Abstract
The new composite application of seawater sea sand concrete (SSC) and fibre-reinforced polymer (FRP) bars had broad development prospects. In this paper, the load levels and stirrup spacing were the main research parameters. The fatigue behaviour of carbon fibre-reinforced polymer (CFRP) bar-reinforced SSC beams was studied by four-point bending tests, and the development laws of fatigue crack width and fatigue deflection were deeply discussed. Results revealed that excessive stirrup spacing might change static failure modes of CFRP bar-reinforced SSC beams, resulting in a reduction in mechanical behaviour. This paper preliminarily suggested that the maximum stirrup spacing should be 200 mm. The fatigue failure mode of CFRP bar-reinforced SSC beams in this paper was mainly shear fatigue failure. The fatigue crack width and fatigue deflection increased with the cycle number. When the cycle number reached 80% of fatigue life, the fatigue crack width increased by about 100%. When the beam specimens were close to fatigue failure, the increase in fatigue deflection ranged from 166.5% to 188.9%. Load levels had a significant impact on fatigue life, and a fatigue limit of 0.5 was proposed as a threshold. In addition, the larger the stirrup spacing, the greater the growth rate of fatigue crack width and fatigue deflection. Therefore, based on the calculation equation for the maximum crack width in the code, the influence of stirrup spacing, load levels and n/N was further considered in this paper. Considering the influence of stirrup spacing and load levels, a calculation equation for fatigue deflection was proposed. Finally, the fatigue design concept was improved, and the fatigue life was further subdivided into the fatigue life on bearing capacity and normal service.
1. Introduction
Concrete, which is one of the most commonly used building materials, has many advantages, such as high compressive strength and abundant raw materials [1,2]. Since the tensile strength of concrete was poor, it was usually used in combination with steel bars. Reinforced concrete structures fully utilise the tensile properties of steel bars and the compressive properties of concrete. However, humid, acidic, and high chlorine environments could easily corrode steel bars, reducing the durability of reinforced concrete structures. Recently, fibre-reinforced polymer (FRP) materials have gained rapid development in the engineering field due to their excellent corrosion resistance [3,4,5]. Carbon fibre-reinforced polymers (CFRP), glass fibre-reinforced polymers (GFRP), basalt fibre-reinforced polymers (BFRP), and aramid fibre-reinforced polymers (AFRP) were common FRP materials [6,7]. CFRP bars have the best mechanical properties, excellent fatigue resistance, corrosion resistance, and creep resistance [8]. The mechanical properties and corrosion resistance of GFRP bars and BFRP bars are lower than those of CFRP bars [9]. The mechanical properties of AFRP bars are higher than those of GFRP bars and BFRP bars, but their long-term ultraviolet resistance is poor [10]. To solve the corrosion problem of steel bars absolutely, FRP bars are proposed to replace steel bars in reinforced concrete structures [11,12]. As a result, a lot of studies on the structural behaviour of FRP bar-reinforced concrete members have been carried out to explore their feasibility and to further promote their application in civil engineering [13]. Many countries have issued codes, such as American code ACI 440.1R-15 [14], Canadian code CSA S806-12 [15], and Chinese code GB 50608-2020 [16], to guide the design of FRP bar-reinforced concrete structures. At present, FRP bars have been successfully applied in bridges, rail plinths, and seawalls [14].
However, due to the low elastic modulus of FRP bars, FRP bar-reinforced concrete beams typically exhibit rapid stiffness degradation and severe crack propagation. Therefore, its serviceability is particularly important. The deflection and crack resistance were key indexes to assess the deformation behaviour. Since the mechanical behaviour of steel bars was significantly different from that of FRP bars, the calculation methods for the deflection and crack width of reinforced concrete beams were not suitable for FRP bar-reinforced concrete beams. Consequently, considerable studies have been carried out on the deformation behaviour of FRP bar-reinforced concrete beams [17,18,19,20,21,22]. They revised the calculation models for deflection and crack width of reinforced concrete beams to make them suitable for FRP bar-reinforced concrete structures. Overall, rich research results were achieved in the field of static deformation performance of FRP bar-reinforced concrete beams.
Actually, some structures, such as ocean structures, bridges, and railway concrete sleeps, were subject to cyclic loads in addition to static loads. In the early stage, the fatigue issue of reinforced concrete structures has been studied deeply, and those mature research results have already been introduced into the code [23]. However, studies on the fatigue behaviour of FRP bar-reinforced concrete beams were scarce, limiting the application and development of FRP bar-reinforced concrete structures. Zhao et al. [24] investigated the fatigue behaviour of GFRP/CFRP bar-reinforced concrete beams and predicted their fatigue life. Li et al. [25] proposed a fatigue limit of BFRP bar-reinforced concrete beams for fatigue design. Jeong et al. [26] and Younes et al. [27] designed prestressed concrete beams using CFRP bars and BFRP bars, respectively, to improve the crack resistance of FRP bar-reinforced concrete beams. Zhu et al. [28] and Xu et al. [29] studied the fatigue flexural behaviour of concrete beams reinforced with hybrid GFRP and steel bars and indicated that the fatigue life is greatly affected by load levels and the effective reinforcement ratio. Obviously, some research achievements have been obtained on the fatigue behaviour of FRP bar-reinforced concrete beams. These studies mainly focused on fatigue life prediction, which was an important index to assess the safety of FRP bar-reinforced concrete beams. However, few researchers focused on the fatigue deformation behaviour of FRP bar-reinforced concrete beams, which was an important index to evaluate the applicability. Hence, to form a mature theory, more data and deeper studies on the fatigue deformation behaviour of FRP bar-reinforced concrete beams are required. In addition, the elastic modulus of BFRP/GFRP bars is much lower than that of steel bars, resulting in the lower deformation resistance of concrete members [30,31]. Therefore, CFRP bars with elastic modulus close to that of steel bars are a better choice.
Recently, river sand resources have been largely consumed for the preparation of concrete. Excessive exploitation of river sand damages river ecosystems, which affects the safety of navigation and leads to flood disasters during rainy seasons [32]. Therefore, many countries restrict the exploitation of river sand, resulting in an increase in the prices of river sand [33]. The total area of oceans accounts for about 71% of Earth’s surface area, which means rich marine resources and long coastlines. Therefore, replacing river sand with sea sand can effectively alleviate the shortage of river sand resources, protecting the river’s ecological environment. Meanwhile, in some areas, the freshwater resource is very scarce. Furthermore, the outstanding characteristic of FRP bars was chloride corrosion resistance, compared with steel bars. Therefore, river sand and freshwater could be replaced by sea sand and seawater, respectively, and were used together with FRP bars to compose FRP bar-reinforced seawater sea sand concrete (SSC) structures [34,35,36]. Existing studies on SSC have led to the conclusion that SSC has a significantly higher 7-day compressive strength and then follows a slower compressive strength development process than that of ordinary concrete [37]. In addition, although seawater contains more impurities than freshwater, and the material parameters of sea sand and river sand are slightly different, the basic mechanical properties of SSC are almost the same as those of ordinary concrete [38]. Research [39] shows that the interaction between sea sand and cement paste is interpreted as a complex chemical reaction with both dielectric and electrolytic characteristics, and the release of chloride ions is a continuous process, resulting in the long-term acceleration of paste hydration. With the accumulation of chloride ions, calcium hydroxide produced by free calcium ions and hydroxide ions from hydration leads to a decrease in the C-S-H gel. The increase in calcium hydroxide and ettringite makes the pore structure of sea sand mortar inhomogeneous. Compared to ordinary concrete, SSC has a lower freeze–thaw resistance and experiences greater amounts of drying shrinkage mainly due to chloride ions and the seashell, but these substances have little effect on the carbonation process [37]. Generally, the application and development of FRP bar-reinforced SSC structures could save river sand and freshwater resources, which are in line with the sustainable development theory of nature and man. Especially for marine and coastal structures, FRP bar-reinforced SSC structures not only reduce the transportation cost of seawater and sea sand but also avoid the cost of sea sand desalination.
At present, the fatigue life of FRP bar-reinforced concrete beams is a main concern in the studies on this subject. Different from other studies, the objective of this paper was to reveal variation laws and the impact mechanism of fatigue deformation indexes (deflection and crack width) of CFRP bar-reinforced SSC beams. In addition, the failure mechanism of CFRP bar-reinforced SSC beams was discussed in this paper. To predict the fatigue deformation behaviour of CFRP bar-reinforced SSC beams, calculation equations for the fatigue crack width and fatigue deflection of CFRP bar-reinforced SSC beams were established. Finally, the concepts of fatigue life on bearing capacity and normal service were innovatively proposed, which further improved the fatigue design concept and promoted the application and development of FRP bar-reinforced SSC structures.
2. Experimental Programme
2.1. Material Properties
The SSC was made up of simulated seawater, ordinary Portland cement, sea sand, and granite gravel. Seawater was obtained by manual preparation, and its ingredients were NaCl, MgCl2, Na2SO4, CaCl2, KCl, NaHCO3, KBr, H3BO3, SrCl2, NaF, and distilled water [40]. Moreover, simulated seawater had a density of 1015 kg/m3. The apparent density and strength grade of ordinary Portland cement were 3112 kg/m3 and 42.5 MPa. The sea sand, which had an apparent density of 2620 kg/m3 and a fineness modulus of 2.36, was categorised as medium sand. The water absorption and apparent density of granite gravel were 1.06% and 2661 kg/m3. The appearance and particle size gradation of sea sand and granite gravel are shown in Figure 1 and Figure 2, respectively. According to the testing method in GB/T 14684-2011 [41], the chloride ion content in sea sand was 0.081%, and the chloride ion content in seawater was 16,263.2 mg/L. For the mix proportion of SSC, the contents of simulated seawater, sea sand, ordinary Portland cement, granite gravel, and polycarboxylates high-performance water-reducing admixture were 205 kg/m3, 410 kg/m3, 642.6 kg/m3, 1142.4 kg/m3, and 3.2 kg/m3, respectively. Three standard cylinder specimens with the dimension of φ150 mm × 300 mm were prepared to measure the compressive strength of SSC [42,43]. According to the compressive tests of SSC (Figure 3a), average compressive strength and elastic modulus of SSC were 62 MPa and 36 GPa, respectively.
Figure 1.
Aggregate appearance. (a) Sea sand; (b) Granite gravel.
Figure 2.
Particle size gradation of sea sand and granite gravel.
Figure 3.
Tests for material properties of SSC and CFRP bars. (a) Compressive tests of SSC; (b) Tensile tests of CFRP bars.
Both longitudinal bars and stirrup were CFRP bars. The diameter of CFRP bars was 8 mm. Three tensile specimens were prepared to measure the tensile strength of CFRP bars. Based on the tensile tests of CFRP bars (Figure 3b), average tensile strength and elastic modulus of CFRP bars were 2430 MPa and 280 GPa, respectively.
2.2. Design and Preparation of CFRP Bar-Reinforced SSC Beams
Eight CFRP bar-reinforced SSC beams were designed, as shown in Table 1 and Figure 4. All the beam specimens had a cross-section of 200 mm × 150 mm, length of 1500 mm, and four longitudinal CFRP bars. The beam specimens had a concrete cover thickness of 20 mm. Different load types, load levels, and stirrup spacing were considered. Three beam specimens were prepared to measure their static behaviour, while the other five beam specimens were designed to explore their fatigue behaviour. The CFRP stirrups with the spacing of 100 mm, 200 mm, and 300 mm were selected. The load levels (i.e., the ratio of upper loads to static ultimate loads Pu) of 0.5, 0.6, and 0.7 were designed, and the stress ratio (i.e., the ratio of lower loads to upper loads) was set as 0.2 to determine the lower loads. Each beam specimen was assigned a specimen number. For example, “S-100” meant the beam specimen, which had a stirrup spacing of 100 mm, was subjected to static loads. And “F-100-0.6” meant the beam specimen, which had a stirrup spacing of 100 mm, was subjected to fatigue loads with a load level of 0.6. To precast these beam specimens, CFRP bar cages were prepared, and strain gauges were adhered to CFRP bars to monitor their strain. Subsequently, the CFRP bar cages were put into wood moulds, accompanied by fresh SSC mixture, as shown in Figure 5. After demoulding at the age of one day, the beam specimens were cured by covering them with wet cloths and spraying water thrice a day in a curing room at a temperature of 20 ± 3 °C for 28 days [44,45].
Table 1.
Experimental scheme.
Figure 4.
Dimensions of beam specimens.
Figure 5.
Precast process of beam specimens.
2.3. Test Setup and Measuring Points
A fatigue testing machine was employed to test the fatigue behaviour of CFRP bar-reinforced SSC beams, as shown in Figure 6. The beam specimens were simple supported at their two ends. The loads were transformed into two concentrated forces by a distributive girder. The distance between two concentrated forces was 400 mm. Three kinds of data were recorded, as illustrated in Figure 7. (1) Five linear variable displacement transducers (LVDTs) were placed along the support positions, loading positions, and mid-span positions of beam specimens to measure their deflection. (2) The surfaces of beam specimens were painted white to monitor the generation and development of cracks. Meanwhile, the crack width was recorded by a crack width measuring instrument. (3) Two strain gauges adhered to the top of mid-span to collect the compressive strain of SSC. And two strain gauges adhered to the bottom of mid-span to collect the tensile strain of SSC. In addition, five strain gauges were installed at equal intervals along the height direction of mid-span to monitor the change in the concrete strain with height. For CFRP bars, strain gauges were installed in the middle of tensile longitudinal CFRP bars to check their working state. Meanwhile, strain gauges were placed at the CFRP stirrups of flexural–shear section to prove the shear resistance provided by CFRP stirrups.
Figure 6.
Test setup of beam specimen. (a) View; (b) Scheme.
Figure 7.
Measuring points of beam specimens.
2.4. Loading Rules
For static loading, the whole loading process was controlled by the displacement. The loading speed was set as 0.5 mm/min. For fatigue loading, the force control mode was applied to two loading stages. The first loading stage was static loading until the loads reached the upper loads. Then, the second stage was cyclic loading with the same cyclic amplitude and a loading frequency of 3 Hz. When the cyclic number reached 2500, 5000, 7500, 10,000, …, and 2,000,000, an interim static loading from 0 to the corresponding upper loads was performed to collect experimental data under different cycles. According to the engineering requirement, 2 million was set as the maximum cycle number [46].
3. Results and Discussions of Static Tests
3.1. Static Test Result
The generation and distribution of cracks on three static beam specimens are plotted in Figure 8. The order of crack occurrence was digitally marked, as shown by the red numbers in Figure 8. The initial crack appeared at the mid-span and developed vertically, implying the pure bending action. Subsequently, the next batch of cracks appeared near the loading positions of beam specimens and developed towards the loading positions. The final batch of cracks appeared in the flexural–shear section and developed towards the loading positions. As shown in Table 2 and Figure 9 and Figure 10, with the increasing stirrup spacing, the crack characteristics and failure modes change.
Figure 8.
Crack morphology of static beam specimens.
Table 2.
Static experiment result.
Figure 9.
Load–maximum crack width relationships.
Figure 10.
Static failure modes.
For S-100 with 100 mm stirrup spacing, it had a crack load of 30 kN. Meanwhile, compared with the other two beam specimens, its crack width was the smallest all the time, as plotted in Figure 9. When the load reached the peak, its maximum crack width was 1.2 mm. All the cracks were in or near the pure bending section. And the shear cracks penetrated the oblique section. Finally, the beam specimen S-100 exhibited a shear failure mode with an ultimate load of 175 kN.
For S-200 with 200 mm stirrup spacing, its crack load was 28 kN, which was close to that of S-100. As the load increased, the crack width increased. When the load was smaller than 70 kN, the crack width of S-200 basically coincided with that of S-100, as plotted in Figure 9. However, when the load was larger than 70 kN, the crack width of S-200 was larger than that of S-100, implying that the confinement effect of stirrups was weakened at that time. When the load reached the peak, its maximum crack width was 1.44 mm. Compared with S-100, the crack distribution area of S-200 was larger and extended length of shear cracks was longer, meaning that the shear resistance of S-200 was worse. Finally, S-200 was subjected to shear failure and its ultimate load was 170 kN, which was close to that of S-100.
The beam specimen S-300 had a crack load of 22 kN and an ultimate load of 130 kN, which were far smaller than those of S-100 and S-200. Its crack width was the largest all the time, and the cracks were the most widely distributed. When the load reached the peak, its maximum crack width was 1.92 mm. Basically, its shear cracks extended from the support positions to the loading positions. However, the failure of the S-300 was not caused by shear cracks. Ultimately, the SSC in the tension zone was severely flaked, which destroyed the cooperative working state of the tensile CFRP bars and SSC. As shown in Figure 10, due to the serious peeling of SSC in the tension zone, the collaborative work condition between the tensile CFRP bars and SSC was destroyed, meaning the occurrence of bond failure.
Obviously, the stirrup spacing played an important role in the failure mode of beam specimens. As the stirrup spacing increased from 100 mm to 300 mm, the confinement effect of stirrups was poor, resulting in the failure mode changing from the shear failure to the bond failure, and ultimately leading to a significant reduction in the shear capacity and deformation resistance of beam specimens. The increase in stirrup spacing led to a decrease in the number of FRP stirrups penetrating diagonal cracks, resulting in a decrease in shear capacity directly provided by FRP stirrups [47]. In addition, FRP stirrups can suppress the extension of diagonal cracks, constrain the tensile FRP bars, and enhance their dowel action, which helps to improve the shear contribution of concrete. Therefore, sufficient FRP stirrups can prevent concrete from cracking along longitudinal bars, thereby avoiding bond failure of beam specimens [48]. In summary, the stirrup spacing should be limited to ensure the shear capacity of beam specimens and avoid bond failure.
3.2. Load–Deflection Curves
The relationships of load versus mid-span deflection are illustrated in Figure 11. These load–deflection curves showed a bilinear characteristic before the loads reached the peaks. The flexural stiffness of the beam specimen after cracking was significantly less than that before cracking. This was because the synergistic effect between the tensile CFRP bars and SSC in the tension zone was weakened after cracking. Due to the elastic tensile property of CFRP bars, the load–deflection curves always maintained linear characteristics after cracking.
Figure 11.
Load–mid-span deflection relationships.
The load–deflection curve of S-200 was very close to that of S-100. However, after the peak, the curve descent rate was faster, and S-200 collapsed rapidly. These results indicated that when the stirrup spacing was between 100 mm and 200 mm, as the stirrup spacing increased, the stirrups still confined the whole beam effectively. Consequently, the ultimate load did not change, but the brittleness of the beam specimen increased.
Owing to the weak confinement effect of stirrups, the flexural stiffness of S-300 was smaller than that of S-100 and S-200 all the time. The beam specimen S-300 not only showed the largest brittleness among the three static beam specimens but also had the smallest ultimate load. These results indicated that when the stirrup spacing was between 200 mm and 300 mm, as the stirrup spacing increased, the confinement effect of stirrups to the whole beam was insufficient, thereby changing the failure mode, and ultimately reducing the mechanical properties of beam specimens.
3.3. Stain Analysis of SSC and CFRP Bars
The compressive strain of SSC at the top of beam specimens is shown in Figure 12a. Basically, the compressive strain increased linearly with the load. The compressive strain of S-100 was very close to that of S-200. However, the S-300 exhibited a larger compressive strain at the same load, compared with S-100 and S-200.
Figure 12.
Load–strain relationships. (a) Compressive strain of SSC at the top of beam specimens; (b) Tensile strain of CFRP bars at the bottom of beam specimens.
The tensile strain of CFRP bars at the bottom of beam specimens is shown in Figure 12b. Before the beam specimens cracked, the tensile strain of CFRP bars developed slowly and exhibited a very small value. The stress redistribution occurred in the beam section after cracking. The majority of SSC in the tension zone withdrew from work, and the tensile stress was rapidly transferred to the CFRP bars. Hence, the tensile strain of CFRP bars raised rapidly after cracking. In addition, the CFRP bar tensile strain of S-100 was very close to that of S-200, and the CFRP bar tensile strain of S-300 was largest under the same load. These observations were similar to those of SSC compressive strain.
To sum up, when the stirrup spacing increased from 200 mm to 300 mm, the deformation of SSC and CFRP bars increased significantly due to the serious insufficient confinement effect.
4. Results and Discussions of Fatigue Tests
4.1. Fatigue Experiment Result
The fatigue experiment results are listed in Table 3. Except for F-100-0.5, other fatigue beam specimens appeared to fatigue shear failure. F-100-0.5 was still functional after two million cycles. According to general engineering requirements, it could be considered that F-100-0.5 had infinite fatigue life under cyclic loads with a load level of 0.5.
Table 3.
Fatigue experiment result.
As shown in Figure 13, the fatigue failure mode of F-100-0.6 is similar to that of F-100-0.7, and the oblique cracks penetrated the oblique sections of beam specimens. This indicated that load levels had little effect on fatigue failure modes. In addition, the fatigue failure mode of F-100-0.6 is similar to that of F-200-0.6. This shows that the increase in stirrup spacing from 100 mm to 200 mm had little effect on fatigue failure modes. For F-300-0.6, the confinement effect of stirrups on SSC was insufficient due to the large stirrup spacing, resulting in more serious concrete peeling in the failure. When the stirrup spacing increased from 100 mm to 300 mm, the static failure modes changed from shear failure to bond failure, and the fatigue failure modes also changed. However, the change in fatigue failure modes was that the concrete peeling at the critical diagonal cracks was more severe. This meant the difference between the development of static damage and fatigue damage in beam specimens.
Figure 13.
Fatigue failure modes.
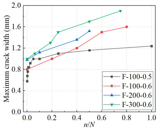
The crack morphology of fatigue beam specimens is shown in Figure 14. The order of crack occurrence was digitally marked, as shown by the red numbers in Figure 14. The crack numbers were between 5 and 6, and the crack development laws and crack patterns were similar. In the static crack morphology, as the stirrup spacing increased, the crack distribution became wider, as shown in Figure 8. However, in the fatigue crack morphology, the crack distribution of all fatigue beam specimens was wider. This is because the cracks tend to occur well in advance under cyclic loads when compared with static load intensities [49]. Moreover, due to the accumulation of microcracks caused by cyclic loads, the number of fatigue cracks is often greater than that of static cracks, and the distribution of fatigue cracks is wider [50]. Due to the fatigue damage, the crack width of beam specimens continued to increase. Figure 15 shows the variation in the maximum crack width at the upper loads with n/N, where n and N are cycle number and fatigue life, respectively. Due to the rapid failure process of F-100-0.7, effective data could not be collected. F-100-0.5 had a long fatigue life and more data acquisition times. Therefore, the maximum crack width curve of F-100-0.5 was more precise. It can be seen from Figure 15 that the maximum crack width of F-100-0.5 increased rapidly in the early cycle, and subsequently increased at a nearly constant rate. In the early cycle, the CFRP bars mainly consumed the work completed by the external load through the cracking of the resin matrix [51,52]. At this stage, the strain growth rate of the CFRP bar under cyclic loads was fast. In addition, there were some initial gaps at the bond interface between FRP bars and SSC, which led to a rapid increase in the slip of the bond interface in the early cycle [53,54]. The above two reasons explained the phenomenon that the maximum crack width increased rapidly in the early cycle. Subsequently, the rate of fatigue damage was basically stable, and the maximum crack width also increased steadily. For the other three beam specimens, due to the fewer data points, only the law of the second stage could be observed. Comparing the curves of F-100-0.5 and F-100-0.6, it was not difficult to find that the higher the load levels, the faster the growth rate of the maximum crack width. In addition, as shown in Figure 15, the larger the stirrup spacing, the larger the maximum crack width, because the denser stirrups could more effectively restrain the development of cracks and improve the bond behaviour between longitudinal bars and concrete.

Figure 14.
Crack morphology of fatigue beam specimens. (a) F-100-0.5; (b) F-100-0.6; (c) F-100-0.7; (d) F-200-0.6; (e) F-300-0.6.
Figure 15.
Maximum crack width at upper loads–n/N relationships.
4.2. Fatigue Load–Deflection Curves
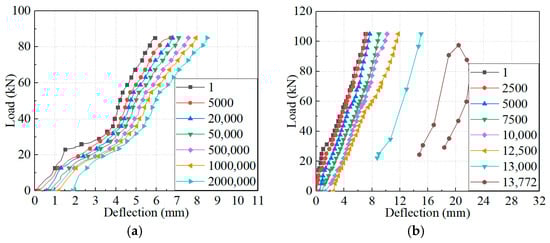
The load–mid-span deflection curves under specific cycles are shown in Figure 16. In the first cycle, the load–deflection curves were approximate to double broken lines. This phenomenon was consistent with the static test. Since then, the beam specimens were cracked, and the tensile stress was mainly borne by CFRP bars. Due to the linear elastic characteristic of CFRP bars, the load–deflection curves were approximately straight. As shown in Figure 16, the initial deflection of the load–deflection curve gradually increases with cycle numbers. This was because cyclic loads caused damage to the beam specimens, which was reflected in irreversible plastic deformation, ultimately leading to the residual deflection of beam specimens. In addition, flexural stiffness gradually reduced with the increasing cycle number. This was due to the crack development caused by cyclic loads, which caused SSC in the tension zone to gradually withdraw from work. Meanwhile, the plastic development of SSC in the compression zone reduced the lever arm, which, in turn, increased the strain of CFRP bars. These reasons led to an increase in curvature and a decrease in flexural stiffness. To sum up, with the increasing cycle number, the flexural stiffness gradually decreased and residual deflection gradually increased, leading to the persistent growth in deflection at the upper loads.

Figure 16.
Load–mid-span deflection relationships under different cycles. (a) F-100-0.5; (b) F-100-0.6; (c) F-200-0.6; (d) F-300-0.6.
The fatigue damage of FRP bar-reinforced concrete members was mainly manifested by the material microstructure change, stiffness reduction, deflection increase, and crack propagation. Although the cyclic stress was less than the ultimate strength of the material, the accumulation of material damage led to fatigue degradation. Material damage was related to the formation of microcracks. Due to the accumulation of microcracks, the material matrix became unstable, leading to macroscopic damage such as cracks, and eventually resulting in the failure of beam specimens.
4.3. Crack Width
Generally speaking, the fatigue damage process of FRP bar-reinforced concrete beams includes three stages: crack formation, crack propagation, and brittle fracture [55,56]. FRP bar-reinforced concrete beams exhibited multiple crack propagation modes, and the cracks and their interaction changed the mechanics characteristic of members. In the study of fatigue problems, cracks were the key factor. There are inevitable defects such as pores and microcracks in concrete, and concrete beams usually work with cracks in practical engineering [57,58]. These defects produced stress concentration under cyclic loads, thus accelerating the fatigue damage process. The stress redistribution occurred in the beam sections as the beam members cracked. The width and number of cracks continued to develop under cyclic loads, marking the damage to beam members. Therefore, the maximum crack width of beam members can reflect the damage degree of concrete members [50].
According to GB 50608-2020 [16], Figure 17 shows the calculation theory of the crack width of FRP bar-reinforced concrete beams under static loads. First, based on the elongation value of FRP bars between the average crack spacing, the average crack width was obtained by considering the reduction caused by the tensile elongation of concrete between cracks. Then, based on the average crack width obtained, the expansion coefficient considering the non-uniformity of actual crack width was introduced to calculate the short-term maximum crack width. The specific calculation equation was as follows:
where ωmax is the maximum crack width (mm); τs is the ratio coefficient between the maximum crack width and average crack width under short-term loads, which is taken as 1.66; αc is the influence coefficient of concrete elongation between cracks on crack width, which is taken as 0.85; ψf is the strain non-uniformity coefficient of longitudinal tensile bars between cracks; εfk is the longitudinal bar strain at cracks; lm is the average crack spacing (mm).
Figure 17.
Calculation theory of crack width.
It could be seen from Section 3.1 that the confinement effect of stirrups had a significant impact on the deformation behaviour of beam specimens. The larger the stirrup spacing, the worse the restraint’s ability to crack width. Therefore, considering the influence of stirrup spacing on crack width, a coefficient θs (Equation (3)) related to stirrup spacing was proposed to correct Equation (1). The modified equation for calculating the short-term maximum crack is shown as Equation (2).
where s is the stirrup spacing. Equation (2) was used to calculate the maximum crack width of fatigue beam specimens at the upper loads in the first cycle. Table 4 provides the comparison between the test value and the calculated value. The relative error was within 10%.
Table 4.
Maximum crack width at upper loads in first cycle.
As shown in Figure 17, the strain of the CFRP bar is uneven, and the maximum is at the crack section. This was because the concrete between cracks bore partial tension. The coefficient ψf reflected the non-uniformity of tensile CFRP bar strain, indicating the contribution of tensile concrete between cracks. The larger the value of ψf, the smaller the contribution of concrete in the tension zone between cracks. In addition, ψf cannot be greater than 1.
With the increasing cycle number, the accumulation of fatigue damage made the concrete in the tension zone between cracks gradually withdraw from work. In addition, because CFRP bars were composite materials, their material properties were more discrete than metal materials. The layered structure of CFRP bars had poor resistance to cyclic loads. The fatigue damage of CFRP bars was mainly reflected in cracks of the resin matrix, debonding of the fibre–matrix interface, and fibre fracture. The fatigue damage increased the strain of CFRP bars. Therefore, εfk and ψf changed during fatigue loading. Moreover, after the crack number was stable, the average crack spacing was basically unchanged. Considering the increased tendency of εfk and ψf, an amplification coefficient θf (Equation (5)) associated with load levels S and n/N was proposed to modify Equation (2). Furthermore, Equation (4) was proposed to estimate fatigue maximum crack width in this paper.
Table 5 lists the comparison between test and theoretical values of maximum crack width at upper loads under different n/N. The average relative error was 4.2%, not more than 5%.
Table 5.
Maximum crack width at upper loads under different n/N.
4.4. Flexural Stiffness
Due to the development of cracks and the deterioration of material properties under cyclic loads, the flexural stiffness of beam specimens gradually attenuated. There are two main definitions of flexural stiffness under cyclic loads, namely tangent stiffness and secant stiffness [59,60]. Tangent stiffness, which represented the instantaneous stiffness of members, was the tangent slope at any point on moment–curvature curves during fatigue loading. Secant stiffness, which represents the overall stiffness of members in a cycle, was the line slope between the starting point and peak point on the moment–curvature curve in a cycle. Obviously, secant stiffness could better reflect the impact of cyclic loads on flexural stiffness. According to material mechanics, flexural stiffness Bn in the nth cycle can be expressed as:
where Pmax is the upper loads; l is the calculated span, and l of this paper was 1200 mm; fi,n is the initial deflection in the nth cycle; fmax,n is the peak deflection in the nth cycle.
The variation in flexural stiffness with n/N is shown in Figure 18. It was well known that the flexural stiffness of the members decreased with the increase in bending moment. Therefore, the flexural stiffness of F-100-0.6 was less than that of F-100-0.5 in general. In addition, the stirrup spacing was an important factor affecting the deformation behaviour of beam specimens. Therefore, with the increasing stirrup spacing, the overall flexural stiffness of beam specimens decreased significantly, and the rate of stiffness attenuation increased. For F-100-0.5 without fatigue failure, the flexural stiffness declined rapidly in the early cycle and then declined steadily. The rapid initiation of cracks in the early cycle resulted in the rapid upward movement of the neutral axis. For the beam specimens with fatigue failure, the first two stages of flexural stiffness–n/N curves were similar to that of F-100-0.5. Subsequently, the flexural stiffness decreased significantly in the last 10% of fatigue life. This was due to the microcracks accumulated in the intermediate cycle, resulting in the unstable propagation of main cracks.
Figure 18.
Flexural stiffness–n/N relationships.
4.5. Mid-Span Deflection
The relationships of mid-span deflection at the upper loads versus n/N are illustrated in Figure 19a. For F-100-0.5 without fatigue failure, the deflection increased rapidly in the early cycle, and then the deflection growth rate gradually decreased until the growth rate was close to constant. For the beam specimens with fatigue failure, the first two stages of deflection–n/N curves were similar to that of F-100-0.5. The deflection increased sharply in the last 10% of fatigue life. Due to the increase in load levels, the deflection growth rate of F-100-0.6 was significantly higher than that of F-100-0.5. With the increasing stirrup spacing, the deformation resistance of beam specimens decreased, resulting in a higher deflection growth rate.
Figure 19.
Mid-span deflection at upper loads–n/N relationships. (a) Comparison of beam specimens; (b) Three-segment variation law of fatigue deflection.
There were essential differences between fatigue problems and static problems, which mainly focused on shear capacity. The randomness of fatigue damage was strong, and the fatigue process and failure form show multi-mode characteristics. The fatigue failure was affected by many factors, such as initial defects in concrete or bars and incompatible deformation between materials. For the beam specimens in this paper, the fatigue failure was mainly affected by shear cracks. From the characteristics of the whole fatigue process, the deflection at the upper loads had an obvious change rule of three stages, as shown in Figure 19b. Because of the rapid initiation and development of cracks, the deflection showed an unordered rapid increase in the first stage. In the second stage, the cracks developed steadily, and the deflection increased orderly. In the third stage near brittle fracture, the fatigue damage reached a critical value and the crack propagated rapidly. The shear capacity of beam specimens was rapidly lost, and the deflection also presented an unordered rapid increase.
Cyclic loads not only reduced the stiffness of flexural members but also caused irreversible plastic deformation. This plastic deformation was reflected in the residual deflection. Therefore, only considering the degradation in flexural stiffness underestimated the increase in fatigue deflection. At present, based on the initial deflection, most fatigue deflection calculation equations consider an amplification factor related to the cycle number [61,62,63]. These calculation equations were as follows:
where f0 is the initial deflection at the upper loads; fn is the deflection at the upper loads in the nth cycle.
Additionally, the last 10% of fatigue life was not considered in these equations due to the discrete deflection growth. However, according to the test results in this paper, both the load levels and stirrup spacing were the non-negligible factors to affect the fatigue deflection. Therefore, considering the influence of load levels and stirrup spacing, a fatigue deflection calculation equation was proposed as follows:
where α and β are the coefficients related to stirrup spacing s and load level S. Table 6 shows the test and calculated values of mid-span deflection at the upper loads under different n/N. And the average relative error was 2.2% and not more than 5%, which verified the applicability of Equation (10).
Table 6.
Deflection at upper loads under different n/N.
4.6. Fatigue Strain of SSC
The concrete behaviour directly affected the overall behaviour of the structure. Under cyclic loads, microcracks are initiated in SSC in the compression zone, thereby leading to the residual strain, and ultimately affecting the mechanical properties of members. Figure 20 shows the variation in the compressive strain of SSC with n/N. In the early cycle, the SSC was damaged obviously due to the formation of microcracks at the aggregate–slurry interface. Therefore, the growth rate of the SSC strain was fast in this stage. In the intermediate cycle, microcracks developed regularly and the strain increased at a constant rate. In the later cycle, the strain data could not be collected due to the damage of strain gauges. Some studies found that the SSC strain increases rapidly in the later cycle and microcracks develop into macroscopic cracks [64,65]. This was one of the reasons for the rapid increase in deflection and the rapid attenuation in flexural stiffness in the later cycle.
Figure 20.
SSC compressive strain–n/N relationships.
4.7. Fatigue Strain of CFRP Bar
The strain gauges of CFRP bars were frequently squeezed by SSC during cyclic loading. Therefore, after a certain number of cycles, the strain gauges on the CFRP bars were damaged in succession. It can be seen from Figure 21 that with the increasing cycle number, the strain of CFRP bars at the upper loads gradually increased. This was due to a large number of microcracks in the resin matrix caused by cyclic loads, which then extended to the fibre–matrix interface, ultimately weakening the fibre–matrix interface [66].
Figure 21.
CFRP bar tensile strain–cycle number relationships.
5. Fatigue Life Estimation
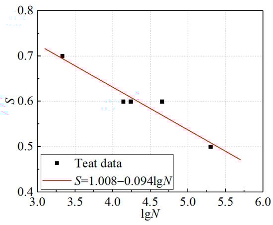
In the engineering field, if members experienced 2 million cycles without fatigue failure, the fatigue life under this load level can be considered as infinity. Then, this load level was the fatigue limit. For the beam specimens in this paper, their fatigue limit was 0.5.
At present, the most commonly used prediction method of fatigue life in engineering is the load level–fatigue life curve (S–N curve) method. S–N curves could describe the fatigue characteristics of flexural members. Previous studies have shown that the S–N curves of concrete flexural members conform to the power function. The S–N curve of beam specimens in this paper is shown in Figure 22.
Figure 22.
S–N curve.
In this paper, although the stirrup spacing had a significant impact on the fatigue deformation behaviour of beam specimens, it had no significant impact on the fatigue life. However, the current definition of fatigue life only considers the fatigue failure caused by the degradation in bearing capacity. In fact, if the fatigue deformation of members exceeded a certain limit, it also seriously affected normal use. Therefore, the fatigue life of flexural members could be further divided into fatigue life on bearing capacity and fatigue life on normal service. The fatigue life on bearing capacity, which was equivalent to the traditional fatigue life, was the cycle number when the fatigue failure occurred. ACI 440.1R-15 [14] and GB 50608-2020 [16] specify the deformation limit of FRP bar-reinforced concrete flexural members, including crack width and deflection. When the fatigue crack width or fatigue deflection reached the corresponding deformation limit, this cycle number was considered as the fatigue life on normal service. The fatigue crack width and fatigue deflection can be calculated by Equations (4) and (10) proposed in this paper, respectively. In the fatigue design, the fatigue life on bearing capacity and normal service of members shall meet the design requirements. Only in this way could the serviceability and safety of members be guaranteed. Among the two parameters discussed in this paper, the load levels were an important factor affecting the fatigue life on bearing capacity and normal service. The stirrup spacing had no significant impact on the bearing capacity fatigue life but had a significant impact on the normal service fatigue life. These two parameters, which needed to be considered in the fatigue design, were the main factors affecting the fatigue behaviour of CFRP bar-reinforced SSC beams.
6. Conclusions
The fatigue behaviour of CFRP bar-reinforced SSC beams was explored by experimental research and theoretical analysis. The major conclusions drawn are as follows:
- (1)
- Excessive stirrup spacing might change the static failure modes, thus reducing their shear capacity and deformation resistance. A tentative suggestion proposed was that the maximum stirrup spacing should be limited to 200 mm.
- (2)
- The influence of stirrup spacing was considered to improve the static crack width equation of GB 50608-2020. Then, based on this modified equation, a fatigue crack width equation considering the effect of load levels and n/N was further proposed in this paper.
- (3)
- The fatigue deflection presented a three-stage development of “disorder-orderliness-disorder”. According to the existing calculation concept, the influence of load levels and stirrup spacing was further considered, and an equation for fatigue deflection was proposed.
- (4)
- The fatigue design concept was further improved, and the fatigue life was subdivided into the fatigue life on bearing capacity and normal service. The load levels had a prominent impact on the fatigue life on bearing capacity and normal service, while the stirrup spacing only had a significant impact on the fatigue life on normal service.
Future prospects: The elastic modulus of CFRP bars was closest to that of steel bars, which meant that the deformation resistance of CFRP bar-reinforced concrete members was comparable to that of reinforced concrete members. This indicated that from the perspective of structural applicability, CFRP bar-reinforced concrete members had the better application prospect. In addition, CFRP bars had the best durability and could face all kinds of extreme environments. In particular, the combination of CFRP bars and SSC could fully leverage the durability of CFRP bars, avoid the cost of sea sand desalination, and protect river sand and freshwater resources. Therefore, from the perspective of structural durability, CFRP bar-reinforced concrete members had a better application prospect.
Author Contributions
Conceptualisation, J.D., Z.P. and G.M.; data curation, J.D., Y.L. and B.K.; formal analysis, G.M., J.Z. and Q.G.; funding acquisition, F.L., S.Q. and X.L.; investigation, J.D., G.M. and S.Q.; methodology, J.D. and X.L.; project administration, F.L.; resources, F.L.; software, J.L. and F.H.; supervision, F.L.; writing—original draft, J.D. and G.M.; writing—review and editing, J.D. and G.M. All authors have read and agreed to the published version of the manuscript.
Funding
This research was funded by the National Natural Science Foundation of China under Grant No. 12072080 and Grant No. 12032009, and the Special Foundation for Scientific and Technological Innovation Strategy of Guangdong Province under Grant No. pdjh2023a0161 (in China).
Data Availability Statement
The original data will be available upon requirement.
Acknowledgments
The authors gratefully acknowledge the financial support provided by the National Natural Science Foundation of China under Grant No. 12072080 and Grant No. 12032009, and the Special Foundation for Scientific and Technological Innovation Strategy of Guangdong Province under Grant No. pdjh2023a0161 (in China).
Conflicts of Interest
The authors declare no conflict of interest.
References
- Fang, Z.; Hu, L.; Jiang, H.; Fang, S.; Zhao, G.; Ma, Y. Shear behaviour of high-strength friction-grip bolted shear connector in prefabricated steel–UHPC composite beams: Finite element modelling and parametric study. Case Stud. Constr. Mater. 2023, 18, e01860. [Google Scholar]
- Tang, Y.; Huang, Z.; Chen, Z.; Chen, M.; Zhou, H.; Zhang, H.; Sun, J. Novel visual crack width measurement based on backbone double-scale features for improved detection automation. Eng. Struct. 2023, 274, 115158. [Google Scholar] [CrossRef]
- Fang, S.; Li, L.; Luo, Z.; Fang, Z.; Huang, D.; Liu, F.; Wang, H.; Xiong, Z. Novel FRP interlocking multi-spiral reinforced-seawater sea-sand concrete square columns with longitudinal hybrid FRP–steel bars: Monotonic and cyclic axial compressive behaviours. Compos. Struct. 2023, 305, 116487. [Google Scholar] [CrossRef]
- Sun, J.; Aslani, F.; Wei, J.; Wang, X. Electromagnetic absorption of copper fiber oriented composite using 3D printing. Constr. Build. Mater. 2021, 300, 124026. [Google Scholar] [CrossRef]
- Fang, S.; Zhang, S.; Cao, Z.; Zhao, G.; Fang, Z.; Ma, Y.; Jiang, H. Effects of stud aspect ratio and cover thickness on push-out behaviour of thin full-depth precast UHPC slabs with grouped short studs: Experimental evaluation and design considerations. J. Build. Eng. 2023, 67, 105910. [Google Scholar] [CrossRef]
- Zhang, G.; Chen, C.; Sun, J.; Li, K.; Xiao, F.; Wang, Y.; Chen, M.; Huang, J.; Wang, X. Mixture optimisation for cement-soil mixtures with embedded GFRP tendons. J. Mater. Res. Technol.-JMRT 2022, 18, 611–628. [Google Scholar] [CrossRef]
- Zhang, G.; Chen, C.; Zhang, Y.; Zhao, H.; Wang, Y.; Wang, X. Optimised neural network prediction of interface bond strength for GFRP tendon reinforced cemented soil. Geomech. Eng. 2022, 28, 599–611. [Google Scholar]
- Xian, G.; Guo, R.; Li, C.; Hong, B. Mechanical properties of carbon/glass fiber reinforced polymer plates with sandwich structure exposed to freezing-thawing environment: Effects of water immersion, bending loading and fiber hybrid mode. Mech. Adv. Mater. Struct. 2023, 30, 814–834. [Google Scholar] [CrossRef]
- Abed, F.; Mehaini, Z.; Oucif, C.; Abdul–Latif, A.; Baleh, R. Quasi-static and dynamic response of GFRP and BFRP bars under compression. Compos. Part C Open Access 2020, 2, 100034. [Google Scholar] [CrossRef]
- Wu, J.; Zhu, Y.; Li, C. Experimental Investigation of Fatigue Capacity of Bending-Anchored CFRP Cables. Polymers 2023, 15, 2483. [Google Scholar] [CrossRef] [PubMed]
- Zhang, J.; Sun, Y.; Li, G.; Wang, Y.; Sun, J.; Li, J. Machine-learning-assisted shear strength prediction of reinforced concrete beams with and without stirrups. Eng. Comput. 2022, 38, 1293–1307. [Google Scholar] [CrossRef]
- Xiong, Z.; Lin, L.; Qiao, S.; Li, L.; Li, Y.; He, S.; Li, Z.; Liu, F.; Chen, Y. Axial behaviour of seawater sea-sand concrete columns reinforced with basalt fibre-reinforced polymer bars under concentric compressive load. J. Build. Eng. 2022, 47, 103828. [Google Scholar] [CrossRef]
- Gravina, R.J.; Smith, S.T. Flexural behaviour of indeterminate concrete beams reinforced with FRP bars. Eng. Struct. 2008, 30, 2370–2380. [Google Scholar] [CrossRef]
- ACI 440.1R-15; Guide for the Design and Construction of Structural Concrete Reinforced with Fiber-Reinforced Polymer (FRP) bars, ACI Committee 440. American Concrete Institute: Farmington Hills, MI, USA, 2015.
- CSA S806-12; Design and Construction of Building Structures with Fibre-Reinforced Polymers. Canadian Standards Association: Toronto, ON, Canada, 2012.
- GB 50608-2020; Technical Standard for Fiber Reinforced Polymer (FRP) in Construction. Ministry of Housing and Urban-Rural Development of the People’s Republic of China: Beijing, China, 2020.
- Shamass, R.; Cashell, K.A. Experimental investigation into the flexural behaviour of basalt FRP reinforced concrete members. Eng. Struct. 2020, 220, 110950. [Google Scholar] [CrossRef]
- Li, L.; Lu, J.; Fang, S.; Liu, F.; Li, S. Flexural study of concrete beams with basalt fibre polymer bars. Proc. Inst. Civil Eng.-Struct. Build. 2018, 171, 505–516. [Google Scholar] [CrossRef]
- Kara, I.F.; Ashour, A.F.; Dundar, C. Deflection of concrete structures reinforced with FRP bars. Compos. Part B Eng. 2013, 44, 375–384. [Google Scholar] [CrossRef]
- Kara, I.F.; Ashour, A.F. Flexural behaviour of FRP reinforced concrete beams. Compos. Struct. 2012, 94, 1616–1625. [Google Scholar] [CrossRef]
- Acciai, A.; D’Ambrisi, A.; De Stefano, M.; Feo, L.; Focacci, F.; Nudo, R. Experimental response of FRP reinforced members without transverse reinforcement: Failure modes and design issues. Compos. Part B Eng. 2016, 89, 397–407. [Google Scholar] [CrossRef]
- Barris, C.; Torres, L.; Vilanova, I.; Miàs, C.; Llorens, M. Experimental study on crack width and crack spacing for Glass-FRP reinforced concrete beams. Eng. Struct. 2017, 131, 231–242. [Google Scholar] [CrossRef]
- ACI Committee215. Considerations for Design of Concrete Structure Subjected to Fatigue Loading. J. ACI 1974, 71, 97–120. [Google Scholar]
- Zhao, J.; Li, G.; Wang, Z.; Zhao, X. Fatigue behavior of concrete beams reinforced with glass- and carbon-fiber reinforced polymer (GFRP/CFRP) bars after exposure to elevated temperatures. Compos. Struct. 2019, 229, 111427. [Google Scholar] [CrossRef]
- Li, L.; Hou, B.; Lu, Z.; Liu, F. Fatigue behaviour of sea sand concrete beams reinforced with basalt fibre-reinforced polymer bars. Constr. Build. Mater. 2018, 179, 160–171. [Google Scholar] [CrossRef]
- Jeong, Y.; Kim, W.; Gribniak, V.; Hui, D. Fatigue behavior of concrete beams prestressed with partially bonded CFRP bars subjected to cyclic loads. Materials 2019, 12, 3352. [Google Scholar] [CrossRef] [PubMed]
- Younes, T.; Al-Mayah, A.; Topper, T. Fatigue behaviour of prestressed concrete beams using BFRP bars. Constr. Build. Mater. 2017, 157, 313–321. [Google Scholar] [CrossRef]
- Zhu, P.; Xu, J.; Qu, W.; Hao, H. Experimental study of fatigue flexural behaviour of concrete beams reinforced with hybrid GFRP and Steel bars. J. Compos. Constr. 2017, 21, 04017036. [Google Scholar] [CrossRef]
- Xu, J.; Zhu, P.; Ma, Z.J.; Qu, W. Fatigue flexural analysis of concrete beams reinforced with hybrid GFRP and steel bars. Eng. Struct. 2019, 199, 109635. [Google Scholar] [CrossRef]
- Zhang, G.; Chen, C.; Li, K.; Xiao, F.; Sun, J.; Wang, Y.; Wang, X. Multi-objective optimisation design for GFRP tendon reinforced cemented soil. Constr. Build. Mater. 2022, 320, 126297. [Google Scholar] [CrossRef]
- Chen, C.; Zhu, S.; Zhang, G.; Morsy, A.M.; Zornberg, J.G.; Huang, J. No Access Interface creep behavior of tensioned GFRP tendons embedded in cemented soils. Geosynth. Int. 2022, 29, 241–253. [Google Scholar] [CrossRef]
- Zhao, Y.; Hu, X.; Shi, C.; Zhang, Z.; Zhu, D. A review on seawater sea-sand concrete: Mixture proportion, hydration, microstructure and properties. Constr. Build. Mater. 2021, 295, 123602. [Google Scholar] [CrossRef]
- Guo, M.; Hu, B.; Xing, F.; Zhou, X.; Sun, M.; Sui, L.; Zhou, Y. Characterization of the mechanical properties of eco-friendly concrete made with untreated sea sand and seawater based on statistical analysis. Constr. Build. Mater. 2020, 234, 117339. [Google Scholar] [CrossRef]
- Dong, Z.; Wu, G.; Zhao, X.; Zhu, H.; Shao, X. Behaviors of hybrid beams composed of seawater sea-sand concrete(SWSSC) and a prefabricated UHPC shell reinforced with FRP bars. Constr. Build. Mater. 2019, 213, 32–42. [Google Scholar] [CrossRef]
- Sun, J.; Wang, X.; Zhang, J.; Xiao, F.; Sun, Y.; Ren, Z.; Zhang, G.; Liu, S.; Wang, Y. Multi-objective optimisation of a graphite-slag conductive composite applying a BAS-SVR based model. J. Build. Eng. 2021, 44, 103223. [Google Scholar] [CrossRef]
- Sun, J.; Wang, J.; Zhu, Z.; He, R.; Peng, C.; Zhang, C.; Huang, J.; Wang, Y.; Wang, X. Mechanical Behaviour Prediction for Sustainable High-Strength Concrete Using Bio-Inspired Neural Network. Buildings 2022, 12, 65. [Google Scholar] [CrossRef]
- Xiao, J.; Qiang, C.; Nanni, A.; Zhang, K. Use of sea-sand and seawater in concrete construction: Current status and future opportunities. Constr. Build. Mater. 2017, 155, 1101–1111. [Google Scholar] [CrossRef]
- Ahmed, A.; Guo, S.; Zhang, Z.; Shi, C.; Zhu, D. A review on durability of fiber reinforced polymer (FRP) bars reinforced seawater sea sand concrete. Constr. Build. Mater. 2020, 256, 119484. [Google Scholar] [CrossRef]
- Dong, B.; Liu, W.; Ma, H.; Xing, F. Electrochemical impedance spectroscopy on the hydration behavior of the mortar with marine sand. J. Build. Mater. 2013, 16, 306–309+320. [Google Scholar]
- ASTM D1141-98; Standard Practice for the Preparation of Substitute Ocean Water. American Society for Testing and Materials: West Conshohocken, PA, USA, 2013.
- GB/T14684-2011; Sand for Construction, General Administration of Quality Supervision. Inspection and Quarantine: Beijing, China, 2011.
- Guo, X.; Xiong, Z.; Luo, Y.; Qiu, L.; Liu, J. Experimental investigation on the semi-rigid behaviour of aluminium alloy gusset joints. Thin-Walled Struct. 2015, 87, 30–40. [Google Scholar] [CrossRef]
- Sun, J.; Lin, S.; Zhang, G.; Sun, Y.; Zhang, J.; Chen, C.; Morsy, A.M.; Wang, X. The effect of graphite and slag on electrical and mechanical properties of electrically conductive cementitious composites. Constr. Build. Mater. 2021, 281, 122606. [Google Scholar] [CrossRef]
- Xiong, Z.; Guo, X.; Luo, Y.; Zhu, S.; Liu, Y. Experimental and numerical studies on single-layer reticulated shells with aluminium alloy gusset joints. Thin-Walled Struct. 2017, 118, 124–136. [Google Scholar] [CrossRef]
- Sun, J.; Wang, Y.; Liu, S.; Dehghani, A.; Xiang, X.; Wei, J.; Wang, X. Mechanical, chemical and hydrothermal activation for waste glass reinforced cement. Constr. Build. Mater. 2021, 301, 124361. [Google Scholar] [CrossRef]
- Guo, X.; Xiong, Z.; Luo, Y.; Xu, H.; Qiu, L. Theoretical study on bending stiffness of aluminum alloy gusset joint. J. Build. Struct. 2014, 35, 144–150. [Google Scholar]
- Li, L.; Zeng, L.; Li, S.; Liu, F. Shear capacity of sea sand concrete beams with polymer bars. Proc. Inst. Civil Eng. -Struct. Build. 2019, 172, 237–248. [Google Scholar] [CrossRef]
- Stratford, T.; Burgoyne, C. Shear Analysis of Concrete with Brittle Reinforcement. J. Compos. Constr. 2003, 7, 323–330. [Google Scholar] [CrossRef]
- El-Ragaby, A.; El-Salakawy, E.; Benmokrane, B. Fatigue life evaluation of concrete bridge deck slabs reinforced with glass FRP composite bars. J. Compos. Constr. 2007, 11, 258–268. [Google Scholar] [CrossRef]
- Mai, G.; Li, L.; Chen, X.; Xiong, Z.; Liang, J.; Zou, X.; Qiu, Y.; Qiao, S.; Liang, D.; Liu, F. Fatigue behaviour of basalt fibre-reinforced polymer bar-reinforced sea sand concrete slabs. J. Mater. Res. Technol.-JMRT 2023, 22, 706–727. [Google Scholar] [CrossRef]
- Shi, J.; Wang, X.; Wu, Z.; Zhu, Z. Fatigue behavior of basalt fiber-reinforced polymer tendons under a marine environment. Constr. Build. Mater. 2017, 137, 46–54. [Google Scholar] [CrossRef]
- Xiong, Z.; Wei, W.; He, S.; Liu, F.; Luo, H.; Li, L. Dynamic bond behaviour of fibre-wrapped basalt fibre-reinforced polymer bars embedded in sea sand and recycled aggregate concrete under high-strain rate pull-out tests. Constr. Build. Mater. 2021, 276, 122195. [Google Scholar] [CrossRef]
- Xiong, Z.; Mai, G.; Qiao, S.; He, S.; Zhang, B.; Wang, H.; Zhou, K.; Li, L. Fatigue bond behaviour between basalt fibre-reinforced polymer bars and seawater sea-sand concrete. Ocean. Coast. Manag. 2022, 218, 106038. [Google Scholar] [CrossRef]
- Xiong, Z.; Mai, G.; Li, L.; Chen, X.; Zeng, H.; You, W. Investigation on Fatigue Bond Behaviour between GFRP Bars and Seawater Sea-sand Concrete. China J. Highw. Transp. 2022, 35, 259–268. [Google Scholar]
- Tang, Y.; Chen, Z.; Huang, Z.; Nong, Y.; Li, L. Visual measurement of dam concrete cracks based on U-net and improved thinning algorithm. J. Exp. Mech. 2022, 37, 209–220. [Google Scholar]
- Xiong, Z.; Guo, X.; Luo, Y.; Zhu, S. Elasto-plastic stability of single-layer reticulated shells with aluminium alloy gusset joints. Thin-Walled Struct. 2017, 115, 163–175. [Google Scholar] [CrossRef]
- Feng, W.; Tang, Y.; He, W.; Wei, W.; Yang, Y. Mode I dynamic fracture toughness of rubberised concrete using a drop hammer device and split Hopkinson pressure bar. J. Build. Eng. 2022, 48, 103995. [Google Scholar] [CrossRef]
- Xiong, Z.; Guo, X.; Luo, Y.; Xu, H. Numerical analysis of aluminium alloy gusset joints subjected to bending moment and axial force. Eng. Struct. 2017, 152, 1–13. [Google Scholar] [CrossRef]
- Chen, C.; Cheng, L. Predicting flexural fatigue behaviour of RC beams strengthened with externally bonded FRP due to FRP debonding. J. Bridge Eng. 2017, 22, 04017082. [Google Scholar] [CrossRef]
- Tang, Y.; Feng, W.; Chen, Z.; Nong, Y.; Guan, S.; Sun, J. Fracture behavior of a sustainable material: Recycled concrete with waste crumb rubber subjected to elevated temperatures. J. Clean. Prod. 2021, 318, 128553. [Google Scholar] [CrossRef]
- Balaguru, P.N.; Shah, S.P.; Naaman, A.E. Fatigue behavior and design of ferrocement beams. J. Struct. Div. 1979, 105, 1333–1346. [Google Scholar] [CrossRef]
- Lovegrove, J.M.; El Din, S. Deflection and cracking of reinforced concrete under repeated loading and fatigue. Spec. Publ. 1982, 75, 133–152. [Google Scholar]
- CEB-FIP Model Code 2010; Thomas Teford Ltd.: Lausanne, Switzerland, 2010.
- Fan, Z.; Sun, Y. Detecting and evaluation of fatigue damage in concrete with industrial computed tomography technology. Constr. Build. Mater. 2019, 223, 794–805. [Google Scholar] [CrossRef]
- Feng, W.; Wang, Y.; Sun, J.; Tang, Y.; Wu, D.; Jiang, Z.; Wang, J.; Wang, X. Prediction of thermo-mechanical properties of rubber-modified recycled aggregate concrete. Constr. Build. Mater. 2022, 318, 125970. [Google Scholar] [CrossRef]
- Wang, X.; Shi, J.; Wu, Z.; Zhu, Z. Fatigue behavior of basalt fiber-reinforced polymer tendons for prestressing applications. J. Compos. Constr. 2016, 20, 04015079. [Google Scholar] [CrossRef]
Disclaimer/Publisher’s Note: The statements, opinions and data contained in all publications are solely those of the individual author(s) and contributor(s) and not of MDPI and/or the editor(s). MDPI and/or the editor(s) disclaim responsibility for any injury to people or property resulting from any ideas, methods, instructions or products referred to in the content. |
© 2023 by the authors. Licensee MDPI, Basel, Switzerland. This article is an open access article distributed under the terms and conditions of the Creative Commons Attribution (CC BY) license (https://creativecommons.org/licenses/by/4.0/).























