Review of Prediction Models for Chloride Ion Concentration in Concrete Structures
Abstract
1. Introduction
2. Mathematical Curve Model for the Variation of Chloride Ion Concentration with Structural Age
2.1. Fick’s Law Model
2.2. Considering the Time-Dependent Diffusion Coefficient Model
3. Considering the Time-Varying Model of Surface Chloride Ion Concentration
4. Numerical Simulation Model
Artificial Neural Network Prediction Model
5. Challenges and Suggested Improvements
6. Conclusions
- Empirical models provide a theoretical foundation for predicting chloride ion concentration. By utilizing formulas based on diffusion theory, such as the Fick’s diffusion model, these models describe the process of chloride ion diffusion in concrete over time. Such models are concise, easy to understand, and possess a certain degree of physical plausibility. However, in practical applications, they are susceptible to variations in environmental factors. Due to the difficulty in encompassing all influencing factors, the prediction accuracy of empirical models is relatively limited. The key to improving these models lies in experimental calibration and the introduction of correction factors to make them more adaptable to different operating conditions.
- ANN has received considerable attention in chloride ion concentration prediction due to its powerful nonlinear fitting capabilities. ANN is capable of processing a large number of complex input variables and learning the intricate relationships governing concentration changes through its deep network structure. However, neural network models have stringent requirements for the quantity and quality of data. In large sample sets, compared to empirical models, neural network models exhibit greater complexity, longer training times, and poorer interpretability. This is attributed to their intricate structures and numerous parameters, whereas empirical models boast simple structures, fewer parameters, and clear physical meanings, making them less demanding in terms of data requirements. In chloride ion prediction, ANN is suitable for scenarios with sufficient data support, and it requires precise regulation of the model’s training process and parameter adjustments to achieve good prediction results.
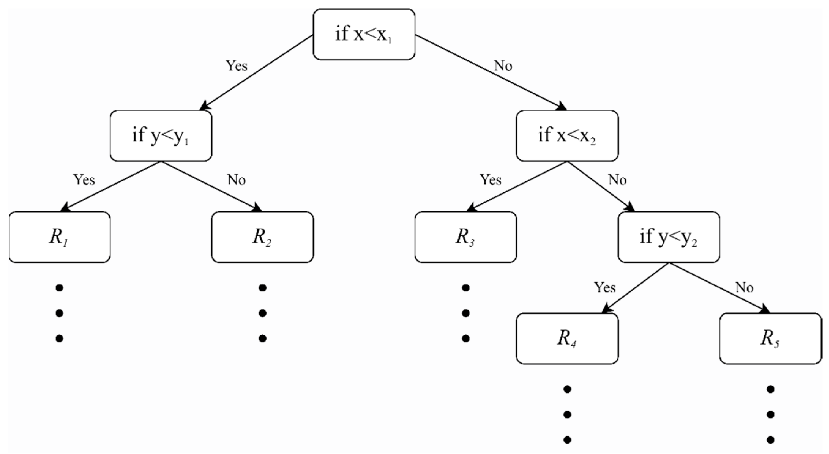
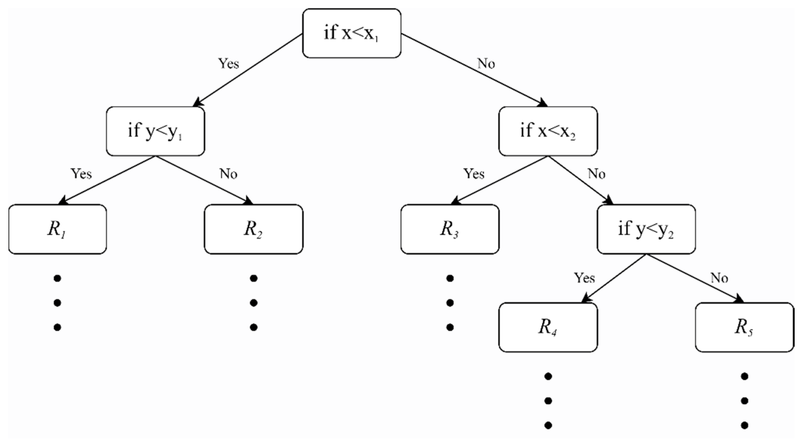
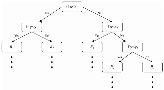
- Decision tree models possess high interpretability in chloride ion concentration prediction, as they can intuitively demonstrate the contribution of each feature to the prediction results through a tree structure. Decision trees are easy to understand and implement, making them suitable for processing small-scale data. However, their prediction accuracy may be limited by the depth of the tree structure and data fluctuations, and a single tree model may suffer from overfitting when the data contain significant noise. Ensemble methods based on decision trees (such as Random Forests) can enhance the stability and accuracy of predictions, making them suitable for short- to medium-term predictions of chloride ion concentration in concrete as it varies with age.
- SVM, with its ability to establish boundary classification in high-dimensional spaces, is suitable for predicting chloride ion concentration as it varies with age. SVM can effectively handle nonlinear relationships and maintains good generalization performance even with limited data. However, SVM is highly sensitive to parameters, and selecting appropriate kernel functions and regularization parameters based on the data characteristics is necessary to achieve good prediction results. SVM is suitable for scenarios with moderate data size and clear features, but the computational complexity is higher when dealing with large data volumes and numerous features.
- In the prediction of chloride ion concentration as it varies with age, machine learning methods perform well overall and can flexibly handle various complex relationships. By combining multiple models (such as decision trees, neural networks, support vector machines, etc.) with methods like feature selection and regularization, machine learning is able to capture the nonlinear dynamic characteristics of chloride ion diffusion. Although it has high requirements for data and computational resources, machine learning models can effectively improve prediction accuracy and stability through algorithm optimization and multi-model integration. With the increase in data volume and advancements in algorithms, machine learning will continue to play an important role in the prediction of chloride ion concentration in concrete.
Author Contributions
Funding
Conflicts of Interest
References
- Duan, D.; Wang, W. Analysis on the Hazards of Chloride Ions to Reinforced Concrete Structures and Preventive Measures. China Build. Decor. 2024, 10, 187–189. [Google Scholar]
- Xu, W. Evolution of Mechanical Properties of Steel Fiber Reinforced Concrete Under Chloride Ion Erosion and Neutralization. Master’s Thesis, Zhengzhou University, Zhengzhou, China, 2022. [Google Scholar]
- Gao, Y.; Fu, C.; Huang, H.; Zhang, Y.; Zhang, J. Time Variability of Peak Chloride Concentration in Concrete under Natural Tidal Environment. J. Nat. Disasters 2023, 32, 175–184. [Google Scholar] [CrossRef]
- Wang, Z. Research on Chloride Ion Penetration Resistance of Reactive Powder Concrete. Master’s Thesis, Beijing Jiaotong University, Beijing, China, 2011. [Google Scholar]
- Medvedev, V.; Pustovgar, A. A Review of Concrete Carbonation and Approaches to Its Research under Irradiation. Buildings 2023, 13, 1998. [Google Scholar] [CrossRef]
- Chen, G.; Lv, Y.; Zhang, Y.; Yang, M. Carbonation depth predictions in concrete structures under changing climate condition in China. Eng. Fail. Anal. 2021, 119, 104990. [Google Scholar] [CrossRef]
- Taffese, W.Z.; Sistonen, E.; Puttonen, J. CaPrM: Carbonation prediction model for reinforced concrete using machine learning methods. Constr. Build. Mater. 2015, 100, 70–82. [Google Scholar] [CrossRef]
- Malami, S.I.; Akpinar, P.; Lawan, M.M. Preliminary investigation of carbonation problem progress in concrete buildings of north Cyprus. In Proceedings of the MATEC Web of Conferences, Kuala Lumpur, Malaysia, 13–14 August 2018; p. 20306007. [Google Scholar]
- Li, P.; Fu, W.; Xiong, J.; Wang, S. Effect of Transverse Load Cracks on the Durability Deterioration of Concrete in the Marine Splash Zone. Build. Struct. 2021, 51, 23–26+84. [Google Scholar] [CrossRef]
- Jiang, C.; Gu, X.; Huang, Q.; Zhang, W. Carbonation depth predictions in concrete bridges under changing climate conditions and increasing traffic loads. Cem. Concr. Compos. 2018, 93, 140–154. [Google Scholar] [CrossRef]
- Forsdyke, J.C.; Lees, J.M. Model fitting to concrete carbonation data with non-zero initial carbonation depth. Mater. Struct. 2023, 56, 22. [Google Scholar] [CrossRef]
- Fuhaid, A.F.A.; Niaz, A. Carbonation and corrosion problems in reinforced concrete structures. Buildings 2022, 12, 586. [Google Scholar] [CrossRef]
- Jeong, H.; Jung, B.J.; Kim, J.H.; Seo, S.Y.; Kim, K.S. Development and assessment of Nile blueimmobilized pH sensor to monitor the early stage of concrete carbonation. J. Build. Eng. 2022, 62, 105319. [Google Scholar] [CrossRef]
- Lele, H.R.F.; Beushausen, H.; Alexander, M.G. A practical carbonation model for service life design of reinforced concrete structures. Sci. Afr. 2023, 20, e01677. [Google Scholar]
- Xu, Z.; Zhang, Z.; Huang, J.; Yu, K.; Zhong, G.; Chen, F.; Chen, X.; Yang, W.; Wang, Y. Effects of temperature, humidity and CO2 concentration on carbonation of cement-based materials: A review. Constr. Build. Mater. 2022, 346, 128399. [Google Scholar] [CrossRef]
- Xiao, S.; Su, G.; Tang, M.; Chu, X.; Zhou, J.; Hu, H.; Zhu, W.; Zhang, S. Review on Durability of Concrete in Chloride and Sulfate Environments. Concrete 2022, 1, 41–45. [Google Scholar]
- Liang, Y.; Ren, S.; Geng, D.; Shangguan, X. Study on Vertical Bearing Capacity and Settlement Algorithm of Large-Diameter Variable-Section Piles. J. East China Jiaotong Univ. 2009, 26, 34–38. [Google Scholar]
- Xu, H.; He, J.; Xu, Q.; Zhan, S.; Li, Y.; Liu, C. Study on the Influence of Accelerated Aging and Corrosion Tests on the Durability of Concrete Coatings. New Build. Mater. 2023, 50, 48–55+73. [Google Scholar]
- Song, J. Research on Durability Design of Bridge Pile Foundations in Strong Erosion and Corrosion Environments. Railw. Constr. Technol. 2024, 1, 105–109+175. [Google Scholar]
- Lok, T.S.; Zhao, P.J. Impact response of steel fiber-reinforced concrete using a split Hopkinson pressure bar. J. Mater. Civ. Eng. 2004, 16, 54–59. [Google Scholar] [CrossRef]
- The Major Consultation Project “Research on Corrosion Status and Control Strategies in China” Successfully Concluded and Published Its Findings. Surf. Eng. Remanuf. 2017, 17, 62. Available online: https://www.cas.cn/yx/201706/t20170607_4604188.shtml (accessed on 20 November 2024).
- Ma, X.; Zheng, M.; Xu, W.; Lu, D.; Ma, F.; Hou, B. Research on Corrosion Costs and Control Strategies. Mar. Sci. 2021, 45, 161–168. [Google Scholar]
- Qi, D.; Wang, Y.; Wang, Z.; He, C. Cement Still Needs Continuous Improvement in the Production and Development of Human Society. China Build. Mater. 2022, 1, 117–121. [Google Scholar] [CrossRef]
- Sergi, G.; Yu, S.W.; Page, C.L. Diffusion of chloride and hydroxyl ions in cementitious materials exposed to a saline environment. Mag. Concr. Res. 1992, 44, 63–69. [Google Scholar] [CrossRef]
- Mangat, P.S.; Molloy, B.T. Prediction of free chloride concentration in concrete using routine inspection data. Mag. Concr. Res. 1994, 46, 279–287. [Google Scholar] [CrossRef]
- Berke, N.S.; Hicks, M.C. Predicting chloride profiles in concrete. Corros. Eng. 1994, 50, 234–239. [Google Scholar] [CrossRef]
- Tang, L. Electrical accelerated methods for determining chloride diffusivity in concrete: Current development. Mag. Concr. Res. 1996, 48, 173–179. [Google Scholar] [CrossRef]
- Wee, T.H.; Wong, S.F.; Swaddiwudhiping, S.; Lee, S.L. A prediction method for long-term chloride concentration profiles in hardened cement matrix materials. ACI Mater. J. 1997, 94, 565–576. [Google Scholar]
- Onyejekwe, O.O.; Reddy, N. A numerical approach to the study of chloride ion penetration into concrete. Mag. Concr. Res. 2000, 52, 243–250. [Google Scholar] [CrossRef]
- Wang, Y.; Li, L.; Page, C.L. Modelling of chloride ingress into concrete from a saline environment. Build. Environ. 2005, 40, 1573–1582. [Google Scholar] [CrossRef]
- Yu, H.; Sun, W.; Ma, H. Research on Theoretical Models of Chloride Ion Diffusion in Concrete I—Non-steady State Homogeneous and Non-homogeneous Diffusion Problems Based on Infinite Bodies. J. Nanjing Univ. Aeronaut. Astronaut. 2009, 41, 276–280. [Google Scholar] [CrossRef]
- Liu, F.; Song, Z.; Pan, R.; Jin, W. Applicability of Fick’s Second Law in Describing Chloride Ion Concentration Distribution in Concrete. China Concr. Cem. Prod. 2005, 4, 7–10. [Google Scholar] [CrossRef]
- Yuan, Y. Analytical Study on Chloride Ion Diffusion in Concrete Structures. Master’s Thesis, Guangxi University, Nanning, China, 2015. [Google Scholar]
- Funahashi, M. Predicting corrosion-free service life of a concrete structure. ACI Mater. J. 1990, 87, M62. [Google Scholar]
- Prezzi, M.; Geyskens, P.; Monteiro PJ, M. Reliability approach to service life prediction of concrete exposed to marine environments. Mater. J. 1996, 93, 544–552. [Google Scholar]
- Mangat, P.S.; Limbachiya, M.C. Effect of initial curing on chloride diffusion in concrete repair materials. Cem. Concr. Res. 1999, 29, 1475–1485. [Google Scholar] [CrossRef]
- Yu, H.; Sun, W.; Yan, L.; Ma, H. Research on Prediction Methods for the Service Life of Concrete I—Theoretical Model. J. Chin. Ceram. Soc. 2002, 6, 686–690. [Google Scholar]
- Maage, M.; Helland, S.; Carlsen, J.E. Chloride Penetration in High-Performance Concrete Exposed to Marine Environments; Science Press: Beijing, China, 1998; p. 1182127. [Google Scholar]
- Luping, T.; Nilsson, L.O. Chloride diffusivity in high strength concrete at different ages. Nord. Concr. Res. 1992, 11, 162–171. [Google Scholar]
- Mangat, P.S.; Molloy, B.T. Prediction of long term chloride concentration in concrete. Mater. Struct. 1994, 27, 338–346. [Google Scholar] [CrossRef]
- Yu, H.; Sun, W.; Ma, H. Research on Theoretical Models of Chloride Ion Diffusion in Concrete II—Non-steady State Homogeneous and Non-homogeneous Diffusion Problems Based on Finite Bodies. J. Nanjing Univ. Aeronaut. Astronaut. 2009, 41, 408–413. [Google Scholar] [CrossRef]
- Luping, T.; Gulikers, J. On the mathematics of time-dependent apparent chloride diffusion coefficient in concrete. Cem. Concr. Res. 2007, 37, 589–595. [Google Scholar] [CrossRef]
- Wu, Y.; Zhu, Y.; Liu, J. Analysis of the Time-Varying Law of Chloride Diffusion Coefficient in Concrete and the Applicability of Calculation Models. J. Hydroproj. 2012, 3, 50–55. [Google Scholar] [CrossRef]
- Zheng, S.; Liang, Z.; Yang, S.; Ming, M.; Han, C. Prediction of Steel Corrosion Degree in Reinforced Concrete (RC) Structures in Offshore Atmospheric Environments. J. Chongqing Univ. 2024, 47, 22–31. [Google Scholar]
- Shakouri, M.; Trejo, D. A time-variant model of surface chloride build-up for improved service life predictions. Cem. Concr. Compos. 2017, 84, 99–110. [Google Scholar] [CrossRef]
- Yang, L.; Cai, R.; Yu, B. Formation Mechanism and Multi-Factor Model of Chloride Ion Concentration on Concrete Surfaces in Marine Atmospheric Zones. China Civ. Eng. J. 2017, 50, 46–55. [Google Scholar]
- Peng, J.; Cai, M.; Zhang, J.; Hu, S.; Liu, Y. Prediction Model of Chloride Ion Concentration on Concrete Surface Based on Linear Increment. J. Highw. Transp. Res. Dev. 2015, 32, 94–99. [Google Scholar]
- Zhou, S. Analytical model for square root increase of surface chloride concentration and decrease of chloride diffusivity. J. Mater. Civ. Eng. 2016, 28, 04015181. [Google Scholar] [CrossRef]
- Fjendbo, S.; Sørensen, H.E.; De Weerdt, K.; Geiker, M.R. The square root method for chloride ingress prediction—Applicability and limitations. Mater. Struct. 2021, 54, 61. [Google Scholar] [CrossRef]
- Cai, R. Research on a Multi-Factor Computational Model for Chloride Ion Concentration on Concrete Surfaces in Marine Environments. Ph.D. Thesis, Guangxi University, Nanning, China, 2017. [Google Scholar]
- Wang, Z.; Yang, D.; Li, P. Research on Chloride Ion Diffusion Model Based on the Time-Varying Chloride Ion Concentration on Concrete Surface. Concrete 2016, 125, 29–33. [Google Scholar]
- Cai, R.; Yang, L.; Yu, B. Calculation Model for Chloride Ion Concentration on Concrete Surface in Marine Tidal Splash Zone. Ocean Eng. 2014, 32, 25–33. [Google Scholar] [CrossRef]
- Zhao, Y.; Wang, C.; Jin, W.; Xu, C. Experimental Study on the Time-Varying Law of Chloride Ion Concentration on Concrete Surface. J. Civ. Archit. Environ. Eng. 2010, 32, 8–13. [Google Scholar]
- Krogh, A. What are artificial neural networks? Nat. Biotechnol. 2008, 26, 195–197. [Google Scholar] [CrossRef]
- Gavalas, G.R. Nonlinear Differential Equations of Chemically Reacting Systems; Springer Science & Business Media: Berlin/Heidelberg, Germany, 2013; Volume 17. [Google Scholar]
- GB/T 50344-2019; Technical Standard for Building Structure Testing. Academy of Building Research Co., Ltd.: Beijing, China, 2017.
- Moradllo, K.M.; Shekarchi, M.; Hoseini, M. Time-dependent performance of concrete surface coatings in tidal zone of marine environment. Constr. Build. Mater. 2012, 30, 198–205. [Google Scholar] [CrossRef]
- Ann, K.; Ahn, J.; Ryou, J. The importance of chloride content at the concrete surface in assessing the time to corrosion of steel in concrete structures. Constr. Build. Mater. 2007, 23, 239–245. [Google Scholar] [CrossRef]
- Govindaraju, S.R. ASCE Task Committee on Application of Artificial Neural Networks in Hydrology. Artificial neural networks in hydrology. I: Preliminary concepts. J. Hydrol. Eng. 2000, 5, 115–123. [Google Scholar]
- Wang, X.D.; Ouyang, P. A review of the application of artificial neural networks in the field of concrete structures. Low Temp. Build. Technol. 2022, 44, 75–78. [Google Scholar]
- Topcu, I.B.; Sarıdemir, M. Prediction of properties of waste AAC aggregate concrete using artificial neural network. Comput. Mater. Sci. 2007, 41, 117–125. [Google Scholar] [CrossRef]
- Jin, L.; Dong, T.; Fan, T.; Duan, J.; Yu, H.; Jiao, P.; Zhang, W. Prediction of the chloride diffusivity of recycled aggregate concrete using artificial neural network. Mater. Today Commun. 2022, 32, 104137. [Google Scholar] [CrossRef]
- Liu, Q.-F.; Iqbal, M.F.; Yang, J.; Lu, X.-Y.; Zhang, P.; Rauf, M. Prediction of chloride diffusivity in concrete using artificial neural network: Modelling and performance evaluation. Constr. Build. Mater. 2021, 268, 121082. [Google Scholar] [CrossRef]
- Shaban, W.M.; Elbaz, K.; Zhou, A.; Shen, S.-L. Physics-informed deep neural network for modeling the chloride diffusion in concrete. Eng. Appl. Artif. Intell. 2023, 125, 106691. [Google Scholar] [CrossRef]
- Asghshahr, M.S.; Rahai, A.; Ashrafi, H. Prediction of chloride content in concrete using ANN and CART. Mag. Concr. Res. 2016, 68, 1085–1098. [Google Scholar] [CrossRef]
- Delgado, J.; Silva, F.; Azevedo, A.; Silva, D.; Campello, R.; Santos, R. Artificial neural networks to assess the useful life of reinforced concrete elements deteriorated by accelerated chloride tests. J. Build. Eng. 2020, 31, 101445. [Google Scholar] [CrossRef]
- Mohamed, O.; Kewalramani, M.; Ati, M.; Al Hawat, W. Application of ANN for prediction of chloride penetration resistance and concrete compressive strength. Materialia 2021, 17, 101123. [Google Scholar] [CrossRef]
- Zhu, Y.; Macdonald, D.D.; Qiu, J.; Urquidi-Macdonald, M. Corrosion of rebar in concrete. Part III: Artificial Neural Network analysis of chloride threshold data. Corros. Sci. 2021, 185, 109438. [Google Scholar] [CrossRef]
- Dharwal, R.; Kaur, L. Applications of artificial neural networks: A review. Indian J. Sci. Technol. 2016, 9, 1–8. [Google Scholar] [CrossRef]
- Ding, S.; Li, H.; Su, C.; Yu, J.; Jin, F. Evolutionary artificial neural networks: A review. Artif. Intell. Rev. 2013, 39, 251–260. [Google Scholar] [CrossRef]
- Walczak, S. Artificial neural networks. In Advanced Methodologies and Technologies in Artificial Intelligence, Computer Simulation, and Human-Computer Interaction; IGI Global: Hershey, PA, USA, 2019; pp. 40–53. [Google Scholar]
- Ioffe, S. Batch normalization: Accelerating deep network training by reducing internal covariate shift. arXiv 2015, arXiv:1502.03167. [Google Scholar]
- Zoph, B.; Le, V.Q. Neural Architecture Search with Reinforcement Learning. arXiv 2016, arXiv:1611.01578. [Google Scholar]
- Yang, X.; Yu, J.; Dong, Z.; Zhao, A.; Wei, T. Research on Concrete Carbonation Depth Prediction Algorithm Based on BP-AR. IOP Conf. Ser. Earth Environ. Sci. 2019, 242, 062019. [Google Scholar] [CrossRef]
- Zheng, W.; Cai, J. A optimum prediction model of chloride ion diffusion coefficient of machine-made sand concrete based on different machine learning methods. Constr. Build. Mater. 2024, 411, 134414. [Google Scholar] [CrossRef]
- Yao, L.; Ren, L.; Gong, G. Evaluation of chloride diffusion in concrete using PSO-BP and BP neural network. IOP Conf. Ser. Earth Environ. Sci. 2021, 687, 012037. [Google Scholar] [CrossRef]
- Li, X.; Ke, S.; Li, Y.; Jin, W.; Fu, X.; Fu, G.; Bi, W. Temperature compensation based on BP neural network with small sample data for chloride ions optical fiber probe. Opt. Laser Technol. 2024, 176, 110973. [Google Scholar] [CrossRef]
- Feng, Q.; Xie, X.; Wang, P.; Qiao, H.; Zhang, Y.; Ma, Y. Prediction of durability of reinforced concrete based on hybrid-Bp neural network. Constr. Build. Mater. 2024, 425, 136091. [Google Scholar] [CrossRef]
- Fan, C.Y.; Chang, P.C.; Lin, J.J.; Hsieh, J.C. A hybrid model combining case-based reasoning and fuzzy decision tree for medical data classification. Appl. Soft Comput. 2011, 11, 632–644. [Google Scholar] [CrossRef]
- Tung, K.Y.; Huang, C.; Chen, S.L.; Shih, C.T. Mining the Generation Xers’ job attitudes by artificial neural network and decision tree—Empirical evidence in Taiwan. Expert Syst. Appl. 2005, 29, 783–794. [Google Scholar] [CrossRef]
- Yu, Z.; Haghighat, F.; Fung, B.C.; Yoshino, H. A decision tree method for building energy demand modeling. Energy Build. 2010, 42, 1637–1646. [Google Scholar] [CrossRef]
- Deng, C.; Zheng, Y.; Liu, F.; Wu, P. Research and Exploration on Concrete Rebound Strength Curve in Shenzhen Area Based on Decision Tree Algorithm. Build. Superv. Test. Cost 2022, 15, 36–41. [Google Scholar]
- Wang, X.; Yang, Q.; Peng, X.; Qin, F. A Review of Concrete Carbonation Depth Evaluation Models. Coatings 2024, 14, 386. [Google Scholar] [CrossRef]
- Tso, G.K.F.; Yau, K.K.W. Predicting electricity energy consumption: A comparison of regression analysis, decision tree and neural networks. Energy 2007, 32, 1761–1768. [Google Scholar] [CrossRef]
- Khan, M.; Khan, A.U.; Houda, M.; El Hachem, C.; Rasheed, M.; Anwar, W. Optimizing durability assessment: Machine learning models for depth of wear of environmentally-friendly concrete. Results Eng. 2023, 20, 101625. [Google Scholar] [CrossRef]
- Tran, A.T.; Le, T.H.; Nguyen, M.H. Forecast of surface chloride concentration of concrete utilizing ensemble decision tree boosted. J. Sci. Transp. Technol. 2022, 2, 42–53. [Google Scholar] [CrossRef]
- Golafshani, E.M.; Kashani, A.; Arashpour, M. Chloride diffusion modeling of concrete using tree-based forest models. Struct. Concr. 2023, 24, 5614–5634. [Google Scholar] [CrossRef]
- Cai, R.; Han, T.; Liao, W.; Huang, J.; Li, D.; Kumar, A.; Ma, H. Prediction of surface chloride concentration of marine concrete using ensemble machine learning. Cem. Concr. Res. 2020, 136, 106164. [Google Scholar] [CrossRef]
- Breiman, L. Random forests. Mach. Learn. 2001, 45, 5–32. [Google Scholar] [CrossRef]
- Hong, W.C.; Pai, P.F. Potential assessment of the support vector regression technique in rainfall forecasting. Water Resour. Manag. 2007, 21, 495–513. [Google Scholar] [CrossRef]
- Chen, Z.; Lin, J.; Sagoe-Crentsil, K.; Duan, W. Development of hybrid machine learning-based carbonation models with weighting function. Constr. Build. Mater. 2022, 321, 126359. [Google Scholar] [CrossRef]
- Uwanuakwa, I.D. Deep learning modelling and generalisation of carbonation depth in fly ash blended concrete. Arab. J. Sci. Eng. 2021, 46, 4731–4746. [Google Scholar] [CrossRef]
- Suthaharan, S.; Suthaharan, S. Support vector machine. In Machine Learning Models and Algorithms for Big Data Classification: Thinking with Examples for Effective Learning; Springer: Boston, MA, USA, 2016; pp. 207–235. [Google Scholar]
- Jun, Z. The development and application of support vector machine. J. Phys. Conf. Ser. IOP Publ. 2021, 1748, 052006. [Google Scholar] [CrossRef]
- Taffese, W.Z.; Espinosa-Leal, L. A machine learning method for predicting the chloride migration coefficient of concrete. Constr. Build. Mater. 2022, 348, 128566. [Google Scholar] [CrossRef]
- DeRousseau, M.; Kasprzyk, J.; Srubar Iii, W. Computational design optimization of concrete mixtures: A review. Cem. Concr. Res. 2018, 109, 42–53. [Google Scholar] [CrossRef]
- Çevik, A.; Kurtoğlu, A.E.; Bilgehan, M.; Gülşan, M.E.; Albegmprli, H.M. Support vector machines in structural engineering: A review. J. Civ. Eng. Manag. 2015, 21, 261–281. [Google Scholar] [CrossRef]
- Chaabene, W.B.; Flah, M.; Nehdi, M.L. Machine learning prediction of mechanical properties of concrete: Critical review. Constr. Build. Mater. 2020, 260, 119889. [Google Scholar] [CrossRef]
- Zhang, K.; Zhang, K.; Bao, R.; Liu, X. A framework for predicting the carbonation depth of concrete incorporating fly ash based on a least squares support vector machine and metaheuristic algorithms. J. Build. Eng. 2023, 65, 105772. [Google Scholar] [CrossRef]
- Sun, Z.; Li, Y.; Li, Y.; Su, L.; He, W. Prediction of chloride ion concentration distribution in basalt-polypropylene fiber reinforced concrete based on optimized machine learning algorithm. Mater. Today Commun. 2023, 36, 106565. [Google Scholar] [CrossRef]
- Zewdu, W.T.; Leonardo, E. Prediction of chloride resistance level of concrete using machine learning for durability and service life assessment of building structures. J. Build. Eng. 2022, 60, 105146. [Google Scholar]



| Model | Cement Content (kg/m3) | Water–Cement Ratio | Aggregate Content (kg/m3) | Fly Ash Content (%) | Slag Powder Content (%) |
|---|---|---|---|---|---|
| Reference [25] | 350 | 0.5 | 1900 | 10 | 0 |
| Reference [38] | 380 | 0.45 | 1950 | 12 | 8 |
| Reference [40] | 400 | 0.4 | 2000 | 20 | 15 |
| Reference [54] | 370 | 0.48 | 1940 | 10 | 10 |
| Model | Application Scope and Reliability |
|---|---|
| The model in reference [25]: : the concentration of at the erosion depth at the erosion age ; : the initial concentration of ; : the surface concentration of ; : the diffusion coefficient of : the Gaussian error function. |
|
| The model in reference [38]: : the initial chloride ion concentration within the concrete; : the chloride ion concentration at the exposed surface of the concrete; : error function; : the coefficient of deterioration in the chloride diffusion performance of the concrete : the chloride diffusion coefficient of the concrete measured at the hydration age; : experimental constant : the hydration age of the concrete |
|
| The model in reference [40]: : the concentration of at the erosion depth at the erosion age : the surface concentration of : error function; : the chloride diffusion coefficient of the concrete measured at the hydration age; : the hydration age of the concrete |
|
| The model in reference [43]: :the surface concentration of : error function; : Depth; : Time |
|
| The model in reference [54]: : the chloride ion concentration at position and time : the stabilized surface chloride ion concentration : the coefficient representing the influence of water–cement ratio on the stabilized surface chloride ion concentration : the impact of sulfate ions on the chloride ion concentration on the concrete surface : error function; : the chloride diffusion coefficient of the concrete measured at the hydration age; |
|
| Model | SVM | DT | ANN |
|---|---|---|---|
| advantage | Suitable for high-dimensional and nonlinear relationships with strong generalization ability. | Highly interpretable, clear structure, and efficient computation. | Strong nonlinear modeling capability, good robustness, suitable for multi-level data. |
| Defect | High computational complexity and sensitive to noise. | Prone to overfitting and sensitive to distribution and noise. | Long training time, poor interpretability, and poor performance with small sample sizes. |
| Applicable scenarios | Prediction of chloride ion concentration for high-dimensional and complex relationships. | Prediction of chloride ion concentration with clear data and strong visualization requirements. | Prediction of chloride ion concentration with multiple factors, large data volumes, and complex nonlinear relationships. |
| Dataset Size | Small to medium-sized datasets (hundreds to thousands of samples) | Small to large datasets (hundreds to tens of thousands of samples) | Medium to large datasets (thousands to millions of samples) |
Disclaimer/Publisher’s Note: The statements, opinions and data contained in all publications are solely those of the individual author(s) and contributor(s) and not of MDPI and/or the editor(s). MDPI and/or the editor(s) disclaim responsibility for any injury to people or property resulting from any ideas, methods, instructions or products referred to in the content. |
© 2025 by the authors. Licensee MDPI, Basel, Switzerland. This article is an open access article distributed under the terms and conditions of the Creative Commons Attribution (CC BY) license (https://creativecommons.org/licenses/by/4.0/).
Share and Cite
Ma, J.; Yang, Q.; Wang, X.; Peng, X.; Qin, F. Review of Prediction Models for Chloride Ion Concentration in Concrete Structures. Buildings 2025, 15, 149. https://doi.org/10.3390/buildings15010149
Ma J, Yang Q, Wang X, Peng X, Qin F. Review of Prediction Models for Chloride Ion Concentration in Concrete Structures. Buildings. 2025; 15(1):149. https://doi.org/10.3390/buildings15010149
Chicago/Turabian StyleMa, Jiwei, Qiuwei Yang, Xinhao Wang, Xi Peng, and Fengjiang Qin. 2025. "Review of Prediction Models for Chloride Ion Concentration in Concrete Structures" Buildings 15, no. 1: 149. https://doi.org/10.3390/buildings15010149
APA StyleMa, J., Yang, Q., Wang, X., Peng, X., & Qin, F. (2025). Review of Prediction Models for Chloride Ion Concentration in Concrete Structures. Buildings, 15(1), 149. https://doi.org/10.3390/buildings15010149

