Stochastic Dynamic Response and Long-Term Settlement Performance of Superstructure–Underground Tunnel–Soil Systems Subjected to Subway-Traffic Excitation
Abstract
1. Introduction
2. Stochastic Simulation of the Subway-Train Impact-Force Load
2.1. Power Spectrum of the Train-Stochastic-Excitation Load by the Pseudo-Excitation Method (PEM)
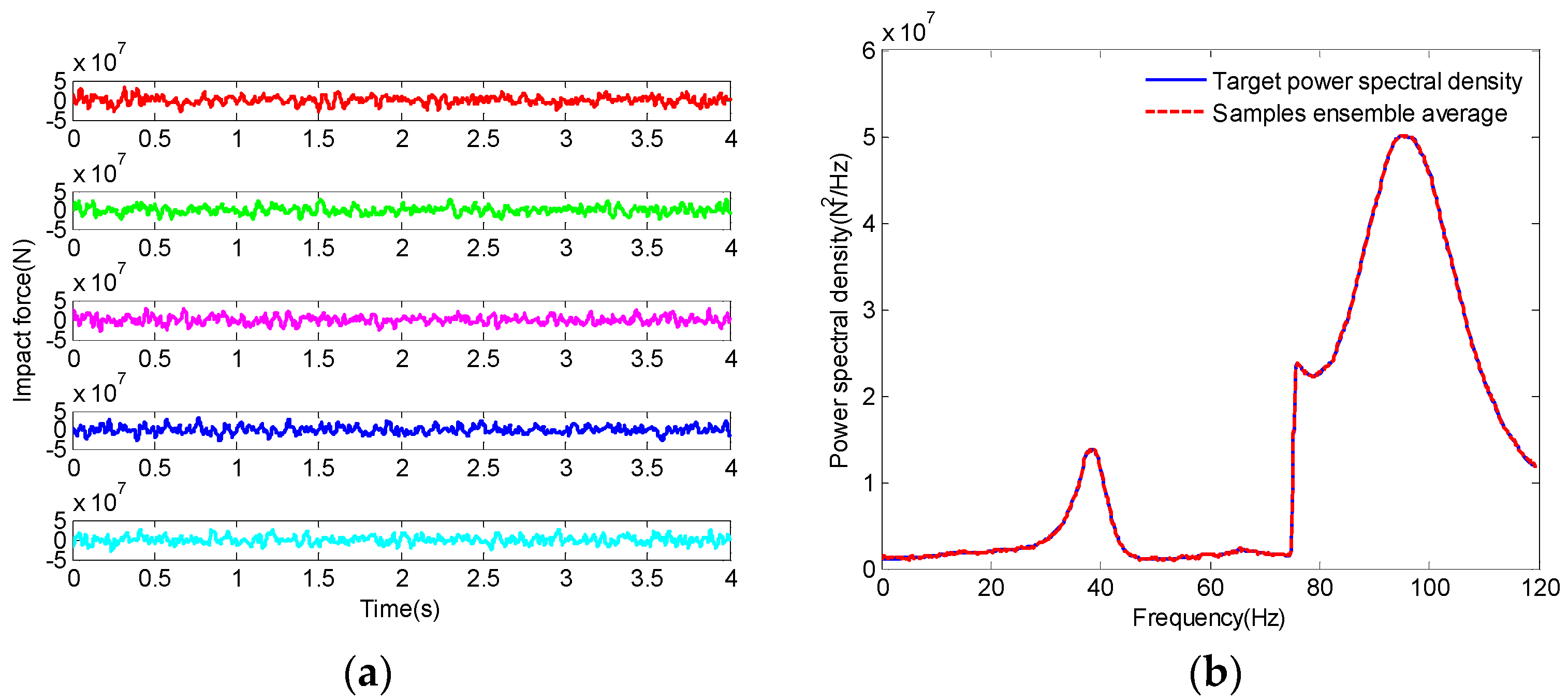
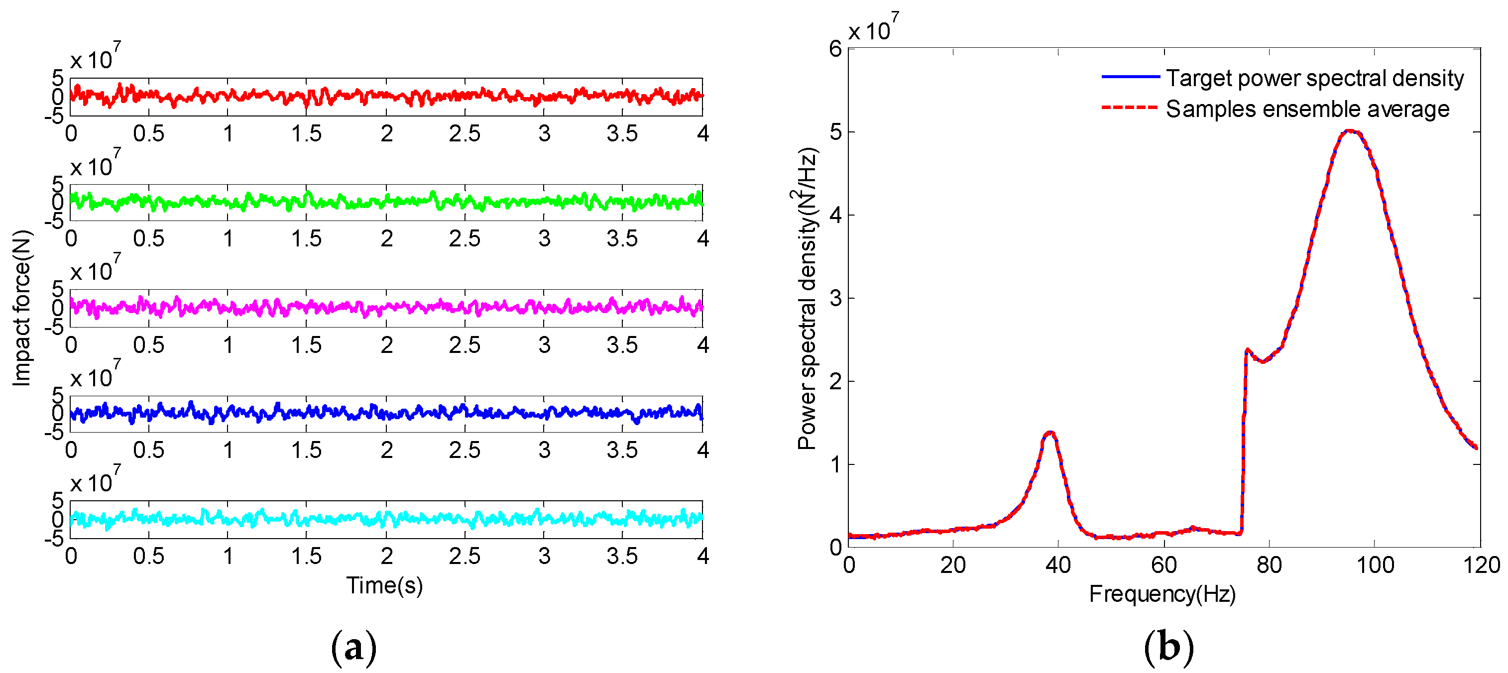
2.2. Generation of Stochastic Excitation Samples from Subway Vibration
3. Stochastic Dynamic Response of the Superstructure and Soft Soil under Subway-Traffic Excitation
3.1. Numerical Analysis Model of a Superstructure–Underground-Tunnel System under Subway-Traffic Excitation
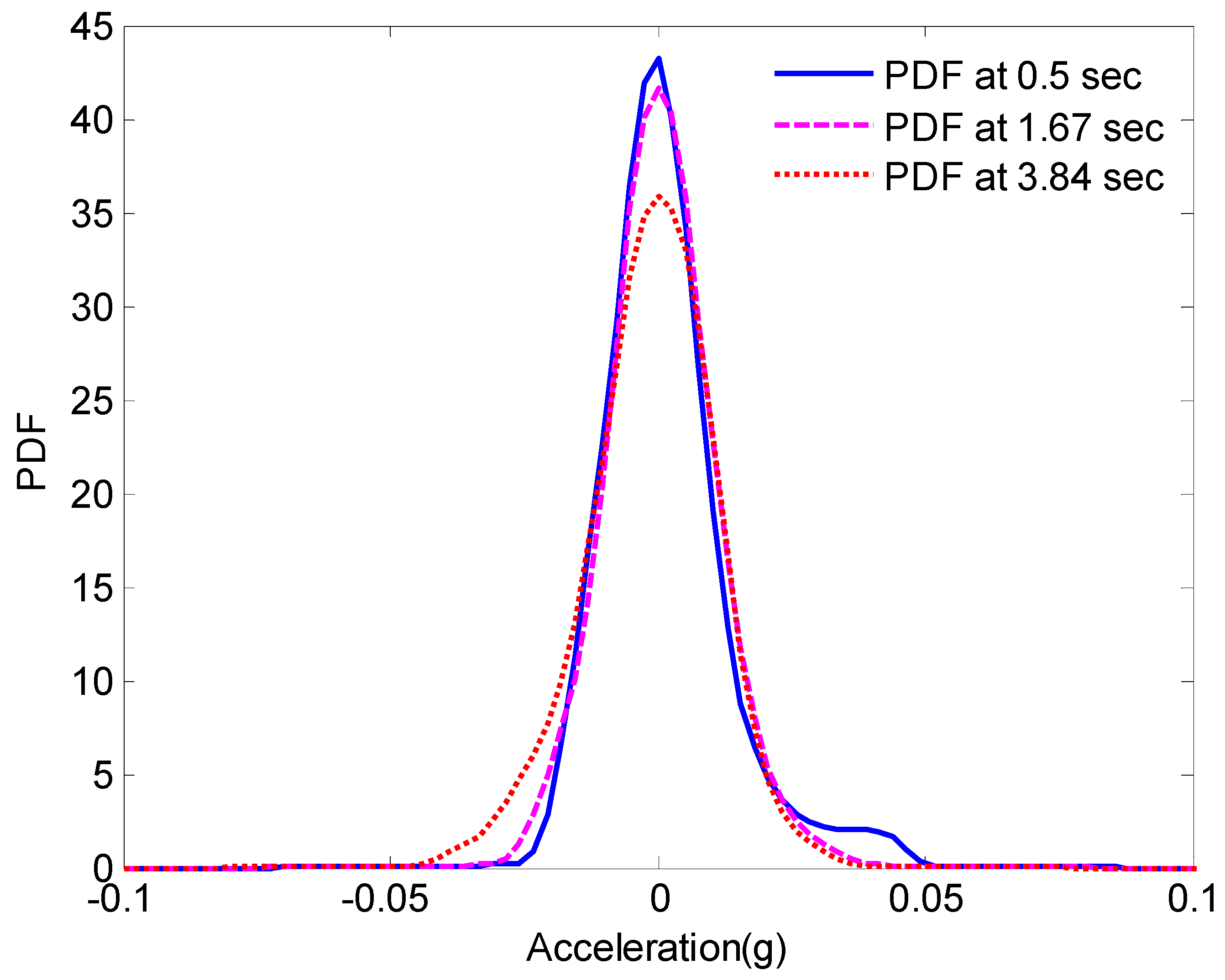
3.2. Stochastic Dynamic Response of the Superstructure–Tunnel System
4. Long-Term Settlement Performance Evaluation of Soft Soil Foundation under Subway-Traffic Loads
4.1. Mathematical Prediction Model of Long-Term Settlement
4.2. Long-Term Settlement Prediction and Time-Dependent Reliability
5. Conclusions
Author Contributions
Funding
Data Availability Statement
Conflicts of Interest
References
- Kurzweil, L.G. Ground-borne noise and vibration from underground rail systems. J. Sound Vib. 1979, 66, 363–370. [Google Scholar] [CrossRef]
- Yang, Y.B.; Hung, H.H. Soil Vibrations Caused by Underground Moving Trains. J. Geotech. Geoenvironmental Eng. 2008, 134, 1633–1644. [Google Scholar] [CrossRef]
- Liang, X.; Yang, Y.B.; Ge, P.; Hung, H.H.; Wu, Y. On computation of soil vibrations due to moving train loads by 2.5d approach. Soil Dyn. Earthq. Eng. 2017, 101, 204–208. [Google Scholar] [CrossRef]
- Yuan, Z.; Cao, Z.; Tang, H.; Xu, Y.; Wu, T. Analytical layer element with a circular cavity and its application in predicting ground vibrations from surface and underground moving sources. Comput. Geotech. 2021, 137, 104262. [Google Scholar] [CrossRef]
- Yuan, Z.; Bostrom, A.; Cai, Y.; Cao, Z. Analytical solution for calculating vibrations from twin circular tunnels. Soil Dyn. Earthq. Eng. 2019, 117, 312–327. [Google Scholar] [CrossRef]
- Qu, S.; Yang, J.; Feng, Y.; Peng, Y.; Zhao, C.; Zhu, S.; Zhai, W. Ground vibration induced by maglev trains running inside tunnel: Numerical modelling and experimental validation. Soil Dyn. Earthq. Eng. 2022, 157, 107278. [Google Scholar] [CrossRef]
- Zhu, C.; Cheng, H.; Bao, Y.; Chen, Z.; Huang, Y. Shaking table tests on the seismic response of slopes to near-fault ground motion. Geomech. Eng 2022, 29, 133–143. [Google Scholar]
- Mao, W.; Xu, C.; Yang, Y. Investigation on strength degradation of sandy soil subjected to concentrated particle erosion. Environ. Earth Sci. 2022, 81, 1–10. [Google Scholar] [CrossRef]
- Scislo, L.; Guinchard, M. Source based measurements and monitoring of ground motion conditions during civil engineering works for high luminosity upgrade of the LHC. In Proceedings of the 26th International Congress on Sound and Vibration, Montreal, QC, Canada, 7–11 July 2019. [Google Scholar]
- Lacny, L.; Scislo, L.; Guinchard, M. Application of probabilistic power spectral density technique to monitoring the long-term vibrational behaviour of CERN seismic network stations. Vib. Phys. Syst. 2020, 31, 2020311. [Google Scholar]
- Fiala, P.; Degrande, G.; Augusztinovicz, F. Numerical modelling of ground-borne noise and vibration in buildings due to surface rail traffic. J. Sound Vib. 2007, 301, 718–738. [Google Scholar] [CrossRef]
- Chai, J.C.; Miura, N. Traffic-load-induced permanent deformation of road on soft subsoil. J. Geotech. Geoenvironmental Eng. 2002, 128, 907–991. [Google Scholar] [CrossRef]
- Li, D.; Selig, E.T. Cumulative plastic deformation for fine-grained subgrade soils. J. Geotech. Eng. 1996, 122, 1006–1013. [Google Scholar] [CrossRef]
- Monismith, C.L.; Ogawa, N.; Freeme, C.R. Permanent deformation characteristics of subgrade soils due to repeated loading. Transp. Res. Rec. 1975, 537, 1–17. [Google Scholar]
- Beskou, N.D.; Theodorakopoulos, D.D. Dynamic effects of moving loads on road pavements: A review. Soil Dyn. Earthq. Eng. 2011, 31, 547–567. [Google Scholar] [CrossRef]
- Kumar, P.; Chattopadhyay, A.; Mahanty, M.; Singh, A.K. Stresses induced by a moving load in a composite structure with an incompressible poroviscoelastic layer. J. Eng. Mech. 2019, 145, 04019062. [Google Scholar] [CrossRef]
- Mahanty, M.; Chattopadhyay, A.; Kumar, P.; Singh, A.K. Effect of initial stress, heterogeneity and anisotropy on the propagation of seismic surface waves. Mech. Adv. Mater. Struct. 2020, 27, 177–188. [Google Scholar] [CrossRef]
- Mahanty, M.; Kumar, P.; Singh, A.K.; Chattopadhyay, A. Dynamic response of an irregular heterogeneous anisotropic poroelastic composite structure due to normal moving load. Acta Mech. 2020, 231, 2303–2321. [Google Scholar] [CrossRef]
- Shi, W.; Bai, L.; Han, J. Subway-induced vibration measurement and evaluation of the structure on a construction site at curved section of metro line. Shock. Vib. 2018, 2018, 1–18. [Google Scholar] [CrossRef]
- Xin, L.; Li, X.; Zhu, Y.; Liu, M. Uncertainty and sensitivity analysis for train-ballasted track–bridge system. Veh. Syst. Dyn. 2019, 58, 1–19. [Google Scholar] [CrossRef]
- Bortolini, R.; Forcada, N. A probabilistic-based approach to support the comfort performance assessment of existing buildings. J. Clean. Prod. 2019, 237, 117720. [Google Scholar] [CrossRef]
- Kim, Y.; Han, J.; Chun, C. Evaluation of comfort in subway stations via electroencephalography measurements in field experiments. Build. Environ. 2020, 183, 107130. [Google Scholar] [CrossRef]
- Mao, J.F.; Xiao, Y.J.; Yu, Z.W.; Tutumluer, E.; Zhu, Z.H. Probabilistic model and analysis of coupled train-ballasted track-subgrade system with uncertain structural parameters. J. Cent. South Univ. 2021, 28, 2238–2256. [Google Scholar] [CrossRef]
- Zhu, C.; Huang, Y.; Sun, J. Solid-like and liquid-like granular flows on inclined surfaces under vibration–Implications for earthquake-induced landslides. Comput. Geotech. 2020, 123, 103598. [Google Scholar] [CrossRef]
- Mao, W.; Hamaguchi, H.; Koseki, J. Discrimination of particle breakage below pile tip after model pile penetration in sand using image analysis. Int. J. Geomech. 2020, 20, 04019142. [Google Scholar] [CrossRef]
- Lombaert, G.; Degrande, G. Ground-borne vibration due to static and dynamic axle loads of intercity and high-speed trains. J. Sound Vib. 2009, 319, 1036–1066. [Google Scholar] [CrossRef]
- Sheng, X.; Jones, C.J.C.; Thompson, D.J. A theoretical model for ground vibration from trains generated by vertical track irregularities. J. Sound Vib. 2004, 272, 937–965. [Google Scholar] [CrossRef]
- Lin, J.H.; Zhang, Y.H. Pseudo-Excitation Method for Random Vibration; Science Press: Beijing, China, 2004. [Google Scholar]
- Scislo, L.; Lacny, L.; Guinchard, M. COVID-19 lockdown impact on CERN seismic station ambient noise levels. Open Eng. 2021, 11, 1233–1240. [Google Scholar] [CrossRef]
- Lei, X.Y. High Speed Railway Track Dynamics: Models, Algorithms and Applications; Science Press and Springer Nature: Beijing, China, 2017. [Google Scholar]
- Chen, G.; Zhai, W.M.; Zuo, H.F. Analysis of the random vibration responses characteristics of vehicle-track coupling system. J. Traffic Transp. Eng. 2001, 1, 13–16. [Google Scholar]
- Li, J.; Chen, J.B. The principle of preservation of probability and the generalized density evolution equation. Struct. Saf. 2008, 30, 65–77. [Google Scholar] [CrossRef]
- Li, J. A PDEM-based perspective to engineering reliability: From structures to lifeline networks. Front. Struct. Civ. Eng. 2020, 14, 1056–1065. [Google Scholar] [CrossRef]
- MIDAS GEOTECH, 2D & 3D Geotechnical Finite Element Analysis. 2022. Available online: https://www.midasgeotech.com/solution/gtsnx (accessed on 22 February 2023).
- Schanz, T.; Vermeer, P.A.; Bonnier, P.G. The Hardening Soil Model: Formulation and Verification; Beyond 2000 in Computation Geotechnics-10 Years of PLAXIS; Routledge: Oxfordshire, UK, 1999; pp. 281–296. ISBN 90 5809 040X. [Google Scholar]
- Hu, H.; Huang, Y.; Zhao, L.; Xiong, M. Shaking table tests on slope reinforced by anchored piles under random earthquake ground motions. Acta Geotech. 2022, 17, 4113–4130. [Google Scholar] [CrossRef]
- Hu, H.; Gan, G.; Bao, Y.; Guo, X.; Xiong, M.; Han, X.; Wang, L. Nonlinear Stochastic Seismic Response Analysis of Three-Dimensional Reinforced Concrete Piles. Buildings 2023, 13, 89. [Google Scholar] [CrossRef]
- Hu, H.; Huang, Y.; Xiong, M.; Zhao, L. Investigation of seismic behavior of slope reinforced by anchored pile structures using shaking table tests. Soil Dyn. Earthq. Eng. 2021, 150, 106900. [Google Scholar] [CrossRef]
- Standard for Allowable of Building Engineering. GB 50868-2013; China Planning Press: Beijing, China, 2013.
- DIN 4150-3; Structural Vibration. Part 3: Effects of Vibration on Structures. 1999. Available online: https://webstore.ansi.org/standards/din/din41502016 (accessed on 22 February 2023).
- BS 7385-2; Evaluation and Measurement for Vibration in Buildings. Part 2: Guide to Damage Levels from Ground Borne Vibration. 1993. Available online: https://www.en-standard.eu/bs-7385-2-1993-evaluation-and-measurement-for-vibration-in-buildings-guide-to-damage-levels-from-groundborne-vibration/ (accessed on 22 February 2023).
- Chen, Y.K.; Wang, Y.M.; Zou, C.; Zhou, J.P.; Kuang, Y.Q.; Xu, J.H. Long-Term Settlement Analysis and Settlement Control Technology of Rheological Soft Soil Caused by Metro Train Vibration; Research Report; Guangzhou Metro Group Co. Ltd.: Guangzhou, China, 2017. [Google Scholar]










| Parameters | ||||||||||
|---|---|---|---|---|---|---|---|---|---|---|
| Soil Layers | ||||||||||
| 1 | 3 | 15 | 0.49 | 15 | 0 | 15 | 0.42 | 5% | 18 | |
| 2-3 | 6 | 24 | 0.46 | 30.5 | 0.5 | 7 | 0.42 | 5% | 18 | |
| 4 | 1.5 | 7.5 | 0.58 | 12 | 0 | 14 | 0.46 | 5% | 16.9 | |
| 5-1 | 4 | 20 | 0.53 | 14 | 0 | 17 | 0.42 | 5% | 17.6 | |
| 5-3-1 | 9 | 45 | 0.5 | 20.5 | 0 | 18 | 0.38 | 5% | 18 | |
| 5-4 | 16 | 80 | 0.41 | 17 | 0 | 45 | 0.41 | 5% | 19.6 | |
| 7 | 38 | 108 | 0.41 | 34 | 4 | 2 | 0.37 | 5% | 19.3 | |
| 8-1 | 12 | 60 | 0.5 | 18 | 0 | 21 | 0.40 | 5% | 18 | |
| 8-2 | 17 | 85 | 0.38 | 20 | 0 | 25 | 0.38 | 5% | 18.4 | |
| 9-1 | 61 | 183 | 0.4 | 36 | 6 | 0 | 0.33 | 5% | 19.6 | |
| 9-2-1 | 85 | 260 | 045 | 37 | 7 | 0 | 0.32 | 5% | 20.1 | |
| Threshold Value | Reliability | Threshold Category |
|---|---|---|
| Vibration comfort requirements of residential buildings | ||
| Vibration comfort requirements for industrial plants |
| Service Life (Years) | Threshold Value (m) | Reliability |
|---|---|---|
| 5 | 0.15 | 0.6513 |
| 0.25 | 1.0 | |
| 0.35 | 1.0 | |
| 0.40 | 1.0 | |
| 10 | 0.15 | 0.0642 |
| 0.25 | 0.5826 | |
| 0.35 | 1.0 | |
| 0.40 | 1.0 | |
| 15 | 0.15 | 0 |
| 0.25 | 0.1987 | |
| 0.35 | 0.5734 | |
| 0.40 | 0.8112 | |
| 20 | 0.15 | 0 |
| 0.25 | 0.1125 | |
| 0.35 | 0.3756 | |
| 0.40 | 0.5224 |
Disclaimer/Publisher’s Note: The statements, opinions and data contained in all publications are solely those of the individual author(s) and contributor(s) and not of MDPI and/or the editor(s). MDPI and/or the editor(s) disclaim responsibility for any injury to people or property resulting from any ideas, methods, instructions or products referred to in the content. |
© 2023 by the authors. Licensee MDPI, Basel, Switzerland. This article is an open access article distributed under the terms and conditions of the Creative Commons Attribution (CC BY) license (https://creativecommons.org/licenses/by/4.0/).
Share and Cite
Wang, L.; Yang, S.; Hu, H. Stochastic Dynamic Response and Long-Term Settlement Performance of Superstructure–Underground Tunnel–Soil Systems Subjected to Subway-Traffic Excitation. Buildings 2023, 13, 621. https://doi.org/10.3390/buildings13030621
Wang L, Yang S, Hu H. Stochastic Dynamic Response and Long-Term Settlement Performance of Superstructure–Underground Tunnel–Soil Systems Subjected to Subway-Traffic Excitation. Buildings. 2023; 13(3):621. https://doi.org/10.3390/buildings13030621
Chicago/Turabian StyleWang, Lin, Shifei Yang, and Hongqiang Hu. 2023. "Stochastic Dynamic Response and Long-Term Settlement Performance of Superstructure–Underground Tunnel–Soil Systems Subjected to Subway-Traffic Excitation" Buildings 13, no. 3: 621. https://doi.org/10.3390/buildings13030621
APA StyleWang, L., Yang, S., & Hu, H. (2023). Stochastic Dynamic Response and Long-Term Settlement Performance of Superstructure–Underground Tunnel–Soil Systems Subjected to Subway-Traffic Excitation. Buildings, 13(3), 621. https://doi.org/10.3390/buildings13030621
