Dynamic Stability for Seismic-Excited Earth Retaining Structures Following a Nonlinear Criterion
Abstract
1. Introduction
2. Modified Mohr–Coulomb Strength Criterion
3. Failure Mechanism for an Earth Retaining Structure
4. Active Earth Pressure
5. Computation Analysis
5.1. Optimization of Objective Function
5.2. Comparison and Validation
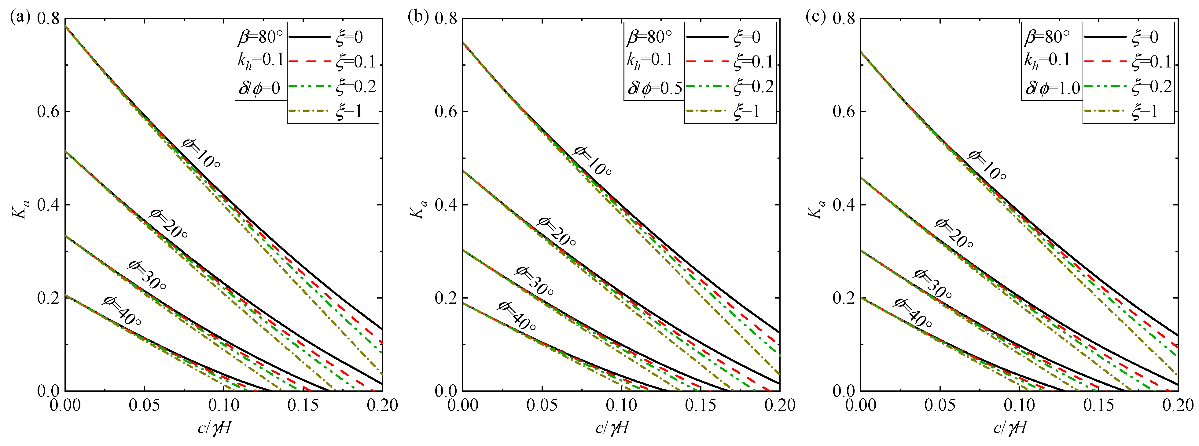
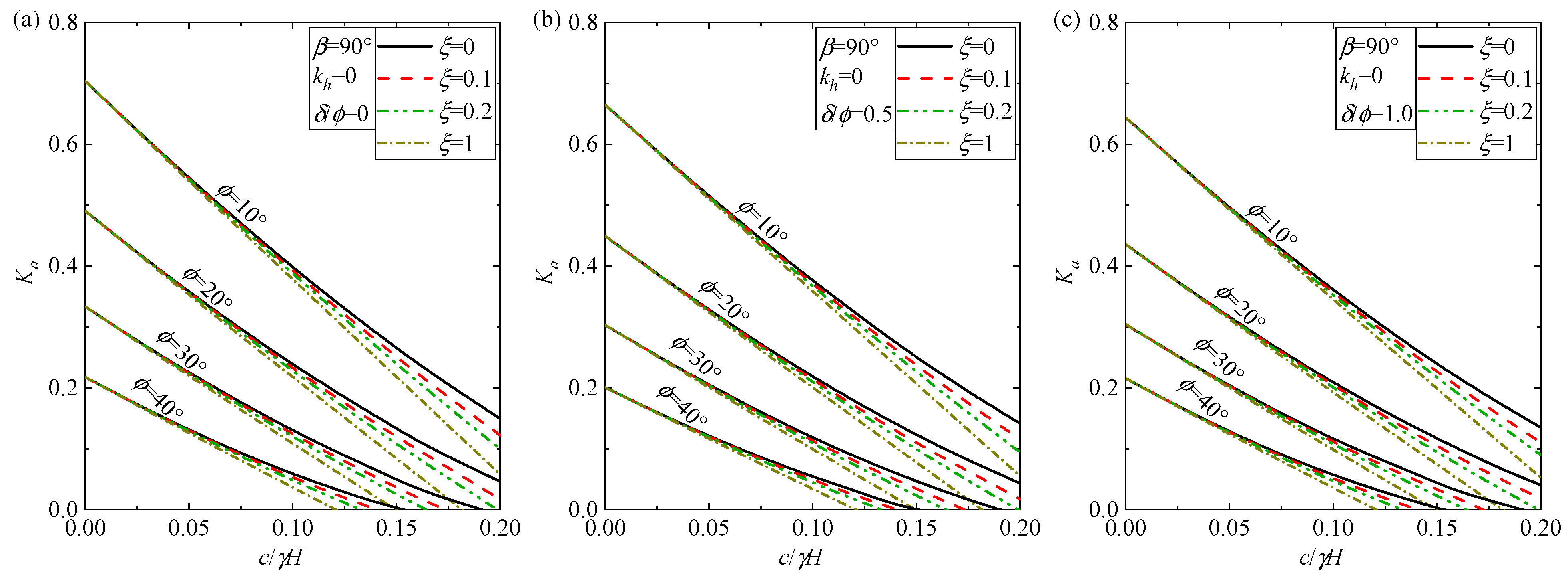
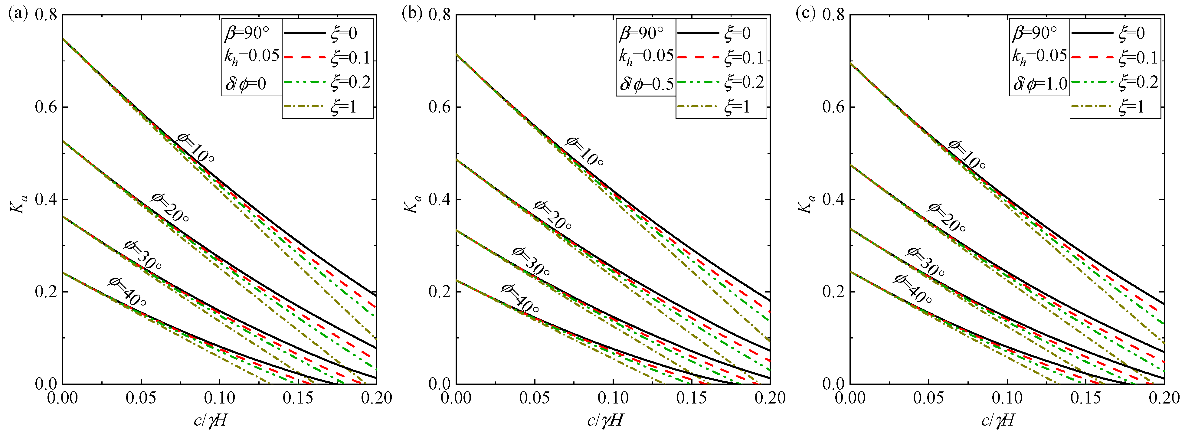
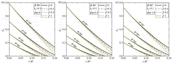
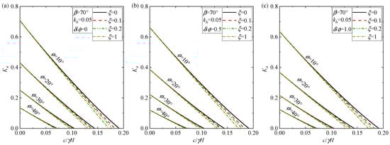
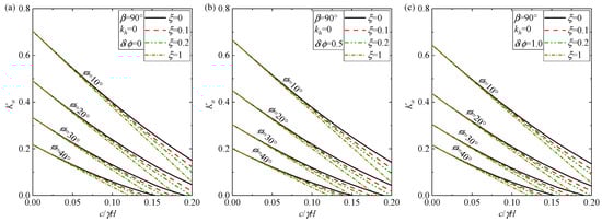
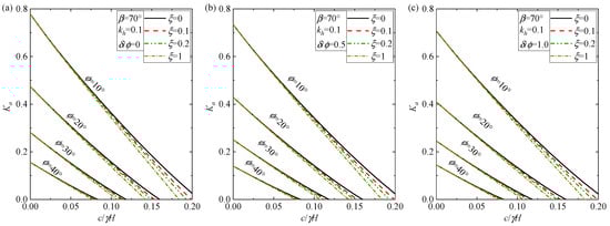
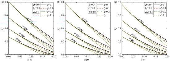
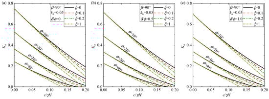
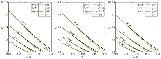
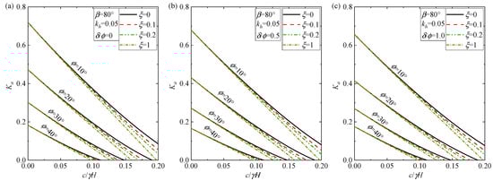
5.3. Parametric Analysis
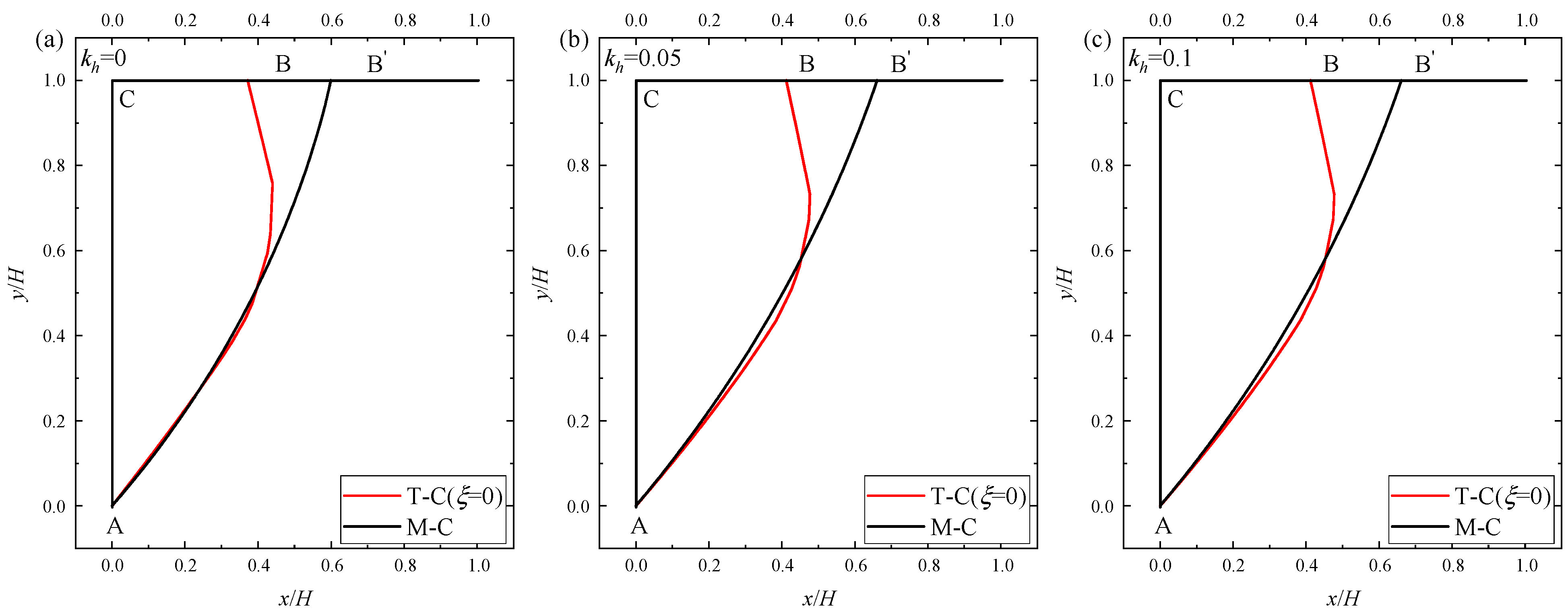
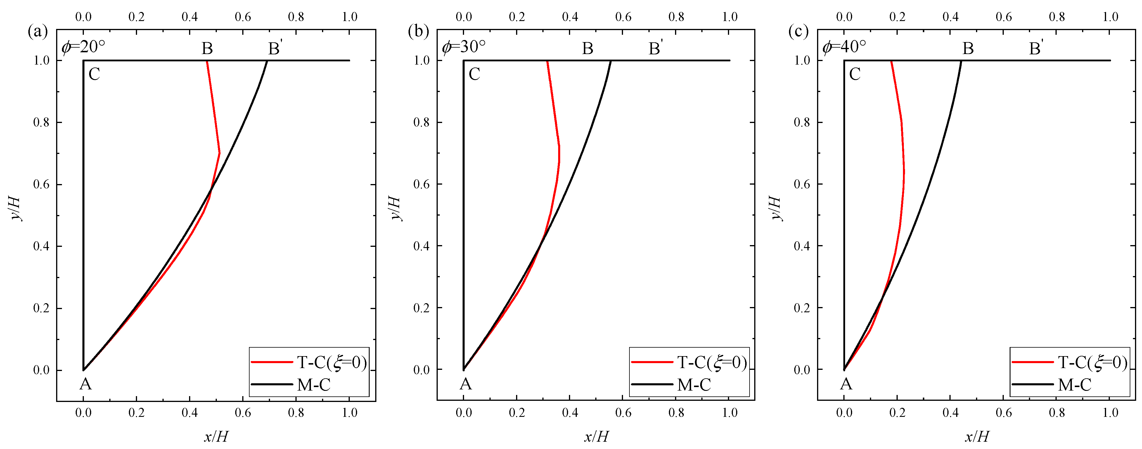
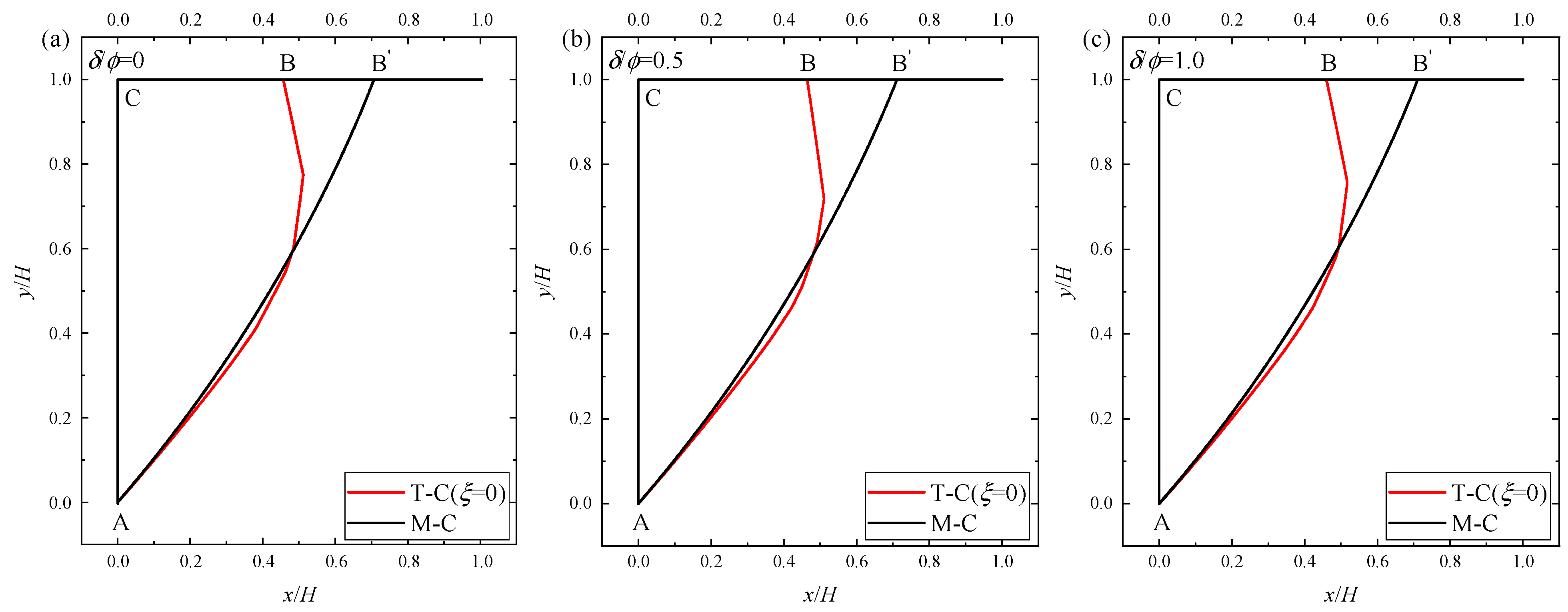
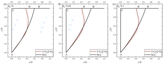
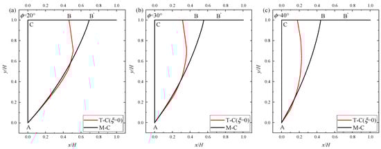
5.4. Failure Patterns for Earth Retaining Structures
6. Conclusions
- (1)
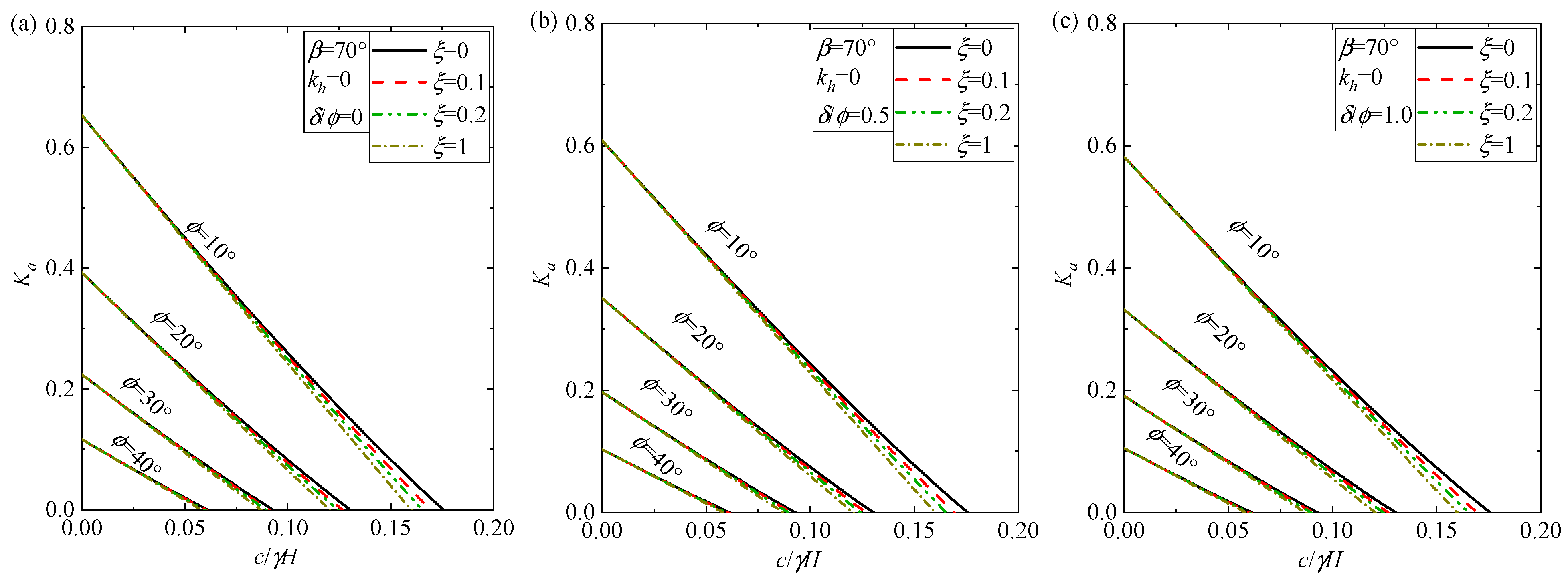
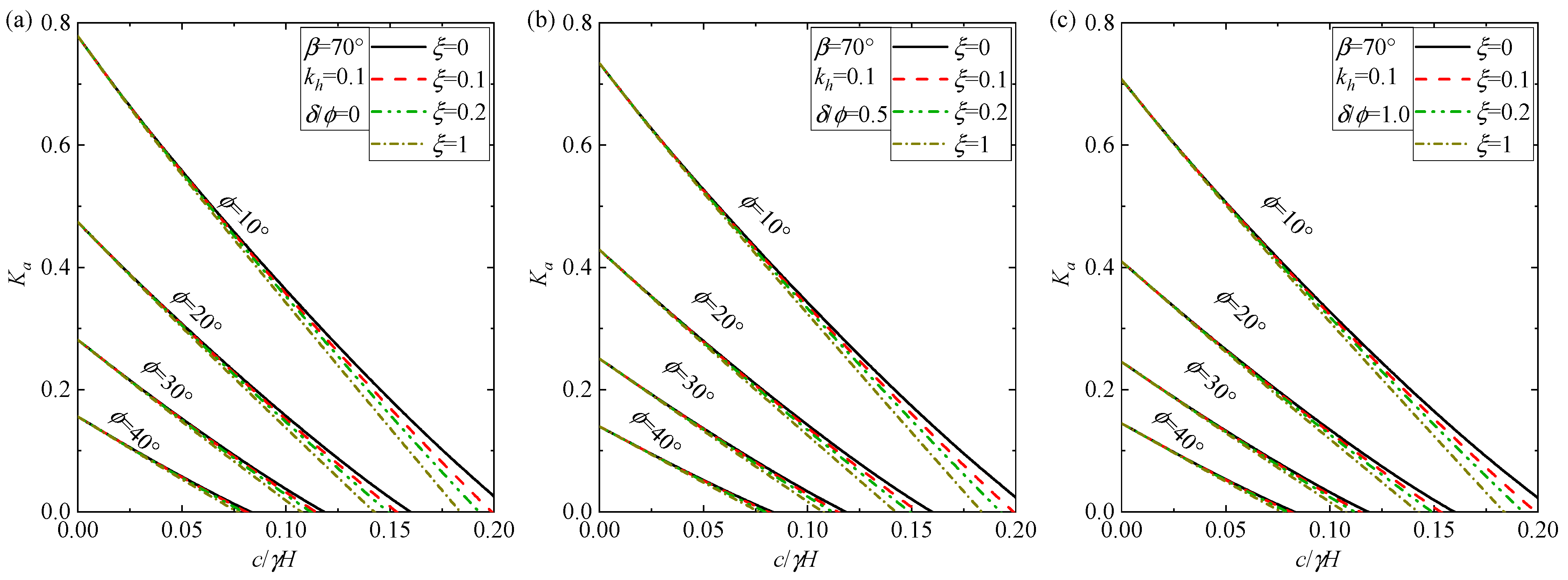
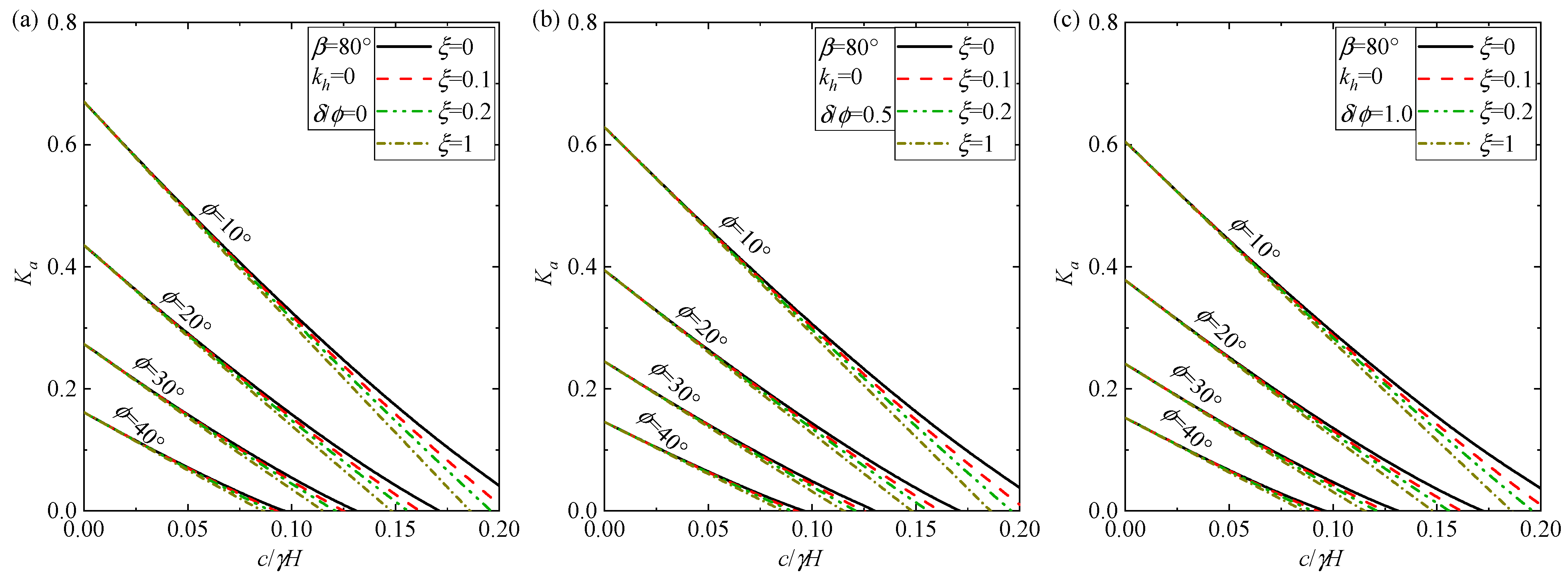
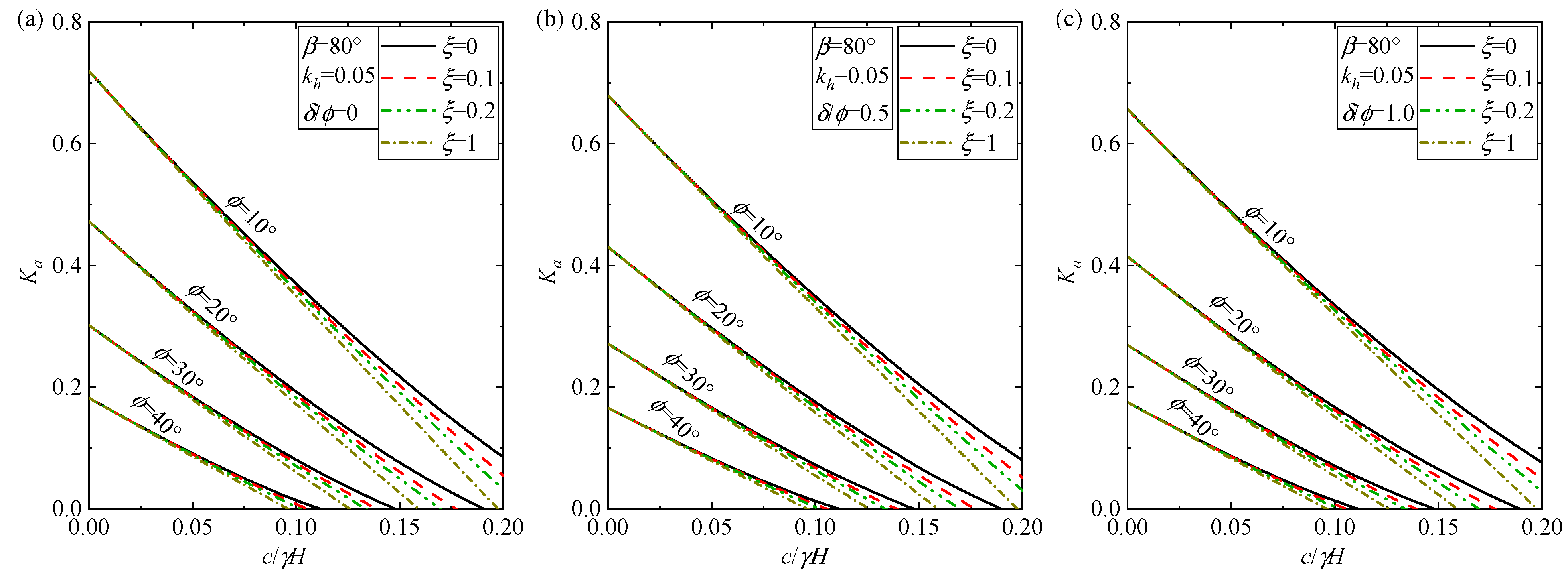
- The influence of c/γH on the stability of the earth retaining structure gradually weakens with the increase in the magnitude of TC and ϕ. While less affected by ϕ and c/γH gradually, the stability of an earth retaining structure continues to improve with the increase of ϕ and c/γH.
- (2)
- Seismic load has a significant adverse effect on the stability of earth retaining structures. Its influence on Ka progressively increases with the increasing δ/ϕ and ϕ, while decreasing in the inclined angle β.
- (3)
- The failure areas of an earth retaining structure with TC are smaller than the areas calculated from the linear MC criterion. The failure areas of the retaining structure diminish with the increase in the horizontal seismic load coefficient kh and the decrease in the internal friction angle ϕ. The larger the internal friction angle ϕ, the greater the effect of the reduction coefficient ξ on the extent of the failure surface. The δ/ϕ ratio has almost no impact on the failure patterns of earth retaining structures, whether soil strength TC is taken into consideration or not.
Author Contributions
Funding
Data Availability Statement
Conflicts of Interest
References
- Han, S.; Gong, J.; Zhang, Y. Earth pressure of layered soil on retaining structures. Soil Dyn. Earthq. Eng. 2016, 83, 33–52. [Google Scholar] [CrossRef]
- Nian, T.K.; Han, J. Analytical solution for Rankine’s seismic active earth pressure in c-ϕ soil with infinite slope. J. Geotech. Geoenviron. Eng. 2013, 139, 1611–1616. [Google Scholar] [CrossRef]
- Liu, J.Y.; Liu, J. Seismic active earth pressure in nonhomogeneous and anisotropic soils. Comput. Geotech. 2024, 170, 106315. [Google Scholar] [CrossRef]
- Brandenberg, S.J.; Mylonakis, G.; Stewart, J.P. Approximate solution for seismic earth pressures on rigid walls retaining inhomogeneous elastic soil. Soil Dyn. Earthq. Eng. 2017, 97, 468–477. [Google Scholar] [CrossRef]
- Paik, K.H.; Salgado, R. Estimation of active earth pressure against rigid retaining walls considering arching effects. Géotechnique 2003, 53, 643–654. [Google Scholar] [CrossRef]
- Okabe, S. General theory on earth pressure and seismic stability of retaining wall and dam. J. Jpn. Soc. Civ. Eng. 1924, 10, 1277–1323. [Google Scholar]
- Iskander, M.; Chen, Z.; Omidvar, M.; Guzman, I.; Elsherif, O. Active static and seismic earth pressure for c-ϕ soils. Soils Found 2013, 53, 639–652. [Google Scholar] [CrossRef]
- Krabbenhoft, K. Static and seismic earth pressure coefficients for vertical walls with horizontal backfill. Soil Dyn. Earthq. Eng. 2018, 104, 403–407. [Google Scholar] [CrossRef]
- Wang, L.; Sun, D.A.; Chen, B.o.; Li, J. Three-dimensional seismic stability of unsaturated soil slopes using a semi-analytical method. Comput. Geotech. 2019, 110, 296–307. [Google Scholar] [CrossRef]
- Richards, R.; Shi, X. Seismic lateral pressures in soils with cohesion. J. Geotech. Eng. 1994, 120, 1230–1251. [Google Scholar] [CrossRef]
- Antão, A.N.; Santana, T.; da Silva, M.V.; Guerra, N.M. Three-dimensional active earth pressure coefficients by upper bound numerical limit analysis. Comput. Geotech. 2016, 79, 96–104. [Google Scholar] [CrossRef]
- Jo, S.B.; Ha, J.G.; Lee, J.S.; Kim, D.S. Evaluation of the seismic earth pressure for inverted T-shape stiff retaining wall in cohesionless soils via dynamic centrifuge. Soil Dyn. Earthq. Eng. 2017, 92, 345–357. [Google Scholar] [CrossRef]
- Shukla, S.J.; Gupta, S.K.; Sivakugan, N. Active earth pressure on retaining wall for c-ϕ soil backfill under seismic loading conditions. J. Geotech. Geoenviron. Eng. 2009, 135, 690–696. [Google Scholar] [CrossRef]
- Pain, A.; Chen, Q.S.; Nimbalkar, S.; Zhou, Y.T. Evaluation of seismic passive earth pressure of inclined rigid retaining wall considering soil arching effect. Soil Dyn. Earthq. Eng. 2017, 100, 286–295. [Google Scholar] [CrossRef]
- Madabhushi, S.P.G.; Zeng, X. Simulating seismic response of cantilever retaining walls. J. Geotech. Geoenviron. Eng. 2007, 133, 539–549. [Google Scholar] [CrossRef]
- Yang, X.L.; Li, Z.W. Upper bound analysis of 3D static and seismic active earth pressure. Soil Dyn. Earthq. Eng. 2018, 108, 18–28. [Google Scholar] [CrossRef]
- Saran, S.; Gupta, R.P. Seismic earth pressures behind retaining walls. Indian Geotech. J. 2003, 33, 195–213. [Google Scholar]
- Azada, A.; Yasrobia, S.S.; Pak, A. Seismic active pressure distribution history behind rigid retaining walls. Soil Dyn. Earthq. Eng. 2008, 28, 365–375. [Google Scholar] [CrossRef]
- Li, Z.W.; Yang, X.L. Active earth pressure for retaining structures in cohesive backfills with tensile strength cut-off. Comput. Geotech. 2019, 110, 242–250. [Google Scholar] [CrossRef]
- Li, T.; Gong, W.; Yang, X. Stability analysis of a non-circular tunnel face in soils characterized by modified Mohr-Coulomb yield criterion. Tunn. Undergr. Space Technol. 2021, 109, 103785. [Google Scholar] [CrossRef]
- Yang, X.L. Upper bound limit analysis of active earth pressure with different fracture surface and nonlinear yield criterion. Theor. Appl. Fract. Mech. 2007, 47, 46–56. [Google Scholar] [CrossRef]
- Li, Z.W.; Yang, X.L. Active earth thrust considering tension crack, pore-water pressure and soil nonlinearity. Ksce J. Civ. Eng. 2019, 23, 56–62. [Google Scholar] [CrossRef]
- Yang, X.L.; Li, Z.W. Kinematical analysis of 3D passive earth pressure with nonlinear yield criterion. Int. J. Numer. Anal. Methods Geomech. 2018, 42, 916–930. [Google Scholar] [CrossRef]
- Li, Z.W.; Yang, X.L. Pseudodynamic estimation of 3D active earth pressures with a nonlinear strength criterion. Int. J. Geomech. 2023, 23, 06023013. [Google Scholar] [CrossRef]
- Park, D.; Wang, Z.; Michalowski, R.L. Consequences of seismic excitation on slopes in soils with a tensile strength cutoff. Geotech. Spec. Publ. 2017, 304–313. [Google Scholar]
- Michalowski, R.L. Stability of intact slopes with tensile strength cut-off. Géotechnique 2017, 67, 720–727. [Google Scholar] [CrossRef]
- He, Y.; Liu, Y.; Hazarika, H.; Yuan, R. Stability analysis of seismic slopes with tensile strength cut-off. Comput. Geotech. 2019, 112, 245–256. [Google Scholar] [CrossRef]
- Chen, W.F. Limit Analysis and Soil Plasticity; Elsevier: Amsterdam, The Netherlands, 1975. [Google Scholar]
- Chen, W.F.; Liu, X.L. Limit Analysis in Soil Mechanics; Elsevier: Amsterdam, The Netherlands, 1990. [Google Scholar]
- Zhang, R.; Yang, X.L. Limit analysis of anchor trapdoor embedded in nonhomogeneous and nonlinear soils. Int. J. Geomech. 2019, 19, 04019089. [Google Scholar] [CrossRef]
- Zhang, R.; Yang, X.L. New 3D failure analysis of water-filled karst cave beneath deep tunnel. Geomech. Eng. 2019, 18, 1–9. [Google Scholar]
- Li, T.Z.; Yang, X.L. Stability of plane strain tunnel headings in soils with tensile strength cut-off. Tunn. Undergr. Space Technol. 2020, 95, 103138. [Google Scholar] [CrossRef]
- Huang, F.; Zhang, M.; Wang, F.; Ling, T.H.; Yang, X.L. The failure mechanism of surrounding rock around an existing shield tunnel induced by an adjacent excavation. Comput. Geotech. 2020, 117, 103236. [Google Scholar] [CrossRef]
- Drucker, D.C.; Prage, W. Soil mechanics and plastic analysis or limit design. Q. Appl. Math. 1952, 10, 157–165. [Google Scholar] [CrossRef]
- Paul, B. A modification of the Coulomb-Mohr theory of fracture. J. Appl. Mech. 1961, 28, 259–268. [Google Scholar] [CrossRef]
- Xu, J.S.; Li, Y.X.; Yang, X.L. Seismic and static 3D stability of two-stage slope considering joined influences of nonlinearity and dilatancy. KSCE J. Civ. Eng. 2018, 22, 3827–3836. [Google Scholar] [CrossRef]
- Deng, B.; Yang, M. Stability analysis of geosynthetic-reinforced soil structures under steady infiltrations. Acta Geotech. 2022, 17, 205–220. [Google Scholar] [CrossRef]
- Park, D. Roof stability analysis of cylindrical tunnels in hard soil/soft rock with reduced tension strength. Comput. Geotech. 2023, 164, 105838. [Google Scholar] [CrossRef]
- Xu, J.S.; Wang, X.R.; Li, L.Y.; Du, X.L. Required Active Earth Pressure for 3D ERSs Following a Modified Mohr-Coulomb Strength Criterion. Geotech. Eng. 2024, 28, 2639–2646. [Google Scholar] [CrossRef]














| β | ξ | Solutions | ϕ | ||||
|---|---|---|---|---|---|---|---|
| 10° | 20° | 30° | 40° | 50° | |||
| 60° | 0 | γH/c by Michalowski [26] | 6.84 | 9.92 | 15.49 | 28.23 | 77.45 |
| Ka from the corresponding γH/c [26] | 0 | 0 | 0 | 0 | 0 | ||
| Present Ka solution | −1.216 | −0.328 | −0.177 | −0.041 | −0.041 | ||
| 0.2 | γH/c by Michalowski [26] | 7.10 | 10.18 | 15.77 | 28.54 | 77.88 | |
| Ka from the corresponding γH/c [26] | 0 | 0 | 0 | 0 | 0 | ||
| Present Ka solution | −0.591 | −0.493 | −0.102 | −0.039 | −0.039 | ||
| 0.5 | γH/c by Michalowski [26] | 7.24 | 10.36 | 15.99 | 28.81 | 78.30 | |
| Ka from the corresponding γH/c [26] | 0 | 0 | 0 | 0 | 0 | ||
| Present Ka solution | −0.512 | −0.226 | 0.011 | −0.019 | −0.019 | ||
| 1.0 | γH/c by Michalowski [26] | 7.25 | 10.39 | 16.03 | 28.91 | 78.52 | |
| Ka from the corresponding γH/c [26] | 0 | 0 | 0 | 0 | 0 | ||
| Present Ka solution | −0.742 | −0.033 | −0.065 | 0.010 | 0.010 | ||
| 75° | 0 | γH/c by Michalowski [26] | 5.12 | 6.72 | 9.11 | 13.04 | 20.73 |
| Ka from the corresponding γH/c [26] | 0 | 0 | 0 | 0 | 0 | ||
| Present Ka solution | −1.865 | −1.018 | −0.655 | −0.269 | −0.269 | ||
| 0.2 | γH/c by Michalowski [26] | 5.55 | 7.18 | 9.57 | 13.52 | 21.23 | |
| Ka from the corresponding γH/c [26] | 0 | 0 | 0 | 0 | 0 | ||
| Present Ka solution | −1.866 | −0.562 | −0.550 | −0.277 | −0.277 | ||
| 0.5 | γH/c by Michalowski [26] | 5.77 | 7.44 | 9.88 | 13.87 | 21.63 | |
| Ka from the corresponding γH/c [26] | 0 | 0 | 0 | 0 | 0 | ||
| Present Ka solution | −1.073 | −0.169 | −0.175 | −0.181 | −0.181 | ||
| 1.0 | γH/c by Michalowski [26] | 5.79 | 7.47 | 9.94 | 13.96 | 21.78 | |
| Ka from the corresponding γH/c [26] | 0 | 0 | 0 | 0 | 0 | ||
| Present Ka solution | −1.318 | −0.544 | −0.178 | −0.199 | −0.199 | ||
| 90° | 0 | γH/c by Michalowski [26] | 3.47 | 4.19 | 5.13 | 6.32 | 8.19 |
| Ka from the corresponding γH/c [26] | 0 | 0 | 0 | 0 | 0 | ||
| Present Ka solution | −5.431 | −6.020 | −7.863 | −4.568 | −4.568 | ||
| 0.2 | γH/c by Michalowski [26] | 4.20 | 5.02 | 6.08 | 7.53 | 9.66 | |
| Ka from the corresponding γH/c [26] | 0 | 0 | 0 | 0 | 0 | ||
| Present Ka solution | 0.556 | −1.322 | −0.355 | −0.100 | −0.100 | ||
| 0.5 | γH/c by Michalowski [26] | 4.54 | 5.43 | 6.59 | 8.14 | 10.39 | |
| Ka from the corresponding γH/c [26] | 0 | 0 | 0 | 0 | 0 | ||
| Present Ka solution | −0.028 | −0.775 | 0.119 | −0.029 | −0.029 | ||
| 1.0 | γH/c by Michalowski [26] | 4.58 | 5.55 | 6.68 | 8.28 | 10.62 | |
| Ka from the corresponding γH/c [26] | 0 | 0 | 0 | 0 | 0 | ||
| Present Ka solution | −0.634 | 3.761 | −0.603 | −0.292 | −0.292 | ||
Disclaimer/Publisher’s Note: The statements, opinions and data contained in all publications are solely those of the individual author(s) and contributor(s) and not of MDPI and/or the editor(s). MDPI and/or the editor(s) disclaim responsibility for any injury to people or property resulting from any ideas, methods, instructions or products referred to in the content. |
© 2024 by the authors. Licensee MDPI, Basel, Switzerland. This article is an open access article distributed under the terms and conditions of the Creative Commons Attribution (CC BY) license (https://creativecommons.org/licenses/by/4.0/).
Share and Cite
Xu, J.; Deng, J.; Wang, Z.; Qi, L.; Wang, Y. Dynamic Stability for Seismic-Excited Earth Retaining Structures Following a Nonlinear Criterion. Buildings 2024, 14, 4086. https://doi.org/10.3390/buildings14124086
Xu J, Deng J, Wang Z, Qi L, Wang Y. Dynamic Stability for Seismic-Excited Earth Retaining Structures Following a Nonlinear Criterion. Buildings. 2024; 14(12):4086. https://doi.org/10.3390/buildings14124086
Chicago/Turabian StyleXu, Jingshu, Jiahui Deng, Zemian Wang, Linghao Qi, and Yundi Wang. 2024. "Dynamic Stability for Seismic-Excited Earth Retaining Structures Following a Nonlinear Criterion" Buildings 14, no. 12: 4086. https://doi.org/10.3390/buildings14124086
APA StyleXu, J., Deng, J., Wang, Z., Qi, L., & Wang, Y. (2024). Dynamic Stability for Seismic-Excited Earth Retaining Structures Following a Nonlinear Criterion. Buildings, 14(12), 4086. https://doi.org/10.3390/buildings14124086
