Effects of Volume Ratio, Layout and Leave Size of Indoor Plants on Workers’ Attention Recovery in Factory Staff Break Area
Abstract
1. Introduction
1.1. The Need to Recover Workers’ Attention Increased
1.2. Indoor Planting Design and Attention Recovery
1.3. Literature Gaps
1.4. Research Objectives
- Some factors of indoor planting design had a significant effect on workers’ attention recovery in factory staff break areas.
- Different variables of indoor planting design have different effects on workers’ attention recovery.
2. Materials and Methods
2.1. Experimental Setting
2.1.1. Space Design of Factory Staff Break Area
2.1.2. Selection of Physical Variables and Levels
2.1.3. Determination of Nine Experimental Scenarios
2.2. Experimental Design
2.2.1. Participants and Equipment
2.2.2. Procedure
- D-prime (D-P): sensitivity of the participant in the detection of the target;
- Reaction times in milliseconds (RT): the latency to press the spacebar;
- The number of correct responses (CR): when the target (digit 3) appeared, the participant did not push the spacebar. The total number of CR is 25.
2.3. Data Analysis
3. Results
3.1. Baseline Checks and Effectiveness of the SART
3.2. Importance Ranking of Three Factors for Attention Recovery
3.3. Impact of Different Levels on Attention Recovery
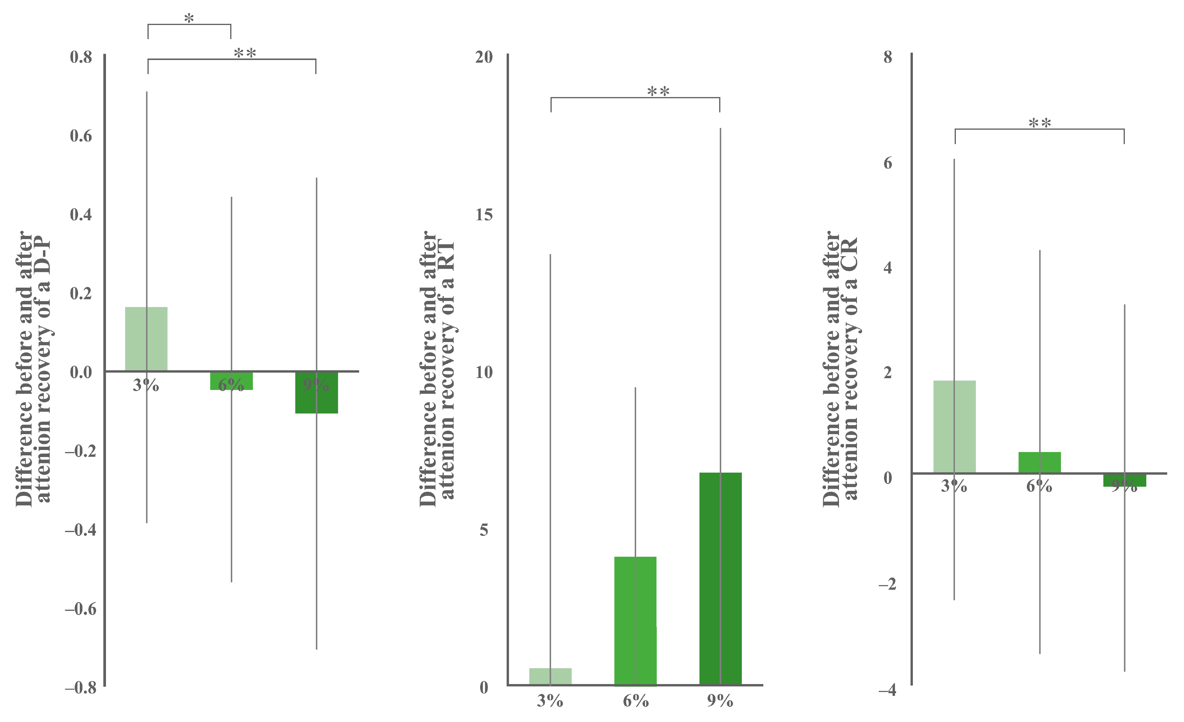
3.3.1. The Volume Ratio of Indoor Plants
3.3.2. The Layout of Indoor Plants
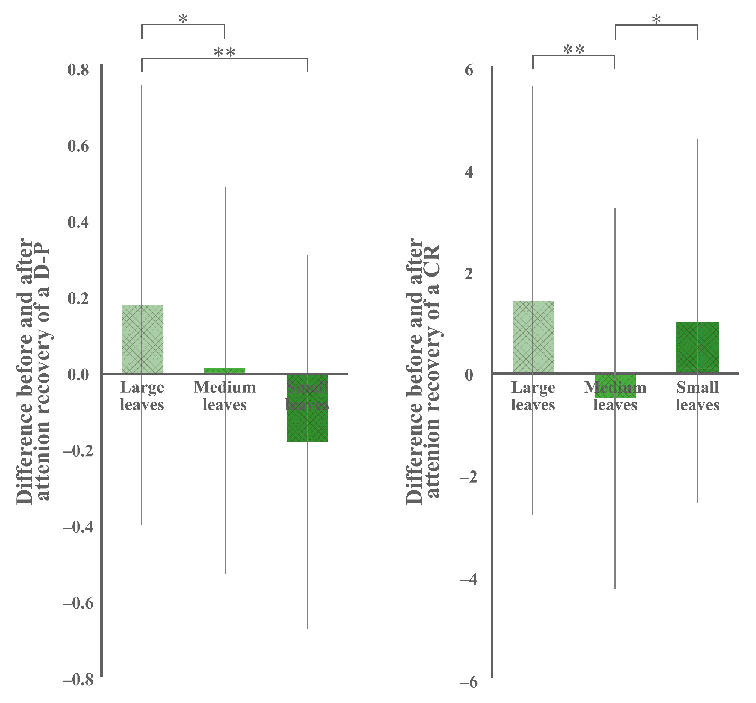
3.3.3. The Leaf Size of Indoor Plants
4. Discussion
4.1. Significance of Volume Ratio for Attention Recovery
4.2. Optimal Level of Volume Ratio for Attention Recovery
4.3. Optimal Level of Layout for Attention Recovery
4.4. Optimal Level of Leaf Size for Attention Recovery
4.5. Limitations
5. Conclusions
- In factory staff break areas, the volume ratio of indoor plants was the most dominant factor influencing workers’ attention recovery, compared with the layout and leaf size. This is because visual information recalling nature is the main reason for indoor plants’ recovery benefit, and the change in volume ratio can produce a more intuitive visual prominence than the two factors.
- The results found that controlling the volume ratio of indoor plants with the 3% level had a greater influence on workers’ attention recovery than the levels with 6 and 9%. The finding is consistent with studies that showed that people prefer wide-open, unforested natural places like savannahs. The analysis of the volume ratio of indoor plants extends the present study, in which the volume ratio is objectively more influential than other factors in factory staff break areas. Still, it does not mean that more plants are better.
- The results showed that among the three levels of indoor plants at the layout, mixed floor and wall plants had a greater impact on workers’ recovery attention compared with the centralized plants’ arrangement on the wall and the floor. This is because of the preference for a well-organized structure. As a result, it is advised that while arranging plants to create a reasonable scheme, both space and plants should be considered.
- The results suggested that participants were more affected by indoor plants with large leaves on the floor than those with small-sized or medium-sized leaves. The attention recovery may be influenced by the legibility of indoor plants’ leaf size, which is one of the key components of environmental preference. These findings suggest new directions for future indoor planting research.
Author Contributions
Funding
Data Availability Statement
Conflicts of Interest
References
- Soto-Leon, V.; Alonso-Bonilla, C.; Peinado-Palomino, D.; Torres-Pareja, M.; Mendoza-Laiz, N.; Mordillo-Mateos, L.; Onate-Figuerez, A.; Arias, P.; Aguilar, J.; Oliviero, A. Effects of fatigue induced by repetitive movements and isometric tasks on reaction time. Hum. Mov. Sci. 2020, 73, 102679. [Google Scholar] [CrossRef] [PubMed]
- Moshref Javadi, A.M.; Choobineh, A.; Razeghi, M.; Ghaem, H.; Daneshmandi, H. Adverse Effects of Sit and Stand Workstations on the Health Outcomes of Assembly Line Workers: A Cross-sectional Study. J. Prev. Med. Hyg. 2022, 63, E344–E350. [Google Scholar] [CrossRef] [PubMed]
- Jiang, B.; Schmillen, R.; Sullivan, W.C. How to Waste a Break: Using Portable Electronic Devices Substantially Counteracts Attention Enhancement Effects of Green Spaces. Environ. Behav. 2018, 51, 1133–1160. [Google Scholar] [CrossRef]
- Duffy, V.G. Stress, Workload, and Fatigue; Hancock, P.A., Desmond, P.A., Eds.; Lawrence Erlbaum Associates: Mahwah, NJ, USA, 2001; p. 682. ISBN 0-8058-3178-9. [Google Scholar] [CrossRef]
- Öztürkoğlu, Y.Y.; Bulfin, R.L. Scheduling jobs to consider physiological factors. Hum. Factors Ergon. Manuf. Serv. Ind. 2011, 22, 113–120. [Google Scholar] [CrossRef]
- Kretschmer, V.; Griefahn, B.; Schmidt, K.-H. Bright light and night work: Effects on selective and divided attention in elderly persons. Light. Res. Technol. 2011, 43, 473–486. [Google Scholar] [CrossRef]
- Jacqueline, B.; Erica, C.; Martin, D.; Enomoto, K.; Renata, G.; Brad, H.; Barbara, J. Addressing Employee Burnout: Are You Solving the Right Problem? 2022. Available online: https://www.mckinsey.com/mhi/our-insights/addressing-employee-burnout-are-you-solving-the-right-problem (accessed on 27 May 2022).
- Woods, J.E. Cost avoidance and productivity in owning and operating buildings. Occup. Med. 1989, 4, 753–770. [Google Scholar]
- Skåret, J.E. Indoor Environment and Economics. Project no. N6405; The Norwegian Institute of Building Research (NBI-Byggforsk): Oslo, Norway, 1992. (In Norwegian) [Google Scholar]
- Spector, P.E.; Cooper, C.L.; Poelmans, S.; Allen, T.D.; O’driscoll, M.; Sanchez, J.I.; Siu, O.L.; Dewe, P.; Hart, P.; Lu, L. A cross-national comparative study of work-family stressors, working hours, and well-being: China and Latin America versus the Anglo world. Pers. Psychol. 2004, 57, 119–142. [Google Scholar] [CrossRef]
- Heymann, J.; Earle, A.; Hanchate, A. Bringing a global perspective to community, work, and family. Community Work. Fam. 2004, 7, 247–272. [Google Scholar] [CrossRef]
- Roelofsen, P. The impact of office environments on employee performance: The design of the workplace as a strategy for productivity enhancement. J. Facil. Manag. 2002, 1, 247–264. [Google Scholar] [CrossRef]
- Jiang, B.; Wang, H.; Larsen, L.; Bao, F.; Li, Z.; Pryor, M. Quality of sweatshop factory outdoor environments matters for workers’ stress and anxiety: A participatory smartphone-photography survey. J. Environ. Psychol. 2019, 65, 101336. [Google Scholar] [CrossRef]
- Bringslimark, T.; Hartig, T.; Patil, G.G. The psychological benefits of indoor plants: A critical review of the experimental literature. J. Environ. Psychol. 2009, 29, 422–433. [Google Scholar] [CrossRef]
- Gao, C.; Zhang, S. The restorative quality of patient ward environment: Tests of six dominant design characteristics. Build. Environ. 2020, 180, 107039. [Google Scholar] [CrossRef]
- Chang, C.-Y.; Chen, P.-K. Human Response to Window Views and Indoor Plants in the Workplace. HortScience 2005, 40, 1354–1359. [Google Scholar] [CrossRef]
- Nejati, A.; Rodiek, S.; Shepley, M. Using visual simulation to evaluate restorative qualities of access to nature in hospital staff break areas. Landsc. Urban Plan. 2016, 148, 132–138. [Google Scholar] [CrossRef]
- Li, Z.; Zhang, W.; Wang, L.; Liu, H.; Liu, H. Regulating effects of the biophilic environment with strawberry plants on psychophysiological health and cognitive performance in small spaces. Build. Environ. 2022, 212, 108801. [Google Scholar] [CrossRef]
- Reis, S.N.; Reis, M.V.D.; Nascimento, Â.M.P.D. Pandemic, social isolation, and the importance of people-plant interaction. Ornam. Hortic. 2020, 26, 399–412. [Google Scholar] [CrossRef]
- Wilson, E.O. Biophilia; Harvard University Press: Cambridge, MA, USA, 1984. [Google Scholar]
- Yeom, S.; Kim, H.; Hong, T. Psychological and physiological effects of a green wall on occupants: A cross-over study in virtual reality. Build. Environ. 2021, 204, 108134. [Google Scholar] [CrossRef]
- Kaplan, R.S.; Kaplan, S. The Experience of Nature: A Psychological Perspective; Cambridge University Press: Cambridge, UK, 1989. [Google Scholar]
- Kaplan, S. The restorative benefits of nature: Toward an integrative framework. J. Environ. Psychol. 1995, 15, 169–182. [Google Scholar] [CrossRef]
- Ulrich, R.S.; Simons, R.F.; Losito, B.D.; Fiorito, E.; Miles, M.A.; Zelson, M. Stress recovery during exposure to natural and urban environments. J. Environ. Psychol. 1991, 11, 201–230. [Google Scholar] [CrossRef]
- Orians, G.H. General theory and applications to human behavior. In The Evolution of Human Social Behavior; Lockard, J.S., Ed.; Elsevier: New York, NY, USA, 1980; pp. 49–63. [Google Scholar]
- Yin, J.; Zhu, S.; MacNaughton, P.; Allen, J.G.; Spengler, J.D. Physiological and cognitive performance of exposure to biophilic indoor environment. Build. Environ. 2018, 132, 255–262. [Google Scholar] [CrossRef]
- Bjerke, T.; Østdahl, T.; Thrane, C.; Strumse, E. Vegetation density of urban parks and perceived appropriateness for recreation. Urban For. Urban Green. 2006, 5, 35–44. [Google Scholar] [CrossRef]
- Chiang, Y.-C.; Li, D.; Jane, H.-A. Wild or tended nature? The effects of landscape location and vegetation density on physiological and psychological responses. Landsc. Urban Plan. 2017, 167, 72–83. [Google Scholar] [CrossRef]
- Tennessen, C.M.; Cimprich, B. Views to nature: Effects on attention. J. Environ. Psychol. 1995, 15, 77–85. [Google Scholar] [CrossRef]
- Laumann, K.; Gärling, T.; Stormark, K.M. Selective attention and heart rate responses to natural and urban environments. J. Environ. Psychol. 2003, 23, 125–134. [Google Scholar] [CrossRef]
- Klepeis, N.E.; Nelson, W.C.; Ott, W.R.; Robinson, J.P.; Tsang, A.M.; Switzer, P.; Behar, J.V.; Hern, S.C.; Engelmann, W.H. The National Human Activity Pattern Survey (NHAPS): A resource for assessing exposure to environmental pollutants. J. Expo. Sci. Environ. Epidemiol. 2001, 11, 231–252. [Google Scholar] [CrossRef] [PubMed]
- Oh, Y.-A.; Kim, S.-O.; Park, S.-A. Real Foliage Plants as Visual Stimuli to Improve Concentration and Attention in Elementary Students. Int. J. Environ. Res. Public Health 2019, 16, 796. [Google Scholar] [CrossRef] [PubMed]
- van den Berg, A.E.; Wesselius, J.E.; Maas, J.; Tanja-Dijkstra, K. Green Walls for a Restorative Classroom Environment: A Controlled Evaluation Study. Environ. Behav. 2016, 49, 791–813. [Google Scholar] [CrossRef]
- Wu, C.-D.; McNeely, E.; Cedeño-Laurent, J.G.; Pan, W.-C.; Adamkiewicz, G.; Dominici, F.; Lung, S.-C.C.; Su, H.-J.; Spengler, J.D. Linking Student Performance in Massachusetts Elementary Schools with the “Greenness” of School Surroundings Using Remote Sensing. PLoS ONE 2014, 9, e108548. [Google Scholar] [CrossRef]
- Lei, Q.; Yuan, C.; Lau, S.S.Y. A quantitative study for indoor workplace biophilic design to improve health and productivity performance. J. Clean. Prod. 2021, 324, 129168. [Google Scholar] [CrossRef]
- Bringslimark, T.; Hartig, T.; Patil, G.G. Psychological Benefits of Indoor Plants in Workplaces: Putting Experimental Results into Context. HortScience 2007, 42, 581–587. [Google Scholar] [CrossRef]
- Qin, J.; Sun, C.; Zhou, X.; Leng, H.; Lian, Z. The effect of indoor plants on human comfort. Indoor Built Environ. 2013, 23, 709–723. [Google Scholar] [CrossRef]
- Berger, J.; Essah, E.; Blanusa, T.; Beaman, C.P. The appearance of indoor plants and their effect on people’s perceptions of indoor air quality and subjective well-being. Build. Environ. 2022, 219, 109151. [Google Scholar] [CrossRef]
- Choi, J.-Y.; Park, S.-A.; Jung, S.-J.; Lee, J.-Y.; Son, K.-C.; An, Y.-J.; Lee, S.-W. Physiological and psychological responses of humans to the index of greenness of an interior space. Complement. Ther. Med. 2016, 28, 37–43. [Google Scholar] [CrossRef] [PubMed]
- Larsen, L.; Adams, J.; Deal, B.; Kweon, B.S.; Tyler, E. Plants in the Workplace. Environ. Behav. 1998, 30, 261–281. [Google Scholar] [CrossRef]
- Jiang, B.; Chang, C.-Y.; Sullivan, W.C. A dose of nature: Tree cover, stress reduction, and gender differences. Landsc. Urban Plan. 2014, 132, 26–36. [Google Scholar] [CrossRef]
- Abdi, B.; Hami, A.; Zarehaghi, D. Impact of small-scale tree planting patterns on outdoor cooling and thermal comfort. Sustain. Cities Soc. 2020, 56, 102085. [Google Scholar] [CrossRef]
- Shibata, S.; Suzuki, N. Effects of the foliage plant on task performance and mood. J. Environ. Psychol. 2002, 22, 265–272. [Google Scholar] [CrossRef]
- Rich, D. Effects of Exposure to Plants and Nature on Cognition and Mood: A Cognitive Psychology Perspective. Ph.D. Thesis, Cornell University, Ithaca, NY, USA, 2007. [Google Scholar]
- Shibata, S.; Suzuki, N. Effects of an indoor plant on creative task performance and mood. Scand. J. Psychol. 2004, 45, 373–381. [Google Scholar] [CrossRef]
- Lohr, V.I.; Pearson-Mims, C.H.; Goodwin, G.K. Interior Plants May Improve Worker Productivity and Reduce Stress in a Windowless Environment. J. Environ. Hortic. 1996, 14, 97–100. [Google Scholar] [CrossRef]
- Shibata, S.; Suzuki, N. Effects of indoor foliage plants on subjects’ recovery from mental fatigue. North Am. J. Psychol. 2001, 3, 385–396. [Google Scholar]
- Berto, R. Exposure to restorative environments helps restore attentional capacity. J. Environ. Psychol. 2005, 25, 249–259. [Google Scholar] [CrossRef]
- Robertson, I.H.; Manly, T.; Andrade, J.; Baddeley, B.T.; Yiend, J. Sustained Attention to Response Task; PsycTESTS Dataset; American Psychological Association: Washington, DC, USA, 1997. [Google Scholar] [CrossRef]
- Robertson, I.H.; Manly, T.; Andrade, J.; Baddeley, B.T.; Yiend, J. ‘Oops!’: Performance correlates of everyday attentional failures in traumatic brain injured and normal subjects. Neuropsychologia 1997, 35, 747–758. [Google Scholar] [CrossRef] [PubMed]
- Kuliga, S.F.; Thrash, T.; Dalton, R.C.; Hölscher, C. Virtual reality as an empirical research tool—Exploring user experience in a real building and a corresponding virtual model. Computers. Environ. Urban Syst. 2015, 54, 363–375. [Google Scholar] [CrossRef]
- Higuera-Trujillo, J.L.; López-Tarruella Maldonado, J.; Llinares Millán, C. Psychological and physiological human responses to simulated and real environments: A comparison between Photographs, 360° Panoramas, and Virtual Reality. Appl. Ergon. 2017, 65, 398–409. [Google Scholar] [CrossRef] [PubMed]
- Chamilothori, K.; Chinazzo, G.; Rodrigues, J.; Dan-Glauser, E.S.; Wienold, J.; Andersen, M. Subjective and physiological responses to façade and sunlight pattern geometry in virtual reality. Build. Environ. 2019, 150, 144–155. [Google Scholar] [CrossRef]
- Wang, X.; Rodiek, S.; Wu, C.; Chen, Y.; Li, Y. Stress recovery and restorative effects of viewing different urban park scenes in Shanghai, China. Urban For. Urban Green. 2016, 15, 112–122. [Google Scholar] [CrossRef]
- Browning, M.H.E.M.; Shipley, N.; McAnirlin, O.; Becker, D.; Yu, C.-P.; Hartig, T.; Dzhambov, A.M. An Actual Natural Setting Improves Mood Better Than Its Virtual Counterpart: A Meta-Analysis of Experimental Data. Front. Psychol. 2020, 11, 2200. [Google Scholar] [CrossRef] [PubMed]
- Naylor, M.; Ridout, B.; Campbell, A. A Scoping Review Identifying the Need for Quality Research on the Use of Virtual Reality in Workplace Settings for Stress Management. Cyberpsychology Behav. Soc. Netw. 2020, 23, 506–518. [Google Scholar] [CrossRef] [PubMed]
- Roche, K.; Liu, S.; Siegel, S. The effects of virtual reality on mental wellness: A. Ment Health 2019, 14, 811–818. [Google Scholar]
- Stone, R.; Small, C.; Knight, J.; Qian, C.; Shingari, V. Virtual Natural Environments for Restoration and Rehabilitation in Healthcare. Intell. Syst. Ref. Libr. 2014, 1, 497–521. [Google Scholar] [CrossRef]
- White, M.P.; Yeo, N.; Vassiljev, P.; Lundstedt, R.; Wallergård, M.; Albin, M.; Lõhmus, M. A prescription for “nature”–the potential of using virtual nature in therapeutics. Neuropsychiatr. Dis. Treat. 2018, 14, 3001–3013. [Google Scholar] [CrossRef] [PubMed]
- Yeom, S.; Kim, H.; Hong, T.; Ji, C.; Lee, D. Emotional impact, task performance and task load of green walls exposure in a virtual environment. Indoor Air 2021, 32, e12936. [Google Scholar] [CrossRef]
- Blanco, H.; Alberti, M.; Forsyth, A.; Krizek, K.J.; Rodríguez, D.A.; Talen, E.; Ellis, C. Hot, congested, crowded and diverse: Emerging research agendas in planning. Prog. Plan. 2009, 71, 153–205. [Google Scholar] [CrossRef]
- Li, D.; Sullivan, W.C. Impact of views to school landscapes on recovery from stress and mental fatigue. Landsc. Urban Plan. 2016, 148, 149–158. [Google Scholar] [CrossRef]
- Raanaas, R.K.; Evensen, K.H.; Rich, D.; Sjøstrøm, G.; Patil, G. Benefits of indoor plants on attention capacity in an office setting. J. Environ. Psychol. 2011, 31, 99–105. [Google Scholar] [CrossRef]
- Pun, N.; Shen, Y.; Guo, Y.; Lu, H.; Chan, J.; Selden, M. Apple, Foxconn, and Chinese workers’ struggles from a global labor perspective. Inter-Asia Cult. Stud. 2016, 17, 166–185. [Google Scholar] [CrossRef]
- Liu, F.; Yan, L.; Meng, X.; Zhang, C. A review on indoor green plants employed to improve indoor environment. J. Build. Eng. 2022, 53, 104542. [Google Scholar] [CrossRef]
- Boubekri, M.; Hull, R.B.; Boyer, L.L. Impact of Window Size and Sunlight Penetration on Office Workers’ Mood and Satisfaction. Environ. Behav. 1991, 23, 474–493. [Google Scholar] [CrossRef]
- Li, J.; Wu, J.; Lam, F.; Zhang, C.; Kang, J.; Xu, H. Effect of the degree of wood use on the visual psychological response of wooden indoor spaces. Wood Sci. Technol. 2021, 55, 1485–1508. [Google Scholar] [CrossRef]
- Ratcliffe, E.; Gatersleben, B.; Sowden, P.T. Bird sounds and their contributions to perceived attention restoration and stress recovery. J. Environ. Psychol. 2013, 36, 221–228. [Google Scholar] [CrossRef]
- Zheng, J.; Tarin, M.W.K.; Jiang, D.; Li, M.; Ye, J.; Chen, L.; He, T.; Zheng, Y. Which ornamental features of bamboo plants will attract the people most? Urban For. Urban Green. 2021, 61, 127101. [Google Scholar] [CrossRef]
- Yang, S.; Zhou, D.; Wang, Y.; Li, P. Comparing impact of multi-factor planning layouts in residential areas on summer thermal comfort based on orthogonal design of experiments (ODOE). Build. Environ. 2020, 182, 107145. [Google Scholar] [CrossRef]
- Kjellgren, A.; Buhrkall, H. A comparison of the restorative effect of a natural environment with that of a simulated natural environment. J. Environ. Psychol. 2010, 30, 464–472. [Google Scholar] [CrossRef]
- Barton, J.; Pretty, J. What is the Best Dose of Nature and Green Exercise for Improving Mental Health? A Multi-Study Analysis. Environ. Sci. Technol. 2010, 44, 3947–3955. [Google Scholar] [CrossRef] [PubMed]
- Brown, D.K.; Barton, J.L.; Gladwell, V.F. Viewing Nature Scenes Positively Affects Recovery of Autonomic Function Following Acute-Mental Stress. Environ. Sci. Technol. 2013, 47, 5562–5569. [Google Scholar] [CrossRef]
- van den Berg, M.; Maas, J.; Muller, R.; Braun, A.; Kaandorp, W.; van Lien, R.; van Poppel, M.; van Mechelen, W.; van den Berg, A. Autonomic Nervous System Responses to Viewing Green and Built Settings: Differentiating Between Sympathetic and Parasympathetic Activity. Int. J. Environ. Res. Public Health 2015, 12, 15860–15874. [Google Scholar] [CrossRef] [PubMed]
- Manly, T. The absent mind: Further investigations of sustained attention to response. Neuropsychologia 1999, 37, 661–670. [Google Scholar] [CrossRef]
- Wu, C.F.; Hamada, M.S. Experiments Planning, Analysis, and Optimization; John Wiley & Sons: Hoboken, NJ, USA, 2021. [Google Scholar] [CrossRef]
- Feierlein, J. 5295724 Air-conditioning arrangement for parked passenger cars. Environ. Int. 1995, 21, IV. [Google Scholar] [CrossRef]
- Lefebvre, M. Applied Probability and Statistics; Springer Science & Business Media: Berlin, Germany, 2006. [Google Scholar]
- Wu, X.; Leung, D.Y.C. Optimization of biodiesel production from camelina oil using orthogonal experiment. Appl. Energy 2011, 88, 3615–3624. [Google Scholar] [CrossRef]
- Zhao, P.; Ge, S.; Yoshikawa, K. An orthogonal experimental study on solid fuel production from sewage sludge by employing steam explosion. Appl. Energy 2013, 112, 1213–1221. [Google Scholar] [CrossRef]
- Stone, N.J.; Irvine, J.M. Direct or indirect window access, task type, and performance. J. Environ. Psychol. 1994, 14, 57–63. [Google Scholar] [CrossRef]
- Kaplan, S. Aesthetics, Affect, and Cognition. Environ. Behav. 1987, 19, 3–32. [Google Scholar] [CrossRef]
- Kaplan, R.; Kaplan, S. The Experience of Nature; Cambridge University Press: Cambridge, UK, 1989. [Google Scholar]
- Hartsell, A.M. Savanna hypothesis in the human–urban nature relationship. Open House Int. 2020, 46, 18–29. [Google Scholar] [CrossRef]
- Gatersleben, B.; Andrews, M. When walking in nature is not restorative—The role of prospect and refuge. Health Place 2013, 20, 91–101. [Google Scholar] [CrossRef]
- Lee, S. The Effects of the Index of Greenness Simulation Based on Restorative Environment Model upon Emotion Improvement. Korean J. Health Psychol. 2007, 12, 439–465. [Google Scholar] [CrossRef]
- Fan, Y.; Das, K.V.; Chen, Q. Neighborhood green, social support, physical activity, and stress: Assessing the cumulative impact. Health Place 2011, 17, 1202–1211. [Google Scholar] [CrossRef]
- Kaplan, S. An informal model for the prediction of preference. In Landscape Assessment: Values, Perception and Resources; Zube, E.H., Brush, R.O., Fabos, J.G., Eds.; Dowden, Hutchinson and Ross Publisher: Stroudsburg, PA, USA, 1975; pp. 92–101. [Google Scholar]
- Ulrich, R.S. Visual landscapes and psychological well-being. Landsc. Res. 1979, 4, 17–23. [Google Scholar] [CrossRef]
- Lückmann, K.; Lagemann, V.; Menzel, S. Landscape Assessment and Evaluation of Young People. Environ. Behav. 2011, 45, 86–112. [Google Scholar] [CrossRef]
- Reber, R.; Schwarz, N.; Winkielman, P. Processing Fluency and Aesthetic Pleasure: Is Beauty in the Perceiver’s Processing Experience? Personal. Soc. Psychol. Rev. 2004, 8, 364–382. [Google Scholar] [CrossRef]
- Palmer, J.F. Using spatial metrics to predict scenic perception in a changing landscape: Dennis, Massachusetts. Landsc. Urban Plan. 2004, 69, 201–218. [Google Scholar] [CrossRef]
- Kotabe, H.P.; Kardan, O.; Berman, M.G. The order of disorder: Deconstructing visual disorder and its effect on rule-breaking. J. Exp. Psychol. Gen. 2016, 145, 1713–1727. [Google Scholar] [CrossRef] [PubMed]
- Li, Z.; Wang, Y.; Liu, H.; Liu, H. Physiological and psychological effects of exposure to different types and numbers of biophilic vegetable walls in small spaces. Build. Environ. 2022, 225, 109645. [Google Scholar] [CrossRef]













| Factors | Notations | Level 1 | Level 2 | Level 3 |
|---|---|---|---|---|
| Volume ratio | PV | 3% | 6% | 9% |
| Layout | PL | Mainly on the wall | Mixed floor and wall plants | Mainly on the floor |
| Leaf size | PS | Large leaves | Medium leaves | Small leaves |
| Cases | Case 1 | Case 2 | Case 3 | Case 4 | Case 5 | Case 6 | Case 7 | Case 8 | Case 9 | |
|---|---|---|---|---|---|---|---|---|---|---|
| Factors | PV | 3% | 3% | 3% | 6% | 6% | 6% | 9% | 9% | 9% |
| PL | Mainly on the wall | Mixed floor and wall plants | Mainly on the floor | Mainly on the wall | Mixed floor and wall plants | Mainly on the floor | Mainly on the wall | Mixed floor and wall plants | Mainly on the floor | |
| PS | Large leaves | Small leaves | Medium leaves | Small leaves | Medium leaves | Large leaves | Medium leaves | Large leaves | Small leaves | |
| (a) | ||||
| Measures | F | df | p-Value | |
| First attention task (T2) responses | d-prime (D-P) | 0.208 | 8 | 0.989 |
| reaction times in milliseconds (RT) | 0.328 | 8 | 0.954 | |
| number of correct responses (CR) | 0.275 | 8 | 0.973 | |
| (b) | ||||
| Measures | T | df | p-Value | |
| d-prime (D-P) | 0.124 | 161 | 0.035 * | |
| reaction times in milliseconds (RT) | −4.541 | 161 | 0.000 ** | |
| number of correct responses (CR) | −2.104 | 161 | 0.037 * | |
| Experiment Number | Factors | Test Results | |||||
|---|---|---|---|---|---|---|---|
| Volume Ratio | Layout | Leaf Size | ΔD-P | ΔRT (ms) | ΔCR (pcs) | ||
| PV | PL | PS | |||||
| 1 | PV1 | PL1 | PS1 | 0.44 | −1.79 | 3.89 | |
| 2 | PV1 | PL2 | PS3 | −0.01 | 1.76 | 1.50 | |
| 3 | PV1 | PL3 | PS2 | 0.05 | 1.62 | −0.06 | |
| 4 | PV2 | PL1 | PS3 | −0.19 | 4.29 | 0.39 | |
| 5 | PV2 | PL2 | PS2 | 0.19 | 4.31 | −0.11 | |
| 6 | PV2 | PL3 | PS1 | −0.15 | 3.51 | 1.00 | |
| 7 | PV3 | PL1 | PS2 | −0.27 | 5.18 | −1.33 | |
| 8 | PV3 | PL2 | PS1 | 0.27 | 4.22 | −0.61 | |
| 9 | PV3 | PL3 | PS3 | −0.35 | 10.73 | 1.17 | |
| ΔD-P | 0.16 | −0.01 | 0.19 | ||||
| −0.05 | 0.15 | −0.01 | |||||
| −0.12 | −0.15 | −0.18 | |||||
| 0.28 | 0.30 | 0.37 | |||||
| ΔRT | 0.53 | 2.56 | 1.98 | ||||
| 4.04 | 3.43 | 3.70 | |||||
| 6.71 | 5.29 | 5.59 | |||||
| 6.18 | 2.73 | 3.61 | |||||
| ΔCR | 1.78 | 0.98 | 1.43 | ||||
| 0.43 | 0.26 | −0.50 | |||||
| −0.26 | 0.70 | 1.02 | |||||
| 2.03 | 0.72 | 1.93 | |||||
| Volume Ratio | Layout | Leaf Size | |||
|---|---|---|---|---|---|
| Attention recovery | ΔD-P | SS | 2.221 | 2.417 | 3.692 |
| p-value | 0.018 * | 0.013 * | 0.001 ** | ||
| Ƞ2 | 0.051 | 0.055 | 0.081 | ||
| ΔRT | SS | 1037.857 | 209.894 | 352.740 | |
| p-value | 0.008 * | 0.370 | 0.190 | ||
| Ƞ2 | 0.060 | 0.370 | 0.190 | ||
| ΔCR | SS | 116.037 | 14.333 | 111.259 | |
| p-value | 0.020 * | 0.609 | 0.023 * | ||
| Ƞ2 | 0.049 | 0.006 | 0.047 | ||
| Fα | F0.01 (2, 2) = 99 | ||||
| F0.05 (2, 2) = 19 | |||||
| F0.10 (2, 2) = 9 | |||||
Disclaimer/Publisher’s Note: The statements, opinions and data contained in all publications are solely those of the individual author(s) and contributor(s) and not of MDPI and/or the editor(s). MDPI and/or the editor(s) disclaim responsibility for any injury to people or property resulting from any ideas, methods, instructions or products referred to in the content. |
© 2023 by the authors. Licensee MDPI, Basel, Switzerland. This article is an open access article distributed under the terms and conditions of the Creative Commons Attribution (CC BY) license (https://creativecommons.org/licenses/by/4.0/).
Share and Cite
Fang, Z.; Xu, H.; Tao, L.; Tan, Y.; Li, Y.; Wu, J. Effects of Volume Ratio, Layout and Leave Size of Indoor Plants on Workers’ Attention Recovery in Factory Staff Break Area. Buildings 2023, 13, 622. https://doi.org/10.3390/buildings13030622
Fang Z, Xu H, Tao L, Tan Y, Li Y, Wu J. Effects of Volume Ratio, Layout and Leave Size of Indoor Plants on Workers’ Attention Recovery in Factory Staff Break Area. Buildings. 2023; 13(3):622. https://doi.org/10.3390/buildings13030622
Chicago/Turabian StyleFang, Zirui, Hongpeng Xu, Lulu Tao, Yichen Tan, Yuqing Li, and Jianmei Wu. 2023. "Effects of Volume Ratio, Layout and Leave Size of Indoor Plants on Workers’ Attention Recovery in Factory Staff Break Area" Buildings 13, no. 3: 622. https://doi.org/10.3390/buildings13030622
APA StyleFang, Z., Xu, H., Tao, L., Tan, Y., Li, Y., & Wu, J. (2023). Effects of Volume Ratio, Layout and Leave Size of Indoor Plants on Workers’ Attention Recovery in Factory Staff Break Area. Buildings, 13(3), 622. https://doi.org/10.3390/buildings13030622
