Abstract
Currently, self-desiccating asphalt mixtures on roads mainly incorporate phase-change materials or salt-based slow-release agents individually for de-icing. However, pure phase-change material mixtures have limited anti-freezing efficiency and short heat-release duration, making them impractical for large-scale snow melting; meanwhile, salt-based slow-release agents suffer from rapid deterioration in de-icing performance. To address these issues encountered, herein, we introduce the phase-change/salt-based slow-release composite materials via the integration of these two materials and investigate their pavement and de-icing performance with the asphalt mixture. For the pavement performance, the optimal asphalt–aggregate ratio for the anti-icing asphalt mixture was found to be 5.1% For anti-bonding and de-icing performance, the electrical conductivity tests, bonding pull-off tests, and interfacial contact melting experiments were conducted. The results indicate that the latent heat of the TH-ME5 (phase-change material) can delay the decrease in environmental temperature and inhibit salt release from T-SEN (salt-based slow-release material), thereby extending the lifespan of the anti-icing asphalt mixture. These results demonstrate that the synergistic effect between the two components of the composite material not only enhance the snow-melting and de-icing performance of the asphalt pavement but also prolong the snow-melting time of the pavement in a low-temperature environment.
1. Introduction
The expressway serves as the lifeblood of the national economy and stands as a crucial component of modern transportation. With asphalt possessing inherent toughness, and asphalt-paved roads boasting attributes like robust mechanical strength, smooth driving experience, minimal vibration, and low noise levels [1], China predominantly relies on asphalt pavement in its highway construction endeavors. By the end of 2022, the total mileage of China’s highways reached 177,300 km, ranking first in the world [2]. Nonetheless, statistics reveal a grim reality: there are more than one hundred serious traffic accidents caused by road snow and ice each year, resulting not only in significant casualties but also in substantial property losses. Consequently, in order to ensure the smooth flow of traffic, improve driving safety, mitigate or prevent traffic accidents, and improve road capacity and operational efficiency, effective measures for snow and ice removal must be taken [3]. Therefore, it is of great significance to enhance the comprehensive performance of asphalt pavement, especially its capability for self-melting snow in the pursuit of highway development.
At present, the prevalent approach involves incorporating phase-change materials (PCMs) or salt-based slow-release materials into asphalt mixtures. PCMs are materials capable of temperature regulation and energy storage through phase state changes (solid, liquid, gaseous), enabling heat exchange with the surroundings. Once reaching their phase transition temperature, these materials initiate energy-storage and heat-release processes, demonstrating intelligence and spontaneity. By facilitating energy storage and heat release, PCMs significantly diminish temperature fluctuations within materials, thereby promoting energy conservation, emission reduction, and enhancing the temperature distribution of engineering structures to bolster structural strength and durability [4,5]. PCM exist in various forms, with over 20,000 materials deemed suitable for this purpose, including paraffin, polyols, fatty acids, hydrated salts, molten salts, etc., which can primarily be divided into solid–solid and solid–liquid phase-change materials. However, due to the mechanical property requirements of asphalt pavement and phase change characteristics, pure PCMs are challenging to adapt [6,7,8], although researchers have employed various methods, such as microencapsulation, carriers, sol–gel, coating, and others, to improve the PCMs performance and fulfill the designated functions, such as ensuring anti-leakage, improving thermal conductivity and latent heat, and adjusting phase change temperatures. The adaptability of modified PCMs to asphalt mixture is the current research hotspot [9,10,11,12]. However, the anti-icing and snow-melting effects of asphalt pavement with pure PCMs is unsatisfying.
The research and development of low-freezing-point salt materials boast a rich history. Switzerland stands as one of the pioneers, successfully engineering Verglimit ice suppression materials capable of lowering the freezing point to below 20 degrees Celsius. Around 1970, Japan adopted salt-storage asphalt pavement technology, spearheading innovations in salt materials with the creation of the independently developed Mafilon (MFL) snow-melting agent. This material employs a porous carrier to store chloride salts, enhanced by the addition of a hydrophobic agent. Over decades of evolution, MFL has demonstrated effectiveness in suppressing road icing in environments above −10 °C. Research indicates that the internal salt content of MFL-utilizing salt storage asphalt pavements remains stable at approximately 20%, even after 6 years of use. By the 1980s, Russia had introduced a salt storage filler named Grikol, recommended for incorporation into asphalt mixtures at a mass ratio of 3% to 5%. Such asphalt pavements exhibit commendable snow-melting and ice-suppression effects above −6 °C [13,14,15]. Wu et al. [16] explored the impact of micro–nano-modified material (MFL) on asphalt-mixture road performance and proposed a method for quantitatively predicting anti-freezing durability. Experimental results indicate that the addition of MFL enhances the asphalt mixture’s anti-freezing performance, albeit with a corresponding decrease in road performance as the addition amount increases. Sun et al. [17] utilized a self-made slow-release salt storage filler to prepare a salt storage asphalt mixture, examining its road performance and ice- and snow-melting capabilities, juxtaposed with an ordinary asphalt mixture. The study revealed a decline in water damage resistance for the salt storage asphalt mixture. Xu et al. [18] delved into the influence mechanism of salt storage filler on asphalt mixture via scanning electron microscope tests. Their findings revealed that the addition of salt storage filler diminishes the interaction between asphalt and aggregate, hampering the formation of an adsorption-melting film and subsequently diminishing road performance. Liu et al. [19] substituted mineral powder with a self-made slow-release anticoagulant ice agent in equal volumes to prepare the salt storage asphalt mixture, scrutinizing its performance. Their results unveiled improved high-temperature performance but varying degrees of decline in low-temperature and water stability performance, with the substitution amount of anticoagulant ice agent not exceeding 75%.
In recent years, with the advent of “temperature-sensitive” salt-release materials, research on anti-icing and snow-melting for asphalt pavement has taken a new direction. Due to the strong sensitivity of temperature-sensitive salt-release materials to temperature changes, these materials can only be released in low-temperature environments, with the release rate inversely proportional to temperature. The latent heat of the phase-change material can reduce salt release while also delaying the cooling rate. The high compatibility between phase-change materials and temperature-sensitive salt-release materials provides the possibility of a synergistic effect in anti-icing and snow-melting performance.
Many scholars have conducted a lot of research on the performance of snow-melting de-icing agents added to asphalt mixture. The results reveal that different types of salts yield varying effects on asphalt mixtures. Most salts added to asphalt mixture have little effect on the high- and low-temperature performance and still comply with specifications. However, the water stability of the asphalt mixtures post-salt addition often suffers significant deterioration, sometimes failing to meet specification requirements [20,21,22,23]. Moreover, the service life of anti-icing pavement salt is usually not prolonged. In addition to the deterioration of water stability, there is also the problem of excessive attenuation of the de-icing performance, where salt release is not uniform, leading to a high initial release rate that diminishes over time, resulting in pavements losing their ability to effectively melt ice and snow during service [24,25,26,27].
The anti-icing effect of pure phase-change-material asphalt-mixture pavement is not ideal, and its heat release duration under low-temperature conditions is short, making it challenging to achieve effective snow melting and de-icing [11,28,29]. Similarly, the salt-release anti-ice and snow-melting pavement struggles to avoid ineffective release during non-winter seasons, and the durability needs to be improved. Therefore, in this work, the development of a phase-change-material/salt-release capsule composite asphalt pavement is proposed to improve the anti-icing and snow-melting performance while maintaining the road performance of the asphalt pavement. Given the sensitivity of “temperature-sensitive” salt-releasing materials to temperature fluctuations and the ability of phase-change materials to modulate temperature change rates, the combination can not only prevent ice and snow buildup but can also mitigate temperature variations within the pavement. Thus, employing a phase-change-material/slow-release salt composite pavement can bolster snow-melting and de-icing efficacy, prolong snow-melting duration in low-temperature environments, and extend the service life of snow-melting pavements.
The main purpose of this paper is to study the road performance and the anti-ice and snow-melting performance of TH-ME5 phase-change material and T-SEN saline slow-release material under the synergism.
2. Materials and Methods
As a spatial network cementitious structure system, the mechanical strength of asphalt mixtures primarily relies on the internal friction and interlocking forces between aggregate particles, the binding force of the asphalt binder, and the adhesion between the aggregate and asphalt [30]. In this study, SBS-I-D-type modified asphalt is used, alongside basalt crushed aggregates with sizes in the range of 10~15, 5~10, 3~5, and 0~3 mm. Limestone mineral filler is incorporated into the mixture. The phase-change material used is TH-ME5-type phase-change microcapsules manufactured by Hubei Sammer New Energy Technology Co., Ltd.(Xiaogan, Hubei, China), while the salt-retardant slow-release material is T-SEN type temperature-sensitive slow-release anti-icing agent produced by Jiangsu Lvxin New Material Technology Co., Ltd.(Wuxi, Jiangsu, China). Both materials exhibit a white-powder-like appearance at room temperature.
In the preparation of anti-icing asphalt mixtures, TH-ME5 and T-SEN are integrated into the mixtures by replacing an equal volume of mineral filler to form anti-icing asphalt mixtures. The replacement rate of the melting and anti-icing materials for mineral filler is ≤75%. The test specimens of the prepared asphalt mixtures are as indicated in Table 1.
Table 1.
Types of anti-icing and snow-melting asphalt mixture specimens.
3. Salt Leaching Capacity
3.1. The Principle of Conductance Testing and the Setting of Test Parameters
Conductivity testing stands out as a widely used analytical method for solutions, renowned for its convenience, sensitivity, and speed. The conductivity of a solution directly correlates with the presence of electrolytes within it. As the concentration of ions in water escalates with the addition of electrolytes, the conductivity also rises. In contrast, organic substances dissolved in water, which do not or barely ionize, exhibit very weak conductivity. Additionally, the magnitude of conductivity is exclusively dependent on the quantity of ions in the solution, a parameter intricately linked to molar concentration.
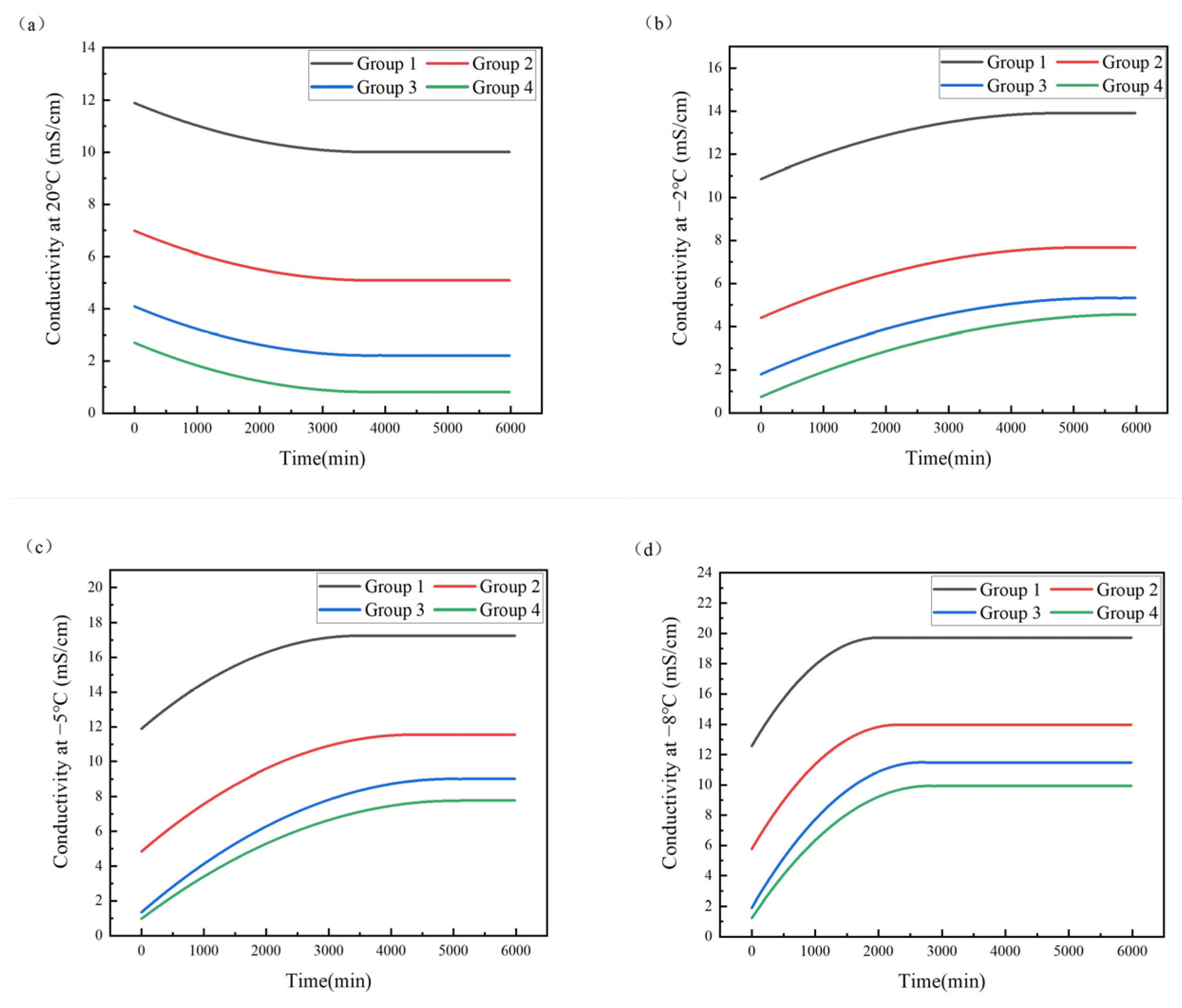
This test involves measuring the conductivity of solutions with the same concentration of melting snow and ice materials with varying temperatures. First, the prepared solution is poured into a three-neck flask and mounted on a stand equipped with an electric stirrer. Subsequently, the probe of the conductivity meter is immersed in the flask to submerge it within the solution. Finally, the entire experimental setup is housed within a temperature chamber to systematically gather conductivity data across different temperature settings, as shown in Figure 1.
Figure 1.
Photo of the conductivity analysis test device.
The conductivity test is performed using a Lei magnetic conductivity meter for data collection, while an electric stirrer is employed to accelerate the rate of salt analysis of the anti-icing agent. The test temperatures are set at 20 °C, −2 °C, −5 °C, and −8 °C. The solution with a molarity concentration of 5% is prepared by thoroughly mixing 20 g of TH-ME5 and T-SEN in different proportions with 380 g of deionized water. Detailed experimental parameters, including the data recording frequency of the conductivity meter and the speed of the electric stirrer, are provided in Table 2.
Table 2.
Conductance analysis test setup.
3.2. Conductivity Test Analysis
3.2.1. Analysis by Group
The test data are summarized and analyzed by group, with a comparison of the conductivity changes at temperatures of 20 °C, −2 °C, −5 °C, and −8 °C. The results are shown in Figure 2. From the trend of conductivity changes in each group shown in Figure 2, it can be observed that except for at 20 °C, conductivity gradually increases over time at −2 °C, −5 °C, and −8 °C, reaching a peak and stabilizing at a certain point. This pattern arises due to the “temperature-sensitive” nature of T-SEN, the material used in the experiment, which refrains from releasing salts above 0 °C. Moreover, at 20 °C, it does not align with the temperature range for heat release phase transformation of the phase-change material (−24.81 °C to 5.12 °C). Therefore, the solution’s conductivity remains constant or even shows a slight decrease at 20 °C.

Figure 2.
Conductivity in units of groups: (a) the conductivity of group 1; (b) the conductivity of group 2; (c) the conductivity of group 3; (d) the conductivity of group 4.
According to molecular dynamics theory [31], the conductivity of a solution generally escalates with temperature. This is because elevated temperatures provide charges in the medium with more energy, thereby enhancing their mobility, increasing the speed at which charges traverse, and consequently raising the conductivity. Within a certain range, the higher the temperature, the higher the conductivity. The temperature elevation induces alterations in the molecular structure of the solution, allowing for more electrons to be released, thereby increasing the conductivity of the solution. However, as shown in the conductivity curves at −2 °C, −5 °C, and −8 °C in Figure 2, the conductivity increases with decreasing temperature. This counterintuitive observation can be attributed to T-SEN, which initiates the release of salt ions below 0 °C, thereby disturbing the ion equilibrium of the original 5% molarity solution. As the temperature continues to drop, the concentration of salt ions in the solution gradually amplifies, leading to a progressive increase in conductivity. The accelerated rate of salt ion release by T-SEN surpasses the decreased rate of electron release, resulting in the conductivity curve of the solution at −2 °C, −5 °C, and −8 °C escalating over time and attaining a new equilibrium state. Meanwhile, the latent heat of phase change can slow down the rate of temperature decrease. This dual effect hampers the reduction in the electron release rate while concurrently moderating the rate of salt ion release from the slow-release anti-icing agent, thereby prolonging its efficacy.
3.2.2. Analysis by Temperature
The test data are summarized and analyzed by temperature, with a comparison of the conductivity changes of groups 1, 2, 3, and 4 at identical temperature settings. The results are shown in Figure 3. Figure 3b–d clearly show that under low temperatures (<0 °C), conductivity varies with the ratio of T-SEN to TH-ME5. As the ratio of T-SEN to TH-ME5 shifts from 1:0 to 1:3, conductivity gradually decreases. At −2 °C, −5 °C, and −8 °C, the equilibrium states of conductivity for each group are as shown in Table 3.
Figure 3.
Conductivity diagram in unit of temperature: (a) conductivity at 20 °C; (b) conductivity at −2 °C; (c) conductivity at −5 °C; (d) conductivity at −8 °C.
Table 3.
Equilibrium state of conductivity at different temperatures.
Table 3 distinctly illustrates that at the same environmental temperatures, the higher the proportion of T-SEN, the earlier the equilibrium state is reached, and the higher the maximum conductivity at equilibrium. Similarly, at the same proportions, the lower the temperature, the earlier the equilibrium state is reached, and the higher the maximum conductivity at equilibrium. According to chemical thermodynamics [32], the equilibrium phase transition of water and ice under certain conditions occurs due to the consistent chemical potential energy of the two phases at the freezing point, which is disrupted by the precipitation of salt ions. This arises because the chemical potential energy of water changes with the inclusion of electrolytes, while the chemical potential energy in the solid phase remains constant. Therefore, as the temperature decreases, the precipitation of salt ions increases, leading to the formation of more electrolytes in the new equilibrium state, thereby increasing conductivity. The latent heat of phase change inhibits the rate of temperature reduction to some extent, thus prolonging the time to reach the new equilibrium state.
4. Analysis on Road Performance
4.1. Figures, Tables, and Schemes
High-temperature stability in asphalt pavements refers to the ability of asphalt mixtures to maintain stable physical and mechanical properties under high-temperature conditions without softening, deformation, or cracking. This attribute holds paramount importance for ensuring the sustainability and durability of asphalt pavements, especially in regions with scorching summers or high ambient temperatures. According to the relevant provisions of the specification, the rutting test is used to evaluate the high-temperature stability of the mixture in this paper. Four specimens are prepared for each numbered mixture. The coefficient of variation of the dynamic stability of the specimens is not more than 20%. The average value is taken as the experimental result, and the test result is shown in Figure 4.
Figure 4.
Dynamic stability test results of different kinds of asphalt mixture.
Figure 4 shows that as the substitution rate of mineral filler gradually increases, the asphalt mixtures incorporating anti-icing materials exhibit a slight upward trend in dynamic stability. Under equivalent incorporation levels, as the content of TH-ME5 decreases and the content of T-SEN increases, the dynamic stability gradually decreases. Regarding the incorporation ratios, when the TH-ME5-to-T-SEN ratio is 1:1, the dynamic stability remains almost unchanged. However, at a ratio of 1:3, dynamic stability shows an upward trend, with an increase of about 3.5%; whereas at a ratio of 3:1, dynamic stability shows a downward trend, with a reduction of about 2%. This indicates that T-SEN can enhance the high-temperature performance of the mixtures. This is due to the fact that the wall material of T-SEN is a polymer, which does not melt under the experimental condition of 60 °C. At higher incorporation levels, it can act as a skeleton for the mixtures, thereby improving their high-temperature performance.
4.2. Figures, Tables, and Schemes
Under low-temperature conditions, asphalt mixtures are prone to cold cracking, also known as thermal expansion and contraction cracks, which can significantly compromise road service life and safety. The low-temperature crack resistance of asphalt mixtures refers to their ability to resist cracking in low-temperature environments, particularly in regions with severe winter cold. This paper evaluates the low-temperature crack resistance of the mixtures using the low-temperature bending test, also known as the low-temperature small beam test. Six specimens were prepared for each group of mixtures, and the results were the average value. The difference between the measured data and the average value should be less than 1.82 times the standard deviation, as shown in Figure 5.
Figure 5.
Bending strain test results of different kinds of asphalt mixture.
Figure 5 shows that with a gradual increase in the substitution rate of mineral filler, the flexural tensile strain of asphalt mixtures incorporating anti-icing materials exhibits a slight decline. In terms of the incorporation ratios, when the TH-ME5-to-T-SEN ratio is 1:1, the flexural tensile strain remains almost unchanged. However, at a ratio of 1:3, the flexural tensile strain shows a downward trend, with a reduction of approximately 3%; whereas at a ratio of 3:1, the flexural tensile strain demonstrates an upward trend, with an increase of about 2%. This suggests that T-SEN tends to suppress the low-temperature performance. This suppression can be attributed to several factors. First, disparities in properties between the salt-based retarding material and the mineral filler result in a decrease in the cohesion strength of the asphalt mixtures. Additionally, the gradual release of salt from the salt-based retarding material over time leads to an increase in internal pores within the asphalt mixtures, further deteriorating their low-temperature performance.
4.3. Water Stability
Water stability refers to a mixture’s resistance to water erosion and its stability in wet conditions, serving as a crucial indicator for evaluating the durability and corrosion resistance of asphalt mixtures under waterlogged or moist conditions. This is especially pertinent for asphalt mixtures containing salt-based retarding materials, as these salts tend to separate from the mixture gradually due to rainfall and temperature fluctuations, allowing water to penetrate the mixture and reduce the adhesion between the asphalt and aggregates. This can lead to the early onset of pavement distress such as loosening and potholes. Consequently, water exerts a significantly greater impact on anti-icing asphalt mixtures compared to conventional asphalt mixtures. For short-term evaluation, the immersion Marshall test is employed; while for long-term evaluation, the freeze–thaw splitting test is used. In the long-term and short-term experimental evaluation, Marshall specimens were used, and each mixture included six specimens. There were 120 specimens in the short-term experiment and 50 specimens in the long-term experiment.
4.3.1. Immersion Marshall Test
The immersion Marshall test is a standard method for assessing the stability of asphalt mixtures under water immersion conditions. It replicates scenarios of water exposure that mixtures might face during road usage, assessing their short-term resistance to water erosion and stability. According to the specifications of T0709 in JTG E20 [31], test specimens are divided into two groups: one group undergoes stability testing using the standard Marshall test, while the other group is immersed for 48 h prior to measuring its Marshall stability. The ratio of the two groups is used to calculate the residual stability, with the results presented in Figure 6. Figure 6 indicates that the residual stability after immersion decreases as the substitution rate of mineral powder increases. Moreover, for specimens with identical substitution rate, those with higher T-SEN content exhibit the lowest residual stability. Specifically, when the substitution rate of mineral powder is 75% and the T-SEN content is also 75%, the residual stability of the asphalt mixture fails to meet the specified standards.
Figure 6.
Residual stability test results of different types of asphalt mixtures.
4.3.2. Freeze–Thaw Splitting Test
The freeze–thaw splitting test is a widely adopted method of assessing the anti-cracking performance of asphalt mixtures under freeze–thaw cycles. This test simulates the freeze–thaw cycles experienced by mixtures in cold climatic conditions, evaluating their long-term resistance to freeze–thaw splitting. According to the specifications of JTG E20 T0729 [31], specimens are divided into two groups: one group undergoes measurement of Marshall stability after a 2 h normal water bath; the other group is subjected to vacuum saturation, followed by 16 h of freezing (−18 °C), 24 h of high-temperature water bath (60 °C), and subsequently, a 2 h normal water bath, after which Marshall stability is measured. The freeze–thaw splitting strength is determined based on the ratio of the two groups’ results, as shown in Figure 7.
Figure 7.
Test results of freeze–thaw splitting strength of different kinds of asphalt mixtures.
It can be seen from Figure 7 that there is a significant decrease in the freeze–thaw splitting strength ratio of asphalt mixture with an increase in the mineral powder substitution rate. Additionally, a higher T-SEN content exacerbates the strength reduction. For instance, when the T-SEN content is 75% and the substitution rate is 25%, the freeze–thaw splitting strength decreased by 7.31%. This reduction amplifies to 12.88% when the substitution rate is 50% and further to 18.89% when the substitution rate reaches 75%. Notably, when the substitution rate is 75%, asphalt mixtures numbered 8 to 10 no longer meet the specification indicators. This observed phenomenon can be attributed to two primary factors. First of all, with the analysis of salt, voids will be formed in the mixture, facilitating water ingress into the interior of the pavement. Moisture penetrates into the interface between asphalt and aggregate via capillary action, escalating the contact angle between asphalt and aggregate, thereby reducing the bonding strength, softening the asphalt, and accelerating asphalt–aggregate stripping. In addition, increased blending ratios result in a more pronounced decrease in asphalt mortar cohesion. Secondly, the increase in the gaps allow for water retention within the asphalt mixture, leading to crystal expansion under temperature fluctuations, thus destroying the internal structure.
5. Anti-Icing and Ice-Melting Performance of Composite Anti-Icing and Snow-Melting Asphalt Mixture
5.1. Bond Pull-Out Test under Freeze–Thaw Cycle Conditions
To evaluate the road performance of asphalt mixtures, specimens numbered 1 to 7 from Table 1 were used. The test was conducted using a manual hydraulic pull-out apparatus along with a custom-made pull-out hook, as depicted in Figure 8. The test steps are as follows: (i) position the pull-out hook at the top of the specimen and encircle it with an annular waterproof pad ring; (ii) inject 5 mL of water into the pre-drilled hole located in the outer casing of the pull-out hook using a syringe; (iii) place the specimens in both high- and low-temperature chambers at different environmental temperatures and allow them to stand for varying durations; (iv) after the specified standing time, extract the specimens from the chambers and insert the hook at the top of the pull-out hook into the pull-out head of the manual hydraulic pull-out apparatus. Operate the manual hydraulic pull-out apparatus to conduct the pull-out force test on the specimens.
Figure 8.
Bonding drawing test equipment and process: (a) manual hydraulic drawing instrument; (b) pulling hook and specimen; (c) drawing test process; (d) ice surface state after drawing.
The Marshall specimens post-bond pull-out tests were subjected to a freeze–thaw cycle, utilizing vacuum saturation and rapid freeze–thaw procedures facilitated by specialized equipment. The processes are detailed in Figure 9. The steps for vacuum saturation and rapid freeze–thaw cycling are as follows: (i) immerse the Marshall specimens in a vacuum drum filled with water to ensure complete submersion; (ii) connect and activate the vacuum pump to maintain a negative pressure of 97.3~98.7 kPa within the vacuum drum for 15 min; (iii) open the gas valve to restore atmospheric pressure within the drum, allowing the specimens to soak in water for an additional 30 min; (iv) transfer the Marshall specimens into a cubic rubber bucket, ensuring water covers the surface of the asphalt specimens; (v) place the rubber bucket into a rapid freeze–thaw testing machine configured to execute 10 cycles and initiate the machine.
Figure 9.
Freeze–thaw cycle test equipment and process: (a) cube rubber bucket; (b) fast freeze–thaw test machine.
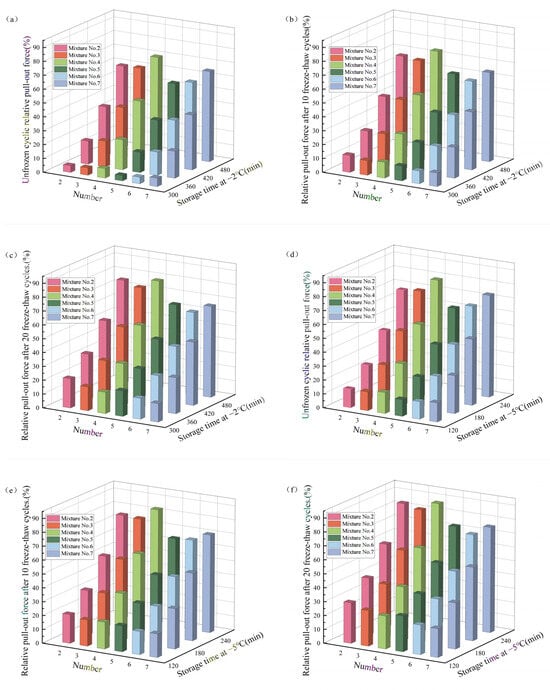
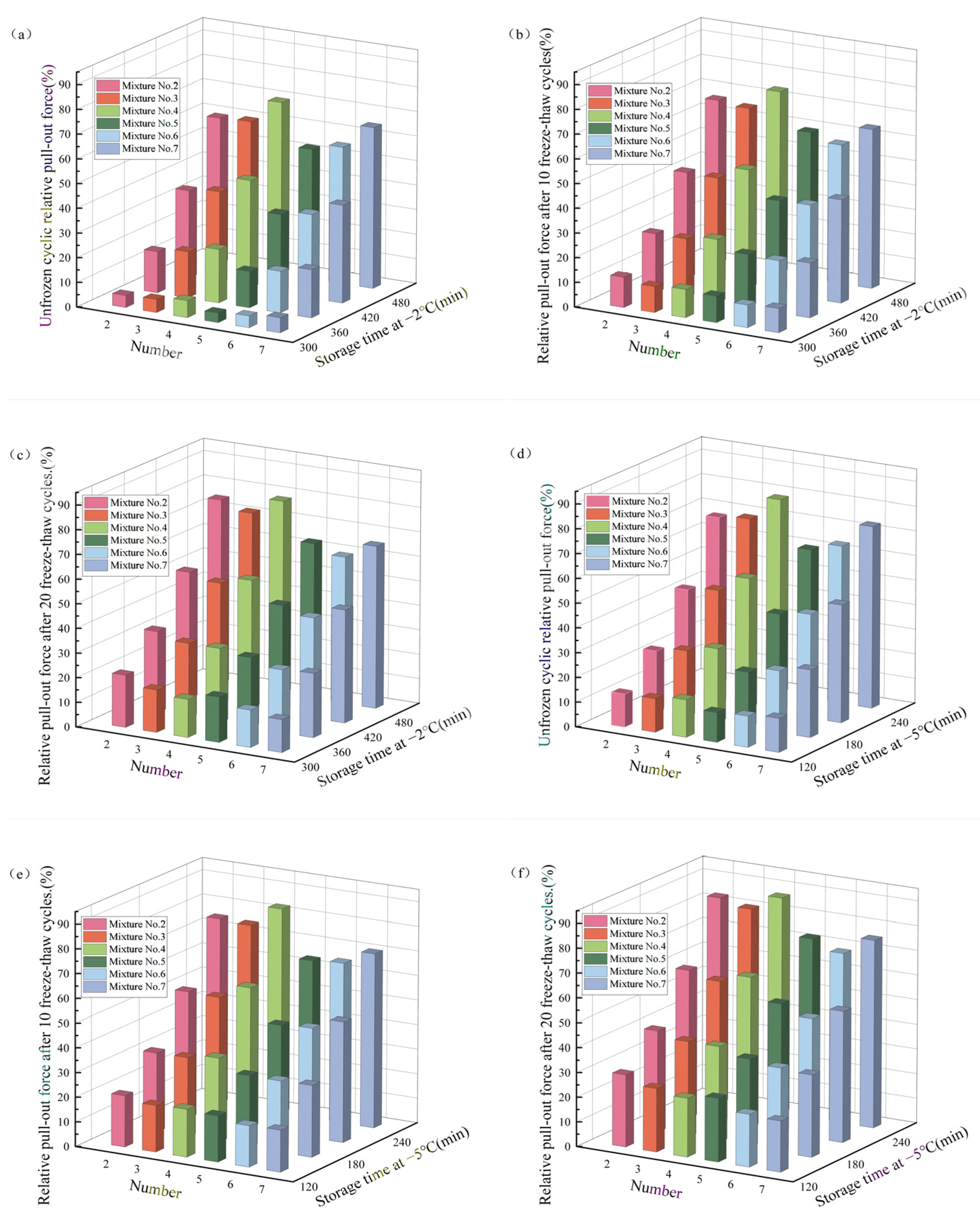
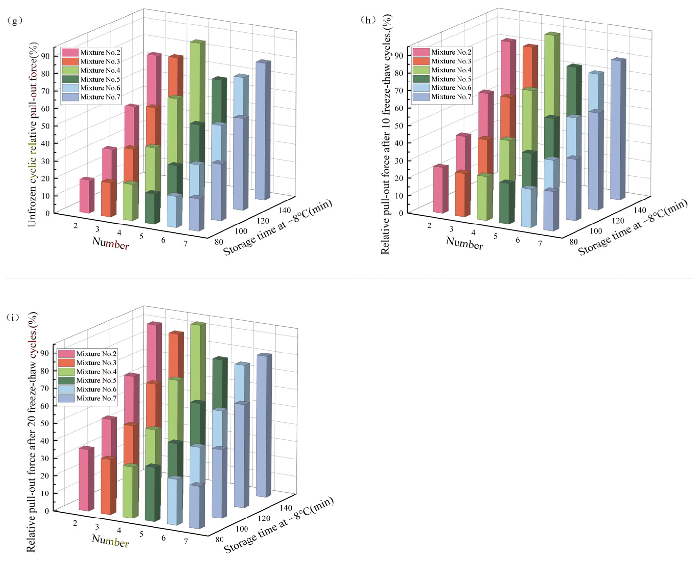
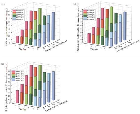
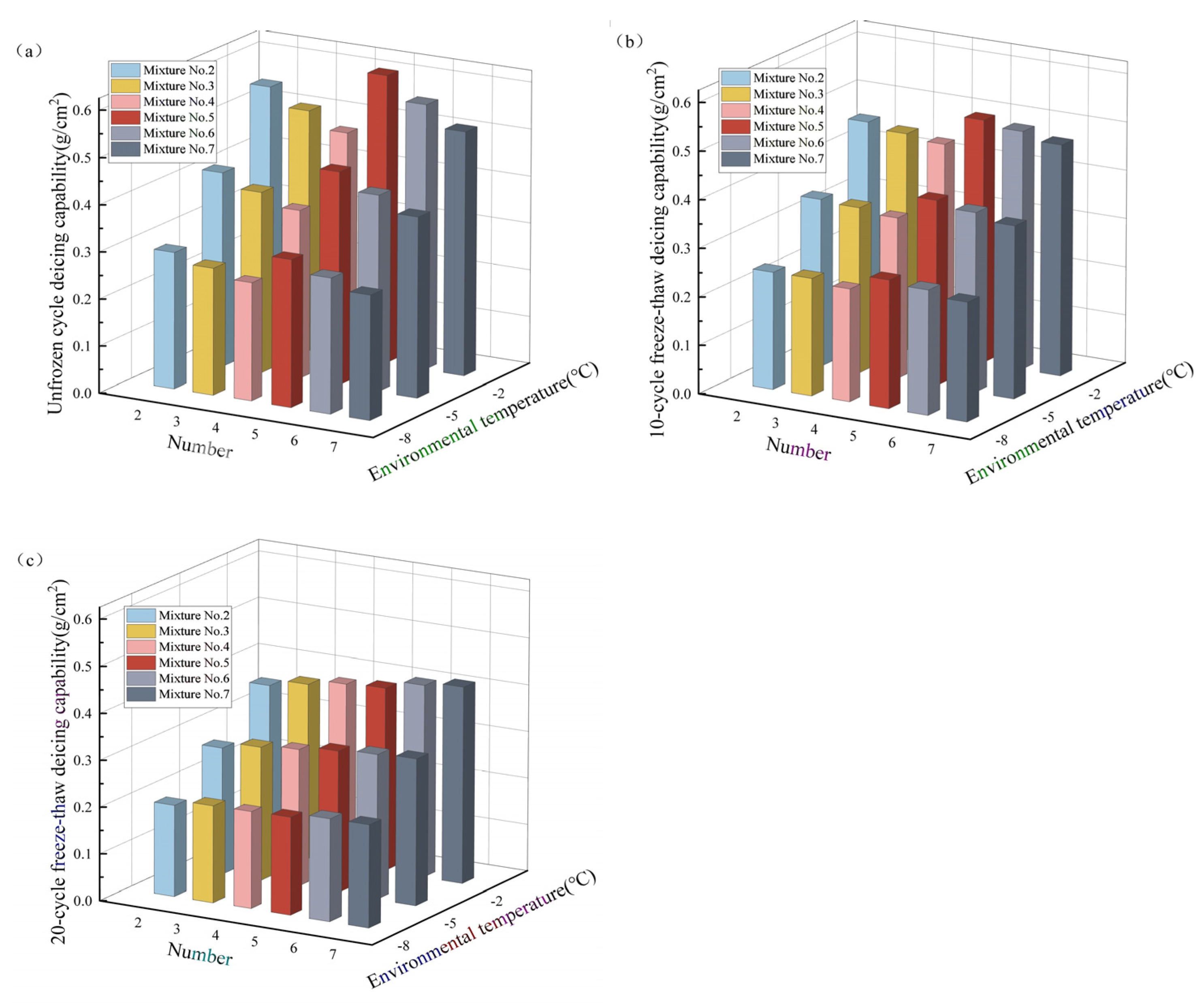
Two types of rapid freeze–thaw cycles were conducted in this test. Bond pull-out tests were performed on specimens that had not undergone freeze–thaw cycling, as well as those that had undergone 10 and 20 freeze–thaw cycles. The test results are shown in Figure 10.

Figure 10.
Bonding pull-out test data: (a) −2 °C, unfrozen cyclic relative pull-out force; (b) −2 °C, relative pull-out force after 10 freeze–thaw cycles; (c) −2 °C, relative pull-out force after 20 freeze–thaw cycles; (d) −5 °C, unfrozen cyclic relative pull-out force; (e) −5 °C, relative pull-out force after 10 freeze–thaw cycles; (f) −5 °C, relative pull-out force after 20 freeze–thaw cycles; (g) −8 °C, unfrozen cyclic relative pull-out force; (h) −8 °C, relative pull-out force after 10 freeze–thaw cycles; (i) −8 °C, relative pull-out force after 20 freeze–thaw cycles.
From Figure 10, it can be observed that under identical temperature conditions, the relative pull-out force of the specimens gradually increases with prolonged placement time. This is due to the diminishing effectiveness of the thermal effect of the phase-change material when the specimens are exposed to a low-temperature environment for extended durations. Taking specimen 2 as an example, as the low-temperature placement time increases from 300 min to 360 min, the relative pull-out force escalates by 242.54%. However, with a further extension of placement time from 360 min to 480 min, the increase in relative pull-out force diminishes to approximately 85%. This indicates that the phase change latent heat only functions in the initial stage, with the anti-adhesion role subsequently being taken up by the salt-releasing material. Likewise, with an increase in the number of freeze–thaw cycles, the relative pull-out force of the specimens shows a gradually rise. This is attributed to progressive loss of salt ions in the salt-releasing material induced by the freeze–thaw cycles, thereby reducing the material’s anti-adhesion capacity.
As the temperature decreases, the relative pull-out force of the asphalt mixture specimens under identical conditions show an increasing trend, albeit at a decreasing rate. This observation aligns with the findings of the conductivity test, indicating that the quantity of salt released by the salt-releasing material increases with decreasing temperature. Consequently, with temperature drops, the anti-adhesion effect of the salt-releasing material gradually surpasses that of the phase-change material.
Under varying TH-ME5 and T-SEN ratios, specimens with higher salt-releasing material content exhibit lower relative pull-out forces. Additionally, as the number of freeze–thaw cycles increases, the pull-out force of all specimens increases, with specimens containing higher salt-releasing material showing a higher growth rate in relative pull-out force. This arises because the freeze–thaw cycles cause the gradual loss of salt ions in the salt-releasing material with the higher content specimens experiencing greater salt ion consumption during these cycles. Similarly, the higher the mineral filler replacement rate, the smaller the relative pull-out force, and the greater the increase in relative pull-out force after the freeze–thaw cycles.
5.2. Bond Pull-Out Test under Freeze–Thaw Cycle Conditions
The test primarily utilizes a temperature-cycling chamber and ice cube molds. The test equipment and process are shown in Figure 11, and the steps are as follows: (i) pour water into the ice cube molds and maintain the corresponding test temperature in the temperature-cycling chamber for ice cube preparation; (ii) place the Marshall specimens in a room-temperature environment without a heat source for more than 12 h; (iii) after thermal insulation, transfer the specimens into the temperature cycling chamber and weigh the ice cubes before placing them above the Marshall specimens; (iv) record the ice cube weight every 15 min, and afterward, return the ice cubes to their original positions to continue the test. The test continues until the weight change of the ice cubes is <1 g for two consecutive measurements, at which point it can be concluded that the ice cubes have stopped melting.
Figure 11.
Contact ice-melting test equipment and process: (a) mold for making ice cubes; (b) ice-melting test process. Note: ‘1号’ in the picture means ‘ NO.1’.
The relative melting mass is used as the indicator of melting performance, which is the difference between the actual melting mass of the anti-icing and snow-melting asphalt-mixture specimen and the actual melting mass of the conventional asphalt mixture. In the test, the initial temperature of the asphalt specimen is higher than that of the ice, leading to heat exchange that causes ice melting. Moreover, the process of opening the temperature cycling chamber to weigh the specimen at regular intervals also causes the temperature to rise, further contributing to ice block melting. Therefore, using the relative melting mass to gauge the melting capacity can help eliminate errors stemming from ice block melting due to the heat release from non-phase-change materials. The calculation formula for the melting capacity value is as shown in Equation (1):
In the formula:
—The ice- and snow-melting capacity value of anti-icing and snow-melting asphalt mixture (g/cm2);
—Relative ice-melting quality (g);
—Contact area between ice and specimen (cm2).
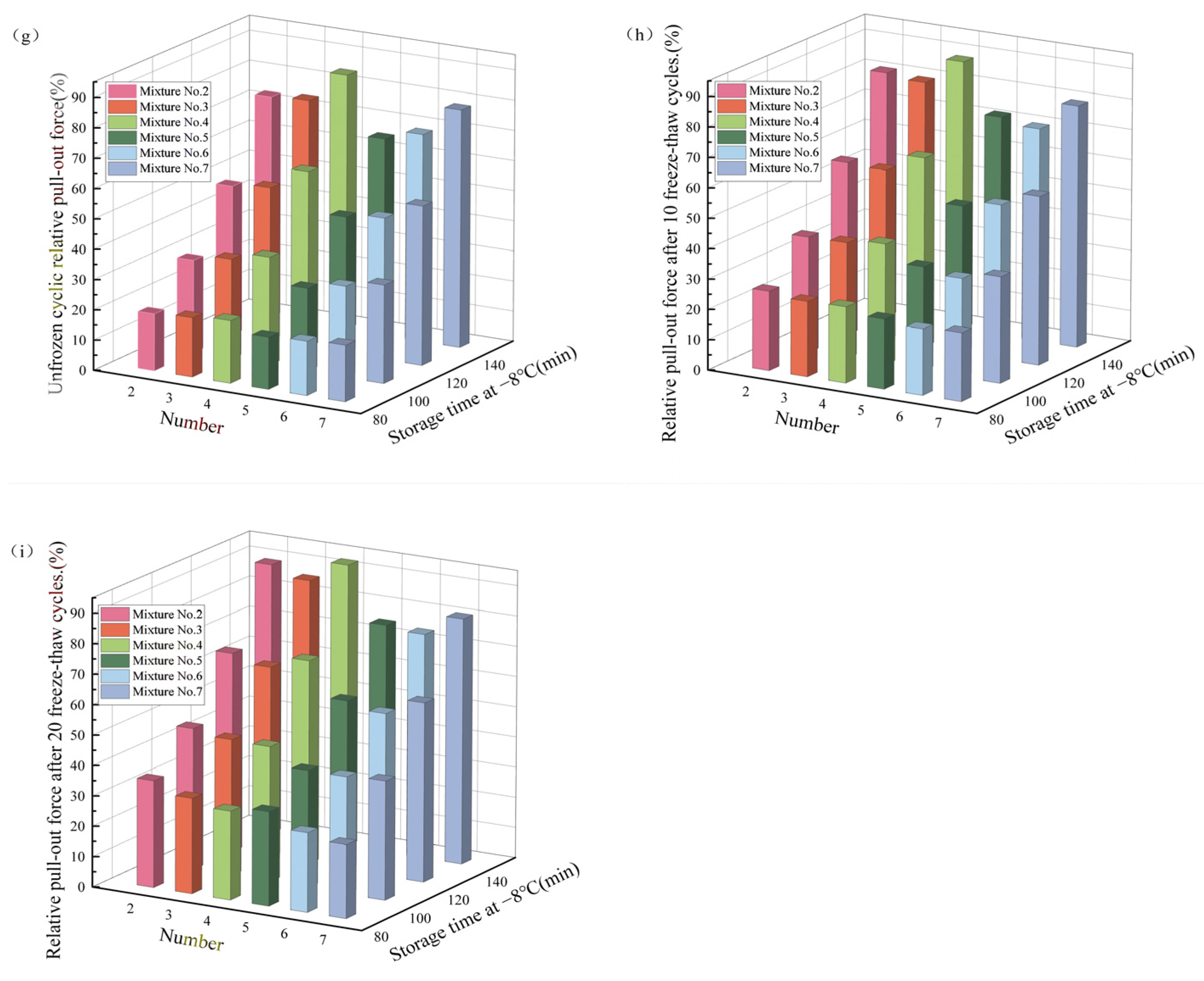
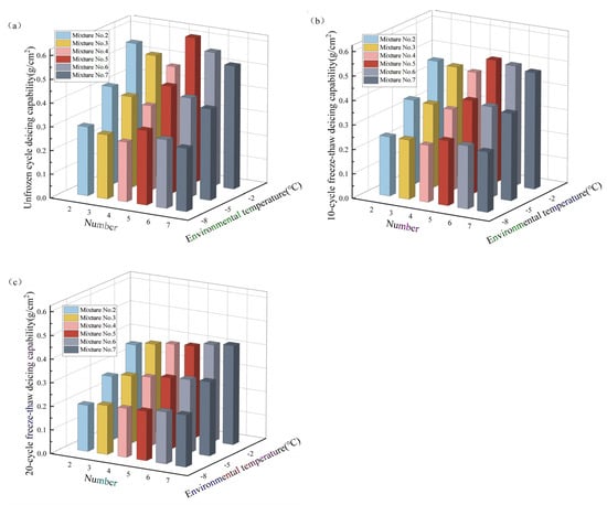
According to the above formula, the ice-melting capacity of each specimen is shown in Figure 12.
Figure 12.
Specimen ice- and snow-melting ability value: (a) unfrozen cycle de-icing capability; (b) 10-cycle freeze–thaw de-icing capability; (c) 20-cycle freeze–thaw de-icing capability.
As depicted in Figure 12, the melting capacity values of the specimens exhibit a gradual decrease with an increasing number of freeze–thaw cycles. This decline can be attributed to the operational mechanism of the latent heat of the phase-change material in the early stages, followed by the salt-releasing material’s salt ions for ice melting. Subsequent freeze–thaw cycles lead to the gradual loss of salt ions in the salt-releasing material, thereby reducing its melting capacity. Similarly, as temperature decreases, the melting capacity of the asphalt mixture specimens with the identical mineral filler replacement rates and TH-ME5-to-T-SEN ratios exhibit a decreasing trend. Based on the conclusions from the conductivity test, it can be inferred that with decreasing temperature, the melting capacity of the salt-releasing material will gradually exceed that of the phase-change material. Under different TH-ME5-to-T-SEN ratios, the higher the T-SEN content, the higher the melting capacity of the specimens. Similarly, the higher the mineral filler replacement rate, the higher the melting capacity of the specimens. However, with the increasing number of freeze–thaw cycles, the melting capacity of specimens with a higher T-SEN content decreases significantly.
6. Conclusions
In summary, the road performance and anti-icing and snow-melting properties of asphalt mixtures incorporating a synergistic system of phase-change material and salt-releasing material was investigated in detail. Conductivity tests elucidate that the T-SEN salt-releasing material used in this study exhibits minimal salt release above 0 °C. At temperatures below 0 °C, it demonstrates a gradual increase in conductivity over time, reaching a peak and stabilizing at a certain point. Higher T-SEN proportions result in earlier achievement of equilibrium and higher maximum conductivity at equilibrium under identical environmental temperatures. Moreover, at the same addition rate, lower temperatures result in earlier equilibrium and higher maximum conductivity. Bond pull-out tests reveal that the latent heat effect of the phase-change material diminishes over time at low temperatures, with the antifreeze action predominantly assumed by the salt-releasing material. As the temperature decreases, the relative bond pull-out force of the asphalt mixture specimens increases, albeit at a decreasing rate. With more freeze–thaw cycles, the proportion of the phase-change material’s antifreeze action increases. In the long run, the antifreeze action of the phase-change material gradually surpass that of the salt-releasing material. Regarding the antifreeze material proportion, higher salt-releasing material content correlates with a lower relative bond pull-out force. Moreover, with an increased number of freeze–thaw cycles, the bond pull-out force of all specimens escalates, with a relatively higher increase observed for specimens with higher salt-releasing material content. Interfacial contact melting tests demonstrate that due to the limited duration of the phase-change material’s latent heat effect, subsequent melting is primarily facilitated by the salt-releasing material. Freeze–thaw cycles induce the gradual loss of salt ions from the salt-releasing material, resulting in a decline in the melting capacity value of the specimens under identical temperature conditions with an increasing number of freeze–thaw cycles. From the perspective of short-term snow melting, the snow-melting effect is the best when the ratio of phase-change material to salt-releasing material is 1:3, the second is when the ratio is 3:1, and the worst is when the ratio is 1:1.However, if the lower test temperature is used, the decrease in snow-melting performance when the ratio of phase-change material to salt-releasing material is 3:1 will be much larger than that of the other two groups. From the perspective of long-term snow melting, the snow-melting effect is the best when the ratio of phase-change material to salt-releasing material is 3:1, followed by the ratio of 1:1, and the worst when the ratio is 1:3.
Author Contributions
Conceptualization, C.W. and D.G.; methodology, C.W.; formal analysis, C.H.; data curation, C.W.; writing—original draft preparation, C.W.; data curation, H.S.; writing—review and editing, C.W.; project administration, C.W. and R.C.; funding acquisition, D.G. All authors have read and agreed to the published version of the manuscript.
Funding
This study is supported by the Innovative Team Project of Ji’nan Government (No. 202333036).
Data Availability Statement
The original contributions presented in the study are included in the article; further inquiries can be directed to the corresponding authors.
Conflicts of Interest
Author Chuanshan Wu, Dongxing Gao were employed by the company Shandong Hi-Speed Construction Management Group Co., Ltd. The remaining authors declare that the research was conducted in the absence of any commercial or financial relationships that could be construed as a potential conflict of interest.
References
- Wang, Q. Preventive Maintenance Technology and Practice of Highway Asphalt Pavement; Chang’an University: Xi’an, China, 2016. [Google Scholar]
- Ministry of Transport. Statistical Bulletin of Transportation Industry Development in 2022. China Traffic News, 16 June 2023. [Google Scholar]
- Wang, C.; Zou, J.; Cai, L.; Xie, S. Review of domestic and foreign research on functional pavement. Highw. Transp. Technol. (Appl. Technol. Ed.) 2020, 16, 53–59. [Google Scholar]
- Zhang, L.; Yan, H.; Yu, R.; Chen, S.; Zhang, J. Research progress of phase change materials and its application in the field of architecture. Mater. Dev. Appl. 2010, 5, 69–73. [Google Scholar] [CrossRef]
- Yuan, Y.; Xiang, B.; Cao, X.; Zhang, N.; Sun, L. Research status and development of building phase change energy storage technology. J. Southwest Jiaotong Univ. 2016, 51, 14. [Google Scholar] [CrossRef]
- Jiao, W.; Sha, A.; Zhang, J.; Jia, M.; Jiang, W.; Hu, L. Design and properties of polyurethane solid-solid phase-change granular temperature regulation asphalt mixtures. Sol. Energy 2023, 253, 47–57. [Google Scholar] [CrossRef]
- Leng, G.; Qiao, G.; Zhang, Y.; Xu, Y.; Zhao, W.; Ding, Y.; Cao, H.; Peng, H.; Chang, C.; Xiong, Y. Research status and development trend of thermal storage materials. Energy Storage Sci. Technol. 2017, 6, 18. [Google Scholar] [CrossRef]
- Feng, Z.; Hu, D.; Zhao, L.; Xue, C. Review of the research status of phase change materials in road engineering. Mater. Introd. Nano New Mater. Album 2015, 29, 4. [Google Scholar]
- Wang, X.; Peng, P.; Zhao, T. Synthesis and characterization of melamine resin prepolymer for preparation of phase change microcapsules. New Chem. Mater. 2016, 44, 61–63+66. [Google Scholar]
- Hao, M.; Li, Z.; Wu, Q.; Gao, W.; Ma, X. Research progress of phase change material packaging technology. Materials 2014, 28, 98–103. [Google Scholar]
- Zhao, W.; Hu, K.; Zhang, F. Research status of phase change materials in asphalt concrete. Jiangxi Build. Mater. 2020, 13–14. [Google Scholar]
- Zhou, J.; Nie, Z.; Guo, Z.; Yang, J.; Zheng, Z. A review of the preparation and properties of phase change concrete. J. Jiangsu Univ. (Nat. Sci. Ed.) 2020, 41, 588–595. [Google Scholar] [CrossRef]
- Song, S. Study on the Road Performance of Snow Melting and Ice Suppression Slow-Release Salt Storage Sand; Chang’an University: Xi’an, China, 2021. [Google Scholar] [CrossRef]
- Zhang, L. Study on Salt Melting Asphalt Mixture; Chang’an University: Xi’an, China, 2010. [Google Scholar] [CrossRef]
- Cui, L. Salt Asphalt Mixture Research; Chongqing Jiaotong University: Chongqing, China, 2010. [Google Scholar] [CrossRef]
- Wu, S.; Yang, J.; Sun, X.; Wang, C.; Yang, R.; Zhu, J. Preparation and characterization of anti-freezing asphalt pavement. Constr. Build. Mater. 2020, 236, 117579. [Google Scholar] [CrossRef]
- Sun, R. Development and Performance Evaluation of Slow-Release Salt Storage Asphalt Mixture; Harbin Institute of Technology: Harbin, China, 2012. [Google Scholar] [CrossRef]
- Xu, O.; Han, S. Effect of salt on the performance of salt storage asphalt mixture. J. Chang. Univ. (Nat. Sci. Ed.) 2015, 35, 8–12. [Google Scholar]
- Liu, J. Study on Ice Melting Performance of Salt Asphalt Mixture; Chongqing Jiaotong University: Chongqing, China, 2021. [Google Scholar] [CrossRef]
- Guo, P.; Feng, Y.; Meng, X.; Meng, J.; Pan, W.; Gao, Y.; Liu, Y. Microscopic analysis of salt storage snow melting deicer and its effect on water stability of mixture. Materials 2020, 34, 62–65. [Google Scholar]
- Liu, Z.; Xing, M.; Chen, S.; He, R.; Cong, P. Influence of the chloride-based anti-freeze filler on the properties of asphalt mixtures. Constr. Build. Mater. 2014, 51, 133–140. [Google Scholar] [CrossRef]
- Liu, Z.; Sha, A.; Jiang, W. Research progress of salt asphalt pavement: Salt material, mixture and its performance and evaluation. China J. Highw. 2019, 32, 18–31+72. [Google Scholar] [CrossRef]
- Yang, X. Study on Slow-Release Mechanism and Long-Term Evaluation Method of Low Freezing Point Asphalt Mixture; Harbin Institute of Technology: Harbin, China, 2017. [Google Scholar]
- Zheng, M.; Zhou, J.; Wu, S.; Yuan, H.; Meng, J. Evaluation of long-term performance of anti-icing asphalt pavement. Constr. Build. Mater. 2015, 84, 277–283. [Google Scholar] [CrossRef]
- Muthumani, A.; Fay, L.; Akin, M.; Wang, S.; Gong, J.; Shi, X. Correlating lab and field tests for evaluation of deicing and anti-icing chemicals: A review of potential approaches. Cold Reg. Sci. Technol. 2014, 97, 21–32. [Google Scholar] [CrossRef]
- Fu, J.; Peng, C.; Zhao, Z.; Wang, W.; Yu, J. Study on the influence of rainwater on the self-melting ice performance of salt storage asphalt pavement. J. Wuhan Univ. Technol. 2015, 37, 50–54. [Google Scholar]
- Peng, C.; Yu, J.; Zhao, Z.; Fu, J.; Zhao, M.; Wang, W.; Dai, J. Preparation and properties of a layered double hydroxide deicing additive for asphalt mixture. Cold Reg. Sci. Technol. 2015, 110, 70–76. [Google Scholar] [CrossRef]
- Gao, Y.; Xu, Z.; Li, X.; Guo, Q.; Wang, K. Preparation and properties of PEG/EG/SiO2 composite form-stable phase change materials. New Chem. Mater. 2022, 1–6. [Google Scholar] [CrossRef]
- Zhang, Q.; Luo, J.; Chen, C.; Zhao, Y.; Zhang, Y. Study on hydrothermal sensitivity of steel slag asphalt mixture. Appl. Chem. Ind. 2023, 1–13. [Google Scholar] [CrossRef]
- Wang, Q. Introduction to Chemical Kinetics; Jilin People’s Publishing House: Changchun, China, 1982. [Google Scholar]
- Cao, Y. The Effect of Slow-Release Anti-Icing Agent on the Performance of Asphalt and Asphalt Mixture; Chongqing Jiaotong University: Chongqing, China, 2023. [Google Scholar] [CrossRef]
- JTG E20-2011; Standard Test Methods of Bitumen and Bituminous Mixtures for Highway Engineering. China Communications Press: Beijing, China, 2011.
Disclaimer/Publisher’s Note: The statements, opinions and data contained in all publications are solely those of the individual author(s) and contributor(s) and not of MDPI and/or the editor(s). MDPI and/or the editor(s) disclaim responsibility for any injury to people or property resulting from any ideas, methods, instructions or products referred to in the content. |
© 2024 by the authors. Licensee MDPI, Basel, Switzerland. This article is an open access article distributed under the terms and conditions of the Creative Commons Attribution (CC BY) license (https://creativecommons.org/licenses/by/4.0/).













