Abstract
A more efficient attention recovery of workers during their break time is essential for achieving higher productivity and wellness. In recent years, the biophilic design that introduces indoor plants has become one of the solutions to these problems. This study aims to determine the impact factors and corresponding levels related to indoor planting design concerning workers’ attention recovery. Firstly, the volume ratio, layout, and leaf size of indoor plants and the corresponding levels were put forward by a focus group study with ten participants. Secondly, the orthogonal experiment method established nine virtual recovery scenarios based on characteristics extraction of staff break areas in the factory. Thirdly, eighteen participants were guided to feel fatigued by experiencing the sustained attention to response test to measure the baseline attention level of participants. Then, participants rested in the virtual scenarios. Lastly, the attention test was conducted again to observe participants’ attention recovery degree. The difference values of participants’ sensitivity, reaction times, and the number of correct responses between the two detection targets were applied to evaluate the attention recovery. Results showed that the volume ratio of indoor plants had the most significant effect on workers’ attention recovery; 3% by volume ratio, mixed floor and wall plants and floor planting with large leaves were demonstrated as the optimal indoor planting design for attention recovery.
1. Introduction
1.1. The Need to Recover Workers’ Attention Increased
Factory workers’ attention during working time is the main factor affecting productivity, which is also strongly influenced by workers’ physical and emotional well-being. Fast-paced and repetitive tasks for an extended in an environment with monotonous vision, poor lighting, and noise contribute to visual fatigue, negative emotion, and even distraction and slow reaction [1,2]. The aforementioned adverse reactions were the main factors that induced poor work quality and efficiency [3,4,5,6]. While one in four workers worldwide suffers from extreme fatigue, distracted attention, uncontrolled emotion, and mental disease [7], this phenomenon has resulted in relatively huge economic losses [8,9]. Based on the above, researchers, supervision organizations, and consumers strongly require an improved factory environment, mainly indoor environmental quality (IEQ) [10,11,12].
Many studies have investigated the factors that affect working quality and efficiency. Existing studies have explored how workers’ fatigue and attention were impacted by workstations [2], scheduling jobs and breaks [5], and outdoor environments [13]. Furthermore, previous studies [14] suggested that many types of suitable indoor environments could have significant positive impacts on people. Gao and Zhang [15] found that six dominant design features of indoor environments (e.g., nature, artwork, doorway position, furniture layout, room size, and wall color) could impact inpatients’ psychological well-being. Chang [16] found that when neither the window view nor the indoor plants are shown, participants suffer the highest degree of stress and anxiety. Nejati et al. [17] found that higher levels of exposure to nature and daylight are perceived to have more significant restorative potential in hospital staff break areas. Li et al. [18] found that the small spaces with strawberry plants could improve psychological health and cognitive performance. Compared to some factors that have been explored, improving the indoor environment of factories should be applied to impact workers’ attention recovery as a practical approach.
1.2. Indoor Planting Design and Attention Recovery
Introducing indoor plants is one of the most efficient and practical means to create a natural environment in indoor space [19], stemming from biophilia coined put forward by E.O. Wilson [20] in 1984. Biophilia has long been a well-liked strategy for enhancing visual comfort and air quality among indoor environmental characteristics (IEQ). The attention restoration theory (ART) and the psycho-evolutionary theory may both be used to explain why indoor plants have a favorable impact on people’s mental health [21]. According to the attention restoration theory [22,23], humans need a restorative environment that promotes attention to recuperate from the brain fatigue brought on by directed attention. Biophilia can provide these demands and lessen stress at work by decreasing directed attention fatigue in people. Similarly, the psycho-evolutionary theory [24] states that humans evolved from the natural environment in the prehistoric era, so biophilia will promote our innate psychological and physiological stabilization. The Savanna Theory [25] (Orians, 1980) and the preference matrix [22] (Kaplan and Kaplan, 1989) are derived from the psycho-evolutionary theory. Kaplan et al. [22] suggested that the preference matrix is one of the most frequently used theories for assessing landscape qualities by spanning the four visual qualities “complexity, coherence, mystery, and legibility”.
Many studies [26] have analyzed the physiological reactions of humans to determine the recovery impact of biophilic elements on humans. According to the sort of natural stimulation, the summarization of those studies can be generally divided into two categories: a natural landscape and indoor plants [21]. For the first category, some studies listed below explored natural landscapes as stimulants. Bjerke et al. [27] found that vegetation density could influence the natural landscapes’ health benefits. Chiang et al. [28] found that the inside the forest and the medium vegetation conditions could enhance a more positive mood and reduce mood disturbance than other locations and densities. Tennessen and Cimprich [29] found that university dormitory residents with more natural sceneries could score better on tests of directed attention and rate their attentional functioning as more effective compared to those with less natural sceneries from their windows. Laumann et al. [30] found that exposure to the natural landscape could restore depleted voluntary attention capacity and affect selective attention, which is better than exposure to an urban landscape.
For the second category, indoor plants not only provide natural sensory stimulation by vision, smell, and touch but also may be more feasible methods based on the current situation that people spend more than 80% of their time indoors every day [31], compared with natural landscapes. Oh et al. [32] found that viewing plants relieve visual fatigue and improves the students’ attention. Van Den Berg et al. [33] found that plant walls can improve indoor school classroom environmental quality and have a good effect on children’s cognition and emotion. Wu et al. [34] found that students with exposure to higher greenery indexes have better academic performance in both English and mathematics. Lei et al. [35] found that the moderate green coverage ratio is the optimal greenery dose at the office after integrating the finding regarding psychological, physiological, and productivity performance. Bringslimark et al. [36] found that indoor plants could help workers show higher job satisfaction and task performance in the workplace. Qin et al. [37] found that the color, odor, and size of plants might affect inhabitants’ emotions and productivity. Berger et al. [38] discovered that the appearance and shape of indoor plants, which are often utilized in commercial offices or domestic homes, might influence people’s preferences and responses. Regarding the indoor environment designs illustrated by many research, numerous factors of indoor planting design were noted as significant characteristics that influence people’s recovery. The volume ratio of indoor plants is an important factor in indoor planting design. Some studies have examined the effect of volume ratio. Choi et al. [39] found that the index of greenness (5, 20, 50 and 80%) in an indoor environment showed similar physiological responses. Larsen et al. [40] found there was an inverse linear relationship between the results of the task and the number of indoor plants. Jiang et al. [41] found an inverted U-shape relationship between the recovery for men and the increased dose of nature. There is less research on indoor plants’ layout and leaf size, but both are important factors. Abdi et al. [42] examined the effects of plant type and layout on thermal comfort in a university site. Shibata et al. [43] examined compared the plants placed in front of participants with the plants put on one side, and participants preferred the former.
Many studies have provided initial evidence of a positive relationship between indoor plants and the capacity to recover attention. As discussed below, a combination regarding the way that exhausting and testing attentional capacity and equipment was applied in the study. Selecting a task that adequately quantifies directed attention is crucial. The methods used in the current study are the so-called Digit Span Backward (DSB) test [44] (Rich, 2007), a word association test [43,45] (Shibata and Suzuki, 2002; Shibata and Suzuki, 2004), key response tasks [46,47] (Lohr et al., 1996; Shibata and Suzuki, 2001), sorting tasks [40] (Larsen et al., 1998), a letter identification task [40] (Larsen et al., 1998) and the Sustained Attention to Response Test [48] (SART, Berto, 2005). Among these methods, the Sustained Attention to Response Test (SART) definition is very similar to that of depletion of directed attention capacity. The SART is also sensitive to sustaining attention to dull but demanding tasks. In addition, the SART involves ideas such as the reduction of inhibitory capacity, the production of a response, and the inhibition of stimuli [49,50]. Berto [48] suggested that participants were first attention fatigued by carrying out the SART and completed the SART for a second time after exposing to restorative or nonrestorative environments.
Besides choosing a task that adequately measures directed attention, virtual reality (VR) is an emerging technology that has the potential to address some limitations of previous studies. It could provide more immersive experiences of various natural environments than video, pictures, and sketches under controlled laboratory circumstances [51]. VR allows systematic manipulations of indoor environments that could not effectively be implemented in the real world [52,53,54]. Moreover, earlier studies [55,56,57,58,59] have found that similar restorative effects have been produced with real natural environments and virtual environments. Yin et al. [26] found that participants react similarly physiologically and cognitively in a simulated biophilic environment as they would in the real environment. VR of various natural environments (e.g., forests, urban green space, streetscapes, biophilic indoor space) has been used to detect the recovery effects. Yeome et al. [60] analyzed the four virtual experiments’ impact on occupants through the element of visual green walls.
1.3. Literature Gaps
We find two critical gaps in the research related to the impact of indoor plants and attention recovery on workers that are addressed below.
First, although the current research has studied the influence of attention recovery on factory workers, and has proven that nature stimulations are one of the critical methods to improve the environment, and have a significant influence on lowering workers’ stress and anxiety, the relation between nature stimulations and workers’ attention recovery needs to be strengthened. Existing research [13] about factory restorative environments are related to the outdoor environment by nature stimulations rather than indoor planting design, especially indoor staff break areas where workers stay during the limited break time but may be exacerbated by the negative effects due to the poor environments [3,61]. Most restorative studies related to indoor plants are limited to classrooms [62] and offices [63]. Those findings may not be applied to the factory space context, where workers are mostly in poor conditions, do repetitive daily work and expend a lot of energy. Compared to students and workers in offices, labor intensity, management style, the socioeconomic demographic status of workers, environmental circumstances, and health services are all significantly different for factory workers [64]. Furthermore, indoor factory environments are frequently monotonous, dull and dirty. There are few comfortable spaces that can provide relief for workers who are occasionally required to stand or sit for ten to twelve hours along an assembly line [13].
Second, the influencing rule of indoor plants is not precise on people’s attention recovery, although the effectiveness of plants has been proven [65]. Most findings from previous studies have been restricted to analyzing the attention–recovery effect caused by the volume ratio of indoor plants [38]. A systematic understanding of how other factors contribute to attention recovery is lacking, and the relevant quantitative data should be valuable to be explored.
1.4. Research Objectives
The objective of this study was to reveal the relationships between the indoor planting design and workers’ attention recovery in factory staff break areas. Specifically, the volume ratio, layout, and leaf size were studied as essential factors for workers’ attention recovery. The research framework is as follows (Figure 1):
Figure 1.
Research Framework.
This present study mainly explores the following hypotheses:
- Some factors of indoor planting design had a significant effect on workers’ attention recovery in factory staff break areas.
- Different variables of indoor planting design have different effects on workers’ attention recovery.
2. Materials and Methods
2.1. Experimental Setting
2.1.1. Space Design of Factory Staff Break Area
A factory staff break area (Figure 2a) was modeled in Sketch Up 2020, rendered in Enscape2.0 and displayed in VR. As for room sizes, the scenarios were designed with a 9 m × 6 m × 4.2 m cube, which was one of the standard sizes that were used in the design of typical factory staff break areas in China. The volume of the room was 226.8 m3. Room dimensions were used because they were multiples of the standard Chinese module of 300 mm in architectural design, which could make the rooms more universal. In the space, common methods and arrangements, like sofas or chairs created in groups, were used to satisfy workers’ rest. The volume of the furniture was about 9.73 m3. The grey walls were selected since they were more commonly adopted in global factories. Furthermore, not only windowless staff break areas that were located inside the factory were common, but also natural light could interfere with the experiment [66], so consistent interior light conditions by virtual artificial lighting were applied. The illumination of scenarios was 100 lx, which was the standard value of lighting in the factory general room in China. In this way, windowless scenarios could isolate the effect of the outside environment and eliminate responses to other confounding environmental variables. Four common indoor planting types were selected in the scenarios. The average height of different floor plants was 1.5 m. The following illustration depicts the style of plant leaves (Figure 2b). The doorway position was where the participants are seen in the virtual environment.
Figure 2.
Implementation of the virtual space and indoor plants: (a) Virtual space of factory staff break areas; (b) Virtual four types of indoor plants.
2.1.2. Selection of Physical Variables and Levels
The factors of indoor planting design which affect attention recovery were determined by a focus group discussion [67,68] based on different pictures of indoor plants in factory staff break areas. Eleven graduate students (including a host and a recorder, four men and five women) from the Harbin Institute of Technology took part in the discussion. Participants have solid academic training in architectural design. Three factors, (1) the volume ratio, (2) the layout and (3) the leaf size were determined based on the aforementioned discussion. Consequently, more specific levels of the above three factors were identified by the focus group discussion due to the wide range of variables and combinations of factors, as given in Table 1. Additionally, PV, the volume ratio, was defined as the precise value of the plants’ volume to the staff break areas’ volume. PL, the layout, was defined as a design of indoor plants that were laid out. The layout combination of indoor plants on the wall and floor was chosen in the study because of its maintainability and popularity in the discussion. For example, the layout of “Mainly on the wall” means scenarios that are mainly filled with plants on the wall but fewer on the floor. Furthermore, PS, the leaf size, means that the leaf size of floor plants was varied. The indoor plant on the wall was chosen to be a fixed-size bamboo because it has proven exceedingly attractive [69].
Table 1.
Three factors and corresponding three levels of indoor plants.
2.1.3. Determination of Nine Experimental Scenarios
Orthogonal experimental design (ODOE) [70] was applied in the study. Based on three factors and corresponding three levels, an orthogonal array L9(3 × 4) is shown in Table 2. That way, participants needed to complete the experiences with only nine rather than twenty-seven combinations (3 × 3 × 3) of a complete factorial design. Based on the results of the focus group discussion, nine virtual recovery scenarios for factory staff break areas were constructed (Figure 3).
Table 2.
L9 (3 × 4) orthogonal table of experimental design.
Figure 3.
The design of the nine studies cases.
2.2. Experimental Design
2.2.1. Participants and Equipment
People who conduct more repetitive work were chosen for this study to avoid physiological differences between factory workers and others in environmental perceptions. Twenty-five participants were recruited for this study. Before the experiment began, the workers had an interview, a pre-test and an explanation of the criteria for the test participants. The interview included questions on the workers’ fundamental conditions. Finally, eighteen workers fulfilled the experiment’s conditions [71]. Participants with an average age of 48.78 were recruited as participants and asked to finish nine tests by June 2022. Meanwhile, participants included a moderate number of men and women to control the gender distribution.
The Pico neo3 was used in the study as the VR setting, which is equipped with two 3664 × 1920-resolution LCD panels with a delay rate of less than or moderate to 20 ms, and VR field of view of 98° (Figure 4).
Figure 4.
The visual recovery and attention task experiments site.
2.2.2. Procedure
All participants were informed about the experimental procedure and signed informed consent before beginning the experiment. Nine standardized experimental modules were conducted on each participant (Figure 5). The interval between each group of the experimental module was more than 24 h. Each participant was tested simultaneously on different days to minimize the influence of circadian rhythm on physiological performance [18].
Figure 5.
Basic experimental process.
Each experimental module included four parts (Figure 6), which were preparation (T1), first attention task (T2), recovery (T3) and second attention task (T4). An experimental module lasted around 20 min. Participants wore earphones with the assistance of research staff during the preparation period. After that, participants were asked to complete the first attention test to lead to attention fatigue and measure their baseline level of attention, five minutes in total. After finishing the test, for five minutes of rest, participants used a VR headset and were randomly shown virtual attention-recovery scenarios (Figure 7a). Five minutes of recovery has been demonstrated to be the most significant, longer than five minutes, which may make participants feel tired and interfere with the results [26,72,73,74]. Lastly, participants performed the second sustained attention task (Figure 7b). In addition, to enhance the scenarios of the design of the areas, participants wore earphones with factory noise during the experiments.
Figure 6.
Detail steps of the experimental module.
Figure 7.
(a) The participant was shown virtual recovery scenarios at random for five minutes; (b) The participant finished the attention task. Photos were taken and used with permission.
The participant’s ability to pay attention was evaluated using the SART paradigm. The SART is a computer-delivered paradigm that assesses the capacity for sustained attention and inhibition (Figure 8) [48,50,75]. In the task, which consists of repetitive and temporally predictable stimuli, participants must press a key to respond to all stimuli other than the target stimulus (digits from one to nine). The SART is a quick laboratory exam that can be finished in a matter of minutes. It is a straightforward task to master, but it is intellectually demanding. There is no working memory or short-term memory burden, and there are no learning effects because there is just one target to remember.
Figure 8.
The process of the sustained attention to response test.
The following variables were considered:
- D-prime (D-P): sensitivity of the participant in the detection of the target;
- Reaction times in milliseconds (RT): the latency to press the spacebar;
- The number of correct responses (CR): when the target (digit 3) appeared, the participant did not push the spacebar. The total number of CR is 25.
2.3. Data Analysis
D-P, RT, and CR were utilized as the SART outcome variables to represent the participants’ attention level, and the D-value (ΔD-P, ΔRT, and ΔCR) between the first and second attention tests was utilized to reflect how well the participants’ attention recovered in different recovery scenarios. The higher the value of ΔD-P and ΔCR, the better the attention recovery of the participants, and the opposite for ΔRT.
Furthermore, range analysis is an effective method used to reveal the significant factors influencing target indices in the orthogonal experiment. The analysis of variance (ANOVA) is also a commonly-used method for orthogonal experimental data [76]. There are two critical parameters in the range analysis, which are and Rj. is the sum of the physiological indices at all levels (, = 1,2,3) of each factor (, = A, B, C), and is the mean value of . Another parameter is Rj, used to assess the importance of the factor, which is defined as the range between the maximum and the minimum value of [77]. A more significant value of Rj shows that the factor is more important. The calculation is as follows, Equation (1):
ANOVA was also conducted because it can comprehensively discriminate the variations among group means in a sample caused by experimental factors or errors compared with the range analysis [78]. In the study, the F-statistic was denoted by Fα. When Fα ≥ F0.01, the factor is highly significant to the index and is marked as **. If Fα ≥ F0.05, the factor is significant to the index and is donated as *. When Fα ≥ F0.10, the factor that is not marked has no significant effect on the index [79,80].
3. Results
3.1. Baseline Checks and Effectiveness of the SART
Since participants conducted the nine experimental VR recoveries in a random order, we expected no significant differences in the attention levels of the nine groups during exposure to the first attention task. As expected, ANOVA demonstrated that there were no significant differences (Table 3a). As shown in Table 3b, the paired sample t-test demonstrated, also as expected, significant differences between the first attention test and the second attention task. Therefore, we could attribute those differences in attention levels to the different VR environments.
Table 3.
(a) Test statistics from ANOVA on whether attention levels after the first SART were similar. (b) Test statistics from paired t-test tests on whether participants’ attention levels after the second SART differed from the first SART.
3.2. Importance Ranking of Three Factors for Attention Recovery
Table 4 summarizes the statistical analysis results for the effects of different factors on the attention data. By comparing the Rj values of each factor, the degrees of the three factors’ effects on attention–recovery data were ranked as follows: The volume ratio of indoor plants on attention was the largest, followed by the leaf size and layout. The attention–recovery effects of the two factors were similar.
Table 4.
Results and range analysis of the orthogonal experiments.
Figure 9 depicts the correlations between the parameters considered and the attention recovery. The order of the factor levels was randomized to avoid subjectivity bias, as was already mentioned. Instead of displaying each factor’s precise values, the graphs in the chart merely indicate their trends. As seen in Figure 9, the effect of attention as measured by ΔD-P, ΔRT, and ΔCR was more significant when the volume ratio of plants was 3%. Mixed floor and wall plants have a more excellent attention recovery than other levels, as demonstrated by ΔD-P. However, ΔRT and ΔCR showed that mainly on the wall, particularly, was more successful in recovering participants’ attention. It will be determined again by ANOVA. In addition, the recovery of attention was greater when the leaf size of plants on the floor was large.
Figure 9.
(a) Relationships between the volume ratio and attention recovery; (b) Relationships between the layout and attention recovery; (c) Relationships between the leaf size and attention recovery.
3.3. Impact of Different Levels on Attention Recovery
Table 5 displays the ANOVA for the rate of attention changes. The volume ratio, layout, and leaf size had a significant impact on the restorative quality of plants in factory staff break areas, according to the results of ΔD-P. The findings of ΔCR showed that the effects of volume ratio and leaf size were statistically significant, but the layout was not. The results of ΔRT showed that only the effects of volume ratio had statistical significance.
Table 5.
Results of analysis of variance.
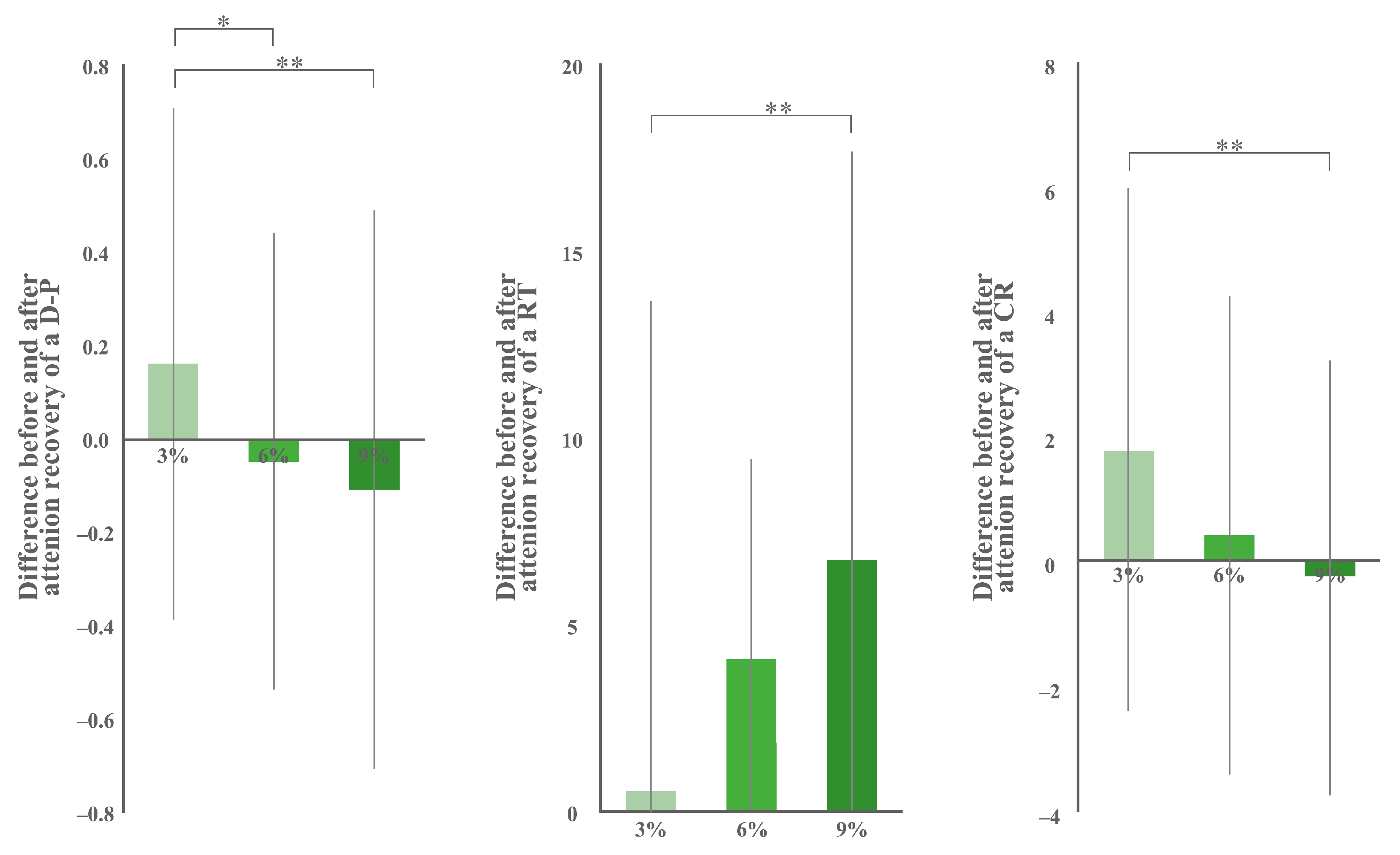
3.3.1. The Volume Ratio of Indoor Plants
The influence of the volume ratio of indoor plants on attention recovery was ranked (Figure 10). In addition, ΔD-P, ΔRT and ΔCR suggested that not all groups had significant differences in the comparison results of mean values. For ΔD-P, plants’ 3% volume ratio was −4.20 times more than 6% (95% CI: 0.01,0.41) and −2.45 times more than 9% (95% CI: 0.08,0.47). The 6% volume ratio of plants was −0.55 times more than 9% (95% CI: −0.14,0.26). For ΔRT, the 3% volume ratio of plants was −0.87 times more than 6% (95% CI: −7.41,0.38) and −0.92 times more than 9% (95% CI: −10.08,−2.29). The 6% volume ratio of plants was −0.40 times more than 9% (95% CI: −6.57,1.22). For ΔCR, the 3% volume ratio of plants was 3.14 times more than 6% (95% CI: −0.9,2.79), and −7.85 times more than 9% (95% CI: 0.59,3.48). The 6% volume ratio of plants was −2.65 times more than 9% (95% CI: −0.76,2.13).
Figure 10.
Main effect maps of the volume ratio of indoor plants on attention recovery. ** Stands for statistical significance at the 0.01 level; * Stands for statistical significance at the 0.05 level; Not marked stands for no statistical significance.
3.3.2. The Layout of Indoor Plants
The results of ΔD-P revealed that indoor plants’ layout was associated with workers’ attention recovery in factory staff break areas, as shown in Figure 11. In particular, the layout that was mainly on the wall was −1.07 times more than the mixed floor and wall plants (95% CI: −0.35,0.04) and −0.93 times more than mainly on the floor (95% CI: −0.06,0.34). Mixed floor and wall plants were −2.00 times more than mainly on the floor (95% CI: 0.10,0.50).
Figure 11.
Main effect maps of the layout of indoor plants on attention recovery. ** Stands for statistical significance at the 0.01 level; Not marked stands for no statistical significance.
3.3.3. The Leaf Size of Indoor Plants
About the leaf size of indoor plants, the order revealed by ΔD-P and ΔCR was slightly different, but the level corresponding to the maximum value was consistent in Figure 12. For ΔD-P, indoor plants with large leaves were −20.00 times more than medium leaves (95% CI: 0.00,0.40) and −2.06 times more than small leaves (95% CI: 0.17,0.57). Indoor plants with medium leaves were −0.94 times more than small leaves (95% CI: −0.03,0.37). For ΔCR, indoor plants with large leaves were −3.86 times more than medium leaves (95% CI: 0.48,3.37) and 0.40 times more than small leaves (95% CI: −1.04,1.85). Indoor plants with medium leaves were −1.49 times more than small leaves (95% CI: −2.96,−0.08).
Figure 12.
Main effect maps of the leaf size of indoor plants on attention recovery. ** Stands for statistical significance at the 0.01 level; * Stands for statistical significance at the 0.05 level; Not marked stands for no statistical significance.
4. Discussion
4.1. Significance of Volume Ratio for Attention Recovery
The results of range analysis showed that the volume ratio of indoor plants had the greatest impact on workers than the layout and leaf size, which is consistent with research found by Stone and Irvine [81]. On the one hand, the finding might be because the visual prominence of indoor plants plays a decisive role in attention recovery, and one of the most interfering factors is how many plants people can see [14,82]. On the other hand, feeling close to nature, which is created by the category changes of indoor plants, results in the attention recovery effect, which originated from human perception of information [83]. More specifically, compared with other factors, the volume ratio is easier to determine whether the participants could have an intuitive feeling of being in nature.
4.2. Optimal Level of Volume Ratio for Attention Recovery
The results of ANOVA found that when its volume ratio is 3%, indoor planting led to more significant attention-recovery effects than 6 and 9%. It is consistent with a prior study, which suggested that given a limited interior space, a small green wall can exert a better recovery effect on people than a large green wall [21]. The findings may also be interpreted by the savannah hypothesis [22,84], in which individuals prefer open natural areas like savannahs with few trees because they find it easier to handle circumstances there (Figure 13) [85]. It is worth noting that the volume ratio of indoor plants has the greatest influence on workers’ attention recovery, but there is not a positive correlation between the impact and the volume ratio.
Figure 13.
Application of the savannah hypothesis to the volume ratio of indoor plants.
However, Lee [86] found that a greater greenness index could improve concentration and stimulate positive emotions. The difference between the existing and our findings may be due to the previous studies using rather burdensome trees and understory planting together, and the different arrangements and study protocol could be the source of the differences. The biological diversity of planting design may also affect the preference for the volume ratio of indoor plants. Furthermore, it is possible that, for different types of places, the mechanisms of indoor plant restoration might differ [87]. Some studies have hinted at such a finding that more plants could facilitate performance-specific tasks that require creativity, but the tasks that require more focused attention could be another issue [44]. Larsen et al. [40] found that a large number of indoor plants in the office has a negative impact on participants’ performance on an identification task requiring more concentration and repetition.
4.3. Optimal Level of Layout for Attention Recovery
It is indicated by variance analysis that the mixed floor and wall plants found better effects of attention recovery, followed by the indoor plants, mainly on the wall, which represents that participants prefer the virtual scenarios with the orderliness of the arrangement. The above finding has a high similarity with the classical statement that people may find it easier to perceive and identify organized features in natural environments [88,89]. In addition, it would be more understandable to the participants and not consume too much-directed attention. Previous research also found that scenarios that look more organized may be preferred over ones that appear disorganized [90] because the lack of spatial structure may lead to a more dissonant experience and aesthetically aversive when observing environments [91,92,93].
4.4. Optimal Level of Leaf Size for Attention Recovery
For the workers’ attention recovery, the results found that indoor plants on the floor with large leaves had better effects than those with small and medium leaves, which may contribute to environmental preference [84]. More specifically, legibility, as a dominant element that impacted environmental preference, indicates that a space that is well structured and the elements that are clear to distinguish can be easily understood and remembered. Participants can acquire visual information on indoor space and identify indoor plants of interest within a short period due to the apparent contrast between indoor plants on the floor with large leaves and that on the wall with small leaves.
4.5. Limitations
Firstly, in the restorative scenarios, the limitation of our study is that we excluded confounding factors, so fewer types of indoor plants and layout methods were used, such as covering one side of the wall in the staff break areas with only one kind of bamboo. Various indoor plant types and different layouts of indoor plants should be examined in future research. Secondly, the age range of the participants was restricted to 30–55 years, and participants were limited to one type of factory workforce, which may lead to selection bias. In future studies, more participants from various age groups and different kinds of work should be invited. Thirdly, the virtual scenario of the factory staff break areas may not represent all types. Some details, e.g., windows and physical environment settings, may affect the experimental results. So, future research should explore the attention-recovery effects of indoor plants in different settings—for example, staff rests beside corridors. Last but not least, the oxygen impact of indoor plants and the full sensory response beyond the visual were not taken a full account, and the attention-recovery effect of indoor plants could be caused by short-term exposure. Thus, future research must also consider the long experiment with actual biophilic factory staff break areas [94].
5. Conclusions
The study investigated the attention-recovery impact of indoor planting design on workers in factory staff break areas by exposing 18 participants to VR scenarios with three variations of indoor planting design: the volume ratio, the layout, and the leaf size. Based on the analysis, the following conclusion was drawn:
- In factory staff break areas, the volume ratio of indoor plants was the most dominant factor influencing workers’ attention recovery, compared with the layout and leaf size. This is because visual information recalling nature is the main reason for indoor plants’ recovery benefit, and the change in volume ratio can produce a more intuitive visual prominence than the two factors.
- The results found that controlling the volume ratio of indoor plants with the 3% level had a greater influence on workers’ attention recovery than the levels with 6 and 9%. The finding is consistent with studies that showed that people prefer wide-open, unforested natural places like savannahs. The analysis of the volume ratio of indoor plants extends the present study, in which the volume ratio is objectively more influential than other factors in factory staff break areas. Still, it does not mean that more plants are better.
- The results showed that among the three levels of indoor plants at the layout, mixed floor and wall plants had a greater impact on workers’ recovery attention compared with the centralized plants’ arrangement on the wall and the floor. This is because of the preference for a well-organized structure. As a result, it is advised that while arranging plants to create a reasonable scheme, both space and plants should be considered.
- The results suggested that participants were more affected by indoor plants with large leaves on the floor than those with small-sized or medium-sized leaves. The attention recovery may be influenced by the legibility of indoor plants’ leaf size, which is one of the key components of environmental preference. These findings suggest new directions for future indoor planting research.
In summary, from the perspective of attention recovery, it is significant to study the relationship between workers and indoor planting design. The findings of this study will aid architects and interior designers in taking into account the attention-recovery properties of indoor plants in factory staff break areas and will direct future indoor planning with a cost-effective strategy. Finally, this study contributes to the evaluation of attention recovery, which may be applied in many other domains, such as productivity and well-being, as well as providing a methodology for future research on measuring the attention effect.
Author Contributions
Conceptualization, Z.F. and H.X.; Methodology, Z.F., L.T., Y.T., Y.L. and J.W.; Software, Z.F.; Validation, Z.F.; Formal analysis, Z.F.; Investigation, Z.F., H.X., L.T., Y.T., Y.L. and J.W.; Resources, Z.F.; Data curation, Z.F.; Writing–original draft, Z.F. and J.W. All authors have read and agreed to the published version of the manuscript.
Funding
This research received no external funding.
Data Availability Statement
All necessary data are provided in the article.
Conflicts of Interest
The authors declare no conflict of interest.
References
- Soto-Leon, V.; Alonso-Bonilla, C.; Peinado-Palomino, D.; Torres-Pareja, M.; Mendoza-Laiz, N.; Mordillo-Mateos, L.; Onate-Figuerez, A.; Arias, P.; Aguilar, J.; Oliviero, A. Effects of fatigue induced by repetitive movements and isometric tasks on reaction time. Hum. Mov. Sci. 2020, 73, 102679. [Google Scholar] [CrossRef] [PubMed]
- Moshref Javadi, A.M.; Choobineh, A.; Razeghi, M.; Ghaem, H.; Daneshmandi, H. Adverse Effects of Sit and Stand Workstations on the Health Outcomes of Assembly Line Workers: A Cross-sectional Study. J. Prev. Med. Hyg. 2022, 63, E344–E350. [Google Scholar] [CrossRef] [PubMed]
- Jiang, B.; Schmillen, R.; Sullivan, W.C. How to Waste a Break: Using Portable Electronic Devices Substantially Counteracts Attention Enhancement Effects of Green Spaces. Environ. Behav. 2018, 51, 1133–1160. [Google Scholar] [CrossRef]
- Duffy, V.G. Stress, Workload, and Fatigue; Hancock, P.A., Desmond, P.A., Eds.; Lawrence Erlbaum Associates: Mahwah, NJ, USA, 2001; p. 682. ISBN 0-8058-3178-9. [Google Scholar] [CrossRef]
- Öztürkoğlu, Y.Y.; Bulfin, R.L. Scheduling jobs to consider physiological factors. Hum. Factors Ergon. Manuf. Serv. Ind. 2011, 22, 113–120. [Google Scholar] [CrossRef]
- Kretschmer, V.; Griefahn, B.; Schmidt, K.-H. Bright light and night work: Effects on selective and divided attention in elderly persons. Light. Res. Technol. 2011, 43, 473–486. [Google Scholar] [CrossRef]
- Jacqueline, B.; Erica, C.; Martin, D.; Enomoto, K.; Renata, G.; Brad, H.; Barbara, J. Addressing Employee Burnout: Are You Solving the Right Problem? 2022. Available online: https://www.mckinsey.com/mhi/our-insights/addressing-employee-burnout-are-you-solving-the-right-problem (accessed on 27 May 2022).
- Woods, J.E. Cost avoidance and productivity in owning and operating buildings. Occup. Med. 1989, 4, 753–770. [Google Scholar]
- Skåret, J.E. Indoor Environment and Economics. Project no. N6405; The Norwegian Institute of Building Research (NBI-Byggforsk): Oslo, Norway, 1992. (In Norwegian) [Google Scholar]
- Spector, P.E.; Cooper, C.L.; Poelmans, S.; Allen, T.D.; O’driscoll, M.; Sanchez, J.I.; Siu, O.L.; Dewe, P.; Hart, P.; Lu, L. A cross-national comparative study of work-family stressors, working hours, and well-being: China and Latin America versus the Anglo world. Pers. Psychol. 2004, 57, 119–142. [Google Scholar] [CrossRef]
- Heymann, J.; Earle, A.; Hanchate, A. Bringing a global perspective to community, work, and family. Community Work. Fam. 2004, 7, 247–272. [Google Scholar] [CrossRef]
- Roelofsen, P. The impact of office environments on employee performance: The design of the workplace as a strategy for productivity enhancement. J. Facil. Manag. 2002, 1, 247–264. [Google Scholar] [CrossRef]
- Jiang, B.; Wang, H.; Larsen, L.; Bao, F.; Li, Z.; Pryor, M. Quality of sweatshop factory outdoor environments matters for workers’ stress and anxiety: A participatory smartphone-photography survey. J. Environ. Psychol. 2019, 65, 101336. [Google Scholar] [CrossRef]
- Bringslimark, T.; Hartig, T.; Patil, G.G. The psychological benefits of indoor plants: A critical review of the experimental literature. J. Environ. Psychol. 2009, 29, 422–433. [Google Scholar] [CrossRef]
- Gao, C.; Zhang, S. The restorative quality of patient ward environment: Tests of six dominant design characteristics. Build. Environ. 2020, 180, 107039. [Google Scholar] [CrossRef]
- Chang, C.-Y.; Chen, P.-K. Human Response to Window Views and Indoor Plants in the Workplace. HortScience 2005, 40, 1354–1359. [Google Scholar] [CrossRef]
- Nejati, A.; Rodiek, S.; Shepley, M. Using visual simulation to evaluate restorative qualities of access to nature in hospital staff break areas. Landsc. Urban Plan. 2016, 148, 132–138. [Google Scholar] [CrossRef]
- Li, Z.; Zhang, W.; Wang, L.; Liu, H.; Liu, H. Regulating effects of the biophilic environment with strawberry plants on psychophysiological health and cognitive performance in small spaces. Build. Environ. 2022, 212, 108801. [Google Scholar] [CrossRef]
- Reis, S.N.; Reis, M.V.D.; Nascimento, Â.M.P.D. Pandemic, social isolation, and the importance of people-plant interaction. Ornam. Hortic. 2020, 26, 399–412. [Google Scholar] [CrossRef]
- Wilson, E.O. Biophilia; Harvard University Press: Cambridge, MA, USA, 1984. [Google Scholar]
- Yeom, S.; Kim, H.; Hong, T. Psychological and physiological effects of a green wall on occupants: A cross-over study in virtual reality. Build. Environ. 2021, 204, 108134. [Google Scholar] [CrossRef]
- Kaplan, R.S.; Kaplan, S. The Experience of Nature: A Psychological Perspective; Cambridge University Press: Cambridge, UK, 1989. [Google Scholar]
- Kaplan, S. The restorative benefits of nature: Toward an integrative framework. J. Environ. Psychol. 1995, 15, 169–182. [Google Scholar] [CrossRef]
- Ulrich, R.S.; Simons, R.F.; Losito, B.D.; Fiorito, E.; Miles, M.A.; Zelson, M. Stress recovery during exposure to natural and urban environments. J. Environ. Psychol. 1991, 11, 201–230. [Google Scholar] [CrossRef]
- Orians, G.H. General theory and applications to human behavior. In The Evolution of Human Social Behavior; Lockard, J.S., Ed.; Elsevier: New York, NY, USA, 1980; pp. 49–63. [Google Scholar]
- Yin, J.; Zhu, S.; MacNaughton, P.; Allen, J.G.; Spengler, J.D. Physiological and cognitive performance of exposure to biophilic indoor environment. Build. Environ. 2018, 132, 255–262. [Google Scholar] [CrossRef]
- Bjerke, T.; Østdahl, T.; Thrane, C.; Strumse, E. Vegetation density of urban parks and perceived appropriateness for recreation. Urban For. Urban Green. 2006, 5, 35–44. [Google Scholar] [CrossRef]
- Chiang, Y.-C.; Li, D.; Jane, H.-A. Wild or tended nature? The effects of landscape location and vegetation density on physiological and psychological responses. Landsc. Urban Plan. 2017, 167, 72–83. [Google Scholar] [CrossRef]
- Tennessen, C.M.; Cimprich, B. Views to nature: Effects on attention. J. Environ. Psychol. 1995, 15, 77–85. [Google Scholar] [CrossRef]
- Laumann, K.; Gärling, T.; Stormark, K.M. Selective attention and heart rate responses to natural and urban environments. J. Environ. Psychol. 2003, 23, 125–134. [Google Scholar] [CrossRef]
- Klepeis, N.E.; Nelson, W.C.; Ott, W.R.; Robinson, J.P.; Tsang, A.M.; Switzer, P.; Behar, J.V.; Hern, S.C.; Engelmann, W.H. The National Human Activity Pattern Survey (NHAPS): A resource for assessing exposure to environmental pollutants. J. Expo. Sci. Environ. Epidemiol. 2001, 11, 231–252. [Google Scholar] [CrossRef] [PubMed]
- Oh, Y.-A.; Kim, S.-O.; Park, S.-A. Real Foliage Plants as Visual Stimuli to Improve Concentration and Attention in Elementary Students. Int. J. Environ. Res. Public Health 2019, 16, 796. [Google Scholar] [CrossRef] [PubMed]
- van den Berg, A.E.; Wesselius, J.E.; Maas, J.; Tanja-Dijkstra, K. Green Walls for a Restorative Classroom Environment: A Controlled Evaluation Study. Environ. Behav. 2016, 49, 791–813. [Google Scholar] [CrossRef]
- Wu, C.-D.; McNeely, E.; Cedeño-Laurent, J.G.; Pan, W.-C.; Adamkiewicz, G.; Dominici, F.; Lung, S.-C.C.; Su, H.-J.; Spengler, J.D. Linking Student Performance in Massachusetts Elementary Schools with the “Greenness” of School Surroundings Using Remote Sensing. PLoS ONE 2014, 9, e108548. [Google Scholar] [CrossRef]
- Lei, Q.; Yuan, C.; Lau, S.S.Y. A quantitative study for indoor workplace biophilic design to improve health and productivity performance. J. Clean. Prod. 2021, 324, 129168. [Google Scholar] [CrossRef]
- Bringslimark, T.; Hartig, T.; Patil, G.G. Psychological Benefits of Indoor Plants in Workplaces: Putting Experimental Results into Context. HortScience 2007, 42, 581–587. [Google Scholar] [CrossRef]
- Qin, J.; Sun, C.; Zhou, X.; Leng, H.; Lian, Z. The effect of indoor plants on human comfort. Indoor Built Environ. 2013, 23, 709–723. [Google Scholar] [CrossRef]
- Berger, J.; Essah, E.; Blanusa, T.; Beaman, C.P. The appearance of indoor plants and their effect on people’s perceptions of indoor air quality and subjective well-being. Build. Environ. 2022, 219, 109151. [Google Scholar] [CrossRef]
- Choi, J.-Y.; Park, S.-A.; Jung, S.-J.; Lee, J.-Y.; Son, K.-C.; An, Y.-J.; Lee, S.-W. Physiological and psychological responses of humans to the index of greenness of an interior space. Complement. Ther. Med. 2016, 28, 37–43. [Google Scholar] [CrossRef] [PubMed]
- Larsen, L.; Adams, J.; Deal, B.; Kweon, B.S.; Tyler, E. Plants in the Workplace. Environ. Behav. 1998, 30, 261–281. [Google Scholar] [CrossRef]
- Jiang, B.; Chang, C.-Y.; Sullivan, W.C. A dose of nature: Tree cover, stress reduction, and gender differences. Landsc. Urban Plan. 2014, 132, 26–36. [Google Scholar] [CrossRef]
- Abdi, B.; Hami, A.; Zarehaghi, D. Impact of small-scale tree planting patterns on outdoor cooling and thermal comfort. Sustain. Cities Soc. 2020, 56, 102085. [Google Scholar] [CrossRef]
- Shibata, S.; Suzuki, N. Effects of the foliage plant on task performance and mood. J. Environ. Psychol. 2002, 22, 265–272. [Google Scholar] [CrossRef]
- Rich, D. Effects of Exposure to Plants and Nature on Cognition and Mood: A Cognitive Psychology Perspective. Ph.D. Thesis, Cornell University, Ithaca, NY, USA, 2007. [Google Scholar]
- Shibata, S.; Suzuki, N. Effects of an indoor plant on creative task performance and mood. Scand. J. Psychol. 2004, 45, 373–381. [Google Scholar] [CrossRef]
- Lohr, V.I.; Pearson-Mims, C.H.; Goodwin, G.K. Interior Plants May Improve Worker Productivity and Reduce Stress in a Windowless Environment. J. Environ. Hortic. 1996, 14, 97–100. [Google Scholar] [CrossRef]
- Shibata, S.; Suzuki, N. Effects of indoor foliage plants on subjects’ recovery from mental fatigue. North Am. J. Psychol. 2001, 3, 385–396. [Google Scholar]
- Berto, R. Exposure to restorative environments helps restore attentional capacity. J. Environ. Psychol. 2005, 25, 249–259. [Google Scholar] [CrossRef]
- Robertson, I.H.; Manly, T.; Andrade, J.; Baddeley, B.T.; Yiend, J. Sustained Attention to Response Task; PsycTESTS Dataset; American Psychological Association: Washington, DC, USA, 1997. [Google Scholar] [CrossRef]
- Robertson, I.H.; Manly, T.; Andrade, J.; Baddeley, B.T.; Yiend, J. ‘Oops!’: Performance correlates of everyday attentional failures in traumatic brain injured and normal subjects. Neuropsychologia 1997, 35, 747–758. [Google Scholar] [CrossRef] [PubMed]
- Kuliga, S.F.; Thrash, T.; Dalton, R.C.; Hölscher, C. Virtual reality as an empirical research tool—Exploring user experience in a real building and a corresponding virtual model. Computers. Environ. Urban Syst. 2015, 54, 363–375. [Google Scholar] [CrossRef]
- Higuera-Trujillo, J.L.; López-Tarruella Maldonado, J.; Llinares Millán, C. Psychological and physiological human responses to simulated and real environments: A comparison between Photographs, 360° Panoramas, and Virtual Reality. Appl. Ergon. 2017, 65, 398–409. [Google Scholar] [CrossRef] [PubMed]
- Chamilothori, K.; Chinazzo, G.; Rodrigues, J.; Dan-Glauser, E.S.; Wienold, J.; Andersen, M. Subjective and physiological responses to façade and sunlight pattern geometry in virtual reality. Build. Environ. 2019, 150, 144–155. [Google Scholar] [CrossRef]
- Wang, X.; Rodiek, S.; Wu, C.; Chen, Y.; Li, Y. Stress recovery and restorative effects of viewing different urban park scenes in Shanghai, China. Urban For. Urban Green. 2016, 15, 112–122. [Google Scholar] [CrossRef]
- Browning, M.H.E.M.; Shipley, N.; McAnirlin, O.; Becker, D.; Yu, C.-P.; Hartig, T.; Dzhambov, A.M. An Actual Natural Setting Improves Mood Better Than Its Virtual Counterpart: A Meta-Analysis of Experimental Data. Front. Psychol. 2020, 11, 2200. [Google Scholar] [CrossRef] [PubMed]
- Naylor, M.; Ridout, B.; Campbell, A. A Scoping Review Identifying the Need for Quality Research on the Use of Virtual Reality in Workplace Settings for Stress Management. Cyberpsychology Behav. Soc. Netw. 2020, 23, 506–518. [Google Scholar] [CrossRef] [PubMed]
- Roche, K.; Liu, S.; Siegel, S. The effects of virtual reality on mental wellness: A. Ment Health 2019, 14, 811–818. [Google Scholar]
- Stone, R.; Small, C.; Knight, J.; Qian, C.; Shingari, V. Virtual Natural Environments for Restoration and Rehabilitation in Healthcare. Intell. Syst. Ref. Libr. 2014, 1, 497–521. [Google Scholar] [CrossRef]
- White, M.P.; Yeo, N.; Vassiljev, P.; Lundstedt, R.; Wallergård, M.; Albin, M.; Lõhmus, M. A prescription for “nature”–the potential of using virtual nature in therapeutics. Neuropsychiatr. Dis. Treat. 2018, 14, 3001–3013. [Google Scholar] [CrossRef] [PubMed]
- Yeom, S.; Kim, H.; Hong, T.; Ji, C.; Lee, D. Emotional impact, task performance and task load of green walls exposure in a virtual environment. Indoor Air 2021, 32, e12936. [Google Scholar] [CrossRef]
- Blanco, H.; Alberti, M.; Forsyth, A.; Krizek, K.J.; Rodríguez, D.A.; Talen, E.; Ellis, C. Hot, congested, crowded and diverse: Emerging research agendas in planning. Prog. Plan. 2009, 71, 153–205. [Google Scholar] [CrossRef]
- Li, D.; Sullivan, W.C. Impact of views to school landscapes on recovery from stress and mental fatigue. Landsc. Urban Plan. 2016, 148, 149–158. [Google Scholar] [CrossRef]
- Raanaas, R.K.; Evensen, K.H.; Rich, D.; Sjøstrøm, G.; Patil, G. Benefits of indoor plants on attention capacity in an office setting. J. Environ. Psychol. 2011, 31, 99–105. [Google Scholar] [CrossRef]
- Pun, N.; Shen, Y.; Guo, Y.; Lu, H.; Chan, J.; Selden, M. Apple, Foxconn, and Chinese workers’ struggles from a global labor perspective. Inter-Asia Cult. Stud. 2016, 17, 166–185. [Google Scholar] [CrossRef]
- Liu, F.; Yan, L.; Meng, X.; Zhang, C. A review on indoor green plants employed to improve indoor environment. J. Build. Eng. 2022, 53, 104542. [Google Scholar] [CrossRef]
- Boubekri, M.; Hull, R.B.; Boyer, L.L. Impact of Window Size and Sunlight Penetration on Office Workers’ Mood and Satisfaction. Environ. Behav. 1991, 23, 474–493. [Google Scholar] [CrossRef]
- Li, J.; Wu, J.; Lam, F.; Zhang, C.; Kang, J.; Xu, H. Effect of the degree of wood use on the visual psychological response of wooden indoor spaces. Wood Sci. Technol. 2021, 55, 1485–1508. [Google Scholar] [CrossRef]
- Ratcliffe, E.; Gatersleben, B.; Sowden, P.T. Bird sounds and their contributions to perceived attention restoration and stress recovery. J. Environ. Psychol. 2013, 36, 221–228. [Google Scholar] [CrossRef]
- Zheng, J.; Tarin, M.W.K.; Jiang, D.; Li, M.; Ye, J.; Chen, L.; He, T.; Zheng, Y. Which ornamental features of bamboo plants will attract the people most? Urban For. Urban Green. 2021, 61, 127101. [Google Scholar] [CrossRef]
- Yang, S.; Zhou, D.; Wang, Y.; Li, P. Comparing impact of multi-factor planning layouts in residential areas on summer thermal comfort based on orthogonal design of experiments (ODOE). Build. Environ. 2020, 182, 107145. [Google Scholar] [CrossRef]
- Kjellgren, A.; Buhrkall, H. A comparison of the restorative effect of a natural environment with that of a simulated natural environment. J. Environ. Psychol. 2010, 30, 464–472. [Google Scholar] [CrossRef]
- Barton, J.; Pretty, J. What is the Best Dose of Nature and Green Exercise for Improving Mental Health? A Multi-Study Analysis. Environ. Sci. Technol. 2010, 44, 3947–3955. [Google Scholar] [CrossRef] [PubMed]
- Brown, D.K.; Barton, J.L.; Gladwell, V.F. Viewing Nature Scenes Positively Affects Recovery of Autonomic Function Following Acute-Mental Stress. Environ. Sci. Technol. 2013, 47, 5562–5569. [Google Scholar] [CrossRef]
- van den Berg, M.; Maas, J.; Muller, R.; Braun, A.; Kaandorp, W.; van Lien, R.; van Poppel, M.; van Mechelen, W.; van den Berg, A. Autonomic Nervous System Responses to Viewing Green and Built Settings: Differentiating Between Sympathetic and Parasympathetic Activity. Int. J. Environ. Res. Public Health 2015, 12, 15860–15874. [Google Scholar] [CrossRef] [PubMed]
- Manly, T. The absent mind: Further investigations of sustained attention to response. Neuropsychologia 1999, 37, 661–670. [Google Scholar] [CrossRef]
- Wu, C.F.; Hamada, M.S. Experiments Planning, Analysis, and Optimization; John Wiley & Sons: Hoboken, NJ, USA, 2021. [Google Scholar] [CrossRef]
- Feierlein, J. 5295724 Air-conditioning arrangement for parked passenger cars. Environ. Int. 1995, 21, IV. [Google Scholar] [CrossRef]
- Lefebvre, M. Applied Probability and Statistics; Springer Science & Business Media: Berlin, Germany, 2006. [Google Scholar]
- Wu, X.; Leung, D.Y.C. Optimization of biodiesel production from camelina oil using orthogonal experiment. Appl. Energy 2011, 88, 3615–3624. [Google Scholar] [CrossRef]
- Zhao, P.; Ge, S.; Yoshikawa, K. An orthogonal experimental study on solid fuel production from sewage sludge by employing steam explosion. Appl. Energy 2013, 112, 1213–1221. [Google Scholar] [CrossRef]
- Stone, N.J.; Irvine, J.M. Direct or indirect window access, task type, and performance. J. Environ. Psychol. 1994, 14, 57–63. [Google Scholar] [CrossRef]
- Kaplan, S. Aesthetics, Affect, and Cognition. Environ. Behav. 1987, 19, 3–32. [Google Scholar] [CrossRef]
- Kaplan, R.; Kaplan, S. The Experience of Nature; Cambridge University Press: Cambridge, UK, 1989. [Google Scholar]
- Hartsell, A.M. Savanna hypothesis in the human–urban nature relationship. Open House Int. 2020, 46, 18–29. [Google Scholar] [CrossRef]
- Gatersleben, B.; Andrews, M. When walking in nature is not restorative—The role of prospect and refuge. Health Place 2013, 20, 91–101. [Google Scholar] [CrossRef]
- Lee, S. The Effects of the Index of Greenness Simulation Based on Restorative Environment Model upon Emotion Improvement. Korean J. Health Psychol. 2007, 12, 439–465. [Google Scholar] [CrossRef]
- Fan, Y.; Das, K.V.; Chen, Q. Neighborhood green, social support, physical activity, and stress: Assessing the cumulative impact. Health Place 2011, 17, 1202–1211. [Google Scholar] [CrossRef]
- Kaplan, S. An informal model for the prediction of preference. In Landscape Assessment: Values, Perception and Resources; Zube, E.H., Brush, R.O., Fabos, J.G., Eds.; Dowden, Hutchinson and Ross Publisher: Stroudsburg, PA, USA, 1975; pp. 92–101. [Google Scholar]
- Ulrich, R.S. Visual landscapes and psychological well-being. Landsc. Res. 1979, 4, 17–23. [Google Scholar] [CrossRef]
- Lückmann, K.; Lagemann, V.; Menzel, S. Landscape Assessment and Evaluation of Young People. Environ. Behav. 2011, 45, 86–112. [Google Scholar] [CrossRef]
- Reber, R.; Schwarz, N.; Winkielman, P. Processing Fluency and Aesthetic Pleasure: Is Beauty in the Perceiver’s Processing Experience? Personal. Soc. Psychol. Rev. 2004, 8, 364–382. [Google Scholar] [CrossRef]
- Palmer, J.F. Using spatial metrics to predict scenic perception in a changing landscape: Dennis, Massachusetts. Landsc. Urban Plan. 2004, 69, 201–218. [Google Scholar] [CrossRef]
- Kotabe, H.P.; Kardan, O.; Berman, M.G. The order of disorder: Deconstructing visual disorder and its effect on rule-breaking. J. Exp. Psychol. Gen. 2016, 145, 1713–1727. [Google Scholar] [CrossRef] [PubMed]
- Li, Z.; Wang, Y.; Liu, H.; Liu, H. Physiological and psychological effects of exposure to different types and numbers of biophilic vegetable walls in small spaces. Build. Environ. 2022, 225, 109645. [Google Scholar] [CrossRef]
Disclaimer/Publisher’s Note: The statements, opinions and data contained in all publications are solely those of the individual author(s) and contributor(s) and not of MDPI and/or the editor(s). MDPI and/or the editor(s) disclaim responsibility for any injury to people or property resulting from any ideas, methods, instructions or products referred to in the content. |
© 2023 by the authors. Licensee MDPI, Basel, Switzerland. This article is an open access article distributed under the terms and conditions of the Creative Commons Attribution (CC BY) license (https://creativecommons.org/licenses/by/4.0/).












