Flexural Behavior of Partially Encased Composite Beams with a Large Tensile Reinforcement Ratio
Abstract
1. Introduction
2. Materials and Methods
2.1. Specimen Details
2.2. Loading Set-Up
3. Results and Discussion
3.1. Experimental Observation
3.2. Load–Deflection Behavior
3.3. Slip between Steel Beam and Concrete Encasement
3.4. Strain Distribution along the Width of the Concrete Slab
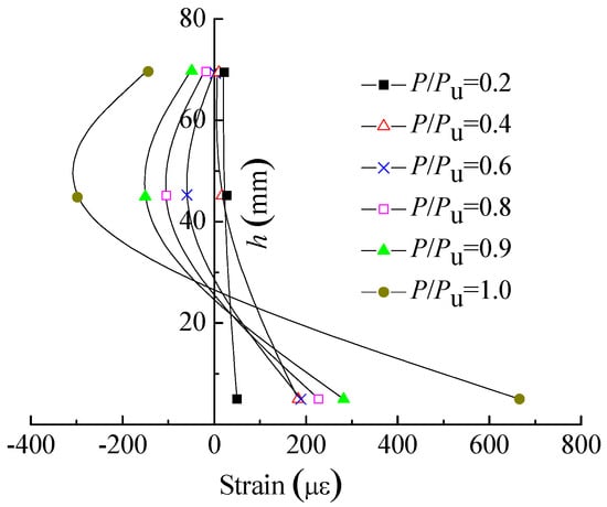
3.5. Strain Distribution along the Height of the Mid-Span Section
3.6. Strain Distribution of the Stud on the Steel Web
3.7. Strain of the Bottom Steel Flange and the Tensile Reinforcement
3.8. Maximum Crack Width on the Concrete Encasement
4. Calculation of Ultimate Flexural Capacity
5. Conclusions
- All PECB specimens failed in a fairly ductile manner, with the concrete slab at the mid-span crushed. The addition of studs on the steel web effectively inhibits the relative slip between the web encasement and the steel beam.
- The encasing concrete strength and the addition of studs on the steel web have no obvious effect on both the elastic and plastic bending resistance of PECBs. The addition of studs on the steel web significantly slows down the stiffness deterioration of PECBs within the elastoplastic stage, while the flexural stiffness is not obviously affected by the strength of the encasing concrete.
- In the mid-span section of all three PECB specimens, the bottom steel flange, the outer and the inner layers of tensile reinforcement in the web encasement yield sequentially as the load increases, and the vast majority of the structural steel section has entered the yield stage under the failure load. In the case of a 5% tensile reinforcement ratio, as is the upper limit of the fire design in EN 1994-1-2, natural bonding and friction forces ensure the yield of the tensile reinforcement whether studs are added on the steel web or not.
- Due to the constraints of the steel web and flanges, the maximum crack width develops quite slowly in both the elastic and elastoplastic stages of PECB specimens, which meets the requirements of serviceability limit state.
- In general, the simplified plastic theory is applicable and somewhat safe to predict the flexural capacity of PECBs with a large tensile reinforcement ratio.
Author Contributions
Funding
Data Availability Statement
Conflicts of Interest
References
- Hu, X.; Jiang, Y.; Shi, Y.; Wei, T. Experimental study on flexural behavior of simply supported partially concrete encased composite beams. J. Build. Struct. 2015, 36, 37–44. (In Chinese) [Google Scholar]
- Jiang, Y.; Hu, X.; Hong, W.; Wang, B. Experimental study and theoretical analysis of partially encased continuous composite beams. J. Constr. Steel Res. 2016, 117, 152–160. [Google Scholar] [CrossRef]
- Piloto, P.A.G.; Gavilán, A.B.R.; Zipponi, M.; Marini, A.; Mesquita, L.M.; Plizzari, G. Experimental investigation of the fire resistance of partially encased beams. J. Constr. Steel Res. 2013, 80, 121–137. [Google Scholar] [CrossRef]
- Ahn, J.K.; Lee, C.H. Fire behavior and resistance of partially encased and slim-floor composite beams. J. Constr. Steel Res. 2017, 129, 276–285. [Google Scholar] [CrossRef]
- Piloto, P.A.G.; Ramos-Gavilán, A.B.; Gonçalves, C.; Mesquita, L.M. Experimental bending tests of partially encased beams at elevated temperatures. Fire Saf. J. 2017, 92, 23–41. [Google Scholar] [CrossRef]
- Wang, W.; Jiang, B.; Ding, F.; Wang, L. Numerical analysis on mechanical behavior of steel-concrete composite beams under fire. Struct. Des. Tall. Spec. 2023, 32, e2012. [Google Scholar]
- Kindmann, R.; Bergmann, R.; Cajot, L.G.; Schleich, J.B. Effect of reinforced concrete between the flanges of the steel girder of partially encased composite beams. J. Constr. Steel Res. 1993, 27, 107–122. [Google Scholar] [CrossRef]
- Hegger, J.; Goralski, C. Structural behavior of partially concrete encased composite sections with high strength concrete. In Proceedings of the Composite Construction in Steel and Concrete V, Kruger National Park, South Africa, 18–23 July 2006; pp. 346–355. [Google Scholar]
- Nakamura, S.; Narita, N. Bending and shear strengths of partially encased composite I-girders. J. Constr. Steel Res. 2003, 59, 1435–1453. [Google Scholar] [CrossRef]
- He, J.; Liu, Y.; Chen, A.; Yoda, T. Bending behavior of concrete-encased composite I-girder with corrugated steel web. Thin-Walled Struct. 2014, 74, 70–84. [Google Scholar] [CrossRef]
- Jiang, Y.; Hu, X.; Hong, W.; Sun, W. Investigation on partially concrete encased composite beams under negative bending moment. Adv. Struct. Eng. 2017, 20, 461–470. [Google Scholar] [CrossRef]
- Xue, Y.; Hao, N.; Yang, Y.; Yu, Y. A novel shear strength model for partially encased composite (PEC) beams based on strain compatibility. Eng. Struct. 2022, 267, 114660. [Google Scholar] [CrossRef]
- Wang, N.; Hou, H.; Wang, Y.; Qu, B.; Zeng, X.; Fang, H.; Yan, H.; Gao, M.; Xiong, F. Flexural behavior of partially encased cellular beams: Tests and design implications. Eng. Struct. 2023, 293, 116631. [Google Scholar] [CrossRef]
- Zhao, B.; Huo, H.; Ran, C.; Fang, C.; Wang, W.; Zhou, H. Flexural behavior of castellated partially encased composite (PEC) beams. J. Constr. Steel Res. 2024, 214, 108509. [Google Scholar] [CrossRef]
- Chu, L.; Guo, X.; Li, J.; Xie, X.; Li, D.; Ma, X. Experimental study on the flexural behavior of partially encased composite beams with corrugated steel webs. Adv. Struct. Eng. 2024, 27, 1071–1084. [Google Scholar] [CrossRef]
- EN 1994-1-1; Eurocode 4: Design of Composite Steel and Concrete Structures—Part 1.1, General Rules and Rules for Buildings. CEN, European Committee for Standardization: Brussels, Belgium, 2004.
- EN 1994-1-2; Eurocode 4: Design of Composite Steel and Concrete Structures—Part 1.2, General Rules—Structural Fire Design. CEN, European Committee for Standardization: Brussels, Belgium, 2011.
- EN 1992-1-1; Eurocode 2: Design of Concrete Structures—Part 1.1, General Rules and Rules for Buildings. CEN, European Committee for Standardization: Brussels, Belgium, 2004.
- GB/T 50081-2019; Standard for Test Methods of Concrete Physical and Mechanical Properties. China Architecture and Building Press: Beijing, China, 2019. (In Chinese)
- GB/T 228-2010; Metallic Materials-Tensile Testing-Part 1: Method of Test at Room Temperature. China Architecture and Building Press: Beijing, China, 2010. (In Chinese)
- He, Z.-Q.; Ou, C.; Tian, F.; Liu, Z. Experimental Behavior of Steel-Concrete Composite Girders with UHPC-Grout Strip Shear Connection. Buildings 2021, 11, 182. [Google Scholar] [CrossRef]
- Du, H.; Yuan, S.; Yu, T.; Hu, X. Experimental and Analytical Investigation on Flexural Behavior of High-Strength Steel-Concrete Composite Beams. Buildings 2023, 13, 902. [Google Scholar] [CrossRef]














| Specimen | Concrete Strength | Web Connection | Slab Reinforcement | Reinforcement in Web Encasement | ||
|---|---|---|---|---|---|---|
| Slab | Encasement | Longitudinal Bars | Stirrups | |||
| PECB1 | C40 | C30 | None | A10@125 steel mesh × 2 | 4A8 + 8C20 (ρ = 5%) | A8@200 |
| PECB2 | C40 | C60 | None | 4A8 + 8C20 (ρ = 5%) | ||
| PECB3 | C40 | C30 | Studs | 4A8 + 8C20 (ρ = 5%) | ||
| Specimen | PECB1 | PECB2 | PECB3 | |
|---|---|---|---|---|
| Cubic compressive strength (N/mm2) | Slab | 43.1 (2.7%) | 42.1 (2.2%) | 42.3 (3.5%) |
| Web encasement Ι | 28.7 (3.1%) | 61.2 (2.9%) | 29.1 (2.3%) | |
| Web encasement Ⅱ | 31.8 (2.3%) | 63.0 (3.4%) | 30.6 (2.0%) | |
| Type | Yield Strength (N/mm2) | Ultimate Strength (N/mm2) | |
|---|---|---|---|
| Structural steel | Q235B | 297 (5.1%) | 425 (5.5%) |
| Bar | C20 | 486 (4.7%) | 648 (6.2%) |
| Stud | M19 × 80 | 430 (4.3%) | 524 (5.6%) |
| Specimen | My (kN·m) | Mu (kN·m) | δy (mm) | δu (mm) | Mu/ My | δu/ δy |
|---|---|---|---|---|---|---|
| PECB1 | 633.8 | 1034.3 | 21.9 | 115.6 | 1.6 | 5.3 |
| PECB2 | 594.0 | 1022.2 | 22.1 | 107.8 | 1.7 | 4.9 |
| PECB3 | 597.6 | 1042.7 | 16.5 | 100.6 | 1.7 | 6.1 |
| Specimen | Mpl, 2% (kN·m) | Mpl, 5% (kN·m) | Mu (kN·m) | (Mpl, 5% −Mu)/Mu | (Mpl, 5% −Mpl, 2%)/Mpl, 2% |
|---|---|---|---|---|---|
| PECB1 | 698.6 | 925.0 | 1034.3 | −10.6% | 32.4% |
| PECB2 | 697.2 | 922.6 | 1022.2 | −9.7% | 32.3% |
| PECB3 | 697.4 | 923.1 | 1042.7 | −11.5% | 32.4% |
Disclaimer/Publisher’s Note: The statements, opinions and data contained in all publications are solely those of the individual author(s) and contributor(s) and not of MDPI and/or the editor(s). MDPI and/or the editor(s) disclaim responsibility for any injury to people or property resulting from any ideas, methods, instructions or products referred to in the content. |
© 2024 by the authors. Licensee MDPI, Basel, Switzerland. This article is an open access article distributed under the terms and conditions of the Creative Commons Attribution (CC BY) license (https://creativecommons.org/licenses/by/4.0/).
Share and Cite
Jiang, Y.; Hu, X.; Zheng, H.; Shuai, H. Flexural Behavior of Partially Encased Composite Beams with a Large Tensile Reinforcement Ratio. Buildings 2024, 14, 1606. https://doi.org/10.3390/buildings14061606
Jiang Y, Hu X, Zheng H, Shuai H. Flexural Behavior of Partially Encased Composite Beams with a Large Tensile Reinforcement Ratio. Buildings. 2024; 14(6):1606. https://doi.org/10.3390/buildings14061606
Chicago/Turabian StyleJiang, Yuchen, Xiamin Hu, Hao Zheng, and Haoyang Shuai. 2024. "Flexural Behavior of Partially Encased Composite Beams with a Large Tensile Reinforcement Ratio" Buildings 14, no. 6: 1606. https://doi.org/10.3390/buildings14061606
APA StyleJiang, Y., Hu, X., Zheng, H., & Shuai, H. (2024). Flexural Behavior of Partially Encased Composite Beams with a Large Tensile Reinforcement Ratio. Buildings, 14(6), 1606. https://doi.org/10.3390/buildings14061606
