Abstract
Contractors play a crucial role in ensuring efficient innovation within construction projects but limited research has focused on the innovation capability of contractors. This study utilizes a multi-method approach, including case studies, surveys, and interviews to collect data for analysis. Based on this, a conceptual model is proposed and a simulation mode which utilizes agent-based modeling (ABM) is constructed. ABM is the microscopic bottom-up approach which can describe and follow the agents and interactions. This study proposes a novel conceptual model to examine the emergence of contractor innovation capability at the project level, from a knowledge flow perspective. It fills the research gap regarding innovation capability in temporary cross-organizational projects. Additionally, an ABM simulation model is developed considering project and participant characteristics, providing insights into the formation rule and development mechanisms of contractors’ innovation capability at the project level. The conclusions are as follows: (1) The demand for innovation drives the innovative behavior of different entities within the project. (2) Knowledge availability in public domains and other entities’ knowledge creation capability provide critical support for contractor innovation. (3) Contractors’ capability to absorb and integrate knowledge serves as the foundation for achieving innovation. (4) When contractors possess strong capabilities, effective synergy among organizations facilitates the generation of innovative outcomes.
1. Introduction
The construction industry holds a significant position in sustainable economic development as an important national economic sector. The level of innovation in this industry directly impacts its contribution to economic growth [1]. In the competitive construction market, innovation plays a crucial role in helping construction companies improve engineering service capabilities, and enhance market competitiveness, so as to respond quickly to owners’ needs and meet increasingly stringent social requirements [2]. Despite the growing attention to innovation in the construction industry, it often faces criticism for its low level of innovation.
Innovation capability is a prerequisite for successful innovation implementation within a company [3], as it serves as a valuable asset for gaining and maintaining a competitive advantage while executing strategic goals [4]. Previous studies have examined the factors influencing innovation in construction from multiple perspectives [5,6,7]. However, contractors, who play a critical role in implementing construction innovation, have not received sufficient attention concerning their innovative capability at the project level. On the other hand, innovation capability has attracted researchers’ attention, and related studies have become hot topics, but how to enhance contractors’ innovation capability in temporary projects has not received adequate attention and examination.
There are considerable discrepancies in the process of conceptualizing innovation capability and parsing its constitutive dimensions, which may be related to the fact that innovation capability does not exist in isolation. Innovation capability is closely related to environmental factors, and its composition varies under different contexts. For instance, there are notable differences in the innovation capability required for radical and incremental innovation [8]. Evidently, research on innovation capability must consider its specific context. In the construction industry, innovation occurs through various entities, primarily based on temporary projects. Innovation efforts are driven by project requirements and exhibit situational adaptability [9]. The innovation context in the construction industry is markedly different from manufacturing, which poses challenges for researching contractors’ innovation capability.
Grant, in his pioneering work on the knowledge-based theory of the firm, asserted that enterprise characteristics, knowledge characteristics, and the knowledge transfer process are the fundamental elements shaping the formation and development capabilities of an enterprise [10]. Weber and Heidenreich define innovation capability, from a knowledge perspective, as the capability of a company to acquire, assimilate, and leverage new knowledge for the creation of novel products or services [11]. Consequently, the transfer and integration of knowledge serve as the internal drivers of contractors’ innovation capabilities.
To address the research gap, based on the understanding of innovation capability, this study concentrates on the specific contexts of construction projects and investigates the innovation capabilities of contractors from the standpoint of knowledge transfer. This study not only contributes to unearthing the enigmatic nature of contractors’ innovation capabilities in projects but also furnishes a theoretical foundation for contractors to advance their innovation capabilities.
The remainder of this article is organized as follows: first, it presents a literature review on the two focal points of innovation capability and knowledge transfer in construction projects. Then, a conceptual model is proposed based on data collection and analysis, and an agent-based model (ABM) utilizing the NetLogo platform is employed to simulate the emergence process of innovation capability. The simulation model is constructed and validated following the appropriate guidelines for ABM modeling. Finally, the impact of various factor combinations on innovation capability is discussed and analyzed by adjusting parameters.
2. Background
2.1. Innovation Capability
Innovation is the implementation of a new or significantly improved product (good or service), process, a new marketing method, or a new organizational method in business practices, workplace organization or external relations [12]. The significance of innovation in attaining competitive advantage for enterprises has propelled scholars’ attention to innovation capabilities. Due to the complexity of the innovation capability concept, researchers interpret it from multiple perspectives including dynamic capability, organizational learning, and resource theory. Innovation capability enables enterprises to swiftly launch new products and adopt new systems. Consequently, innovation capability necessitates diverse resources, assets, and capabilities in order to thrive in a dynamic environment [13]. Drawing upon functional and resource elements, innovation capability can be defined by learning ability, organizational capability, and individuals with specialized knowledge [14,15]. Looking at organizational learning for knowledge acquisition, transformation, and application, the evolution of enterprise innovation capability involves a complex process of organizational learning, encompassing the progressive growth, recombination, and utilization of enterprise technology and market knowledge [16].
Various perspectives exist regarding the constituent dimensions of innovation capability. For instance, it can be decomposed into perception, grasping, and transformation capabilities within a single dimension [17]. Alternatively, a broader dimension may incorporate leadership, organizational culture, and knowledge utilization within the category of innovation capability [18,19]. Despite divergent research perspectives, it is evident that innovation capability represents a comprehensive capability. In contrast to manufacturing, innovation in construction is often more temporary, based on the ideas of participants. Taking into account the unique characteristics of construction innovation, innovation capability is defined as participants’ competence to acquire and absorb new knowledge and transform this knowledge into new processes, methods, or service models. This entails participants being adept at connecting external markets and knowledge, as well as integrating internal and external knowledge with production processes. Consequently, innovation capability is intricately linked to the participants’ internal and external activities.
Existing research findings indicate that factors influencing innovation capability encompass various aspects, such as knowledge management within the organization [20], organizational culture [21], organizational learning [19], cooperation with external entities [22], and inter-organizational relations [11]. As organizations encounter mounting market pressure, achieving a rapid response to new trends solely becomes increasingly challenging. Accordingly, organizations increasingly rely on external synergy to enhance their innovation capability. For instance, research conducted in Iran’s manufacturing industry has confirmed that collaborative innovation networks enhance enterprise innovation capability by facilitating access to complementary resources and promoting the exchange and sharing of knowledge [23].
Existing research primarily focuses on studying innovation capability at the enterprise and industry levels, with limited emphasis on inter-organizational temporary projects. Additionally, most studies statically discuss the relationship between influencing factors and the paths that influence innovation capability. Although existing studies offer insights on enhancing innovation capability, there remains a dearth of analysis from a process-oriented perspective. To address this research gap, this study will utilize the theory and methodology of complex adaptive systems to investigate the emergent process of innovation capability within temporary projects.
2.2. Knowledge Transfer in Construction Projects
Knowledge transfer involves the assimilation, adoption, modification, transformation, and dissemination of knowledge [24]. It also comprises a deliberate and purposeful process of sharing knowledge [25]. Early studies mainly focused on knowledge transfer within organizations. As organizations collaborate more closely, research perspectives have broadened to encompass inter-organizational contexts, including enterprise alliances [26], open innovation ecosystems [27], and multinational enterprises [28], among others.
Organizations face an urgent imperative to engage in knowledge transfer, yet the process is not as straightforward as initially anticipated, particularly when it involves inter-organizational interactions, as organizational boundaries can exert significant in-fluences. Even when knowledge transfer occurs between organizations, its efficiency may be compromised by various factors, including cultural disparities and procedural disparities [29]. The analytical framework developed by Szulanski comprehensively synthesizes the influencing elements of knowledge transfer from the perspectives of knowledge providers, knowledge itself, knowledge recipients, and transfer scenarios [30]. Leveraging this framework, Easterby Smith has formulated a theoretical model of Inter-Organizational Knowledge Transfer, characterizing the distinctive attributes of knowledge providers, knowledge content, knowledge recipients, and transfer scenarios [29]. In recent years, scholars have delved deeper into exploring the influencing factors from these perspectives. For instance, in the context of open innovation ecosystems, factors such as absorptive capability and organizational distance are considered alongside knowledge characteristics, trust relationships, and willingness to learn as crucial determinates of knowledge transfer [27].
Amidst the escalating complexity of engineering endeavors, the majority of construction enterprises have realized that knowledge serves as a crucial source of project capability within project-based organizations [31]. The benefits of knowledge transfer in project-based settings have been long acknowledged [32]. However, in the context of projects, the temporariness and decentralization of organizations pose substantial challenges to effective knowledge transfer. Research on knowledge transfer in construction projects, on the one hand, focuses on knowledge transfer between different project organizations within construction enterprises. Studies emphasize examining general influencing factors, such as project similarity, project time pressure, geographical distance, and corporate culture [33,34]. On the other hand, attention is directed toward intra-project cross-organizational knowledge transfer. The complexity of projects necessitates the integration and application of multidisciplinary knowledge. As a result, construction project entities form innovation alliances with consulting institutions, universities, and academic research units to collectively address challenges [35]. In cross-organizational knowledge transfer, factors such as project characteristics, participant relationships, trust among members, cultural differences, the coordinating role of the owner, and relevant policies are included in the scope of the investigation [25,36,37,38]. Based on extensive surveys, Liu and Yu et al. systematically summarized the influencing factors of knowledge transfer across organizations in major project scenarios and explored causal relationships between these factors [37].
While prior research has extensively examined knowledge transfer in construction projects from multiple viewpoints, the presence of multiple participating entities within a single project gives rise to varied cross-organizational knowledge transfer scenarios. Consequently, a more in-depth investigation should be conducted, specifically targeting the diverse entities responsible for the project. This study builds upon prior research and specifically focuses on contractors, who occupy a crucial position in the engineering construction phase. It adopts an approach centered around the development of innovation capabilities to examine the seamless flow and integrated application of knowledge across different organizations.
3. Methods
In temporary projects, how does the contractor, as the main participant, form and develop its innovation capability? Obviously, this is a dynamic process, and in order to underscore the interactions between the main players, the ABM can respond to this problem more effectively. The research design is shown in Figure 1, which includes four main steps: initial data collection, proposal of a conceptual model, construction of an ABM, analysis and conclusions. During the initial data collection stage, the research team conducted typical case studies and conducted interviews and discussions with relevant parties to clarify the contractor’s innovation process and the forms of interaction with other participants. Based on the above data analysis, the knowledge transfer model is introduced to construct a conceptual model of contractors’ innovation capability through the utilization of knowledge and resources. According to the process of ABM, modeling is conducted from the perspective of knowledge and resources, showing the interaction between contractors and participants and the development of innovation capabilities. Finally, the research results are analyzed, the direction of innovation capability improvement is discussed, and the conclusions are presented.
Figure 1.
Research design.
3.1. Data Collection
From 2017 to 2020, we conducted a comprehensive investigation of innovative practices in three representative engineering projects: the Qinghai–Tibet Railway Project, the Hong Kong–Zhuhai–Macao Bridge Island Tunnel Project, and the Changsha Maglev Express Project. First, the research team conducted a content analysis of engineering summaries, construction plan discussion meeting minutes, annual technical summaries, and patent applications for the three cases. Through in-depth discussions within the research team, we gained a better understanding of the distribution and types of innovations. We then selected 10 representative innovative achievements, including the construction technology of ventilative sheet-stone roadbed in plateau permafrost regions, crack control plan of fair-faced concrete in an artificial island, and the installation of high-precision F-rail tracks. These were used as materials to facilitate the next step of interviews.
Drawing from the aforementioned ten innovative achievements, the research team proceeded to gather additional online reports and literary sources, fostering a preliminary comprehension of their innovation agents, innovation trajectories, and innovation focal points. With the aforementioned work as a foundation, the research team compiled and refined the semi-structured interview questionnaire. The interview questionnaire includes the following questions: (1) What problem has this program or technology mainly solved? (2) How was this program/technology proposed? (3) Who are the stakeholders involved throughout the entire process? (4) What are the roles of these stakeholders and the support they have provided? (5) In the formation process, if any difficulties arise, which methods are typically employed to address them? (6) What are the factors that can influence the acquisition of knowledge when seeking knowledge from external sources to solve problems? (7) Can the knowledge gained from external sources be utilized directly to address the challenges we are facing? (8) What efforts are necessary to align the knowledge gained from external sources with the challenges we are facing? (9) What are the expenses incurred in acquiring knowledge from external sources? (10) and What are the potential rewards of solving a challenging problem?
The research team then conducted interviews with contractors and other key stakeholders via face-to-face meetings, telephone conversations, and video conferencing, guided by the questionnaire. Owing to changes in personnel and contact details, the research team managed to conduct effective interviews for six items, generating a total of 21 interview records, including 13 audio files and 8 video files. The original files were subsequently converted into text files and refined. An extraction process was then carried out by three researchers working in a back-to-back manner, followed by a group discussion. With the key content fully extracted, the role of each participant in the innovative achievements was clarified, as was the process of knowledge flow and interaction between them.
Based on the thorough organization and analysis of data, the research team invited experts in engineering innovation and participants with innovative practical experience to participate in multiple rounds of focus group discussions. Considering the geographical distribution of participants, discussions were conducted both online and offline, lasting 1–2 h for each meeting. In these discussions, participants compared aspects such as the knowledge quotient of innovation agents, project context, value of innovative achievements, relationships between innovation agents, social and industry landscapes, etc., related to these six innovative achievements. The results of these discussions and comparisons can provide information for parameter determination in the modeling process.
3.2. Conceptual Model Development
Drawing upon the concept of innovation capability, this study develops a conceptual model for the emergence of contractor innovation capability in response to the characteristics of demand-oriented construction project innovation. To integrate existing research, the knowledge transfer framework introduced by Easterby-Smith and Lyles is referenced [29]. The finalized conceptual model is illustrated in Figure 2.
Figure 2.
Conceptual model of the innovation capability emergence of contractor.
The conceptual model mainly consists of innovation demand, knowledge sources, contractors, transfer scenarios and knowledge distances.
- Innovation Demand
Innovation at the construction project level is primarily driven by on-site problem-solving [39]. This includes addressing the specific requirements of customers as well as managing the inherent complexity of the project. The demand for innovation arising from engineering practice serves as a catalyst for contractors to seek external knowledge, in order to enrich their understanding and address problems.
- Knowledge Sources
Based on this classification, in the context of construction project innovation, knowledge sources are categorized into two groups: public knowledge, accessible through public channels, and innovation participants who acquire professional knowledge through synergy. Public knowledge sources primarily emphasize knowledge stock characteristics [37] and knowledge increment [40]. Two-way knowledge transfer is possible. Hence, innovation participants not only transfer knowledge to contractors but also absorb new knowledge in the process. Furthermore, construction projects involve multiple innovation participants, and knowledge transfer occurs hand in hand with the cooperation process [25]. Considering these characteristics, the study examined the knowledge stock, absorptive capability [29], and knowledge delivery capability of innovation participants [25].
- Contractors
The search for external knowledge related to practical problems is a common form of receptor-driven knowledge transfer. The knowledge gap serves as the starting point of knowledge transfer and provides clear guidance. During this process, contractors, as recipients of knowledge transfer, display a strong willingness to learn. However, their capability to transfer external knowledge to their internal operations and integrate it with existing knowledge to foster their own knowledge growth depends on several factors: knowledge stock [27], absorptive capability [41], and integration capability [42].
- Transfer Context
Knowledge transfer should align with organizational culture and social processes, as scenario factors play a crucial role in influencing knowledge transfer [43]. Based on the collected data, the knowledge transfer scenarios among the public environment, innovation participants, and contractors are classified into two categories: social scenarios and project scenarios. Contractors and external knowledge transfer activities are embedded within the social context, encompassing factors like the legal system [28], policies [44], culture [28], and other influences that impact the efficiency of knowledge transfer. The broader social scenarios can be summarized as knowledge search and knowledge transfer costs.
Within the project scenario, a reliable knowledge transfer channel has been established between contractors and innovation participants. However, the efficiency of this transfer is influenced by factors such as organizational synergy, innovation cost, innovation income distribution [45], and other considerations.
- Knowledge Distance
While there is ample evidence to demonstrate that knowledge characteristics, such as implicitness, fuzziness, or complexity, impact knowledge transfer [29], construction projects benefit from extensive communication channels and frequent exchanges during knowledge transfer. During this process, both parties gain better understanding of the knowledge they have acquired, enabling them to overcome obstacles related to tacit knowledge, fuzziness, and other characteristics that may hinder knowledge flow to some extent. However, it is important to consider knowledge distance, which reflects the level of similarity between the knowledge of the source and the recipient [46]. Nevertheless, due to limitations in absorptive capability and existing knowledge stock [47], when there is a significant knowledge distance between the two parties, transforming external knowledge into internal knowledge becomes challenging.
3.3. Selecting the Simulation Method
Drawing from the complex adaptive system theory, the innovation capability of contractors in projects arises as an emergent phenomenon from their interactions with other innovation actors within specific scenarios. Exploring the underlying micro-processes allows for a clearer understanding of the development process of this capability. The agent-based modeling method (ABM) combines the modeling and simulation of basic elements and interactions within complex systems, thereby integrating microscopic behaviors with macroscopic “emergence” phenomena. ABM is an effective modeling method that integrates top-down analysis and bottom-up synthesis, making it highly valuable in studying complex adaptive systems [48].
NetLogo 6.3.0 is a multi-agent programmable modeling software that can be used to study the interaction between multiple heterogeneous agents and the phenomenon of their interaction over time. In research on simulation modeling based on agent-based modeling (ABM), NetLogo is widely used in fields such as virus propagation [49] and project management [50], among others. Based on a review of the relevant literature, the agent-based modeling (ABM) method and NetLogo simulation platform are selected to simulate the emergence process of the contractor’s innovation capability in the project.
4. Description of Innovation Capability Emergence Model
To elucidate the emergence of innovation capability, by examining the innovation process of construction projects, a simulation model was constructed utilizing the wolf sheep predation model from NetLogo. The wolf–sheep model describes the interaction between the two populations of wolves and goats in a shared living environment. Using this model for reference, the interaction between contractors and other participants in the innovation process can be described through reasonable parameter settings. The model description section comprises (1) research assumptions, (2) operational processes, (3) model parameter settings, and (4) design of behavioral and interaction strategies.
4.1. Research Assumptions
Assumption 1.
The emergence of contractors’ innovative capability is considered solely in the context of project-level interactions between the contractor, the environment, and other participants engaged in innovation.
Assumption 2.
The information from public knowledge sources is distributed throughout the model’s environment and positively impacts growth.
Assumption 3.
Distinct types and levels of innovation necessitate varied knowledge reserves, demonstrating unique costs and benefits. In line with the research focus, these variations are not exhaustively examined within the model but are assumed to be consistent.
Assumption 4.
Varied types and levels of innovation involve specific knowledge distance requirements for effective knowledge transfer. Due to the simulation focus, these differences will not be extensively addressed and are assumed to remain consistent. Their determination during the subsequent simulation process will be based on the actual context.
4.2. Operational Processes
Based on the innovative process and model entity behavior in construction engineering, we have designed a simulation model operational workflow, as illustrated in Figure 3.
Figure 3.
Simulation operation flowchart.
Step 1: In contrast to other industries, innovation in construction engineering heavily depends on specific project requirements. When an innovation demand arises during the construction phase, contractor, as responsible entities, actively participate in innovation activities.
Step 2: Innovation activities involve a process of converting and applying knowledge, where innovation demands elicit knowledge requirements. If contractors’ knowledge reserves surpass the knowledge threshold, they can directly engage in innovation activities and produce innovative outcomes. However, if their knowledge falls short of the knowledge threshold, it results in a knowledge gap.
Step 3: When faced with a knowledge gap, contractors direct their actions toward innovation demands and pursue external search activities to acquire knowledge from external sources.
Step 4: When contractors engage in knowledge transfer through synergy with other innovation entities, it is essential to evaluate whether the knowledge distance between them is within an acceptable range.
Step 5: Contractors assimilate external knowledge and integrate it with their existing knowledge. Once the knowledge gap is bridged, they can then proceed with their innovation activities.
4.3. Model Parameter Settings
The system environment variables and innovation process variables have been defined separately, in accordance with the simulation operational workflow. The determination of variable ranges has been achieved through a combination of case analysis and focused group discussions. Table 1 and Table 2, respectively, provide the definitions and descriptions of the relevant variables.
Table 1.
Definition and description of main variables of the system environment.
Table 2.
Definition and description of main variables of the innovative process.
In the context of innovation in construction projects, contractors responsible for undertaking innovation tasks often possess substantial knowledge reserves in the field, alongside corresponding innovation capabilities. Hence, in the model setup, a wolf is assigned a high initial value for both knowledge and strength. To incorporate heterogeneity among sheep and patches, variables including P_knowledge, Strength_value, Initial_knowledge, Strength_produce, and Absorb_value are initialized by sampling from randomized distributions.
Based on the model variables and research assumptions mentioned above, the computational experiment model interface is constructed/developed as shown in Figure 4, with the initial default values of each parameter.
Figure 4.
Computational experiment model interface.
The Setup command is utilized to establish or reset the simulation environment. The Go command executes the simulation model and captures system output. Manipulate the slider to create various combinations of parameters, thereby simulating diverse scenarios of construction project innovation. After iterating the model 200 times, the output of the model corresponds to the count of sheep, and innovative achievements.
4.4. Behavior and Interaction Strategy Design
Contractors and other participants are endowed with two distinct attributes, knowledge (k1) and capability (k2), respectively. Based on the actions of these entities in construction project innovation, specific behavior and interaction strategies have been devised to facilitate the simulation process.
- (1)
- Contractor Behavior Strategy.
Behavior 1: Search for public knowledge. The amount of knowledge that contractors obtain from the public space is represented as
The change in strength is represented as
Behavior 2: Exchange knowledge with other participating (osheep). The knowledge change values for both parties are represented as
where:
—the impact of innovation demand on the contractor’s knowledge transfer;
—The impact of organizational synergy on knowledge transfer;
—The Impact of innovation demands on knowledge transfer among exchangers;
—The impact of organizational synergy on knowledge transfer among exchangers.
The change in strength for both parties is represented as
where:
—The impact of innovation demand on contractor transfer costs;
—The impact of organizational synergy on contractor transfer costs;
—The impact of innovation demand on the transfer cost of exchangers;
—The impact of organizational synergy on the transfer cost of exchangers.
Behavior 3: Innovation. The change in knowledge and strength of contractors through innovation is expressed as
where:
—The capability of contractors to integrate knowledge;
—Ratio of innovation benefit distribution;
—Ratio of innovation cost sharing;
—Innovation knowledge threshold.
Behavior 4: Death. When the contractor’s strength is exhausted and withdraws from innovative activities, it is considered death.
- (2)
- Behavior Strategies of Other Participating.
Behavior 1: Search for public knowledge. The amount of knowledge that other innovation subjects obtain from the public space is represented as
The change in strength is represented as
Behavior 2: The knowledge exchange with contractors is expressed as formula (4), and the knowledge exchange with other participating is expressed as
where:
—The influence of innovation demand on knowledge transfer in ;
—The influence of organizational synergy on knowledge transfer in ;
—The influence of innovation demand on knowledge transfer in ;
—The influence of organizational synergy on knowledge transfer in .
Behavior 3: Strength growth. The strength of other participants increases at an uncertain growth rate, which is expressed as Formula (13). The strength growth obtained through innovation income is expressed as Formula (14).
Behavior 4: Death. When contractors withdraw, innovation activities cease, and other participants also withdraw, indicating death. When contractors continue with innovation activities, but other entities exhaust their strength, they withdraw from innovation, also representing death.
4.5. Model Validation
ABM does not offer a succinct depiction of a given explanation. Rather, it serves as a conceptual experiment elucidating interactions among individual actors [51,52]. ABM places greater emphasis on data related to relational categories as opposed to mere state categories. This distinction underscores the complexity of ABM validation compared to aggregation models that expound intricate phenomena through equations and a limited set of variables. Fioretti posits that despite being a simplified emulation of reality, a model’s validation can be achieved by successfully encapsulating fundamental proper-ties of the actual phenomenon [52]. In accordance with this perspective, the validation of ABM adheres to the principles outlined by Rand and Rust [53].
In terms of program testing, unit testing and code drills were performed to ensure the accurate representation of input and output for each module, as well as the logical functioning of the model for conceptual experiments. Specific scenarios were generated and the model was executed to verify expected behavior. For example, the model was tested under the following scenarios: (1) when there is no demand for innovation in the project, there are fewer innovative achievements; (2) innovation achievements significantly increase with the support of external knowledge transfer; (3) innovation capability is a comprehensive skill. The model executed as expected under various scenarios, which provided some validation.
Additionally, comparing the model’s operational results with actual circumstances is an important validation method [53]. The research group selected several innovation scenarios from typical engineering cases, determined variable parameters with entities, and compared output results with actual evaluation results. Despite potential biases, it is noteworthy that the model offers a simplified replication of reality. Given the intricacies of the interaction model and limitations on validation stemming from the absence of relational data, the model’s validation hinged upon unanimous acknowledgment of its interpretation by innovation participants [52].
5. Results and Discussion
The netlogo comes with a large number of models, and the wolf sheep model, as a model for describing dual types of agents, has a high degree of flexibility. Based on the wolf sheep model, the study set the contractor as a wolf, and other participants as sheep. At the same time, public knowledge was defined as a grassland. The interaction process between the contractor and other participants, the two heterogeneous entities, was simulated. Based on simulation results, we explore the impact of the main factors on innovation capability.
5.1. Impact of Innovation Demand
By keeping the values of other variables constant, maintaining the initial default values, and specifying the requirements for innovation, the results are depicted in Figure 5. Given innovation demands, contractors demonstrate a substantial increase in innovative outcomes, while also attracting other entities to engage jointly in innovation. However, without innovation demands, contractors can still produce a limited number of innovative outcomes and their investment costs for innovation escalate, leading to the halting of innovation by contractors due to resource exhaustion.
Figure 5.
The impact of innovation demand on innovation capability. (a) Innovation demand = OFF; (b) innovation demand = ON.
The discrepancies in the simulation results may stem from the following reasons.
(1) When the innovation demand attribute is ON, contractors receive greater support from owners and leaders for innovation endeavors. This provides contractors more resources. It helps mitigate costs of knowledge acquisition and innovation. Further, it facilitates greater profits through innovation. Thus, with an innovation demand, contractors have increased impetus to actively pursue innovation, displaying robust innovation capabilities.
(2) Conversely, an OFF innovation demand attribute indicates no project acceptance of innovation. This resistance deters enthusiasm for innovation among personnel. Contractors are then disadvantaged in obtaining innovation resources and benefits. Hence, when project innovation demand is unclear, curbing innovation is a prudent contractor strategy choice for contractors, while also keeping the contractors’ innovation capabilities at a lower level.
These findings align with existing research outcomes [9,39]. The contrasting innovation demand highlights the demand-driven nature of innovation in construction engineering, which entails aligning innovation activities to project demand to provide comprehensive solutions [54].
5.2. Impact of Innovation Environment
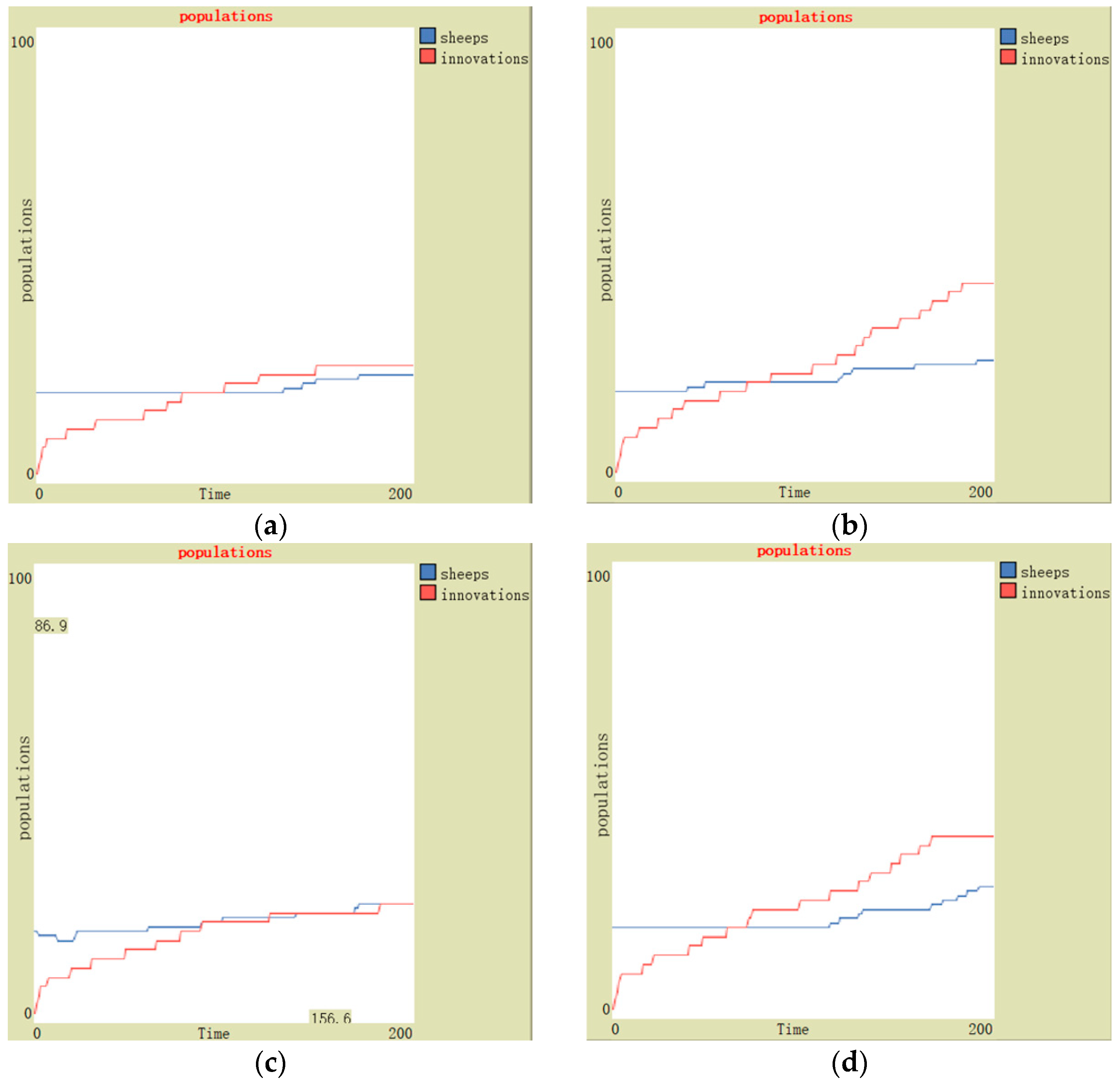
Configure the innovate demand attribute as “on”, set the participation count of other entities in innovation to 20, and assign a value of 0.2 to Strength produce. Keep the default values for the remaining variables in the innovation process. By adjusting the innovation environment variable (Table 3), examine the impact of the innovation environment on the contractor’s innovation capability in the project. The combination a portrays a setting where the overall innovation environment is considerably challenging. The combination b portrays a setting where the overall innovation environment is relatively friendly. The combination c portrays a setting where the P_knowledge is relatively limited and the Knowledge_produce is low, but the Strength_value and Initial_knowledge are relatively abundant. The combination d portrays a setting where the P_knowledge is relatively abundant and the Knowledge_produce is low, but the Strength_value and Initial_knowledge are relatively limited. Compare the outcomes across different combinations of the variables, as shown in Figure 6.
Table 3.
Combination of environmental variables.
Figure 6.
Impact of innovation environment on innovation capability. (a) Combination a; (b) combination b; (c) combination c; (d) combination d.
Compared to Figure 6a,c, increasing P_knowledge and Strength_value yielded no significant difference in innovation achievements within 200 iterations, only a minor speed advantage. Similarly, compared to Figure 6b,d, lowering Initial_knowledge and Strength_value moderately decreased innovations, though narrowly confined. A comprehensive comparison across the four figures reveals the contractor’s innovation capability is notably influenced by two parameters in the innovation environment: P_knowledge and Knowledge_produce.
Inconsistent with existing research [55,56], the study shows that higher initial knowledge may not necessarily promote the improvement of contractors’ innovation capability. This may be closely related to the demand-oriented nature of construction innovation. On the other hand, higher public knowledge and higher knowledge productivity can better promote the innovation capability of contractors. This is consistent with the existing research findings to some extent [57,58]. In an innovation environment with shared knowledge, contractors access more knowledge cost-effectively to enable innovation. The uniqueness of construction projects requires that existing knowledge be combined with project-specific conditions to achieve innovation. This provides useful reference for contractors to rationally select partners.
5.3. Impact of Contractor’s Absorption and Knowledge Integration Capabilities
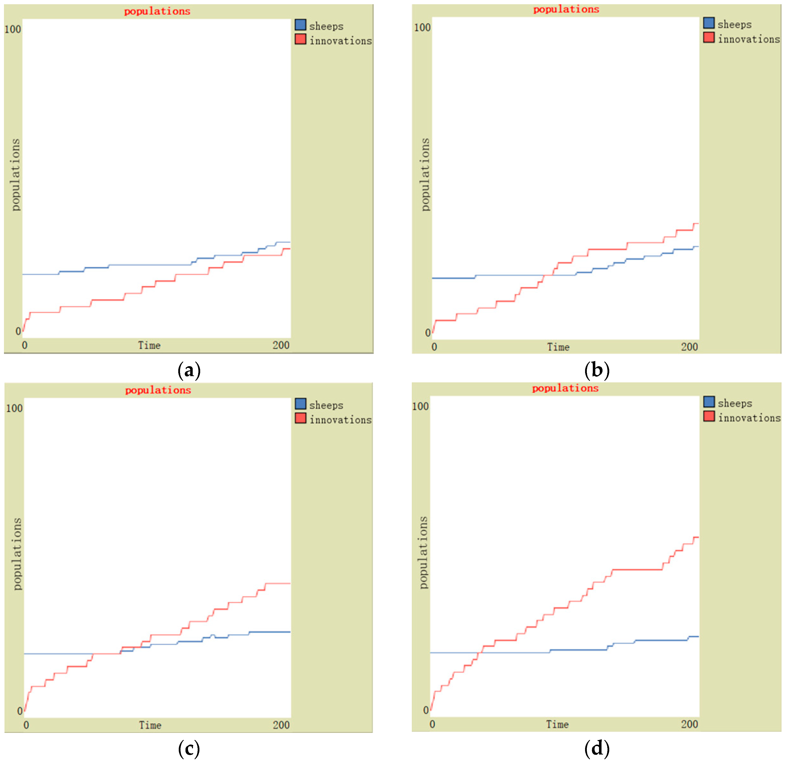
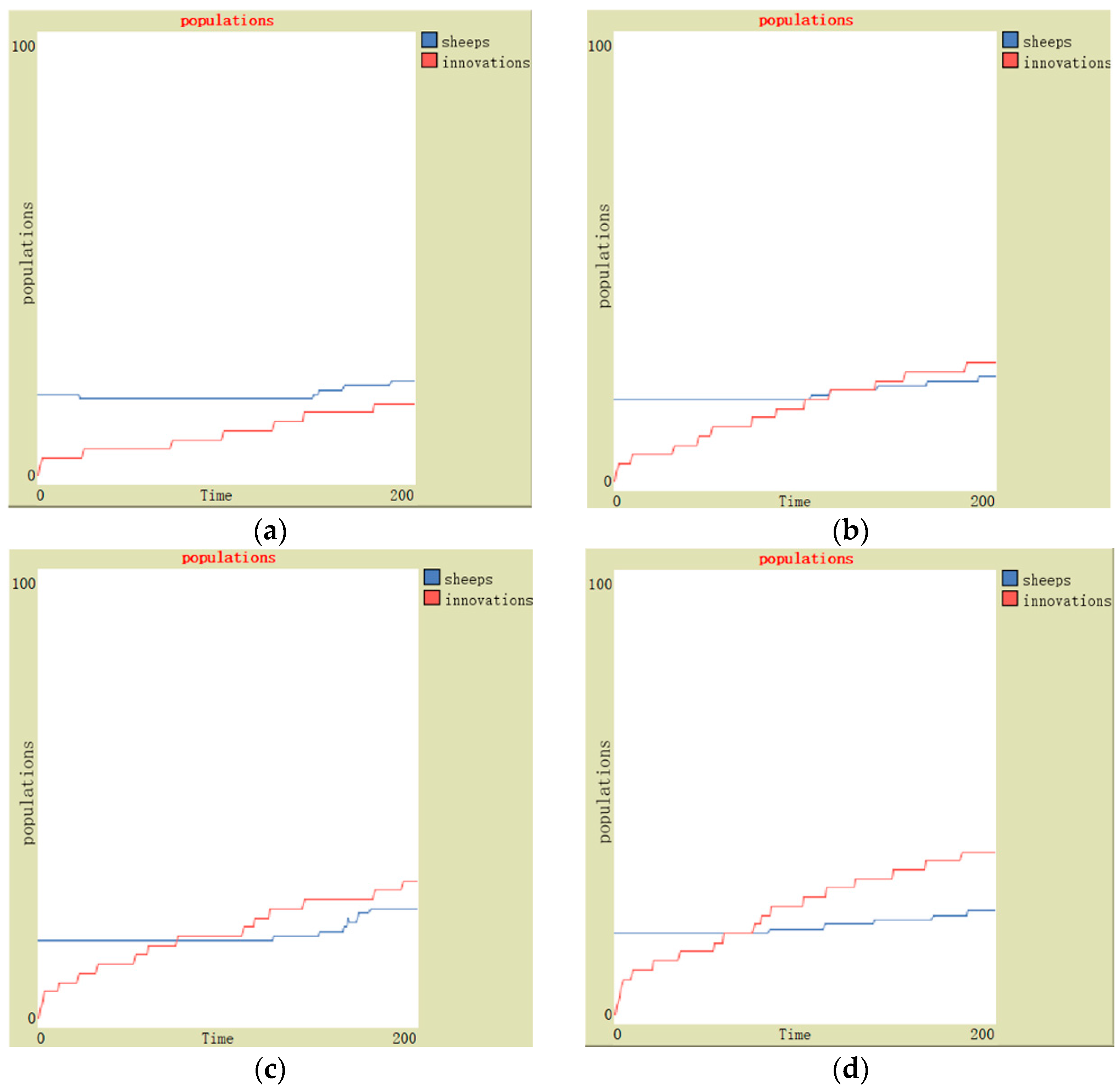
Configure innovate_demand as on, the initial number of other innovation entities as 20, and Strength_produce as 0.2. The innovation environment is characterized by four parameters: P_knowledge, Initial_knowledge, Strength_value, and Knowledge_produce. The higher levels of these parameters are configured as 8, 40, 180, and 0.4, respectively, whereas the lower levels are set to 5, 20, 150, and 0.2, respectively. All other variables remain default. Vary the abilities for knowledge absorption and integration (Table 4) to explore their influence on contractor innovation capability, with other factors constant.
Table 4.
Capability parameter combination.
A comprehensive comparison between Figure 7 and Figure 8 reveals that both the capability to absorb knowledge and the capability to integrate knowledge significantly impact the output of innovative achievements. This is consistent with existing research results [42,59,60]. In the process of knowledge transfer, absorptive capability is a key factor that affects the effective acquisition of external knowledge by knowledge recipients [61], and integration capability facilitates the application of acquired knowledge to technological or product innovation [42]. Therefore, the improvement of these two capabilities will inevitably promote the innovation capability of contractors.
Figure 7.
Impact of knowledge absorption and integration capability on innovation capability (high-level innovation environment). (a) Combination a; (b) combination b; (c) combination c; (d) combination d.
Figure 8.
Impact of knowledge absorption and integration capability on innovation capability (low-level innovation environment). (a) Combination a; (b) combination b; (c) combination c; (d) combination d.
Existing literature has delved into the relationship between absorptive capability and integration capability [62]. Nevertheless, there is limited discourse on how these two factors, when combined differently, impact innovation capability in diverse settings. Compared to the Figure 7b,c and Figure 8b,c, the growth rate of innovation achievements is evidently slower when absorption capability is high and integration capability is low, particularly during the early stage. When overall capability is limited, contractors struggle to quickly apply acquired knowledge to solve practical engineering problems, leading to a greater need to access external knowledge. Although enhancing knowledge absorption capability enables contractors to acquire additional knowledge from public sources and other innovation participants to support innovation, the cost of knowledge transfer in such an environment is clearly higher. This increases the cost challenges facing contractors in relation to innovation, casting doubt on its sustainability.
Innovations achieved in a high-level innovation environment, despite having low absorptive capability, can still hold significant advantages when combined with high integration capability. A high-level innovation environment offers a more convenient means of acquiring knowledge, partially compensating for the issue of weak knowledge absorption capability. Consequently, varying levels of innovation environments exhibit distinct outcomes in terms of innovation results when comparing low absorption capability and high integration capability.
By enhancing these two capabilities simultaneously, the growth of innovative achievements is evident; however, it should be noted that a low-level innovation environment has a strong inhibitory effect on the performance of these capabilities. In such an environment, the initial knowledge reserve of contractors is the primary support for achieving innovation.
5.4. The Impact of Organizational Synergy
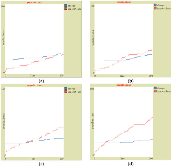
Set innovation environment parameters to default values. Configure two combinations with knowledge absorption capability and integration capability at 0.6 and 0.4, respectively. Vary the degree of organizational synergy and evaluate its impact on contractor innovation capability, keeping all other factors constant, the results are depicted in Figure 9 and Figure 10.
Figure 9.
The impact of organizational synergy on innovation capability (high-level capabilities). (a) The 0.6 degree of capabilities; (b) the 0.4 degree of capabilities.
Figure 10.
The impact of organizational synergy on innovation capability (low-level capabilities). (a) The 0.6 degree of capabilities; (b) the 0.4 degree of capabilities.
There is inconsistency in existing research results regarding the impact of synergy on innovation. For example, some studies support its positive effect on innovation [63], while others believe that the effect between the two is not significant [64]. This inconsistency is also reflected in the simulation results. As shown in Figure 10, although organizational synergy impacts innovation capability, its influence varies substantially across contexts. With high absorption and integration capabilities, raising synergy from 0.4 to 0.6 markedly quickens the growth of innovations, nearly doubling achievements. However, with low capabilities, different synergy levels showed negligible differences in innovation achievements. The role of organizational synergy in innovation is mediated by the capabilities to absorb and integrate knowledge, which is consistent with the research of Najafi Tavani and his colleagues [23]. Enhanced synergy can somewhat decrease knowledge exchange costs and improve transfer efficiency. Yet, its effectiveness depends on absorption and integration capabilities. The benefits of organizational synergy become evident only when both capabilities are high.
6. Conclusions
This study adopts agent-based modeling and complexity theory to examine construction innovation, simulating contractor innovation capability development at the project level. Before collaborative innovation, contractors should evaluate partners based on knowledge storage and creation strengths, ensuring adequate knowledge support, fostering a conducive environment for innovation. Collaborative innovation may not foster innovation when contractor absorption and integration capabilities are limited. As innovation leaders, contractors’ distinctive capabilities underpin project-level innovation. Thus, contractors should prioritize enhancing knowledge absorption and integration capabilities first. Subsequently, the efficiency of cross-organizational knowledge transfer and use can be increased through collaborative management between entities. By applying complex system theory, contractors gain a framework to effectively strengthen innovation capabilities within temporary projects.
This study contributes to the literature on construction innovation through several novel perspectives. First, it investigates contractor innovation capability within temporary cross-organizational projects. Although innovation capabilities have received substantial attention, the investigation of innovation capabilities in the context of cross-organizational projects has been limited. Given contractors’ pivotal role in project implementation, this study hones in on their innovation capabilities at the project level, delving into the mechanisms governing their development processes within projects. This research enriches understanding of innovation capability development in cross-organizational projects, advancing knowledge on construction project management and innovation management.
Second, this study utilizes Agent-Based Modeling to analyze contractor innovation capability, diverging from prevalent qualitative or quantitative approaches focused on static factor relationships. The simulation of a dynamic development mechanism of innovation capability provides new insights.
Finally, this study enhances comprehension of innovation capabilities in cross-organizational projects. Simulation results reveal that within China’s favorable innovation climate, (1) contractor knowledge absorption and integration are fundamental to innovation prowess, (2) other participants should be selected based on knowledge accumulation and growth, and (3) synergy management supports innovation only when contractor capabilities reach sufficient levels.
However, this study has limitations that suggest future research directions. First, contractor innovation capability was measured only by innovation achievements, although construction goal attainment is also a major indicator. Future research could assess capability using more comprehensive standards based on quantitative studies linking innovation to construction goals. Secondly, the construction industry exhibits diverse levels and types of innovation, including overall product innovation, single-technology innovation, and technological organization innovation, due to variations in project characteristics. Additionally, when designing model behavior strategies, the quantitative relationships of relevant parameters are established through a comprehensive integration of existing research findings and consultation with experts in the field. Further verification and refinement of the quantitative relationships are needed to improve the accuracy and reliability of the model. Finally, although multiple methods are used in the study to identify the interactions between contractors and other participants and quantify model variables, due to the uniqueness of the project, it is difficult to accurately quantify these interactions and variables, which may lead to some degree of error in the research results.
Author Contributions
Conceptualization, J.F. and J.T.; methodology, J.F., J.T., B.L. and Q.W.; software, J.F. and B.L.; validation, J.T. and Q.W.; formal analysis, J.F., J.T., B.L. and Q.W.; investigation, J.F., J.T., B.L. and Q.W.; writing—original draft preparation, J.F., J.T. and B.L.; writing—review and editing, J.F., J.T. and Q.W.; visualization, J.F.; supervision, Q.W.; project administration, J.F. and J.T. All authors have read and agreed to the published version of the manuscript.
Funding
This research was funded by National Natural Science Fund of China, grant number 72171237; Scientific Research Plan Project of Hunan Provincial Education Department, grant number 21B0656; the Doctoral Research Initiation Fund of Hunan Institute of Engineering, grant number 21026 and the Construct Program of Applied Specialty Disciplines in Hunan Province (Hunan Institute of Engineering).
Data Availability Statement
Data are contained within the article.
Conflicts of Interest
The authors declare no conflict of interest.
References
- Blayse, A.M.; Manley, K. Key influences on construction innovation. Constr. Innov. 2004, 4, 143–154. [Google Scholar] [CrossRef]
- Xue, X.; Zhang, R.; Yang, R.; Dai, J. Innovation in construction: A critical review and future research. Int. J. Innov. Sci. 2014, 6, 111–126. [Google Scholar] [CrossRef]
- Laforet, S. A framework of organisational innovation and outcomes in SMEs. Int. J. Entrep. Behav. Res. 2011, 17, 380–408. [Google Scholar] [CrossRef]
- Rajapathirana, R.J.; Hui, Y. Relationship between innovation capability, innovation type, and firm performance. J. Innov. Knowl. 2018, 3, 44–55. [Google Scholar] [CrossRef]
- Pimentel, M.; Arantes, A.; Cruz, C.O. Barriers to the adoption of reverse logistics in the construction industry: A combined ISM and MICMAC approach. Sustainability 2022, 14, 15786. [Google Scholar] [CrossRef]
- Ribeiro, A.M.; Arantes, A.; Cruz, C.O. Barriers to the adoption of modular construction in Portugal: An interpretive structural modeling approach. Buildings 2022, 12, 1509. [Google Scholar] [CrossRef]
- Pedrosa, M.; Arantes, A.; Cruz, C.O. Barriers to Adopting Lean Methodology in the Portuguese Construction Industry. Buildings 2023, 13, 2047. [Google Scholar] [CrossRef]
- Sandberg, B.; Aarikka-Stenroos, L. What makes it so difficult? A systematic review on barriers to radical innovation. Ind. Mark. Manag. 2014, 43, 1293–1305. [Google Scholar] [CrossRef]
- Ozorhon, B. Analysis of construction innovation process at project level. J. Manag. Eng. 2013, 29, 455–463. [Google Scholar] [CrossRef]
- Grant, R.M. Toward a knowledge-based theory of the firm. Strateg. Manag. J. 1996, 17, 109–122. [Google Scholar] [CrossRef]
- Weber, B.; Heidenreich, S. When and with whom to cooperate? Investigating effects of cooperation stage and type on innovation capabilities and success. Long Range Plan. 2018, 51, 334–350. [Google Scholar] [CrossRef]
- OECD. OSLO Manual: Guidelines for Collecting and Interpreting Innovation Data, 3rd ed.; OECD Publishing: Paris, France, 2005. [Google Scholar]
- Sen, F.K.; Egelhoff, W.G. Innovative capabilities of a firm and the use of technical alliances. IEEE Trans. Eng. Manag. 2000, 47, 174–183. [Google Scholar] [CrossRef]
- Leonard Barton, D. Core capabilities and core rigidities: A paradox in managing new product development. Strateg. Manag. J. 1992, 13, 111–125. [Google Scholar] [CrossRef]
- Yam, R.C.; Guan, J.C.; Pun, K.F.; Tang, E.P. An audit of technological innovation capabilities in Chinese firms: Some empirical findings in Beijing, China. Res. Policy 2004, 33, 1123–1140. [Google Scholar] [CrossRef]
- Mathews, J.A. Competitive advantages of the latecomer firm: A resource-based account of industrial catch-up strategies. Asia Pac. J. Manag. 2002, 19, 467–488. [Google Scholar] [CrossRef]
- Fitz Koch, S.; Nordqvist, M. The reciprocal relationship of innovation capabilities and socioemotional wealth in a family firm. J. Small Bus. Manag. 2017, 55, 547–570. [Google Scholar] [CrossRef]
- Boly, V.; Morel, L.; Camargo, M. Evaluating innovative processes in french firms: Methodological proposition for firm innovation capacity evaluation. Res. Policy 2014, 43, 608–622. [Google Scholar] [CrossRef]
- Valaei, N.; Rezaei, S.; Emami, M. Impact of exploitative learning strategy on Malaysian SMEs’ creativity and innovation capabilities. Int. J. Manag. Enterp. Dev. 2016, 15, 328–354. [Google Scholar] [CrossRef]
- Saunila, M.; Ukko, J. Intangible aspects of innovation capability in SMEs: Impacts of size and industry. J. Eng. Technol. Manag. 2014, 33, 32–46. [Google Scholar] [CrossRef]
- Chang, W.; Liao, S.; Wu, T. Relationships among organizational culture, knowledge sharing, and innovation capability: A case of the automobile industry in Taiwan. Knowl. Manag. Res. Pract. 2017, 15, 471–490. [Google Scholar] [CrossRef]
- Saunila, M. Innovation capability in SMEs: A systematic review of the literature. J. Innov. Knowl. 2020, 5, 260–265. [Google Scholar] [CrossRef]
- Najafi-Tavani, S.; Najafi-Tavani, Z.; Naudé, P.; Oghazi, P.; Zeynaloo, E. How collaborative innovation networks affect new product performance: Product innovation capability, process innovation capability, and absorptive capacity. Ind. Mark. Manag. 2018, 73, 193–205. [Google Scholar] [CrossRef]
- Bresman, H.; Birkinshaw, J.; Nobel, R. Knowledge transfer in international acquisitions. J. Int. Bus. Stud. 1999, 30, 439–462. [Google Scholar] [CrossRef]
- Sun, J.; Ren, X.; Anumba, C.J. Analysis of knowledge-transfer mechanisms in construction project cooperation networks. J. Manag. Eng. 2019, 35, 4018061. [Google Scholar] [CrossRef]
- Simonin, B.L. Transfer of marketing know-how in international strategic alliances: An empirical investigation of the role and antecedents of knowledge ambiguity. J. Int. Bus. Stud. 1999, 30, 463–490. [Google Scholar] [CrossRef]
- Bacon, E.; Williams, M.D.; Davies, G.H. Recipes for success: Conditions for knowledge transfer across open innovation ecosystems. Int. J. Inf. Manag. 2019, 49, 377–387. [Google Scholar] [CrossRef]
- Gaur, A.S.; Ma, H.; Ge, B. MNC strategy, knowledge transfer context, and knowledge flow in MNEs. J. Knowl. Manag. 2019, 23, 1885–1900. [Google Scholar] [CrossRef]
- Easterby Smith, M.; Lyles, M.A.; Tsang, E.W. Inter-organizational knowledge transfer: Current themes and future prospects. J. Manag. Stud. 2008, 45, 677–690. [Google Scholar] [CrossRef]
- Szulanski, G. Intra-firm transfer of best practice, appropriative capabilities, and organizational barriers to appropriations. Acad. Manag. Best Pap. Proc. 1993, 1, 47–51. [Google Scholar] [CrossRef]
- Carrillo, P.; Chinowsky, P. Exploiting knowledge management: The engineering and construction perspective. J. Manag. Eng. 2006, 22, 2–10. [Google Scholar] [CrossRef]
- Pemsel, S.; Müller, R. The governance of knowledge in project-based organizations. Int. J. Proj. Manag. 2012, 30, 865–876. [Google Scholar] [CrossRef]
- Wei, Y.; Miraglia, S. Organizational culture and knowledge transfer in project-based organizations: Theoretical insights from a Chinese construction firm. Int. J. Proj. Manag. 2017, 35, 571–585. [Google Scholar] [CrossRef]
- Ren, X.; Deng, X.; Liang, L. Knowledge transfer between projects within project-based organizations: The project nature perspective. J. Knowl. Manag. 2018, 22, 1082–1103. [Google Scholar] [CrossRef]
- Davies, A.; MacAulay, S.; DeBarro, T.; Thurston, M. Making innovation happen in a megaproject: London’s crossrail suburban railway system. Proj. Manag. J. 2014, 45, 25–37. [Google Scholar] [CrossRef]
- Bellini, A.; Aarseth, W.; Hosseini, A. Effective knowledge transfer in successful partnering projects. Energy Procedia 2016, 96, 218–228. [Google Scholar] [CrossRef][Green Version]
- Liu, H.; Yu, Y.; Sun, Y.; Yan, X. A system dynamic approach for simulation of a knowledge transfer model of heterogeneous senders in mega project innovation. Eng. Constr. Archit. Manag. 2021, 28, 681–705. [Google Scholar] [CrossRef]
- Zhou, Q.; Chen, S.; Deng, X.; Mahmoudi, A. Knowledge transfer among members within cross-cultural teams of international construction projects. Eng. Constr. Archit. Manag. 2023, 30, 1787–1808. [Google Scholar] [CrossRef]
- Ozorhon, B.; Oral, K. Drivers of innovation in construction projects. J. Constr. Eng. Manag. 2017, 143, 4016118. [Google Scholar] [CrossRef]
- Forés, B.; Camisón, C. Does incremental and radical innovation performance depend on different types of knowledge accumulation capabilities and organizational size? J. Bus. Res. 2016, 69, 831–848. [Google Scholar] [CrossRef]
- Cohen, W.M.; Levinthal, D.A. Absorptive capacity: A new perspective on learning and innovation. Adm. Sci. Q. 1990, 35, 128–152. [Google Scholar] [CrossRef]
- Wang, M.; Chen, P.; Fang, S. A critical view of knowledge networks and innovation performance: The mediation role of firms’ knowledge integration capability. J. Bus. Res. 2018, 88, 222–233. [Google Scholar] [CrossRef]
- Brachos, D.; Kostopoulos, K.; Eric Soderquist, K.; Prastacos, G. Knowledge effectiveness, social context and innovation. J. Knowl. Manag. 2007, 11, 31–44. [Google Scholar] [CrossRef]
- Lee, C.; Lee, J.; Gaur, A.S. Are large business groups conducive to industry innovation? The moderating role of technological appropriability. Asia Pac. J. Manag. 2017, 34, 313–337. [Google Scholar] [CrossRef]
- Joia, L.A.; Lemos, B. Relevant factors for tacit knowledge transfer within organisations. J. Knowl. Manag. 2010, 14, 410–427. [Google Scholar] [CrossRef]
- Cummings, J.L.; Teng, B. Transferring R&D knowledge: The key factors affecting knowledge transfer success. J. Eng. Technol. Manag. 2003, 20, 39–68. [Google Scholar]
- Capaldo, A.; Lavie, D.; Messeni Petruzzelli, A. Knowledge maturity and the scientific value of innovations: The roles of knowledge distance and adoption. J. Manag. 2017, 43, 503–533. [Google Scholar] [CrossRef]
- Chen, B.; Cheng, H.H. A review of the applications of agent technology in traffic and transportation systems. IEEE Trans. Intell. Transp. Syst. 2010, 11, 485–497. [Google Scholar] [CrossRef]
- Cuevas, E. An agent-based model to evaluate the COVID-19 transmission risks in facilities. Comput. Biol. Med. 2020, 121, 103827. [Google Scholar] [CrossRef]
- Lu, M.; Cheung, C.M.; Li, H.; Hsu, S. Understanding the relationship between safety investment and safety performance of construction projects through agent-based modeling. Accid. Anal. Prev. 2016, 94, 8–17. [Google Scholar] [CrossRef]
- Epstein, J.M. Why model? J. Artif. Soc. Soc. Simul. 2008, 11, 12. [Google Scholar]
- Fioretti, G. Agent-based simulation models in organization science. Organ. Res. Methods 2013, 16, 227–242. [Google Scholar] [CrossRef]
- Rand, W.; Rust, R.T. Agent-based modeling in marketing: Guidelines for rigor. Int. J. Res. Mark. 2011, 28, 181–193. [Google Scholar] [CrossRef]
- Gann, D.M.; Salter, A.J. Innovation in project-based, service-enhanced firms: The construction of complex products and systems. Res. Policy 2000, 29, 955–972. [Google Scholar] [CrossRef]
- Yeşil, S.; Koska, A.; Büyükbeşe, T. Knowledge Sharing Process, Innovation Capability and Innovation Performance: An Empirical Study. Procedia Soc. Behav. Sci. 2013, 75, 217–225. [Google Scholar] [CrossRef]
- Yao, J.; Crupi, A.; Di Minin, A.; Zhang, X. Knowledge sharing and technological innovation capabilities of Chinese software SMEs. J. Knowl. Manag. 2020, 24, 607–634. [Google Scholar] [CrossRef]
- Ganguly, A.; Talukdar, A.; Chatterjee, D. Evaluating the role of social capital, tacit knowledge sharing, knowledge quality and reciprocity in determining innovation capability of an organization. J. Knowl. Manag. 2019, 23, 1105–1135. [Google Scholar] [CrossRef]
- Corral De Zubielqui, G.; Lindsay, N.; Lindsay, W.; Jones, J. Knowledge quality, innovation and firm performance: A study of knowledge transfer in SMEs. Small Bus. Econ. 2019, 53, 145–164. [Google Scholar] [CrossRef]
- Liao, S.; Wu, C.; Hu, D.; Tsui, K. Relationships between knowledge acquisition, absorptive capacity and innovation capability: An empirical study on Taiwan’s financial and manufacturing industries. J. Inf. Sci. 2010, 36, 19–35. [Google Scholar] [CrossRef]
- Xie, X.; Zou, H.; Qi, G. Knowledge absorptive capacity and innovation performance in high-tech companies: A multi-mediating analysis. J. Bus. Res. 2018, 88, 289–297. [Google Scholar] [CrossRef]
- Hurmelinna-Laukkanen, P.; Olander, H.; Blomqvist, K.; Panfilii, V. Orchestrating R&D networks: Absorptive capacity, network stability, and innovation appropriability. Eur. Manag. J. 2012, 30, 552–563. [Google Scholar]
- García-Sánchez, E.; García-Morales, V.J.; Martín-Rojas, R. Analysis of the influence of the environment, stakeholder integration capability, absorptive capacity, and technological skills on organizational performance through corporate entrepreneurship. Int. Entrep. Manag. J. 2018, 14, 345–377. [Google Scholar] [CrossRef]
- de Faria, P.; Lima, F.; Santos, R. Cooperation in innovation activities: The importance of partners. Res. Policy 2010, 39, 1082–1092. [Google Scholar] [CrossRef]
- Belderbos, R.; Carree, M.; Lokshin, B. Cooperative R&D and firm performance. Res. Policy 2004, 33, 1477–1492. [Google Scholar]
Disclaimer/Publisher’s Note: The statements, opinions and data contained in all publications are solely those of the individual author(s) and contributor(s) and not of MDPI and/or the editor(s). MDPI and/or the editor(s) disclaim responsibility for any injury to people or property resulting from any ideas, methods, instructions or products referred to in the content. |
© 2023 by the authors. Licensee MDPI, Basel, Switzerland. This article is an open access article distributed under the terms and conditions of the Creative Commons Attribution (CC BY) license (https://creativecommons.org/licenses/by/4.0/).









