- Lyapunov, A.M. The general problem of the stability of motion. Int. J. Control 1992, 55, 531–534. [Google Scholar] [CrossRef]
- Xu, D.; Yang, Q. The systems approach and design path of electronic bidding systems based on blockchain technology. Electronics 2022, 11, 3501. [Google Scholar] [CrossRef]
- Carbone, C.; Calderoni, F.; Jofre, M. Bid-rigging in public procurement: Cartel strategies and bidding patterns. Crime Law Soc. Chang. 2024, 82, 249–281. [Google Scholar] [CrossRef]
- Ma, C.; Chen, Y.; Zhu, W.; Ou, L. How to effectively control vertical collusion in bidding for government investment projects-Based on fsQCA method. PLoS ONE 2022, 17, e0274002. [Google Scholar] [CrossRef] [PubMed]
- Lu, Y. Research on the whole process cost control of infrastructure projects in colleges and universities based on dbb model. Archit. Eng. Sci. 2022, 3, 24–28. [Google Scholar]
- Shrestha, P.P.; Fathi, M. Impacts of change orders on cost and schedule performance and the correlation with project size of DB building projects. J. Leg. Aff. Disput. Resolut. Eng. Constr. 2019, 11, 04519010. [Google Scholar] [CrossRef]
- Park, J.; Kwak, Y.H. Design-bid-build (DBB) vs. design-build (DB) in the US public transportation projects: The choice and consequences. Int. J. Proj. Manag. 2017, 35, 280–295. [Google Scholar] [CrossRef]
- Thu, M.K.; Hamilton, P.; Lee, J.H.; Kingsley, G.; Ashuri, B. A Critical Assessment of Material Price Adjustment Clauses for Transportation Design–Build Projects. J. Leg. Aff. Disput. Resolut. Eng. Constr. 2024, 16, 04524008. [Google Scholar] [CrossRef]
- Vu, T.Q.; Pham, C.P.; Nguyen, T.A.; Nguyen, P.T.; Phan, P.T.; Nguyen, Q.L.H.T.T. Factors influencing cost overruns in construction projects of international contractors in Vietnam. J. Asian Financ. Econ. Bus. 2020, 7, 389–400. [Google Scholar] [CrossRef]
Disclaimer/Publisher’s Note: The statements, opinions and data contained in all publications are solely those of the individual author(s) and contributor(s) and not of MDPI and/or the editor(s). MDPI and/or the editor(s) disclaim responsibility for any injury to people or property resulting from any ideas, methods, instructions or products referred to in the content. |
© 2025 by the authors. Licensee MDPI, Basel, Switzerland. This article is an open access article distributed under the terms and conditions of the Creative Commons Attribution (CC BY) license (https://creativecommons.org/licenses/by/4.0/).












