An Improved Shear Lag Analysis Method for Composite Box Girders with Corrugated Steel Webs
Abstract
1. Introduction
2. Cross-Section Deformation on the Shear Lag Effect
2.1. Basic Assumptions
- The CBGCSW is in the elastic stage and the contribution of steel bars can be neglected in the concrete flange.
- The primary shear force is assumed to be entirely borne by the corrugated steel webs.
- Out-plane shear deformation and transverse deformation of the concrete flange are negligible.
- Local bending of the inner and outer top concrete flanges conform to the thin plate bending theory.
2.2. A Spatial Deformation Analysis of CBGCSWs
2.3. The Inner Top Concrete Flange
2.4. The Outer Top Concrete Flange
2.5. Shear-Lag Warping Displacement Function for CBGCSWs
2.6. The Derivation of Control Differential Equations for the Shear Lag Effect
3. Case Study
4. Parametric Analysis
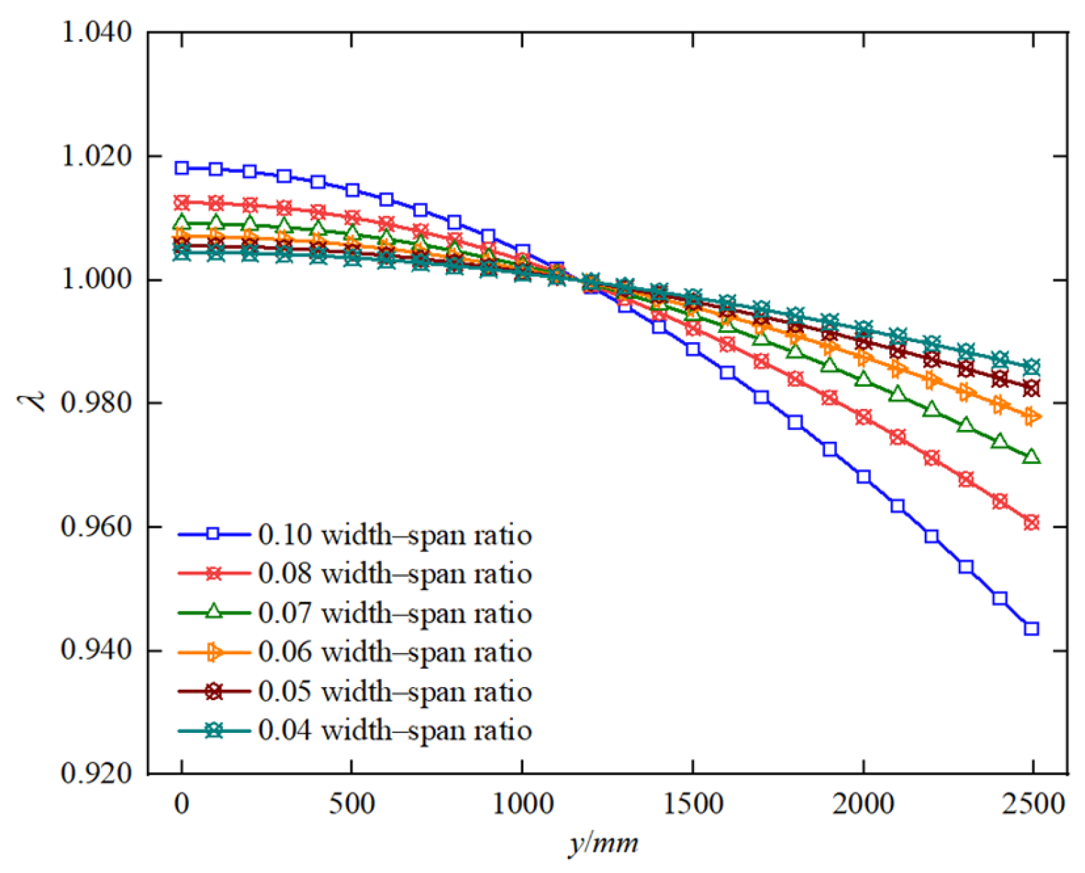
4.1. Influence of the Width–Span Ratio
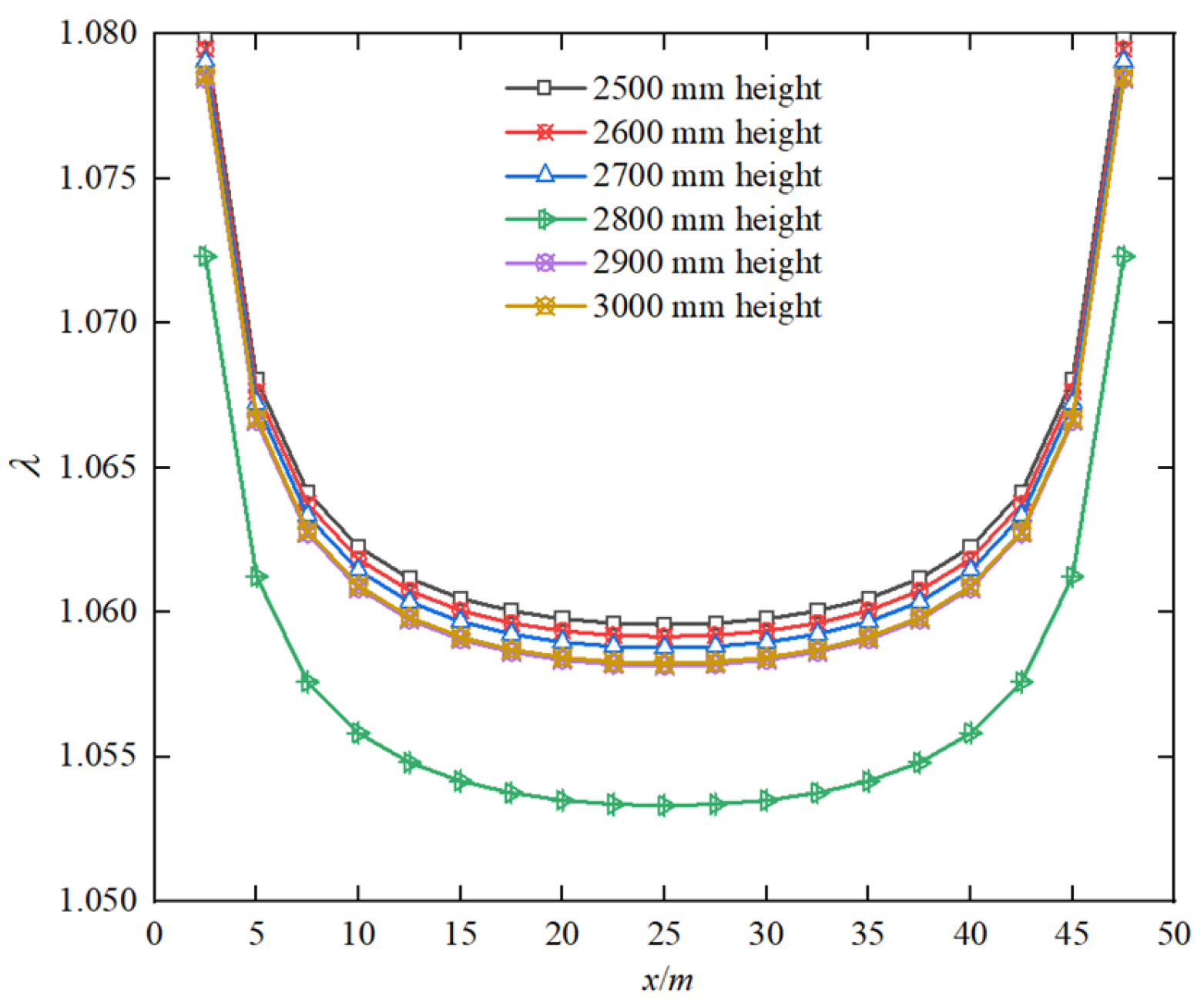
4.2. The Influence of the Height–Span Ratio
5. Conclusions
- ▪
- This paper proposed a method for investigating the shear lag effect on the CBGCSWs under consideration for spatial deformation of the top flange. By analyzing the shear deformation law of the flanges, defining the shear lag warping displacement function of each flange in accordance with the shear deformation law and considering the influence of transverse deformation of the top flange on the shear lag effect under load, an analytical solution for the shear lag effect on CBGCSWs is derived, based on the energy variational principle.
- ▪
- Local deformation of the top plate will result in longitudinal stresses in opposite directions on its top and bottom surfaces, leading to an uneven distribution of shear lag coefficients on the top, middle, and bottom surfaces of the top plate under a uniform load. Specifically, the shear lag effect on the top surface of the top plate exhibits a positive shear lag at the center of the internal top plate, negative shear lag at the intersection of the top belly plate and wing flange, and a negative shear lag at the free edge of the external top plate.
- ▪
- The width–span ratio leads to severe shear lag effects on the top and middle inner wing sections, but weaker shear lag effects on the top and middle surfaces of the outer wing sections. Additionally, an increasing width–span ratio also results in more severe shear lag effects on the bottom surfaces of both inner and outer wing sections. The shear lag effect on the top wing section is negligible. An increase in the width–to–span ratio leads to a severe shear lag effect on the inner side of the top flange, and results in a more severe shear lag effect on the middle surface of the inner side of the top flange, but the shear lag effect on the outer side of the top flange weakens.
Author Contributions
Funding
Data Availability Statement
Conflicts of Interest
References
- Zhu, D.; Huang, N.; Li, J.; Zhou, S.; Wu, C. Shear lag analysis of simply supported box girders considering axial equilibrium and shear deformation. Buildings 2023, 13, 2415. [Google Scholar] [CrossRef]
- Tan, C.J.; Zhang, Y.F.; Zhao, H.; Zhang, B.; Du, T. Study on Shear-Lag Effect of Steel–UHPC Ribbed Slab Composite Structures Using Bar Simulation Method. Buildings 2022, 12, 1884. [Google Scholar] [CrossRef]
- Xu, F.; Cheng, Y.; Pei, H.; Wang, J.; Zhou, M. The Influences of Positive and Negative Resal Effects on the Shear Performance of Tapered Girders with Corrugated Steel Webs. Buildings 2024, 14, 2217. [Google Scholar] [CrossRef]
- Ashrafi, H.R.; Beiranvand, P.; Pouraminian, M.; Moayeri, M.S. Examining the impact of sheet placement and changes in waves characteristics on behavior of wavy steel shear wall. Case Stud. Constr. Mater. 2018, 9, e00180. [Google Scholar] [CrossRef]
- Wang, X.D.; Miao, C.Q.; Wang, X.M. Prediction analysis of deflection in the construction of composite box-girder bridge with corrugated steel webs based on MEC-BP neural networks. Structures 2021, 32, 691–700. [Google Scholar] [CrossRef]
- Zhou, M.; Liu, Y.Y.; Wang, K.J.; Hassanein, M.F. New Asynchronous-Pouring Rapid-Construction Method for Long-Span Prestressed Concrete Box Girder Bridges with Corrugated Steel Webs. J. Constr. Eng. Manag. 2020, 146, 05019021. [Google Scholar] [CrossRef]
- Zhu, Y.B.; Shen, K.J.; Wan, S.; Brigham, J.C.; Fascetti, A.; Zhou, P. Torsional repair of damaged single-box multi-cell composite box-girder with corrugated steel webs using CFRP. Part I: Experimental investigation. Compos. Struct. 2022, 296, 115960. [Google Scholar] [CrossRef]
- Zhou, C.; Li, L.F.; Wang, J.Q. Modified bar simulation method for shear lag analysis of non-prismatic composite box girders with corrugated steel webs. Thin-Walled Struct. 2020, 155, 106957. [Google Scholar] [CrossRef]
- Liu, S.M.; De Corte, W.; Ding, H.S.; Taerwe, L. Mechanical properties of curved composite box girders with corrugated steel webs. Steel Compos. Struct. 2021, 41, 65–84. [Google Scholar]
- Singh, G.J.; Mandal, S.; Kumar, R.; Kumar, V. Simplified Analysis of Negative Shear Lag in Laminated Composite Cantilever Beam. J. Aerosp. Eng. 2020, 33, 04019103. [Google Scholar] [CrossRef]
- He, X.Y.; Xiang, Y.Q.; Chen, Z.Y. Improved method for shear lag analysis of thin-walled box girders considering axial equilibrium and shear deformation. Thin-Walled Struct. 2020, 151, 106732. [Google Scholar] [CrossRef]
- Zhou, G.P.; Li, A.Q.; Li, J.H.; Duan, M.; Spencer, B.F.; Zhu, L. Beam Finite Element Including Shear Lag Effect of Extra-Wide Concrete Box Girders. J. Bridge Eng. 2018, 23, 04018083. [Google Scholar] [CrossRef]
- Zhu, L.; Nie, J.G.; Li, F.X.; Ji, W.-Y. Simplified analysis method accounting for shear-lag effect of steel-concrete composite decks. J. Constr. Steel Res. 2015, 115, 62–80. [Google Scholar] [CrossRef]
- Kristek, V.; Evans, H.R.; Ahmad, M.K.M. A shear lag analysis for composite box girders. J. Constr. Steel Res. 1990, 16, 1–21. [Google Scholar] [CrossRef]
- Wen, Y.; Chen, Z.L. A harmonic approach to the non-uniform torsion of box girder with edge cantilevers by fully considering the secondary torsional moment deformation effect. Thin-Walled Struct. 2021, 167, 108151. [Google Scholar] [CrossRef]
- Jetteur, P. A new design method for stiffened compression flanges of box girders. Thin-Walled Struct. 1983, 1, 189–210. [Google Scholar] [CrossRef]
- David, J.M.; Richard, G.R. Shear Lag in Stiffened Box Girders. J. Struct. Eng. 1970, 96, 1403–1419. [Google Scholar]
- Song, Q.G.; Scordelis, A.C. Formulas for Shear-Lag Effect of T-, I- and Box Beams. J. Struct. Eng. 1990, 166, 1306–1318. [Google Scholar] [CrossRef]
- Shushkewich, K.W. Negative Shear Lag Explained. J. Struct. Eng. 1991, 117, 3543–3545. [Google Scholar] [CrossRef]
- Shushkewich, K.W. Transverse analysis of strutted box girder bridges. J. Bridge Eng. 2006, 11, 33–47. [Google Scholar] [CrossRef]
- Kolakowski, Z.; Krolak, M. Modal coupled instabilities of thin-walled composite plate and shell structures. Compos. Struct. 2006, 76, 303–313. [Google Scholar] [CrossRef]
- Li, S.Y.; Hong, Y.; Gou, H.Y.; Pu, Q. An improved method for analyzing shear-lag in thin-walled girders with rectangular ribs. J. Constr. Steel Res. 2020, 177, 106427. [Google Scholar] [CrossRef]
- Li, X.Y.; Wan, S.; Zhang, Y.H.; Zhou, M.; Mo, Y. Beam finite element for thin-walled box girders considering shear lag and shear deformation effects. Eng. Struct. 2021, 233, 111867. [Google Scholar] [CrossRef]
- Luo, Z.L.; Yuan, H.Y.; Niu, X.R. A New Approach for Free Vibration Analysis of Thin-Walled Box Girder Considering Shear Lag Effect. Adv. Civ. Eng. 2019, 2019, 1–10. [Google Scholar] [CrossRef]
- Zhu, L.; Su, R.K.L.; Li, M.J. Finite beam element with 26 DOFs for curved composite box girders considering constrained torsion, distortion, shear lag and biaxial slip. Eng. Struct. 2021, 232, 111797. [Google Scholar] [CrossRef]
- Wang, X.; Rammerstorfer, F.G. Determination of effective breadth and effective width of stiffened plates by finite strip analyses. Thin-Walled Struct. 1996, 26, 261–286. [Google Scholar] [CrossRef]
- Chang, S.T.; Yun, D. Shear Lag Effect in Box Girder with Varying Depth. J. Struct. Eng. 1988, 114, 2280–2292. [Google Scholar] [CrossRef]
- Luo, Q.Z.; Wu, Y.M.; Li, Q.S.; Tang, J.; Liu, G. A finite segment model for shear lag analysis. Eng. Struct. 2004, 26, 2113–2124. [Google Scholar] [CrossRef]
- He, X.Y.; Xiang, Y.Q.; Qiu, X.; Chen, Z. Shear lag including axial balance of box beams by finite segment model. J. Constr. Steel Res. 2022, 189, 107043. [Google Scholar] [CrossRef]
- Zhang, Y.H. Improved Finite-Segment Method for Analyzing Shear Lag Effect in Thin-Walled Box Girders. J. Struct. Eng. 2012, 138, 1279–1284. [Google Scholar] [CrossRef]
- Wang, C.S.; Zhang, W.T.; Li, H.T.; Zhai, X.L.; Xin, Y.F. Shear lag effect of twin I-shaped composite girders in cable-stayed bridges. Thin-Walled Struct. 2022, 180, 109822. [Google Scholar] [CrossRef]
- Zhang, Y.H.; Lin, L.X. Shear lag analysis of thin-walled box girders based on a new generalized displacement. Eng. Struct. 2014, 61, 73–83. [Google Scholar] [CrossRef]
- Zhou, W.B.; Jiang, L.Z.; Liu, Z.J.; Liu, X.J. Closed-form solution to thin-walled box girders considering effects of shear deformation and shear lag. J. Cent. South Univ. 2012, 19, 2650–2655. [Google Scholar] [CrossRef]
- Shi, F.; Wang, D.S.; Chen, L. Study of flexural vibration of variable cross-section box-girder bridges with corrugated steel webs. Structures 2021, 33, 1107–1118. [Google Scholar] [CrossRef]
- Li, Y.F.; Zhao, J.H.; Bao, L.S.; Dong, L.; Wang, Q. Numerical and theoretical analysis of spatial shear lag effect in through wide box bowstring arch bridge main girder. Structures 2021, 33, 141–151. [Google Scholar] [CrossRef]
- Sun, Y.; Xu, Y.R.; Lozano-Galant, J.A.; Wang, X.; Turmo, J. Analytical observability method for the structural system identification of wide-flange box girder bridges with the effect of shear lag. Autom. Constr. 2021, 131, 103879. [Google Scholar] [CrossRef]
- Li, X.Y.; Wan, S.; Shen, K.J.; Zhou, P.; Wang, X. Prediction of Shear Lag Effect in Thin-Walled Single-Box Multicell Box Girder Based on the Modified Warping Displacement Function. Adv. Civ. Eng. 2020, 2020, 6815092. [Google Scholar] [CrossRef]
- Zhou, M.D.; Zhang, Y.H.; Lin, P.Z.; Zhang, Z. A new practical method for the flexural analysis of thin-walled symmetric cross-section box girders considering shear effect. Thin-Walled Struct. 2022, 171, 108710. [Google Scholar] [CrossRef]
- Chen, J.; Shen, S.L.; Yin, Z.Y.; Horpibulsuk, S. Closed-form solution for shear lag with derived flange deformation function. J. Constr. Steel Res. 2014, 102, 104–110. [Google Scholar] [CrossRef]
- Zhou, W.B.; Jiang, L.Z.; Yu, Z.W. Analysis of free vibration characteristic of steel-concrete composite box-girder considering shear lag and slip. J. Cent. South Univ. 2013, 20, 2570–2577. [Google Scholar] [CrossRef]
- Shih, T.C.; Fang, Z.Z. Negative shear lag in cantilever box girder with constant depth. J. Struct. Eng. 1988, 114, 2173. [Google Scholar]
- Lin, Z.B.; Zhao, J. Least-work solutions of flange normal stresses in thin-walled flexural members with high-order polynomial. Eng. Struct. 2011, 33, 2754–2761. [Google Scholar] [CrossRef]
- Chen, Y.Y.; Dong, J.C.; Xu, T.H.; Xiao, Y.; Jiang, R.; Nie, X. The shear-lag effect of composite box girder bridges with corrugated steel webs and trusses. Eng. Struct. 2019, 181, 617–628. [Google Scholar] [CrossRef]
- Zhang, Y.T.; Jiang, L.Z.; Zhou, W.B.; Feng, Y. Shear Lag Effect and Accordion Effect on Dynamic Characteristics of Composite Box Girder Bridge with Corrugated Steel Webs. Appl. Sci. 2020, 10, 4346. [Google Scholar] [CrossRef]
- Kong, X.; Luo, K.; Ji, W.; Tang, Q.; Deng, L. Study on Dynamic Characteristics of an Improved Composite Box Girder with Corrugated Steel Webs. J. Bridge Eng. 2022, 27, 04022035. [Google Scholar] [CrossRef]
- Wang, C.; Zhang, Y.L.; Zhang, X.; Li, Y.; Wei, X. Coupled bending-torsion behavior of single-box multi-cell curved composite box-girders with corrugated-steel-webs. J. Constr. Steel Res. 2022, 196, 107411. [Google Scholar] [CrossRef]
- Lin, Z.; Zhao, J. Modeling inelastic shear lag in steel box beams. Eng. Struct. 2012, 41, 90–97. [Google Scholar] [CrossRef]
- Timoshenko, S.; Woinoesk-Krieger, S. Theory of Plates and Shells; McGraw-Hill Book Company, lnc.: New York, NY, USA, 1959. [Google Scholar]
- Lezgy-Nazargah, M.; Vidal, P.; Polit, O. A sinus shear deformation model for static analysis of composite steel-concrete beams and twin-girder decks including shear lag and interfacial slip effects. Thin-Walled Struct. 2019, 134, 67–70. [Google Scholar] [CrossRef]
- Yamaguchi, E.; Kittaka, N.; Maho, B.; Sukontasukkul, P. Shear lag effect on stress concentration in simply-supported stiffened box girder. J. Constr. Steel Res. 2021, 183, 106715. [Google Scholar] [CrossRef]
- Richard GordonRi, B. Advanced Strength and Applied Stress Analysis; McGraw-Hill Book Company, lnc.: New York, NY, USA, 1977. [Google Scholar]
- Samanta, A.; Mukhopadhyay, M. Finite element static and dynamic analyses of folded plates. Eng. Struct. 1999, 21, 277–287. [Google Scholar] [CrossRef]























| Disclaimer/Publisher’s Note: The statements, opinions and data contained in all publications are solely those of the individual author(s) and contributor(s) and not of MDPI and/or the editor(s). MDPI and/or the editor(s) disclaim responsibility for any injury to people or property resulting from any ideas, methods, instructions or products referred to in the content. | 
© 2024 by the authors. Licensee MDPI, Basel, Switzerland. This article is an open access article distributed under the terms and conditions of the Creative Commons Attribution (CC BY) license (https://creativecommons.org/licenses/by/4.0/).
Share and Cite
Bian, M.; Zhang, X.; Li, J.; Peng, J.; Qin, S. An Improved Shear Lag Analysis Method for Composite Box Girders with Corrugated Steel Webs. Buildings 2024, 14, 4087. https://doi.org/10.3390/buildings14124087
Bian M, Zhang X, Li J, Peng J, Qin S. An Improved Shear Lag Analysis Method for Composite Box Girders with Corrugated Steel Webs. Buildings. 2024; 14(12):4087. https://doi.org/10.3390/buildings14124087
Chicago/Turabian StyleBian, Meihua, Xingsen Zhang, Junhua Li, Jianing Peng, and Songlin Qin. 2024. "An Improved Shear Lag Analysis Method for Composite Box Girders with Corrugated Steel Webs" Buildings 14, no. 12: 4087. https://doi.org/10.3390/buildings14124087
APA StyleBian, M., Zhang, X., Li, J., Peng, J., & Qin, S. (2024). An Improved Shear Lag Analysis Method for Composite Box Girders with Corrugated Steel Webs. Buildings, 14(12), 4087. https://doi.org/10.3390/buildings14124087
 
        

