Shear Performance of Prefabricated Steel Ultra-High-Performance Concrete (UHPC) Composite Beams under Combined Tensile and Shear Loads: Single Embedded Nut Bolts vs. Studs
Abstract
1. Introduction
2. Experimental Program
2.1. Specimen Details and Preparation
2.2. Material Properties
2.3. Test Setup and Instruments
3. Discussion of the Results of the Experiment
3.1. Typical Failure Modes
3.2. Relationship between Load and Interfacial Slip
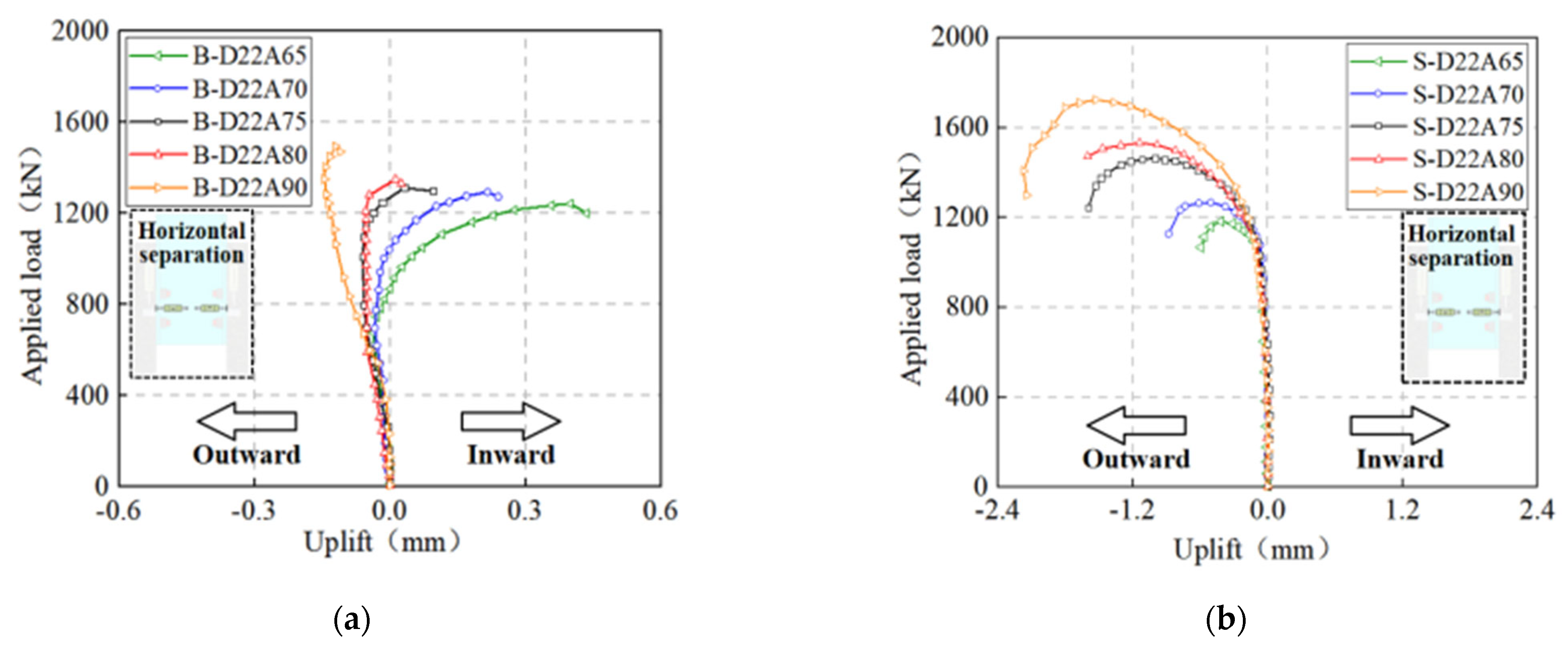
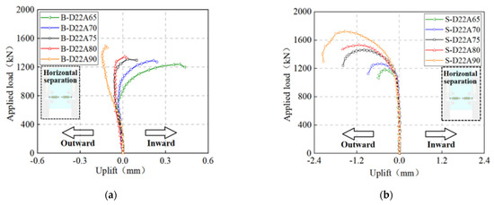
3.3. Relationship between Load and Interface Bulge
3.4. Shear Properties of SENBs and Studs in Prefabricated Steel-UHPC Composite Beams
3.4.1. Comparison between SENBs and Studs
3.4.2. Effect of Sample Tensile Shear Ratio
4. Design Recommendations
4.1. Ultimate Shear Capacity
4.2. Load-Slip Relation
4.2.1. Load-Slip Relation for SENBs
4.2.2. Load-Slip Relation for Studs
5. Conclusions
- (1)
- For the Series I samples, shear fracture occurred in single embedded nut bolts in precast UHPC slabs, and single embedded nut bolts with different tensile-to-shear ratios exhibited a four-stage load-slip behavior. As the tension-shear ratio increased, the shear force carried by the bolt holes decreased, the deformation on the bolt holes decreased, and the thread penetration on the steel beam was weakened.
- (2)
- For the Series II samples, there were no substantial variations in the damage patterns of the shear connectors with different tension-shear ratios. The damage on the precast slabs was dominated by compression collapse, with significant concrete crushing and localized spalling ahead of the bolt roots on the inner surface of the precast panels. As the tension-to-shear ratio and the tension force on the bolts increased, the crack development on the surface of the UHPC slab became more pronounced.
- (3)
- In the two series of compression test samples with the same tensile-to-shear ratio, there was a deviation of approximately 13%, 12%, 10%, 2%, and 5% between their ultimate shear capacities. The series I samples exhibited reduced shear rigidity compared to the series II samples. Furthermore, the series I samples exhibited greater slip values than the series II samples. A comparison of the shear rigidity of the two series of samples revealed that the original rigidity of Series I was less than that of Series II. Furthermore, the degree of slip exhibited by the former was observed to be greater than that observed in the latter series.
- (4)
- A significant negative correlation was observed between the tensile-shear ratio and the ultimate shear capacity, shear stiffness, and ductility of the samples. An increase in the tensile-shear ratio from 0 to 0.47 resulted in a 16.9% decline in the ultimate shear capacity, a 30.4% reduction in the initial shear stiffness, and a 21.7% decrease in the ductility of the Series I samples. However, an increase in the tensile-to-shear ratio of the Series II samples from 0 to 0.47 resulted in a 31.3% decline in ultimate shear strength, a 33.2% decline in initial shear stiffness, and a 41.9% decline in ductility.
- (5)
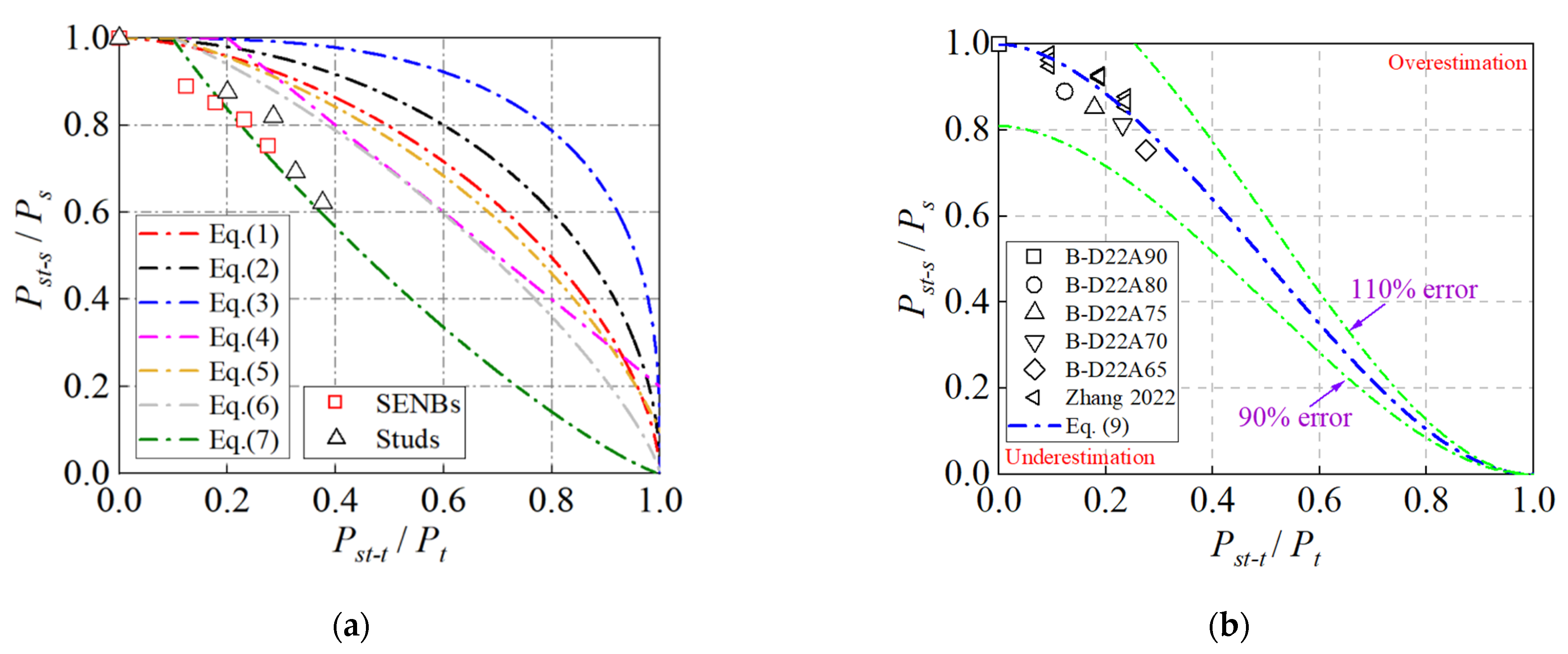
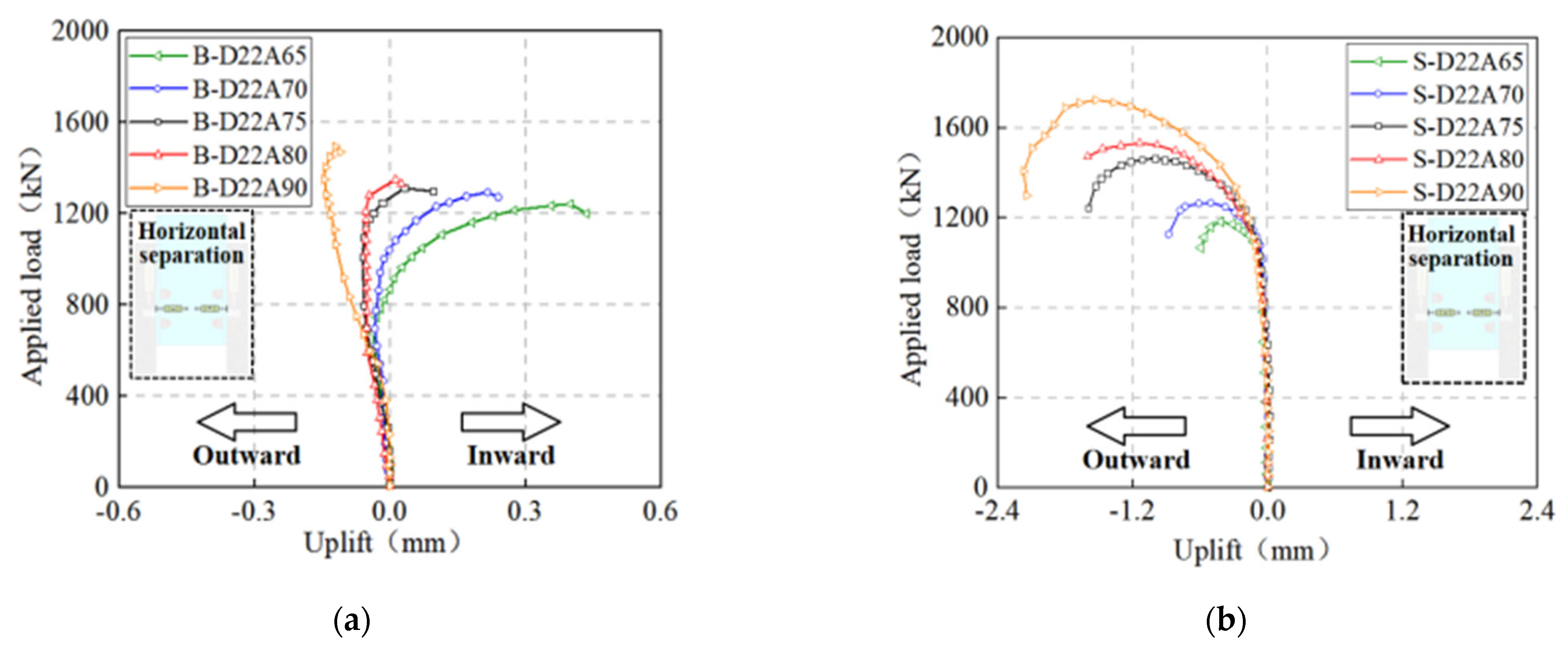
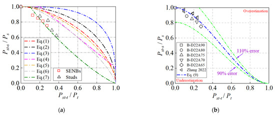
- The prevailing design-oriented models were unable to provide an accurately predictive framework for the test results of a single embedded nut bolt under tensile-shear loads. Based on the existing experimental data, more accurate models were derived to forecast the tension-shear relationships and load-slip characteristics of single embedded nut bolts in prefabricated steel-UHPC composite beams, with quadratic correlation coefficients R2, both of which are 0.99. In addition, the tension-shear relationships and load-slip curves of single embedded nut bolts in prefabricated steel-UHPC composite beams could be predicted by using the existing model for studs in prefabricated steel-UHPC composite beams.
- (6)
- In practical engineering, connectors with a small tensile-to-shear ratio were introduced, which could increase the shear strength, stiffness, and ductility. For crack patterns, insignificant concrete crushing and spalling were caused by SENBs, which could effectively exploit the material porosities of precast steel-UHPC composite beams. As a comparable connector, SENBs were recommended in practical engineering. Due to the deviation of the experiment, the results of this study should be verified further by more research. In the future, more and more specimens and test parameters should be introduced to investigate the shear performance of precast steel-UHPC composite beams under combined tension-shear loads.
Author Contributions
Funding
Data Availability Statement
Conflicts of Interest
Nomenclature
| UHPC | ultra-high-performance concrete | SENBs | single embedded nut bolts |
| NC | normal concrete | ABC | accelerated beam construction |
| HSFGB | high-strength friction-grip bolts | fc’ | compressive strength |
| ft’ | split tensile strength | Ec | modulus of elasticity |
| v | Poisson’s ratio | Es | modulus of elasticity |
| fy | yield strength | fu | corresponding tensile strength |
| ultimate shear capacity | k | Initial shear stiffness | |
| Su | Silp capacity | Uu | Uplift at Pu |
| tensile component of the shear bond subjected to the combined tensile-shear load | shear component of the shear bond subjected to the combined tensile-shear load | ||
| ultimate load carrying capacity of the push-out sample under the combined tensile-shear load | the ultimate shear resistance of the push-out sample under a pure shear load | ||
| ultimate tensile resistance of the push-out sample under a pure tensile load | number of bolts in the sample | ||
| cross-sectional area of the shear connector embedded in the UHPC | α | undetermined coefficients | |
| β | undetermined coefficients | P | load |
| S | slip | Pnorm | normalized load |
| Snorm | normalized slip | diameter of the bolt |
References
- Cao, X.Y.; Shi, J.Z.; Xu, J.G.; Ji, E.Y.; She, Y.B.; Wang, Z. The combined influence of bond–slip and joint-shear in the seismic upgrading via externally-attached BFRP-bar reinforced precast sub-frames. J. Build. Eng. 2023, 80, 107984. [Google Scholar] [CrossRef]
- He, S.H.; Huang, X.; Zou, L.Q.; Zheng, C.; Xin, H.H.; Liang, J.S. Performance assessment of channel beam bridges with hollow track bed decks. Structures 2024, 61, 105988. [Google Scholar] [CrossRef]
- He, S.H.; Lv, B.T.; Huang, X.; Zou, L.Q.; Zhou, D.F. Cracking performance in the hogging moment region of HSS-UHPC continuous composite girder bridges. Structures 2024, 61, 106081. [Google Scholar] [CrossRef]
- Yang, Z.M.; Pan, H.S.; Jiang, Z.X.; Lv, J.H.; Ruan, G.W.; Lai, H.M.; Lin, J.X. Pseudo strain-hardening alkali-activated composites with up to 100% rubber aggregate: Static mechanical properties analysis and constitutive model development. Constr. Build. Mater. 2024, 439, 137338. [Google Scholar] [CrossRef]
- Xiao, J.; Zeng, H.; Huang, H.; Liu, L.; Li, L.; Yuan, B.; Zhong, Z. Experimental Investigation on the Influence of Strength Grade on the Surface Fractal Dimension of Concrete under Sulfuric Acid Attack. Buildings 2024, 14, 713. [Google Scholar] [CrossRef]
- Cao, X.Y.; Feng, D.C.; Wang, C.L.; Shen, D.J.; Wu, G. A stochastic CSM-based displacement-oriented design strategy for the novel precast SRC-UHPC composite braced-frame in the externally attached seismic retrofitting. Compos. Struct. 2023, 321, 117308. [Google Scholar] [CrossRef]
- Wang, J.Q.; Xu, Q.Z.; Yao, Y.M.; Qi, J.N.; Xiu, H.L. Static behavior of grouped large headed stud-UHPC shear connectors in composite structures. Compos. Struct. 2018, 206, 202–214. [Google Scholar] [CrossRef]
- Zou, Y.; Zheng, K.D.; Zhou, Z.X.; Zhang, Z.Y.; Guo, J.C.; Jiang, J.L. Experimental study on flexural behavior of hollow steel-UHPC composite bridge deck. Eng. Struct. 2023, 274, 115087. [Google Scholar] [CrossRef]
- Cao, J.H.; Shao, X.D.; Deng, L.; Gan, Y.D. Static and fatigue behavior of short-headed studs embedded in a thin ultrahigh-performance concrete layer. J. Bridg. Eng. 2017, 22, 4017005. [Google Scholar] [CrossRef]
- Fang, S.; Zhang, S.F.; Cao, Z.P.; Zhao, G.F.; Fang, Z.C.; Ma, Y.H.; Jiang, H.B. Effects of stud aspect ratio and cover thickness on push-out performance of thin full-depth precast UHPC slabs with grouped short studs: Experimental evaluation and design considerations. J. Build. Eng. 2023, 67, 105910. [Google Scholar] [CrossRef]
- He, S.H.; Yang, G.; Jiang, Z.; Wang, Q.; Dong, Y. Effective width evaluation for HSS-UHPC composite beams with perfobond strip connectors. Eng. Struct. 2023, 295, 116828. [Google Scholar] [CrossRef]
- Lin, J.X.; Luo, R.H.; Su, J.Y.; Guo, Y.C.; Chen, W.S. Coarse synthetic fibers (PP and POM) as a replacement to steel fibers in UHPC: Tensile behavior, environmental and economic assessment. Constr. Build. Mater. 2024, 412, 134654. [Google Scholar] [CrossRef]
- Xiong, Z.; Wei, W.; He, S.H.; Liu, F.; Luo, H.W.; Li, L.J. Dynamic bond behaviour of fibre-wrapped basalt fibrereinforced polymer bars embedded in sea sand and recycled aggregate concrete under high-strain rate pull-out tests. Constr. Build. Mater. 2021, 276, 122195. [Google Scholar] [CrossRef]
- Zhang, Y.J.; Liu, A.R.; Chen, B.C.; Zhang, J.P.; Pi, Y.L.; Bradford, M.A. Experimental and numerical study of shear connection in composite beams of steel and steel-fibre reinforced concrete. Eng. Struct. 2020, 215, 110707. [Google Scholar] [CrossRef]
- Jiang, H.B.; Fang, H.Z.; Wu, J.P.; Fang, Z.C.; Fang, S.; Chen, G.F. Push-out tests on demountable high-strength friction-grip bolt shear connectors in steel-precast UHPC composite beams for accelerated bridge construction. Steel Compos. Struct. 2022, 45, 797–818. [Google Scholar]
- Fang, Z.C.; Hu, L.K.; Jiang, H.B.; Fang, S.; Zhao, G.F.; Jiang, H.B. Shear performance of high-strength friction-grip bolted shear connector in prefabricated steel–UHPC composite beams: Finite element modelling and parametric study. Case Stud. Constr. Mater. 2023, 18, e01860. [Google Scholar] [CrossRef]
- Dieng, L.; Marchand, P.; Gomes, F.; Tessier, C.; Toutlemonde, F. Use of UHPFRC overlay to reduce stresses in orthotropic steel decks. J. Constr. Steel Res. 2013, 89, 30–34. [Google Scholar] [CrossRef]
- Fang, Z.C.; Jiang, H.B.; Chen, G.F.; Dong, X.T.; Shao, T.F. Behavior of grouped stud shearconnectors between precast high-strength concrete slabs and steel beams. Steel Compos. Struct. 2020, 34, 837–854. [Google Scholar]
- Pavlovic, M.; Markovic, Z.; Veljkovic, M.; Bucfevac, D. Bolted shear connectors vs. headed studs behaviour in push-out tests. J. Constr. Steel Res. 2013, 88, 134–149. [Google Scholar] [CrossRef]
- Fang, Z.C.; Zhang, S.F.; Wu, J.P.; Ma, Y.H.; Fang, S.; Zhao, G.F.; Jiang, H.B. Experimental and numerical study on shear performance of grouped bolt-UHPC pocket connections under static loading. J. Build. Eng. 2023, 76, 106966. [Google Scholar] [CrossRef]
- Fang, Z.C.; Liang, W.B.; Fang, H.Z.; Jiang, H.B.; Wang, S.D. Experimental investigation on shear behavior of high-strength friction-grip bolt shear connectors in steel-precast UHPC composite structures subjected to static loading. Eng. Struct. 2021, 244, 112777. [Google Scholar]
- Fang, Z.C.; Wu, J.J.; Xu, X.Q.; Ma, Y.H.; Fang, S.; Zhao, G.F.; Jiang, H.B. Grouped rubber-sleeved studs–UHPC pocket connections in prefabricated steel–UHPC composite beams: Shear performance under monotonic and cyclic loading. Eng. Struct. 2024, 305, 117781. [Google Scholar] [CrossRef]
- Fang, Z.C.; Fang, H.Z.; Li, P.J.; Jiang, H.B.; Chen, G.F. Interfacial shear and flexural performances of steel-precast UHPC composite beams: Full-depth slabs with studs vs. demountable slabs with bolts. Eng. Struct. 2022, 260, 114230. [Google Scholar] [CrossRef]
- Semendary, A.A.; Stefaniuk, H.L.; Yamout, D.; Svecova, D. Static performance of stud shear connectors and UHPC in deck-to-girder composite connection. Eng. Struct. 2022, 255, 103917. [Google Scholar] [CrossRef]
- Zhang, Y.J.; Chen, B.C.; Liu, A.R.; Pi, Y.L.; Zhang, J.P.; Wang, Y.; Zhong, L.C. Experimental study on shear behavior of high strength bolt connection in prefabricated steelconcrete composite beam. Compos. Part B-Eng. 2019, 159, 481–489. [Google Scholar] [CrossRef]
- Zhang, S.; Jia, Y.M.; Ding, Y.X. Study on the Flexural Behavior of Steel-Concrete Composite Beams Based on the Shear Performance of Headed Stud Connectors. Buildings 2022, 12, 961. [Google Scholar] [CrossRef]
- Wu, F.W.; Tang, W.L.; Xue, C.F.; Sun, G.R.; Fen, Y.P.; Zhang, H. Experimental Investigation on the Static Performance of Stud Connectors in Steel-HSFRC Composite Beams. Materials 2021, 14, 2744. [Google Scholar] [CrossRef] [PubMed]
- Chen, J.; Wang, W.; Ding, F.X.; Xiang, P.; Yu, Y.J.; Liu, X.M.; Xu, F.; Yang, C.Q.; Long, S.G. Behavior of an Advanced Bolted Shear Connector in Prefabricated Steel-Concrete Composite Beams. Materials 2019, 12, 2958. [Google Scholar] [CrossRef]
- Deng, P.; Niu, Z.W.; Shi, Y.H.; Liu, Y.; Wang, W.L. Shear Performance of Demountable High-Strength Bolted Connectors: An experimental and Numerical Study Based on Reverse Push-Out Tests. Buildings 2024, 14, 1052. [Google Scholar] [CrossRef]
- Peng, K.; Liu, L.J.; Wu, F.W.; Wang, R.Z.; Lei, S.; Zhang, X.Y. Experimental and Numerical Analyses of Stud Shear Connectors in Steel–SFRCC Composite Beams. Materials 2022, 15, 4665. [Google Scholar] [CrossRef]
- Guo, J.; Zhou, Z.; Zou, Y.; Zhang, Z.; Jiang, J. Finite Element Analysis of Precast Concrete Deck-Steel Beam-Connection Concrete (PCSC) Connectors Using Ultra-High Performance Concrete (UHPC) for the Composite Beam. Buildings 2022, 12, 1402. [Google Scholar] [CrossRef]
- Xue, C.F.; Fan, Z.; Wu, F.W.; Liu, L.J.; He, L.Q.; Cui, X. Research on the Shear Behaviour of Composite Shear Connectors. Buildings 2022, 12, 1726. [Google Scholar] [CrossRef]
- Zhang, Z.; Jin, W.H.; Deng, E.F.; Yu, C.Y.; Wan, W.D.; Duan, C.Z.; Zhang, L.; Wang, S.B. Shear Behavior and Design of Innovative Stud-Reinforced Embedded Shear Connectors with Flanges. Buildings 2024, 14, 632. [Google Scholar] [CrossRef]
- Fang, Z.C.; Wu, J.P.; Xian, B.X.; Zhao, G.F.; Fang, S.; Ma, Y.H.; Jiang, H.B. Shear performance and design recommendations of single embedded nut bolted shear connectors in prefabricated steel–UHPC composite beams. Steel Compos. Struct. 2024, 50, 319–336. [Google Scholar]
- Lin, Z.; Liu, Y.; He, J. Behavior of stud connectors under combined shear and tension loads. Eng. Struct. 2014, 81, 362–376. [Google Scholar] [CrossRef]
- Mirza, O.; Uy, B. Effects of the combination of axial and shear loading on the behaviour of headed stud steel anchors. Eng. Struct. 2010, 32, 93–105. [Google Scholar] [CrossRef]
- Shen, M. Structural Behaviour of Shear Connection in Composite Structures Under Complex Loading. Ph.D. Thesis, The Hong Kong Polytechnic University, Hong Kong, China, 2013. Conditions. [Google Scholar]
- Shen, M.H.; Chung, K.F. Structural Behaviour of Stud Shear Connections with Solid and Composite Slabs Under Co-Existing Shear and Tension Forces. Structures 2017, 9, 79–90. [Google Scholar] [CrossRef]
- Varsani, H.; Tan, E.L.; Singh, B. Behaviour of innovative demountable shear connectors subjected to combined shear and axial tension. Ce/papers 2017, 1, 1948–1955. [Google Scholar] [CrossRef]
- Classen, M.; Herbrand, M.; Adam, V.; Kueres, D.; Sarac, M. Puzzle-shaped rib shear connectors subjected to combined shear and tension. J. Constr. Steel Res. 2018, 145, 232–243. [Google Scholar] [CrossRef]
- Wang, J.Y.; Guo, J.Y.; Jia, L.J.; Chen, S.M.; Dong, Y. Push-out tests of demountable headed stud shear connectors in steel-UHPC composite structures. Compos. Struct. 2017, 170, 69–79. [Google Scholar] [CrossRef]
- McMackin, P.J.; Slutter, R.G.; Fisher, J.W. Headed steel anchors under combined loading. Eng J AISC (Second Quart.) 1973, 10, 43–55. [Google Scholar] [CrossRef]
- Bode, H.; Roik, K. Headed studs-embedded in concrete and loaded in tension. Spec. Publ. 1987, 103, 61–88. [Google Scholar]
- PCI design handbook. In Precast and Prestressed Concrete, 6th ed.; Precast/Prestressed Concrete Institute: Chicago, IL, USA, 2004.
- ACI 318–08; Building Code Requirements for Structure Concrete (ACI 318–08) and commentary (ACI 318R–08). American Concrete Institute: Farmington Hills, MI, USA, 2008.
- JSCE. Standard Speciffcations for Hybrid Structures; Japan Society of Civil Engineers: Tokyo, Japan, 2009. (In Japanese) [Google Scholar]
- Johnson, R.P.; May, I.M. Partial-interaction design of composite beam. Struct. Eng. 1975, 53, 305–311. [Google Scholar]
- Fang, Z.; Fang, S.; Liu, F. Experimental and Numerical Study on the Shear Performance of Short Stud Shear Connectors in Steel–UHPC Composite Beams. Buildings 2022, 12, 418. [Google Scholar] [CrossRef]
- Eurocode 4; Design of Composite Steel and Concrete Structure. Part 2: General Rules for Bridge. European Committee for Standardization: Brussels, Belgium, 2004.
- ASTM C1437-15; Standard Test Method for Flow of Hydraulic Cement Mortar. ASTM International: West Conshohocken, PA, USA, 2015.
- ASTM C29/C29M-16; Standard Test Method for Bulk Density and Voids in Aggregate. ASTM International: West Conshohocken, PA, USA, 2016.
- ASTM C1231/C1231M-15; Standard Practice for Use of Unbond Caps in Determination of Compressive Strength of Hardened Cylindrical Concrete Specimens. ASTM International: West Conshohocken, PA, USA, 2015.
- ASTM C469/C469M-14; Standard Test Method for Static Modulus of Elasticity and Poisson’s Ratio of Concrete in Compression. ASTM International: West Conshohocken, PA, USA, 2014.
- ASTM C496/C496M-11; Standard Test Method for Splitting Tensile Strength of Cylindrical Concrete Specimens. ASTM International: West Conshohocken, PA, USA, 2011.
- Ataei, A.; Zeynalian, M.; Yazdi, Y. Cyclic behaviour of bolted shear connectors in steel-concrete composite beams. Eng. Struct. 2019, 198, 109455. [Google Scholar] [CrossRef]
- Yang, F.; Liu, Y.Q.; Jiang, Z.B.; Xin, H.H. Shear performance of a novel demountable steel-concrete bolted connector under static push-out tests. Eng. Struct. 2018, 160, 133–146. [Google Scholar] [CrossRef]
- Luo, Y.B.; Hoki, K.; Hayashi, K.; Nakashima, M. Behaviour and strength of headed stud–SFRCC shear connection. I: Experimental study. J. Struct. Eng. 2016, 142, 4015112. [Google Scholar]
- Li, W.C.; Liao, F.F.; Zhou, T.H.; Askes, H. Ductile fracture of Q460 steel: Effects of stress triaxiality and lode angle. J. Const. Steel Res. 2016, 123, 1–17. [Google Scholar] [CrossRef]
- Zhang, Y.J.; Zhang, J.P.; Liu, A.R.; Chen, B.C.; Safaei, B.; Yang, Z.C. Study on thebehavior of high-strength friction-grip bolts under combined shear and tensile forces. Structures 2022, 45, 854–866. [Google Scholar] [CrossRef]
- Ding, I.N.; Zhu, J.S.; Shi, T. Performance of grouped stud connectors in precast steel-UHPC composite bridges under combined shear and tension loads. Eng. Struct. 2023, 277, 115470. [Google Scholar] [CrossRef]
- Mcmackin, P.J.; Slutter, R.G.; Fisher, J.W. Headed steel anchor under combinedloading. Eng. J. 1973, 10, 43–52. [Google Scholar] [CrossRef]
- Takami, K.; Nishi, K.; Hamada, S. Shear strength of headed stud shear connector subjected to tensile load. J. Constr. Steel 2000, 7, 233–240. [Google Scholar]
- An, R.; Wang, Y.Z.; Zhou, L.; Xu, X.J. Experiment and analytical model of shear stud connectors uder combined tension and shear force. J. Chang. Univ. (Nat. Sci. Ed.) 2020, 40, 42–52. [Google Scholar]
- Yang, T.; Liu, S.Y.; Qin, B.X.; Liu, Y.Q. Experimental study on multi-bolt shear connectors of prefabricated steel-concrete composite beams. J. Constr. Steel Res. 2020, 173, 106260. [Google Scholar] [CrossRef]
- Ollgaard, J.; Slutter, R.; Fisher, J. Shear strength of stub connectors in lightweightand normal-weight concrete. AISC Eng. J. 1971, 8, 55–66. [Google Scholar] [CrossRef]
- Buttry, K. Behavior of Stud Shear Connectors in Lightweight and Normal-Weight Concrete; Report No. 68-6; Missouri Cooperative Highway Research Program, Missouri State Highway Department and University of Missouri: Columbia, MO, USA, 1965. [Google Scholar]
- Wang, J.Q.; Qi, J.N.; Tong, T.; Xu, Q.Z.; Xiu, H.L. Static behavior of large stud shear connectors in steel-UHPC composite structures. Eng. Struct. 2019, 178, 534–542. [Google Scholar] [CrossRef]
- Tong, L.W.; Chen, L.H.; Wen, M.; Xu, C. Static behavior of stud shear connectors in highstrength-steel–UHPC composite beams. Eng. Struct. 2020, 218, 110827. [Google Scholar] [CrossRef]
- Ding, J.N.; Zhu, J.S.; Kang, J.F.; Wang, X.C. Experimental study on grouped stud shear connectors in precast steel-UHPC composite bridge. Eng. Struct. 2021, 242, 112479. [Google Scholar] [CrossRef]
- Fang, Z.C.; Fang, H.Z.; Huang, J.X.; Jiang, H.B.; Chen, G.F. Static behavior of grouped stud shear connectors in steel–precast UHPC composite structures containing thin fulldepth slabs. Eng. Struct. 2022, 252, 113484. [Google Scholar] [CrossRef]














| Series | Specimen | Connector Type | Angle (°) | Ratio of Tension to Shear |
|---|---|---|---|---|
| I | B-D22A90 | SENB | 90 | 0.00 |
| B-D22A80 | 80 | 0.18 | ||
| B-D22A75 | 75 | 0.27 | ||
| B-D22A70 | 70 | 0.36 | ||
| B-D22A65 | 65 | 0.47 | ||
| II | S-D22A90 | Stud | 90 | 0.00 |
| S-D22A80 | 80 | 0.18 | ||
| S-D22A75 | 75 | 0.27 | ||
| S-D22A70 | 70 | 0.36 | ||
| S-D22A65 | 65 | 0.47 |
| Mechanical Properties | fc’ (MPa) | ft’ (Mpa) | Ec (Mpa) | v |
|---|---|---|---|---|
| Precast slab | 172.08 | 18.42 | 50457 | 0.232 |
| Shear pocket | 174.82 | 18.46 | 45718 | 0.215 |
| Types | Es (GPa) | fy (MPa) | fu (MPa) |
|---|---|---|---|
| Diameter 22 stud | 211.08 | 388.96 | 486.67 |
| Diameter 22 bolt | 202.20 | 642.38 | 877.93 |
| Steel beam | 202.11 | 274.65 | 462.66 |
| Specimens | Ultimate Shear Capacity (kN) | Initial Shear Stiffness (kN/mm) | Silp Capacity (mm) | Uplift at Pu (mm) |
|---|---|---|---|---|
| B-D22A90 | 187.10 | 311.05 | 5.66 | −0.12 |
| B-D22A80 | 168.88 | 284.81 | 5.13 | 0.09 |
| B-D22A75 | 164.89 | 262.17 | 4.74 | 0.17 |
| B-D22A70 | 161.69 | 246.56 | 4.56 | 0.19 |
| B-D22A65 | 155.40 | 216.49 | 4.43 | 0.40 |
| S-D22A90 | 215.50 | 358.45 | 3.84 | −1.52 |
| S-D22A80 | 191.63 | 340.12 | 3.64 | −1.28 |
| S-D22A75 | 183.00 | 302.84 | 3.43 | −1.00 |
| S-D22A70 | 158.63 | 275.37 | 2.54 | −0.48 |
| S-D22A65 | 148.00 | 239.32 | 2.23 | −0.43 |
| Specimen | (kN) | (kN) | (kN) | (kN) | (kN) | ||
|---|---|---|---|---|---|---|---|
| B-D22A90 | 1496 | -- | |||||
| B-D22A80 | 1496 | 1915.27 | 1351.01 | 1330.74 | 0.88 | 235.08 | 0.12 |
| B-D22A75 | 1496 | 1915.27 | 1319.08 | 1274.23 | 0.82 | 341.64 | 0.18 |
| B-D22A70 | 1496 | 1915.27 | 1293.50 | 1215.89 | 0.69 | 442.38 | 0.23 |
| B-D22A65 | 1496 | 1915.27 | 1243.19 | 1126.33 | 0.62 | 525.87 | 0.27 |
| S-D22A90 | 1724 | -- | |||||
| S-D22A80 | 1724 | 1331.95 | 1532.71 | 1509.72 | 0.89 | 266.69 | 0.2 |
| S-D22A75 | 1724 | 1331.95 | 1464.14 | 1414.36 | 0.85 | 379.21 | 0.29 |
| S-D22A70 | 1724 | 1331.95 | 1269.19 | 1193.04 | 0.81 | 434.06 | 0.33 |
| S-D22A65 | 1724 | 1331.95 | 1184.14 | 1072.83 | 0.75 | 500.89 | 0.38 |
| Researchers | Calculation Models | Pros or cons of Formulas |
|---|---|---|
| Mcmakin et al. [61] | (1) | The existing models had significant errors because the formulas were based on the concrete type obtained using NC. |
| Talami et al. [62] | (2) | |
| Zhang et al. [59] | (3) | |
| Bode and Roik [43] | (4) | |
| Lin et al. [35] | (5) 1 , | |
| An et al. [63] | (6) | |
| Ding et al. [60] | (7) | Despite Equation (7) having a squared correlation coefficient of 0.95, its accuracy was still insufficient. |
Disclaimer/Publisher’s Note: The statements, opinions and data contained in all publications are solely those of the individual author(s) and contributor(s) and not of MDPI and/or the editor(s). MDPI and/or the editor(s) disclaim responsibility for any injury to people or property resulting from any ideas, methods, instructions or products referred to in the content. |
© 2024 by the authors. Licensee MDPI, Basel, Switzerland. This article is an open access article distributed under the terms and conditions of the Creative Commons Attribution (CC BY) license (https://creativecommons.org/licenses/by/4.0/).
Share and Cite
Wang, G.; Xian, B.; Ma, F.; Fang, S. Shear Performance of Prefabricated Steel Ultra-High-Performance Concrete (UHPC) Composite Beams under Combined Tensile and Shear Loads: Single Embedded Nut Bolts vs. Studs. Buildings 2024, 14, 2425. https://doi.org/10.3390/buildings14082425
Wang G, Xian B, Ma F, Fang S. Shear Performance of Prefabricated Steel Ultra-High-Performance Concrete (UHPC) Composite Beams under Combined Tensile and Shear Loads: Single Embedded Nut Bolts vs. Studs. Buildings. 2024; 14(8):2425. https://doi.org/10.3390/buildings14082425
Chicago/Turabian StyleWang, Guodong, Bingxiong Xian, Feiyang Ma, and Shu Fang. 2024. "Shear Performance of Prefabricated Steel Ultra-High-Performance Concrete (UHPC) Composite Beams under Combined Tensile and Shear Loads: Single Embedded Nut Bolts vs. Studs" Buildings 14, no. 8: 2425. https://doi.org/10.3390/buildings14082425
APA StyleWang, G., Xian, B., Ma, F., & Fang, S. (2024). Shear Performance of Prefabricated Steel Ultra-High-Performance Concrete (UHPC) Composite Beams under Combined Tensile and Shear Loads: Single Embedded Nut Bolts vs. Studs. Buildings, 14(8), 2425. https://doi.org/10.3390/buildings14082425

