Abstract
This paper proposes a method for modifying brick masonry walls using ultra-high-performance concrete (UHPC) to effectively reduce the beam section width in composite members. First, a detailed finite element model of UHPC–brick masonry composite beams was established using the finite element software ABAQUS 2022 and validated through comparison with the existing literature. Then, the effects of factors such as the tensile reinforcement ratio, UHPC layer thickness, and UHPC strength grade on the load–midspan deflection curve of composite members were analyzed, along with a study of the bending performance under vertical loads. Based on the results of the finite element analysis, a calculation formula for the positive section bending capacity of UHPC–brick masonry composite beams was proposed. The study found that longitudinal tensile reinforcement yielded first, followed by the crushing of the compressive region of UHPC and brick masonry, resulting in overall bending failure. With the increase in the tensile reinforcement ratio and UHPC layer thickness, both the yield load and peak load significantly increased, while the UHPC layer thickness had a notable impact on the cracking load of the composite member. When the UHPC strength grade ranged from 150 MPa to 180 MPa, the bearing capacity of the composite member changed little. The proposed calculation method for bearing capacity correlated well with the finite element results, providing a theoretical basis for the design and analysis of UHPC–brick masonry composite beams.
1. Introduction
Masonry structures have been extensively utilized in residential, educational, and commercial buildings, representing a traditional form of construction [1,2,3,4,5]. With societal and economic advancements, it has become essential to implement reinforcement modifications in existing masonry structures to maximize the utilization of large spaces [6,7,8,9]. Currently, the commonly used reinforcement and modification technique involves symmetrically adding concrete beams to both sides of the top of the wall to be demolished. These new beams typically form a frame structure with concrete columns added at both ends of the wall. Subsequently, the masonry load-bearing wall portion below the bottom of the reinforced concrete beams is removed, thereby creating a composite beam that shares the load between the reinforced concrete and some masonry. The beams and walls work together to bear the vertical loads from the floor slabs. This method is illustrated in Figure 1. Engineering practice shows that the newly added symmetrically placed concrete beams require closed stirrups, leading to a larger width of the new beams in the composite beam. When setting up reinforced concrete columns at the junction of the masonry load-bearing walls, i.e., at the supports of the composite beams, it may result in excessively large column cross-sections, potentially creating short columns that are unfavorable for seismic resistance.
Figure 1.
Traditional composite beam.
The alias of this reinforcement transformation technology is “replacement” technology, which refers to the conversion of the original loads of a building to a new load-bearing system through the “replacement” system, thereby altering the original structural load pattern. During the construction process, especially in large-scale renovations or reinforcements, the replacement technology utilizes temporary support systems (such as columns, support beams, etc.) to maintain structural stability in order to adapt to new load conditions. Replacement technology involves the redistribution of loads; for example, when the old structure is demolished or replaced, the original loads are transferred to the new support system through the new reinforced structure, thus preventing structural instability. The structural replacement technology was first proposed and applied abroad, with some researchers in foreign countries having started studying the application of replacement technology in buildings as early as the 19th century. The term “replacement” was first introduced in 1901 during the relocation project of the Scientific Hall at the University of Iowa in the United States, where a three-story scientific building weighing approximately 6000 kN was rotated 45° and moved to a designated position. The hall was safely lifted using 800 helical jacks, and wood beams were then used for the replacement. This technology caused a tremendous sensation in the civil engineering community at the time, leading to significant scholarly interest. The Tronscan Barn in Canada was built in 1941, measuring 59.44 m long, 23.47 m wide, and 31 m high. After being put into use, the barn tilted severely due to insufficient foundation bearing capacity. Investigations found that the west side of the barn sank into soft soil, while the east side rose by 1.5 m. Since the integrity of the barn’s upper structure was intact and no damage had occurred, a design was created to place a concrete pier under the foundation on the sinking side, using hundreds of jacks and a support system to lift the barn structure. This use of concrete piers in replacement technology increased the overall integrity and safety of the barn. Chinese scholars have applied this technology in the renovation of masonry structures. They added new support systems to the existing structure and completed the load transfer after demolishing the old structure. For instance, Wang et al. [10] adopted replacement technology to transform the first floor of a multi-story masonry structure into a frame structure. They symmetrically added concrete replacement beams on both sides at the top of the wall to be demolished and set shoulder beams between the replacement beams. In this way, the replacement beams, shoulder beams, and walls between them worked collaboratively to bear loads, forming a replacement composite beam. The replacement composite beam, together with the concrete columns or composite columns added on both sides, constituted the frame structure. Lin et al. [11] conducted experiments on the double beam support system in the improved bottom frame structure of masonry buildings. Research showed that the technology using double replacement beams with shoulder beams could effectively transfer loads from the second floor and above to the replacement beams, demonstrating high safety and substantial safety reserves. However, in related studies, the newly added symmetric beams often resulted in excessively large cross-sectional dimensions due to the use of closed stirrups.
To address the aforementioned issues, this paper proposes using ultra-high-performance concrete (UHPC) as the beam material in composite beam, with the cross-sectional shape shown in Figure 2. Due to the high compressive and tensile strength of UHPC, it can effectively enhance the bending and shear load-bearing capacity of the cross-section, reduce the cross-sectional dimensions of the beams in the composite beam, and increase the interior clear height. Furthermore, since UHPC does not contain coarse aggregates, its casting after forming is more convenient.
Figure 2.
New type of composite beam.
The construction method for the UHPC–brick masonry composite beam is as follows: First, drill holes in the existing masonry wall, insert U-shaped stirrups, and weld them in place to ensure that the stirrups are centered. Then, inject anchoring adhesive into the holes. Next, tie longitudinal reinforcement on the inner sides of the upper and lower stirrups on both sides and drill holes to insert linear tie rods. After that, set up formwork to pour UHPC and perform curing. Finally, after the UHPC reaches the design strength, remove the formwork and chisel away the masonry wall below the UHPC beam. The weld point is set at the edge position, which can effectively reduce stress concentration in this area and avoid local damage due to stress concentration, thereby improving the overall load-bearing capacity of the beam. The welded connections can reduce the tying processes during construction, shorten construction time, and lower labor costs, thereby improving construction efficiency. Additionally, the welded stirrups will not experience changes in reinforcement placement due to loosening of the ties when under load, ensuring the effective performance of the stirrups in the concrete and thus enhancing the overall performance of the beam.
UHPC is a new type of cement-based composite material. Its exceptional strength and durability have garnered significant interest regarding its potential to partially or entirely substitute ordinary concrete in flexural structures. Zhu et al. [12] provided a comprehensive summary of the latest advancements in enhancing the flexural performance of reinforced concrete beams and slabs through the application of ultra-high-performance concrete (UHPC). Benedetti et al. [13] conducted an experimental investigation into the interactions of shear connectors at the interface and summarized the bending behavior of steel–UHPC composite beams. Wang et al. [14] investigated the longitudinal shear behavior and design methodologies of hybrid beams composed of precast components—namely, slabs and steel beams—integrated with post-poured ultra-high-performance concrete (UHPC) wet connections. The findings indicate that these UHPC wet connections effectively transfer longitudinal shear forces, thereby enhancing the load-bearing capacity of hybrid beams. Xiao et al. [15] employed a steel–UHPC composite beam–slab construction featuring perforated rib connectors. This connection method effectively enhances shear transfer performance at the steel–UHPC interface, thereby improving the overall bending load-bearing capacity of the beam–slab. Zhang et al. [16] investigated a novel continuous FRP-UHPC hybrid beam. The findings demonstrate that this hybrid beam system exhibits outstanding resistance to bending, shear, and impact.
Furthermore, research has been conducted on the reinforcement of masonry structures utilizing ultra-high-performance concrete (UHPC). Peng et al. [17] conducted experimental research on historical low-wall masonry structures, investigating the reinforcement performance of UHPC and reinforced polymer mortar. The findings suggest that this reinforcement method effectively enhances the structural integrity of historical masonry walls subjected to moderate-to-severe damage. Estevan et al. [18] primarily investigated the potential of UHPC in enhancing the fire resistance of masonry structures. Their research revealed that incorporating a layer of UHPC into the surface of masonry structures can significantly improve shear strength, cracking load, and ultimate deformation. Jiang et al. [19] undertook a comparative analysis of the impact of various UHPC reinforcement techniques on the mechanical performance of masonry structures. Chen et al. [20] investigated the feasibility of using UHPC for reinforcing masonry structures. Their study encompassed various aspects, including the properties of UHPC materials, reinforcement techniques, and the overall structural performance. Wang et al. [21] introduced a comprehensive method for predicting the shear strength of the UHPC–masonry interface, which offers a theoretical foundation for the treatment of masonry structures reinforced with UHPC. In conclusion, UHPC has been extensively utilized for the reinforcement and rehabilitation of masonry structures, yielding favorable outcomes.
Currently, there is relatively little research on using UHPC to replace ordinary concrete for the double-beam supporting renovation of masonry structures. In order to explore the application of UHPC in the renovation of masonry structures, this paper establishes a finite element model of UHPC–brick masonry composite beams and validates it using relevant experiments. Based on this, the effects of reinforcement ratio, UHPC layer thickness, and UHPC strength on the load–deflection curves of composite beams are discussed, and a full-process analysis of the forces is conducted. Finally, the paper establishes a calculation formula for the bending bearing capacity of the cross-section of UHPC–brick masonry composite beams.
2. Numerical Model of UHPC–Brick Masonry Composite Beam
2.1. Constitutive Relationship
Both UHPC and brick masonry employ the Concrete Damaged Plastic (CDP) model provided by ABAQUS. The uniaxial compressive stress–strain (σc-εc) relationship and the uniaxial tensile stress–strain (σt-εt) relationship for UHPC are computed using the constitutive model proposed by Zheng [22], as outlined in Formulas (1) and (2). In the equation, fc and ε0 denote the uniaxial compressive strength and its corresponding compressive strain of UHPC; ft and εt0 denote the uniaxial tensile strength and its corresponding tensile strain of UHPC. The stress–strain relationship (σm-εm) of brick masonry under compression is determined using the constitutive equation proposed by Liu [23], as outlined in Equation (3). The relationship between tensile stress and strain (σtm-εtm) is defined using the equation proposed by Zheng [24], with the curve expression presented in Equation (4). In the equation, fm and εm0 denote the compressive strength of the masonry and its corresponding compressive strain, while ftm and εtm0 indicate the tensile strength of the masonry, along with the associated tensile strain.
The Continuous Damage Plasticity (CDP) model implemented in the finite element software ABAQUS necessitates the introduction of a damage parameter, d, to represent the relationship between stress and cracking or plastic strain. This paper references the model proposed by Yu [25] and conducts calculations according to Equation (5). In this equation, f * and ε* denote the stress and strain corresponding to the peak points of the tensile or compressive stress–strain curve. The model posits that damage is zero prior to reaching the peak stress, and that damage accumulates as the stress decreases after the peak is attained.
The values of additional relevant parameters are as follows: the expansion angle, ψ, is 30°; the viscosity coefficient, μ, is 0.0001; the flow potential offset, ζ, is 0.1; the ratio of the biaxial compressive limit strength to the uniaxial compressive limit strength for active powder concrete, σb0/σc0, is 1.16; and the ratio of the tensile meridian to the compressive meridian constant stress, Kc, is 2/3.
The stress–strain (σs-εs) relationship of the rebar is modeled using an ideal elastic–plastic framework, represented in Equation (6). In this equation, Es denotes the elastic modulus of the rebar, while εy and εy′ signify the yield strains for tension and compression, respectively. Similarly, fy and fy′ represent the yield stresses for tension and compression, respectively. The rebar adheres to an ideal elastic–plastic model: prior to reaching the yield stress, fy, the uniaxial stress–strain relationship exhibits linear elasticity. Upon attaining the yield stress, fy′, the rebar transitions into the plastic stage, during which the stress remains constant even as the plastic strain continues to increase, thereby demonstrating ideal plasticity.
2.2. Finite Element Model
The finite element model of the UHPC–brick masonry composite beam presented in this paper is depicted in Figure 3. In this model, UHPC, masonry, and rigid pads are represented by C3D8R (eight-node reduced integration) solid elements, while the reinforcement is modeled using T3D2 (two-node three-dimensional truss) elements. The bond slip between the reinforcement, UHPC, and masonry is not considered; instead, a Tie constraint is employed to connect the UHPC and masonry. In the preliminary analysis phase, using tie connections can effectively simplify the computational model, thereby reducing the computational load. By assuming a perfect bond between the two materials, the analysis can focus on the overall structural response, avoiding the complexities of the interface layer and potential slip effects. It is noteworthy that there are significant differences in compressive strength and deformation characteristics between UHPC and brick masonry. In practical applications, due to concrete’s high tensile and compressive strength, it may form a strong adhesive bond to some extent through physical interlocking and friction, making the slip effect less noticeable. Additionally, the interaction between the reinforcement framework and the overall model is addressed using the Embedded Region technique. To mitigate stress concentration, rigid pads are positioned at the loading points and supports of the test beam model. The loading point is coupled with the upper surface of the pad, and the interaction between the beam and the pad is constrained using the Tie technique. For enhanced observation of the components’ failure modes, a grid division with a global size of 40 mm is applied, and a displacement of 70 mm in the Y direction is introduced to load the test beam. The left support serves as a fixed hinge support, while the right support acts as a sliding hinge support. Considering the nonlinear and damage behaviors exhibited by masonry under tension, this study employs a plastic damage model in the finite element analysis. First, it is essential to clarify the tensile strength and strain limits of the masonry. Secondly, the mesh of the masonry beams is divided relatively finely to accurately capture the potential tensile failure modes that may occur.
Figure 3.
The finite element model of UHPC–brick masonry composite beam.
3. Finite Element Model Verification
To validate the accuracy of the aforementioned model, this study examines reinforced RPC beams and concrete–brick masonry composite support transfer beams that are closely associated with UHPC–brick masonry composite beam. Finite element simulations of their bending performance were conducted, and the results provide an analytical basis for assessing the validity of the numerical model of UHPC–brick masonry composite beams established in Section 2 of this study.
3.1. Reinforced Active Powder Concrete Beam
Zheng et al. [22] conducted experimental research on the flexural performance of six reinforced concrete beams incorporating active powder in the positive section. This study selects specimens L-2 and L-4, which are adequately reinforced beams, for finite element validation. The geometric dimensions and reinforcement details of these specimens are illustrated in Figure 4. Specifically, the specimens have a total length of 1800 mm, a calculated length of 1200 mm, and uniform cross-sectional dimensions of 150 mm × 200 mm. The experimental beams were loaded at quarter points, resulting in a pure bending segment length of 600 mm, with 300 mm allocated at both ends for the supports. The measured compressive strength of the RPC prism, fc, is 102.28 MPa, and the longitudinal reinforcement consists of HRB400 steel bars with diameters of 14 mm and 18 mm, exhibiting measured yield strengths (fy) of 476.5 MPa and 467.6 MPa, respectively, along with an elastic modulus (Es) of 2.0 × 105 MPa. The stirrups and vertical bars employ HPB235 steel bars with diameters of 10 mm and 6 mm, respectively, showing measured yield strengths (fy) of 275.0 MPa and 275.2 MPa, along with an elastic modulus of 2.1 × 105 MPa. The constitutive relationship for the RPC and steel bars within the finite element model of the reinforced RPC beam remains consistent with that detailed in Section 2.1.
Figure 4.
Cross-section rebar layout diagram. (a) The schematic diagram of the rebar arrangement for RPC beams. (b) Schematic diagram of the reinforcement layout for the L-2 beam section. (c) Schematic diagram of the reinforcement layout for the L-4 beam section.
Figure 5 provides a comparison between the experimental and simulated vertical load–midspan deflection (P-∆) curves for the reinforced RPC beam. The results indicate that the simulated load–deflection curve closely aligns with the experimental data, with discrepancies in peak loads of 3.13% and 1.96%, respectively.
Figure 5.
The comparison diagram of the load–deflection curve for reinforced RPC beams at midspan.
3.2. Concrete–Brick Masonry Composite Support Transfer Beam
Cao et al. [26] conducted bending performance tests on concrete–brick masonry composite support transfer beams. The dimensions and reinforcement details of these beams are illustrated in Figure 6. The composite support transfer beams can be classified into two categories: single-support and double-support transfer beams. Each test specimen has a length of 2000 mm and a calculated length of 1800 mm, with cross-sectional dimensions of 100 mm × 250 mm for the concrete portions on either side. The test beams underwent loading at three points, featuring a pure bending segment length of 900 mm and 100 mm reserves at both ends of the supports. The transfer beams utilized concrete of grade C30, which exhibited an average measured cube compressive strength, , of 40 MPa and an axial compressive strength, fc, of 25.4 MPa. The stirrups were made of HRB335-grade steel bars with a diameter of 6 mm, achieving a measured yield strength, fy, of 364 MPa and an elastic modulus, Es, of 1.85 × 105 MPa. Longitudinal reinforcement comprised HRB400-grade steel bars with a diameter of 10 mm, a measured yield strength (fy) of 432 MPa, and an elastic modulus (Es) of 1.87 × 105 MPa. The uniaxial compressive–tensile stress–strain curve of the ordinary concrete employed the constitutive model proposed by Guo [27], and the masonry constitutive relationship aligns with that described in Section 2.1.
Figure 6.
Cross-sectional diagram of the support transfer beam. (a) Cross-sectional view of a single-support transfer beam specimen. (b) Cross-section diagram of the double-support conversion beam test specimen.
Figure 7 presents a comparison of the load–deflection curves at midspan for the concrete–brick masonry composite support transfer beam. The figure indicates that the general patterns of the load–midspan deflection curves are largely similar, with the peak load of the ME specimen being marginally higher. This discrepancy may arise from the exclusion of the bond slip effects between different materials during the simulation. To further validate the consistency between the simulated cracking load and ultimate load values and their corresponding experimental values, the ratios were computed, as illustrated in Figure 8 and Figure 9. The average ratio of the experimental to simulated values is 0.953, with a standard deviation (σ) of 0.071 and a coefficient of variation (δ) of 0.074. These results indicate that the simulated load values for the concrete–brick masonry composite support transfer beam closely align with the experimentally measured values, thus demonstrating a high level of agreement.
Figure 7.
Comparison of deflection curves at midspan for load of concrete–brick masonry composite support transfer beams. (a) MA support conversion beam load–midspan deflection diagram. (b) MA masonry load–midspan deflection diagram. (c) ME supports the load of the conversion beam–midspan deflection diagram. (d) ME masonry load–midspan deflection diagram.
Figure 8.
Comparison chart of the crack load failure results of each specimen.
Figure 9.
The comparison chart of ultimate load results for each specimen.
4. The Nonlinear Finite Element Analysis of UHPC–Brick Masonry Composite Beam
4.1. Finite Element Model Plan
The aforementioned experiments confirmed the ultimate bearing capacity of the UHPC–brick masonry composite beams at their normal cross-section. In this study, a total of nine finite element models of UHPC–brick masonry composite beams and three NC–brick masonry composite beams were developed, as illustrated in Figure 10. Each beam has a total length of 6200 mm, consisting of a pure bending section of 6000 mm, with an additional 100 mm reserved at each support. The cross-sectional dimensions of the masonry portion are 240 mm by 600 mm. The tensile reinforcement is classified as HRB400, while the stirrups, vertical bars, and shear reinforcement utilize HRB335. To mitigate the risk of shear failure, the stirrup spacing in the bending–shear section is set at 150 mm, whereas in the pure bending section, it is 200 mm. The stirrup diameter is 10 mm, and the yield strength of all reinforcing bars adheres to standard values. The reinforcement details of the specimens are depicted in Figure 11, and the design specifications for the model specimens are presented in Table 1.
Figure 10.
Schematic diagram of the test specimen.
Figure 11.
The reinforcement drawing of UHPC–brick masonry composite beam.
Table 1.
Basic parameters of the test specimen.
4.2. Load–Midspan Deflection Curve Analysis
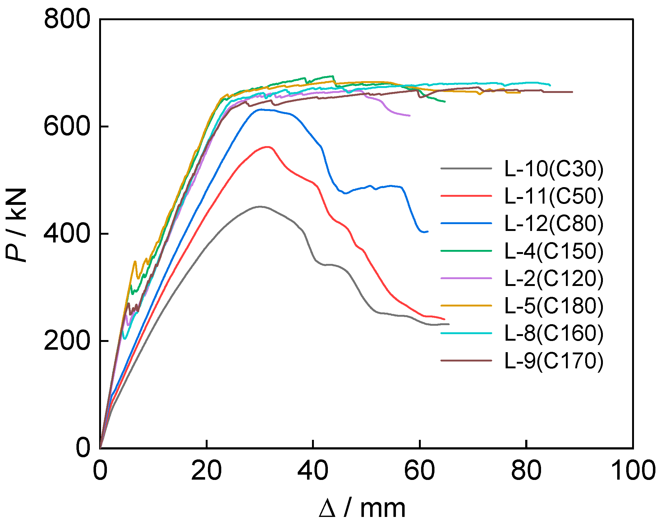
The examination of the load–midspan deflection curve for the UHPC–brick masonry composite beam reveals a characteristic three-segment linear pattern. The first inflection point is marked by a slight downward slope, indicating the onset of UHPC cracking, followed by an upward trend and a prolonged plateau representing yielding. Subsequently, the concrete in the compression zone experiences crushing, leading to specimen failure and a decline in the curve. The cracking, yielding, and peak loads of the twelve specimens are summarized in Figure 12. Due to effective reinforcement, the test beam exhibits excellent ductility, characterized by a gradual decrease in the downward segment. This analytical plan encompasses a load–midspan deflection curve analysis of the numerical model from several perspectives.
Figure 12.
Comparison diagram of the simulation results for each test specimen.
4.2.1. The Reinforcement Ratio of Tension Longitudinal Steel Bars
The specimens L-1, L-2, and L-3 maintain constant thickness and strength grade of the UHPC layer, while varying the reinforcement ratio of the tensile area longitudinal reinforcement. For these specimens, each one-sided beam is supported by four longitudinal tensile reinforcements with diameters of 20 mm, 22 mm, and 25 mm, corresponding to reinforcement ratios of 2.62%, 3.17%, and 4.09%, respectively. Comparative analysis revealed that, under consistent conditions, an increase in the longitudinal reinforcement ratio leads to a slight rise in the cracking load of the UHPC, whereas both the yield load and peak load of the reinforcement show substantial increases. Specifically, the yield loads of the L-2 and L-3 specimens improved by 8.6% and 50.2%, respectively, compared to the L-1 specimen, while their peak loads increased by 16.3% and 47.6%, respectively. Increasing the diameter of the longitudinal reinforcement significantly enhances the load-bearing capacity of the composite beam, making this approach a cost-effective strategy for engineering applications. The load-versus-midspan-deflection curves for L-1, L-2, and L-3 obtained from ABAQUS simulations are illustrated in Figure 13.
Figure 13.
The load–displacement curve under different reinforcement ratios.
4.2.2. UHPC Layer Thickness
The specimens L-2, L-6, and L-7 maintain a consistent reinforcement ratio and UHPC strength grade, with variations in the UHPC layer thickness set at 40 mm, 80 mm, and 120 mm, respectively. Comparative analyses indicate that, when all other factors remain constant, increasing the thickness of the UHPC layer significantly enhances the cracking load, yielding load, and peak load of the test beams. Specifically, the cracking loads for specimens L-2 and L-7 are 99.4% and 193.2% greater than that of L-6, respectively, while the yielding loads increase by 79.6% and 187.6%, and the peak loads rise by 98.9% and 198.1%, respectively. Notably, to maintain the reinforcement ratio, two additional reinforcement bars must be incorporated for every 40 mm increment in UHPC layer thickness. The load–midspan deflection curves obtained from ABAQUS simulations for L-2, L-6, and L-7 are presented in Figure 14.
Figure 14.
The load–displacement curve under different UHPC thicknesses.
4.2.3. Concrete Strength Grade
The specimens L-2, L-4, L-8, L-9, and L-5 maintain consistent longitudinal reinforcement ratios and thicknesses of the UHPC layer while varying only the concrete strength grade across C120, C150, C160, C170, and C180 UHPC, respectively. Simultaneously, comparisons were conducted with NC grades C30, C50, and C80. The results demonstrate that, under identical conditions, the cracking load of the UHPC–brick masonry composite beam is significantly higher than that of the NC–brick masonry composite beam; specifically, the cracking load of the L-2 specimen exceeds that of the L-12 specimen by 143.65%. An increase in UHPC strength grade from C120 to C150 leads to a rise in cracking load, yield load, and ultimate load-bearing capacity of the test beam, though these increases are not substantial, with the peak load only enhancing by approximately 2.7%. Conversely, when transitioning from C150 to C180, the load-bearing capacity of the test beam remains virtually unchanged. Compared to other parameters, modifying the UHPC strength grade proves to be neither efficient nor economical. Nevertheless, substituting NC with UHPC results in considerable enhancements in both cracking load and ductility for the test beams. The ABAQUS-simulated load–deflection curves for L-2, L-4, L-8, L-9, L-5, L-10, L-11, and L-12 are illustrated in Figure 15.
Figure 15.
The load–displacement curve under different concrete strength levels.
4.3. Analysis of the Entire Process of Force Application
This paper examines the complete process of stress analysis for a UHPC–brick masonry composite beam, using L-2 as a case study. It investigates the changes in damage along the length of the concrete, as well as the strain in the reinforcement during cracking, the yielding of the steel, and the ultimate failure in the numerical model.
4.3.1. Initial Crack
The cracking state of the test beam can be represented by the tensile damage (DAMAGET) in UHPC and brick masonry. Initially, the UHPC and brick masonry functioned cohesively. When the load increased to 167.56 kN, cracks first emerged at the center of the masonry’s bottom section, corresponding to the DAMAGET distribution illustrated in Figure 16a. As the load further increased, the cracks extended from the central bottom toward both sides, and the UHPC exhibited cracking when the load reached 264.93 kN, at which point the DAMAGET distribution is depicted in Figure 16b.

Figure 16.
Initial crack point.
The equivalent plastic strain (PEEQ) of the rebar serves as an indicator of its yield condition. A PEEQ value greater than 0 signifies that the material has yielded. As illustrated in Figure 16c, the rebar did not yield at the crack point of the L-2 test beam.
4.3.2. Rebar Yield
The displacement loading is progressively applied, and the load is continuously increased. The equivalent plastic strain (PEEQ) is monitored to ascertain whether the rebar yields. The distribution diagram of the equivalent plastic strain of the rebar is illustrated in Figure 17a, where a PEEQ value greater than 0 indicates the onset of yielding in the tensile longitudinal reinforcement, occurring at a load of 518.39 kN. Furthermore, the concrete compressive damage map (DAMAGEC) reveals no damage distribution within the compressive zone of the test beam; at this stage, the concrete remains uncrushed, as depicted in Figure 17b.
Figure 17.
Yield point.
4.3.3. Destroy
When the midspan displacement reached 41.90 mm, the load peaked at 658.15 kN. As the midspan displacement further increased to 49.93 mm, the top compression zone of the UHPC in the test beam first attained the ultimate compressive strain of 5.34 × 10−3. The longitudinal strain (E33) in the test beam is illustrated in Figure 18a, revealing that the UHPC experienced crushing at a load of 631.62 kN. Subsequently, when the midspan displacement reached 54.98 mm, the masonry in the top compression zone achieved an ultimate compressive strain of 4.8 × 10−3, indicating partial crushing of the masonry; at this stage, the load was 615.61 kN, as presented in Figure 18b. The crushing of the UHPC signifies that the test beam has entered a failure state. At this moment, the equivalent plastic strain distribution of the reinforcement is depicted in Figure 18c, demonstrating an increased yield capacity for the tensile reinforcement.

Figure 18.
Point of destruction.
5. Calculation of Bending Capacity for a Cross-Section
5.1. Basic Assumption
The calculation of the bending capacity of the cross-section is based on the following assumptions: (1) the plane section assumption; (2) effective bonding and anchoring between the reinforcement and UHPC, such that relative sliding does not occur; (3) the bond connection between the masonry and UHPC is considered, disregarding the influence of bond slip; (4) the contribution of UHPC in tension at the section is acknowledged; and (5) the stress–strain constitutive relationships for reactive powder concrete, reinforcement, and masonry are detailed in Section 2.1, where the constitutive model for reactive powder concrete is derived from a model proposed by Zheng [22] in the literature.
5.2. Calculation Method
Utilizing a simplified calculation method, the graphical representation of the compressive stress curve for the UHPC–brick masonry composite beam section is replaced with an equivalent rectangular stress diagram, as depicted in Figure 19. Based on the conditions of force and moment equilibrium, Equations (7) and (8) are derived. From Equation (7), the height of the equivalent compressed zone, denoted as x, is calculated. In this equation, ft represents the tensile strength of reactive powder concrete; fy denotes the yield strength of the longitudinal tensile reinforcement; As signifies the cross-sectional area of the longitudinal tensile reinforcement; b indicates the width of one side of the supporting beam section; b′ is the width of the masonry part section; h stands for the height of the beam section; Es refers to the elastic modulus of the longitudinal tensile reinforcement; h0 is the effective height of the beam section; and x′ represents the height of the masonry equivalent compressed zone, where x′ = 0.7xc. Additionally, α1 and β are the coefficients for the equivalent rectangular stress diagram of the compressed zone in the UHPC beam, taken as 0.9 and 0.77, respectively, from Reference [22]. The variable k denotes the equivalent coefficient of tensile strength, taken as 0.25; xc indicates the height of the compressed zone of the beam; and xt represents the height of the tensile zone of the beam.
Figure 19.
The stress distribution diagram of the section of the test beam under the ultimate load.
5.3. Comparison of Calculation Results
The dimensions of the section and the reinforcement area of the nine UHPC–brick masonry composite beams designed in this study are substituted into Calculation Formula 8, facilitating the computation of the bending bearing capacity, Muc, for the positive section of the beams. Using finite element simulation, the ultimate bearing capacity, Pus, of the beam is attained, which subsequently allows for the calculation of the simulated bending bearing capacity, Mus. By comparing the calculated bending bearing capacity, Muc, with the simulated value, Mus, derived from the finite element software, the results presented in Table 2 demonstrate the findings. To evaluate the correlation between the finite element simulated values and the calculated values from the formula, t is defined as t = Mus/Muc; the average value is found to be = 0.99, with a standard deviation of σ = 0.059 and a coefficient of variation δ = 0.059. The comparison indicates that the calculated bending bearing capacity for the positive section of the beam closely aligns with the simulated value.
Table 2.
The comparison of the calculated value, Muc, of the beam section’s bearing capacity and the simulated value, Mus.
6. Conclusions
- Utilizing the experimental results and the finite element software ABAQUS, a comprehensive finite element model was developed for a NC–brick masonry composite beam and a UHPC–brick masonry composite beam. Through comparative validation, the average ratio of experimental values to simulated values for the cracking load and ultimate load of the NC–brick masonry composite beam was determined to be 0.953. Additionally, the peak loads of the UHPC–brick masonry composite beam exhibited discrepancies of 3.13% and 1.96%, respectively. Overall, the finite element simulation results align closely with the experimental outcomes.
- This study investigates the influence of critical factors such as the reinforcement ratio of tension longitudinal bars, the thickness of the UHPC layer, and the strength grade of UHPC on the load–deflection behavior of UHPC–brick masonry composite beam. The findings reveal that increases in both the reinforcement ratio and the thickness of the UHPC layer led to significant enhancements in the yield load and peak load of the composite beams. Specifically, the yield loads of specimens L-2 and L-3 increased by 8.6% and 50.2%, respectively, in comparison to specimen L-1, while the peak loads rose by 16.3% and 47.6%. Additionally, the yield loads of specimens L-2 and L-7 improved by 79.6% and 187.6%, respectively, with their peak loads elevating by 98.9% and 198.1%. Notably, while the reinforcement ratio plays a role, the increase in UHPC layer thickness considerably enhances the cracking load of the composite beams, with cracking loads for specimens L-2 and L-7 improving by 99.4% and 193.2% relative to specimen L-6. Furthermore, when the strength grade of UHPC ranges from C150 to C180, the variations in the bearing capacity of the composite beams are minimal.
- The cracking load of the UHPC–brick masonry composite beam is significantly higher than that of the NC–brick masonry composite beam. Specifically, the cracking load of the L-2 specimen exceeds that of the L-12 specimen by 143.65%. Furthermore, the use of UHPC instead of NC substantially improves the ductility of the composite beam, thereby enhancing its suitability for practical engineering applications.
- A formula for calculating the bending load-bearing capacity of the positive section of UHPC–brick masonry composite beam was proposed, with a mean Mus/Muc value of 1.008. The results derived from this formula closely align with those obtained from finite element simulations, providing a theoretical foundation for the design and analysis of such supporting composite beams.
Author Contributions
Methodology, K.W.; Software, R.W. and Y.Z.; Validation, R.W., Y.Z. and Z.Z.; Formal analysis, R.W.; Data curation, R.W., Y.Z. and Z.Z.; Writing—original draft, R.W.; Writing—review & editing, K.W. All authors have read and agreed to the published version of the manuscript.
Funding
This research received no external funding.
Data Availability Statement
The original contributions presented in this study are included in the article. Further inquiries can be directed to the corresponding authors.
Conflicts of Interest
Author Ruochen Wang was employed by the company Jiangsu Testing Center for Quality of Construction Engineering Co., Ltd. The remaining authors declare that the research was conducted in the absence of any commercial or financial relationships that could be construed as a potential conflict of interest.
References
- Tiago Miguel Ferreira, A.A.C.; Costa, A. Analysis of the Out-of-Plane Seismic Behavior of Unreinforced Masonry: A Literature Review. Int. J. Archit. Herit. 2015, 9, 949–972. [Google Scholar] [CrossRef]
- Gautam, D.; Rodrigues, H.; Bhetwal, K.K.; Neupane, P.; Sanada, Y. Common Structural and Construction Deficiencies of Nepalese Buildings. Innov. Infrastruct. Solut. 2016, 1, 1. [Google Scholar] [CrossRef]
- Stepinac, M.; Lourenço, P.B.; Atalić, J.; Kišiček, T.; Uroš, M.; Baniček, M.; Novak, M.Š. Damage Classification of Residential Buildings in Historical Downtown after the ML5.5 Earthquake in Zagreb, Croatia in 2020. Int. J. Disaster Risk Reduct. 2021, 56, 102140. [Google Scholar] [CrossRef]
- Pantò, B. New Frontiers on Seismic Modeling of Masonry Structures. Front. Built Environ. 2017, 3, 39. [Google Scholar]
- Clementi, F.; Pierdicca, A.; Formisano, A.; Catinari, F.; Lenci, S. Numerical Model Upgrading of a Historical Masonry Building Damaged during the 2016 Italian Earthquakes: The Case Study of the Podestà Palace in Montelupone (Italy). J. Civ. Struct. Health Monit. 2017, 7, 703–717. [Google Scholar] [CrossRef]
- Wang, C.; Sarhosis, V.; Nikitas, N. Strengthening/Retrofitting Techniques on Unreinforced Masonry Structure/Element Subjected to Seismic Loads: A Literature Review. Open Constr. Build. Technol. J. 2018, 12, 251–268. [Google Scholar] [CrossRef]
- Dadras Eslamlou, S.; Masia, M.J.; Totoev, Y.Z.; Page, A.W. Effect of Retrofitting on the Structural Factors for Seismic Assessment of Unreinforced Masonry Structures: A Review. Aust. J. Struct. Eng. 2019, 20, 26–53. [Google Scholar] [CrossRef]
- Gkournelos, P.D.; Triantafillou, T.C.; Bournas, D.A. Seismic Upgrading of Existing Masonry Structures: A State-of-the-Art Review. Soil Dyn. Earthq. Eng. 2022, 161, 107428. [Google Scholar] [CrossRef]
- Keshmiry, A.; Hassani, S.; Dackermann, U.; Li, J. Assessment, Repair, and Retrofitting of Masonry Structures: A Comprehensive Review. Constr. Build. Mater. 2024, 442, 137380. [Google Scholar] [CrossRef]
- Wang, Z.; Lin, P.; Wang, D.; An, B. Application of Double Beam Underpinning Technology in Brick Concrete Reformed Bottom Frame Structure. J. Civ. Eng. Manag. 2022, 39, 70–75+85. (In Chinese) [Google Scholar]
- Lin, P.; Wang, Z.; Wang, D.; An, B.; Deng, W. Field Test Study on Double Beam Underpinning System in Modified Bottom Frame Structure of Masonry Building. Earthq. Resist. Eng. Retrofit. 2022, 44, 157–163. (In Chinese) [Google Scholar]
- Zhu, Y.; Zhang, Y.; Hussein, H.H.; Chen, G. Flexural Strengthening of Reinforced Concrete Beams or Slabs Using Ultra-High Performance Concrete (UHPC): A State of the Art Review. Eng. Struct. 2020, 205, 110035. (In Chinese) [Google Scholar] [CrossRef]
- Benedetty, C.A.; dos Santos, V.B.; Krahl, P.A.; Rossi, A.; Silva, F.d.A.; Cardoso, D.C.T.; Martins, C.H. Flexural and Shear Behavior of Steel-UHPC Composite Beams: A Review. Eng. Struct. 2023, 293, 116649. [Google Scholar] [CrossRef]
- Wang, H.; Liu, X.; Yue, Q.; Wang, N.; Zheng, M. Longitudinal Shear Behavior and Design Method of UHPC Connection for Prefabricated Slabs in Composite Beams. Eng. Struct. 2023, 277, 115386. (In Chinese) [Google Scholar] [CrossRef]
- Xiao, J.-L.; Zhou, M.; Nie, J.-G.; Yang, T.-Y.; Fan, J.-S. Flexural Behavior of Steel-UHPC Composite Slabs with Perfobond Rib Shear Connectors. Eng. Struct. 2021, 245, 112912. (In Chinese) [Google Scholar] [CrossRef]
- Zhang, P.; Hu, R.; Zou, X.; Liu, Y.; Li, Q.; Wu, G.; Sheikh, S.A. Experimental Study of a Novel Continuous FRP-UHPC Hybrid Beam. Compos. Struct. 2021, 261, 113329. (In Chinese) [Google Scholar] [CrossRef]
- Peng, B.; Wei, S.; Long, L.; Zheng, Q.; Ma, Y.; Chen, L. Experimental Investigation on the Performance of Historical Squat Masonry Walls Strengthened by UHPC and Reinforced Polymer Mortar Layers. Appl. Sci. 2019, 9, 2096. (In Chinese) [Google Scholar] [CrossRef]
- Estevan, L.; Torres, B.; Baeza, F.J.; Gattulli, V.; Ivorra, S. Enhancing Fire Resistance of Masonry Structures: The Potential of Ultra High Performance Concrete (UHPC). Constr. Build. Mater. 2024, 425, 136088. [Google Scholar] [CrossRef]
- Jiang, Z.; Yang, J.; Su, H. Mechanical Response of Masonry Structure Strengthened with Ultra-High Performance Concrete (UHPC): A Comparative Analysis for Different Strengthening Tactics. Front. Mater. 2023, 10, 1289225. (In Chinese) [Google Scholar] [CrossRef]
- Chen, Y.; Wang, S. Feasibility Study of UHPC Reinforced Masonry Structure. J. Theory Pr. Eng. Sci. 2024, 4, 20–24. (In Chinese) [Google Scholar] [CrossRef]
- Wang, Z.; Li, L.; Zhou, J.; Chen, R.; Leng, J.; Zhang, H.; Yang, J. Experimental Investigation and Calculation Method of the Interfacial Bonding Performance of Stone Masonry Reinforced with UHPC. J. Build. Eng. 2024, 85, 108435. (In Chinese) [Google Scholar] [CrossRef]
- Zheng, W.; Lu, S.; Li, L. Experimental Research on Mechanical Performance of Reactive Powder Concrete Beams Reinforced with GFRP Bars. J. Build. Struct. 2011, 32, 115–124. (In Chinese) [Google Scholar]
- Liu, G. The Research on the Basic Mechanical Behavior of Masonry Structure; Hunan University: Changsha, China, 2005. (In Chinese) [Google Scholar]
- Zheng, N. Research on Seismic Behavior of Masonry Structures with Fabricated Tie-Columns; Chongqing University: Chongqing, China, 2010. (In Chinese) [Google Scholar]
- Yu, T.; Teng, J.G.; Wong, Y.L.; Dong, S.L. Finite Element Modeling of Confined Concrete-II: Plastic-Damage Model. Eng. Struct. 2010, 32, 680–691. (In Chinese) [Google Scholar] [CrossRef]
- Cao, D.; Tan, Q.; Ge, W. Experimental Study on Flexural Behaviors of Composite Component of Concrete-Masonry Underpinning Beams. J. Build. Struct. 2014, 35, 145–152. (In Chinese) [Google Scholar]
- Guo, Z. Strength and Deformation of Concrete-Experimental Basis and Constitutive Relationship; Tsinghua University Press: Beijing, China, 1977. (In Chinese) [Google Scholar]
Disclaimer/Publisher’s Note: The statements, opinions and data contained in all publications are solely those of the individual author(s) and contributor(s) and not of MDPI and/or the editor(s). MDPI and/or the editor(s) disclaim responsibility for any injury to people or property resulting from any ideas, methods, instructions or products referred to in the content. |
© 2024 by the authors. Licensee MDPI, Basel, Switzerland. This article is an open access article distributed under the terms and conditions of the Creative Commons Attribution (CC BY) license (https://creativecommons.org/licenses/by/4.0/).
































