Next Article in Journal
Vibration-Reduction Strategy for High-Rise Braced Frame Using Viscoelastic-Yielding Compounded BRB
Next Article in Special Issue
Toward Immune Buildings: Lessons Learned from the COVID-19 Pandemic and Its Aftermath
Previous Article in Journal
A Grammar-Based Optimization Approach for Designing Urban Fabrics and Locating Amenities for 15-Minute Cities
Previous Article in Special Issue
A Modified Surgical Face Mask to Improve Protection and Wearing Comfort
 
 
Font Type:
Arial Georgia Verdana
Font Size:
Aa Aa Aa
Line Spacing:
Column Width:
Background:
Article

Improving the Effectiveness of Anti-COVID Measures in Buildings: Learning from Users’ Perception

1
Department of Architecture and Arts, Iuav University of Venice, Santa Croce 191, 30135 Venezia, Italy
2
Department of General Psychology, University of Padua, Via Venezia 8, 35121 Padua, Italy
3
Human Inspired Technology (HIT) Research Centre, University of Padua, Via Venezia 12, 35121 Padua, Italy
*
Author to whom correspondence should be addressed.
Buildings 2022, 12(8), 1161; https://doi.org/10.3390/buildings12081161
Submission received: 28 May 2022 / Revised: 11 July 2022 / Accepted: 26 July 2022 / Published: 3 August 2022

Abstract

:
The COVID-19 spread abruptly changed the fruition of indoor environments, where necessary adaptive measures have since been implemented. Buildings open to the public were suddenly equipped with physical devices aiming to encourage users’ appropriate behaviors, such as hand sanitizing, social distancing, and temperature monitoring. Through a twofold architectural-psychological perspective, the paper presents a research aiming to understand how users perceive these devices in the Italian context and to identify the design features that could improve their effectiveness in enhancing individuals’ awareness. With an interdisciplinary approach, four methods were adopted: observational field surveys, background and normative framework analysis, survey research through an online questionnaire, and case studies survey research. The results confirm the overall effectiveness of the implemented anti-COVID strategies, their suitability in encouraging individuals’ appropriate behaviors, and the importance of regulating the users’ flow indoors. The research allowed defining the devices (hand-sanitizing devices and temperature-measurement instruments) and wayfinding systems more suited to be included in the prevention strategy and identified their more appropriate design features in relation to the users’ feedback. Operational suggestions are presented as well. The adopted experimental approach can be useful in supporting decision making in managing of the built environment in both the current and future contexts.

1. Introduction

The COVID-19 pandemic persistence is exposing the vulnerability of urban systems [1] and, in particular, our built environment [2]. Given the share of daily life that most of humans spend indoors [3], the buildings design and construction practices as well as the management of buildings confined spaces are currently put into question.
Although architecture was born as a means for humankind to be safe from hazards, the built environment currently represents a collector of potential transmission vectors for the spread of the SARS-CoV-2 [2,4,5]. Hence, it has an important role to play in supporting public health measures and reducing the risk of infections [6]. Adequate research is therefore needed to investigate the strategies that could mitigate the spread of the epidemic, developing new prevention solutions to reduce the risks of direct exposure between individuals [7,8]. Especially in crowded places, the virus can be transmitted through different means [9], such as airborne pathways—aerosol and droplets—and through both direct and indirect contact with contaminated surfaces, namely fomites, even though this latter kind of transmission seems to have a minor impact on the spread of the virus [5,10]. Therefore, with the pandemic outbreak, the sudden need to manage the shared indoor environments was the most urgent difficulty to address, a concern that mainly involved three strategies:
  • The management of indoor air quality and heating, ventilation, and air conditioning systems (HVAC) through the increase in the air change rates or the introduction of filtering components and purification technologies as a means to reduce the transmission of infectious diseases;
  • The reorganization of functions and activities in public and private buildings on various scales: from managing communal areas in multiusers complexes and workplaces, to arranging hotels guaranteeing isolation during quarantine, to completely revolutionize healthcare facilities [9,11,12];
  • Encouraging proper behaviors in the users of public and private buildings open to the public through fostering sanitizing practices and regulating their flows inside buildings, especially in activities potentially subject to crowding, such as supermarkets, shopping centers, restaurants, and cultural or leisure facilities.
Due to the indoor prevalent airborne transmission [5,10,13], many of the adaptive measures in buildings focused on air quality and HVAC improvements [9,14,15], and the most significant updates in design requirements have been an increase in natural ventilation and air-change rates in crowded or communal rooms [16]. However, other than engineering control, less-analyzed transmission pathways, such as fomites, should also be considered and addressed to reduce the virus spreading [4], as a single strategy or implementation might not be enough to reduce the exposure to the virus [17]. Such investigation would require a multidisciplinary approach [6], fostering systemic studies on the COVID-19 response in the built environment [8].
In fact, the disruptive changes brought in by the alternative management of indoor environments altered our everyday patterns and activities [18]. Social distancing and the regulation of flows also turned into common prevention measures to avoid crowding [19], a circumstance that can raise SARS-CoV-2 transmission risk by increasing interpersonal contact frequency and duration [2]. In this context, balancing the need for control measures and the open-access design concept appears essential [7], and the use of procedures and administrative controls can contribute to a safer building environment [8]. Social distancing, which requires clear and consistent communication [20], can be considered a design issue [15], and the spatial configuration of buildings plays a major role in encouraging or discouraging adherence to new interaction policies due to the pandemic [4]. Hence, in the pandemic context, spatial design—meant as a conceptual design approach accounting for both the interior and service designs—can also improve indoor air quality by managing people’s flows in interiors [9]. In this sense, the future design practice will somehow need to reduce close person-to-person contacts in a risky indoor environment by facilitating behavioral changes and adherence to protocols [1,14] while considering social identity as well [19]. In this perspective, architectural spaces should be conceptualized and developed with clear goals [7]. As the contemporary built environment requires adaptive measures to confront the current health necessities, design strategies aiming to plan circulation routes and allowing the efficient displacement of the users’ flows reduce exposure to the virus and provide advantages in ensuring regular indoor activities as well [16].
As both actors and beneficiaries, users play a key role in planning anti-COVID strategies. Their decisions are deeply influenced by the perceived risk [21,22], and as a health emergency, the pandemic is connected to considerable psychosocial consequences [23] affecting individual behaviors.
In these circumstances, mitigation and prevention strategies are only successful if users are committed to follow health protocols [24]. Therefore, research on implementing anti-COVID-19 safety measures would also benefit from the users’ feedback to assess and improve the effectiveness of the implemented measures [19,25]. Previous studies already adopted this approach. For example, Stirapongsasuti and colleagues [26] focused on improving hand hygiene habits in private organizations, developing hand-sanitizer systems that respond to the user’s behavior. Another research investigated the attitudes of users towards the thermoscanner as a large-scale, rapid measurement method of people’s temperatures, as fever could be one of the early symptoms of COVID-19 infection [27]. However, limited information is available about individuals’ confidence in different strategies [19] all together.
Starting from these premises, and learning from almost two years of the pandemic, we began a research investigating individuals’ perception of the anti-COVID measures commonly implemented in buildings. The goal of the research was to provide a “lesson learned” supporting both the definition of novel design and management strategies to be implemented in the built environment and the identification of the appropriate characteristics of the prevention devices and wayfinding systems.
Therefore, the research focused on how users perceived, on the one hand, the risks deriving from the virus in indoor environments and, on the other, the related prevention measures to understand how they influence people’s behavior [28].
The aims of the research were:
  • Understanding in depth, through both the psychological and architectural perspectives, how users perceive the anti-COVID strategies carried out during the pandemic, focusing on the physical elements (devices and wayfinding systems) commonly used to implement them in buildings;
  • Identifying the design features of these elements that could enhance people’s awareness and promote their appropriate behavior and to define guidelines supporting the design of the anti-COVID prevention systems so that they could improve the users’ consciousness and induce the appropriate behaviors.
Due to the multidisciplinary nature of the research, the investigation approach adopted a twofold perspective involving both psychology and architectural design researchers.
In more detail, the research investigated two main topics:
  • The type and organization of the prevention measures implemented by several facilities entrance(s) and in the interiors, examining the objects/devices with sanitizing and monitoring purposes and the wayfinding systems used to regulate the users’ flows and distancing;
  • The users’ perception of the mentioned prevention measures supporting the anti-COVID protocols.

2. Materials and Methods

The research investigated the most common measures adopted during 2020 and 2021 in Italy, specifically in the Veneto region, to prevent SARS-CoV-2 transmission inside buildings. Public and private facilities open to the public were involved, with all of them located in the provinces of Padua and Venice. The choice of the specific categories, activities, or businesses depended both on their large degree of diffusion in the territory and on their high attendance, two features making them significant in managing and limiting the related chances of SARS-CoV-2 infection. On one hand, the research investigated businesses and activities pertaining to different categories:
  • Retail (both food and non-food);
  • Covered open-air retail (market halls);
  • Catering (restaurants and bars);
  • Personal service activities (hair and beauty salons);
  • Private and public offices open to public.
On the other hand, it also considered two large and complex public buildings due to the particular conditions in managing the users’ flows during the pandemic:
  • One university location;
  • One health services facility.
Four different methods were used for investigating the two research topics.
  • Observational field surveys: To understand how the prevention methods were implemented in public and private buildings, field surveys were carried out to identify and classify the different adopted systems. This survey concerned several facilities where the listed business and activities take place.
  • Background and normative framework analysis: An analysis of the mandatory anti-COVID national measures to be implemented in the aforementioned business and activities was undertaken. The two large public buildings were not included in this investigation due to the constant evolution of the legislative scenario for educational and health facilities.
  • Survey research through an online questionnaire: To define how users perceived the generally implemented anti-COVID measures in public and private buildings, an online survey research was carried out. The questionnaire did not refer to a specific building or business.
  • Case studies survey research: To define how users perceived the implemented anti-COVID measures in public and private buildings, an onsite survey research was carried out through a questionnaire in person. The questionnaire referred to the specific building or business users had just visited.

2.1. Observational Field Surveys

The observational field surveys were conducted in spring and summer 2021. These activities required the researchers to visit 76 facilities, taking annotations and pictures of the anti-COVID measures implemented at the entrance of each building, activity, or business, with prior consent of the supervisor. Table 1 illustrates the different kinds of facilities considered.
Each identified measure was then classified according to its features and use.

2.2. Background and Normative Framework Analysis

The normative framework analysis at first involved a background investigation: the relationship between the different virus transmission modes and the several potential anti-COVID measures was examined to understand the reasons for their implementation and co-existence. Later, the legal reference framework for the business and activities was identified in the binding guidelines jointly developed by the Italian authorities (Summit of the Regions and Autonomous Provinces, Ministry for Health, and Technical-Scientific Committee). The two editions [29,30] issued in May 2020 and May 2021, respectively, fully covered the research timeframe.

2.3. Survey Research through an Online Questionnaire

The online survey, which took place between spring and autumn of 2021, required compiling a self-report questionnaire. The online questionnaire was specifically structured for the research to investigate the general users’ opinions and preferences about the anti-COVID measures adopted in activities open to the public, without a reference to a specific building or business. The questionnaire was realized through the Qualtrics software and remotely (online) administered. The participation was anonymous and voluntary; full information about the research was displayed before compiling, and consent to the use of personal data was requested. Overall, 203 questionnaires were collected and analyzed. The questionnaire was structured in four sections. The first section concerned social and demographic topics and information related to the individuals’ habits during the pandemic. The second section was conceived to explore the users’ preferences and opinions about the more commonly undertaken anti-COVID measures in buildings open to the public, focusing on hand-sanitizing devices, temperature-scanning instruments, and signage/wayfinding systems. In particular, to explore the users’ preferences related to different devices, multiple-choice questions combined with illustrative pictures were provided (e.g., different types of hand sanitizer dispensers). The third section explored four dimensions through 28 items in total, investigating the users’ perception of the three mentioned measures. The perceived hygiene dimension (4 items) assessed how much the presence of different devices fueled the perception of cleanliness. This factor is considered in the travel sector, where a significant change has been presented with the advent of the pandemic [31,32]. The perceived safety dimension (11 items) investigated the degree to which the person felt protected from the virus by the mitigation and prevention measures [33]. The emotional impact dimension (8 items) investigated the user’s emotional reactions regarding the different types of devices [34], such as whether or not the presence of the device impacted his/her fear of being infected. Finally, the social influence dimension (7 items) investigated the users’ perception of compliance with anti-COVID regulations in relation to the social context. In particular, it explored the individuals’ emotional reactions concerning the presence of other users within the structure. In fact, current literature reveals how the social context can influence people’s behaviors regarding the adoption of anti-COVID measures (e.g., washing hands [35]). The participants’ answers were assessed through their agreement on a 5-point Likert scale (1 = I completely disagree; 2 = I partially disagree; 3 = I am neither in agreement nor in disagreement; 4 = I partially agree; 5 = I completely agree). Table 2, Table 3 and Table 4 illustrate in detail the questionnaire items used in the third section. The fourth and final section investigated the users’ opinions about the most important elements from a safety perspective and the most worrying conditions in an indoor environment.

2.4. Case Studies Survey Research

The case study interviews were conducted between spring and autumn 2021 as well. Contrary to the online survey, the questionnaire was site-specific and concerned the anti-COVID measures implemented in the building the interviewee had just visited. Nine case studies were chosen, including different kinds of retail, a public office, catering, one university location, and one health facility, as detailed in Table 5.
The data collection was agreed upon by the supervisor of each building, activity, or business, who granted his/her consent. The researchers conducted a site inspection in each facility to identify and classify the implemented measures at the entrance(s) and indoor. Then, they involved the users at the buildings’ exit(s) during opening hours for several weeks. Users were asked to fill out a self-report questionnaire accessed through a tablet (sanitized after each usage by the researcher) and a QR code. The instrument was specifically structured for the research to investigate the users’ opinions and preferences about the anti-COVID measures adopted in that specific building, activity, or business. The questionnaire was realized and administered through the Qualtrics software. The participation was anonymous and voluntary; full information about the research was displayed before compiling, and consent to the use of personal data was requested. The questionnaire was structured in five sections. The first section concerned social and demographic topics and information about the individuals’ habits during the pandemic and their personal experiences. The second section was conceived to explore the frequentation of the site and the perception of users about the presence/absence of the anti-COVID measures implemented in that building, activity, or business, with a specific focus on hand-sanitizing solutions, temperature-scanning instruments, signage/wayfinding system, and “green pass” (the Italian informal name used to identify a certificate providing proof of a complete course of vaccination against COVID-19) control. The third section focused on the users’ opinions, assessed through their agreement to several questions, expressed on a 5-point Likert scale (1 = I completely disagree; 2 = I partially disagree; 3 = I am neither in agreement nor in disagreement; 4 = I partially agree; 5 = I completely agree). The NA option (not applicable) was added in those cases where it was impossible to provide the degree of agreement (e.g., the investigated anti-COVID measure was not implemented in that case study). The items concerned the overall implementation of anti-COVID measures, the specifically used devices, and wayfinding, considering eight dimensions. The dimension of clarity of information and arrangement of the devices (3 items) investigated if the user considered the implemented measures clear and well-organized [36]. The usability dimension (3 items) investigated if the individual found the functioning of the hand-sanitizing dispenser [37] and the temperature measurement at the entrance [38] simple and efficient. The perceived utility dimension (3 items) evaluated how much the individual found the anti-COVID measures adopted by the facility useful to limit the COVID-19 pandemic and to protect both their health and that of the community [37,39,40]. The perceived safety dimension (3 items) investigated whether shared internal public spaces were perceived as safer in the presence of anti-COVID devices. Furthermore, it assessed the perception of other people’s compliance with anti-COVID measures [33,41]. The perception of hygiene and healthy spaces dimension (3 items) investigated the perception of people about the hygiene of the facility and the tidiness of the anti-COVID devices present in the structure [32,42,43]. The social influence dimension (3 items) assessed the user’s emotional reactions concerning the social context and therefore to the other users and the staff within the structure [44,45]. The hand-sanitizer dispenser appreciation dimension (4 items) investigated the individual’s satisfaction concerning the dispenser’s material, shape, and aesthetics [40]. Finally, the wayfinding dimension (4 items) explored the clarity and ease of understanding of vertical and horizontal routes-management signage. It also verified the ease of identifying entry and exit routes [20,43]. Table 6 and Table 7 detail the investigated items and the related dimensions.
The fourth section concerned the opinions about the green pass and the related controls. The fifth section investigated the users’ opinion about the most important elements from a safety perspective and which were the most worrying conditions in an indoor environment. Overall, 528 questionnaires were collected; 429 of them were considered suitable for the analysis since the others were excluded, as the users proved incoherent answers, referred to devices and/or measures that were not implemented in the case study, or dropped out during the survey.

3. Results

3.1. Anti-COVID Measures Implemented

The observational field survey allowed us to identify the most common 14 anti-COVID measures adopted in the sample illustrated in Table 1 and categorize them as summarized in Table 8. Appendix A provides photos of devices and elements used to implement the prevention measures, showing the differences between the different identified sub-categories (Figure A1, Figure A2, Figure A3, Figure A4, Figure A5, Figure A6, Figure A7 and Figure A8).
As was expected, hand-sanitizer dispensers (A) were the most widespread devices. The field surveys allowed defining three different sub-categories depending on the features, organization, and functioning of the dispensing system, as these characteristics can play a relevant role in influencing the users’ perception of these measures. Simple dispensers activated by pushing and not integrated into a specific structure or system (A1) represent the first of them. The second sub-category includes the hand-sanitizer dispensers activated by pushing but positioned in an ad hoc structure or system (A2). The third one consists of touchless hand sanitizers integrated into an ad hoc structure or system [A3].
A second quite common anti-COVID measure (B), mainly located in food retail facilities such as supermarkets or discounts, was the sanitizer dispensers for collectively used containers, such as baskets or carts.
In some cases, retail facilities (both food and non-food) also provided devices distributing disposable gloves (C). In personal service activities, devices distributing wrappers for personal effects (D), such as bags or backpacks, were sometimes available so that clients could ensure that no contaminated surface entered indoors. Nevertheless, compared to other anti-COVID measures, few facilities adopted these strategies.
On the contrary, wayfinding through vertical signage (E) was largely implemented. It was possible to distinguish two sub-categories according to the different messages the signage conveyed. The first one is represented by informative vertical signage (E1) providing general information about the maximum crowding allowed inside the facility or the necessity of wearing a mask before entering. The second sub-category includes vertical signage with spatial information (E2), such as social distancing instructions, circulation routes definition, or the identification of the entrance and exit.
Wayfinding through horizontal signage (F) was largely implemented as well. This category includes all the spatial information provided through graphic, tactile, and visual communication attached to the floor to help users choose a predetermined path.
Other identified devices pertaining to the wayfinding systems were route-demarcating elements (G), mainly chains or tapes physically obstructing predetermined pathways or separating the in/out circulation flows.
The temporary transparent barriers (H) were largely implemented, positioned in front of the desks and/or registers and separating employees from customers.
The last category of anti-COVID measures to be detected was the bodily temperature-measurement instruments, mainly infrared (IR) or digital thermoscanner (I), which were categorized in three sub-categories. The first one includes the portable mono-user IR thermoscanners (I1) activated by dedicated personnel. The second sub-category is represented by the fixed mono-user IR thermoscanner (I2), which is positioned on a dedicated vertical structure and/or on the wall. The third kind of detected thermoscanner was the digital and dynamic multi-user one (I3).
Figure 1 illustrates the incidence of each measure in the total number of examined facilities.

3.2. Background and Normative Framework Analysis

3.2.1. Modes of Transmission of the Virus and Anti-COVID Measures

As briefly illustrated in Section 2, prior to the normative framework analysis, a background investigation dealt with the relationship between the three known modes of SARS-CoV-2 transmission and the most common anti-COVID measures implemented in the public and private buildings open to the public. Figure 2 illustrates the emerging picture.
The background investigation allowed us to identify the following:
  • Properly sanitizing hands and surfaces allows to avoid contagion by fomites, while it does not hinder the airborne or droplet transmission of the virus;
  • Likewise, social distancing prevents the infection through a contact—meaning contact with mucous membranes of distinct individuals—and by droplet, while it does not prove itself useful in relation to the aerosol transmission mode;
  • Using personal protective equipment (PPE) such as face masks avoids both the airborne and droplet transmission of the virus, with the latter also prevented by physical barriers, but it does not hinder contagion by fomites.
This picture highlights how none of the examined measures, individually considered, allows for entirely avoiding the SARS-CoV-2 contagion.
Although not directly related to the known modes of transmission of the virus, temperature scanning represents another largely implemented measure. Since the beginning of the pandemic, individuals have been implored not to leave home in case of an alteration of body temperature, as it could be a symptom of infection. However, they do not always perform this self-monitoring, especially if they do not sense any change in their health. In this sense, body temperature scanning can be considered a prevention measure, as illustrated in Figure 2. Therefore, hand and surface sanitizing, social distancing, and use of face masks—due to their individual inability to fully avoid the contagion—can be considered “mitigation” measures rather than prevention ones.
The background investigation represented a fundamental step prior to the normative framework analysis, as it allowed understanding both the reasons for the measures implemented and their necessary co-existence, especially because some of them were/are compulsory.

3.2.2. Normative Framework

As explained in the methods, the reference normative framework was identified in the binding guidelines developed in 2020 and 2021 by the Italian authorities and based on the WHO technical guidance [46,47]. Since this analysis followed the observational field survey, the examined business activities were the same ones involved in the previous investigation. The interpretation of the guidelines allowed defining, for each of the examined business/activities, both the compulsory and the suggested anti-COVID measures. Moreover, it was also possible to complete the picture emerging from these directives with the integrative mitigation/prevention measures identified through the field survey and spontaneously implemented although neither compulsory nor suggested.
Table 9 summarizes the results of the normative analysis completed by the ones deriving from the observational field survey.
The results show the following:
  • The only mandatory anti-COVID measures to be implemented in each of the examined categories were the provision of hand-sanitizer dispensers (A) and the display of informative vertical signage (E1);
  • Horizontal signage (F) was a mandatory measure to be implemented only for open-air retail and was not even suggested for the other activities. However, as the observational field survey proves, it was adopted—with different degrees—in each of the categories;
  • Vertical signage with spatial information (E2) and route-demarcating elements (G), although never mentioned in the guidelines, were largely adopted in the retail context, as the observational field analysis proved;
  • The temporary transparent barriers (H), which, according to the observational field survey, were largely installed, were in fact suggested in many of the cases and mandatory for offices;
  • The temperature measurement was a suggested measure for any indoor activity as a prevention measure.
Besides the guidelines strictly related to the categorized indoor mitigation/prevention measures, three additional relevant topics emerge from the normative analysis:
  • The importance of PPE (more specifically, of wearing protective masks);
  • The need to avoid crowding also through ensuring a proper management of the users’ flows in relation to the specific indoor environment features;
  • Increasing natural ventilation as well as, in case of mechanical ventilation, increasing air-change rates and excluding recirculation in HVAC are strongly recommended.

3.3. Survey Research through an Online Questionnaire: Users’ Perception of the Generally Implemented Anti-COVID Measures

Overall, 203 participants took part in the investigation (127 females). The average age was 40.58 years (minimum age 18 years–maximum age 78 years; SD = 15.30. In particular, 50% of users (n = 101) were aged between 18 and 35 and 45% (n = 92) between 36 and 65, while the remaining 5% (n = 10) were over 65. Regarding previous experiences with the virus, 158 participants reported direct or indirect experiences with COVID-19; of these, 28 said they were directly infected. The remaining 45 participants said they had no experience of direct or indirect interaction with the virus.
The survey research through the online questionnaire allowed achieving two kinds of results for each of the three investigated prevention measures—hand-sanitizing systems (Section 3.3.1), temperature-measurement instruments (Section 3.3.2), and wayfinding/signage (Section 3.3.3). On the one hand, it was possible to identify the users’ preferences concerning each device or system’s kind and operation. On the other, statistical analysis performed investigates the different evaluation scores given by the participants to the dimensions and items of the questionnaire—hygiene perception, safety perception, emotional impact, and social influence. In particular, a series of one-sample Wilcoxon tests was run, comparing the scores that participants assigned to each dimension with the median value of the scale (Mdn = 3) with BH-adjusted p-values [48]. In addition, the fourth section of the questionnaire allowed achieving a third result: identifying the most important elements and the most worrying conditions in indoor environments according to the users (Section 3.3.4).
The main results are reported below, while the detailed results are illustrated in Appendix B.1 (Table A1, Table A2 and Table A3).

3.3.1. Hand-Sanitizing Systems

Among 203 participants, 167 preferred the touchless hand-sanitizer dispensers with a support (A3), 27 had no preferences, 8 indicated the hand-sanitizer dispenser activated by pushing (A1, A2) (with or without an ad hoc structure or system), and 1 user reported “other” options, as illustrated in Figure 3.
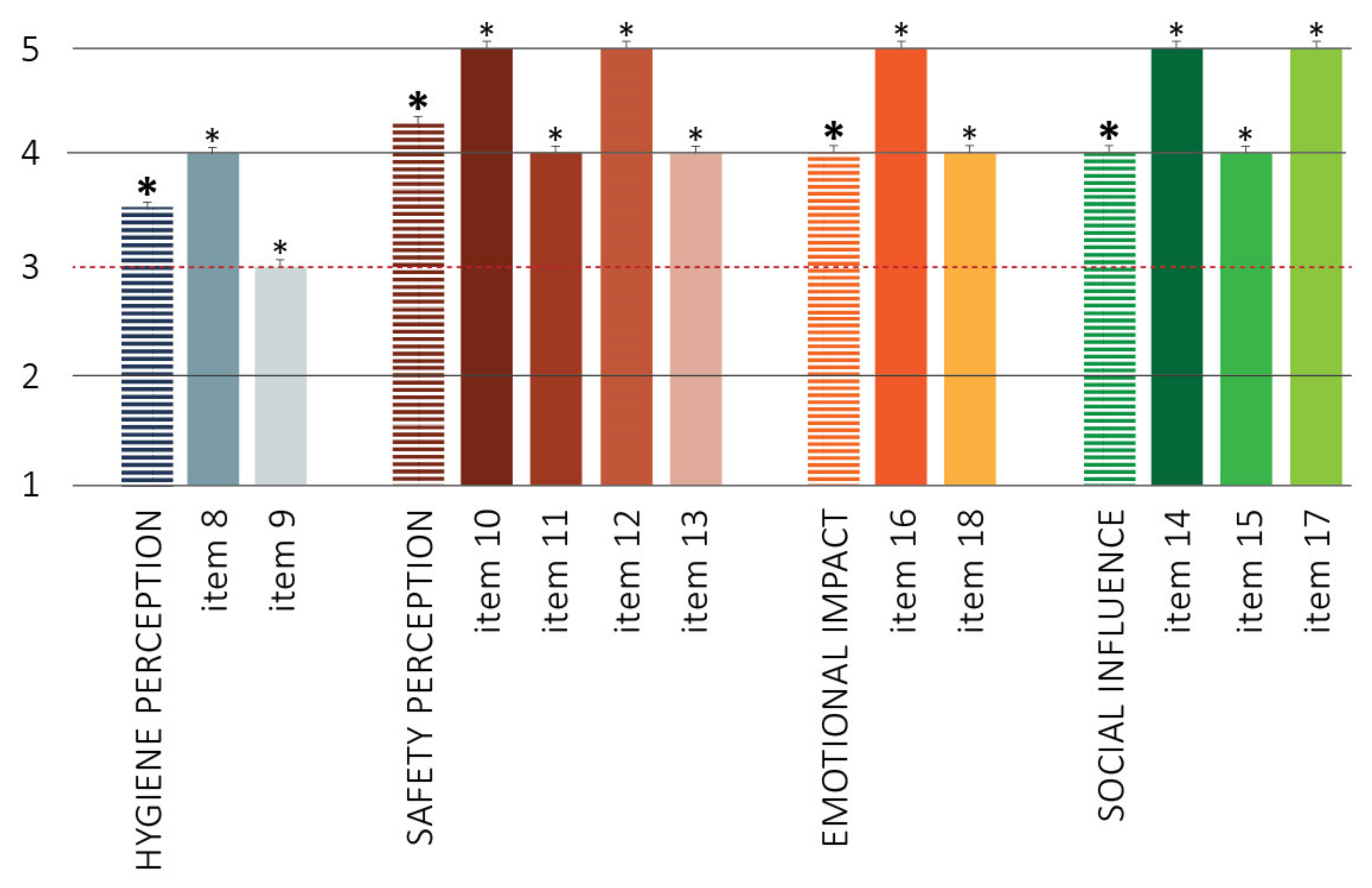
As illustrated in Figure 4, all the investigated dimensions achieved positive results, in particular the dimensions and items of emotional impact (V = 14,754, p < 0.001; Mdn = 4.00, M = 4.02, SD = 0.88) and social influence (V = 16,086, p < 0.001; Mdn = 4.00, M = 3.94, SD = 0.97). In fact, the presence of hand sanitizer does not increase the participants’ fear of being infected (V = 17,518, p < 0.001; Mdn = 5.00, M = 4.54, SD = 1.11) and increases their degree of attention in relation to the contagion (V = 8864, p < 0.001; Mdn = 4.00, M = 3.50, SD = 1.30). The perceived safety also appears statistically significant (V = 17,792, p < 0.001; Mdn = 4.25, M = 4.10, SD = 0.88) since users find the presence of hand sanitizers useful for their safety both at the entrances (V = 15,827, p < 0.001; Mdn = 5.00, M = 4.20, SD = 1.08) and exits of the building (V = 14,838, p < 0.001; Mdn = 4.00, M = 4.09, SD = 1.17) and indoors (V = 13,352, p < 0.001; Mdn = 4.00, M = 3.89, SD = 1.21). Table A1 provides the detailed data.

3.3.2. Temperature-Measurement Instruments

Among 203 participants, 71 preferred the fixed mono-user IR thermoscanners (I2), 57 had no preferences, and 43 preferred the portable mono-user IR thermoscanners (I1). Thirty-one users reported they would rather integrate the thermoscanner into the hand-sanitizing system, and one user reported “other” options. Figure 5 illustrates the results.
Concerning the users’ perception, the questionnaire results displayed in Figure 6 indicate how the use of a temperature-measurement device at the entrance of a building is considered useful from a safety perspective (V = 13,274, p < 0.001; Mdn = 4.00, M = 3.93, SD = 1.18). Moreover, it increases the degree of attention in relation to the contagion without increasing the fear of being infected (V = 7320.5, p = 0.01; Mdn = 3.00, M = 3.28, SD = 1.34) and has a positive emotional impact (V = 11,522, p < 0.001; Mdn = 4.00, M = 3.79, SD = 0.89). The social influence dimension achieved good scores as well since the use of a thermoscanner is not perceived as embarrassing (V = 16,290, p < 0.001; Mdn = 5.00, M = 4.47, SD = 1.12.). Table A2 provides the detailed data.

3.3.3. Signage and Wayfinding Systems

As illustrated in Figure 7, more than 50% of the participants (109 on 203) revealed preference for a combination of vertical (E1, E2) and horizontal (F) signage. Moreover, the use of vertical signage only (n = 9) was less preferred than the use of the horizontal one only (n = 53), while twenty-six participants expressed no preferences, and two users reported “other” options.
With regard to the wayfinding system perception, illustrated in Figure 8, the signage marking both the users’ routes and the social distancing are considered useful from a safety perspective (V = 17,584, p < 0.001; Mdn = 4.00, M = 3.83, SD = 0.74). The emotional impact has high scores (V = 15,598, p < 0.001; Mdn = 4.00, M = 3.82, SD = 0.86) since wayfinding systems increase the degree of attention in relation to the contagion (V = 11,816, p < 0.001; Mdn = 4.00, M = 3.63, SD = 1.43) without increasing the fear of being infected (V = 14,266, p < 0.001; Mdn = 5.00, M = 4.37, SD = 1.05). As for the social influence, following predetermined routes is not considered annoying (V = 10,812, p < 0.001; Mdn = 4.00, M = 3.67, SD = 1.43), while it bothers the users if other individuals do not follow the signage instructions (V = 11,771, p < 0.001; Mdn = 4.00, M = 3.84, SD = 1.31). Table A3 provides the detailed data.

3.3.4. Safety: Important Elements and Most Worrying Conditions

The fourth and final section of the online questionnaire investigated the users’ opinions about the most important elements from a safety perspective and the most worrying conditions in an indoor environment. For each of the two questions, the participant could report up to two options. This investigation is meant to contextualize the results related to hand sanitizer, thermoscanner, and wayfinding, relating them to other features of indoor environments that are relevant for the SARS-CoV-2 transmission. As Figure 9 highlights, users acknowledged how the airborne and droplet modes of transmission represent the biggest hazards. In fact, the (natural or mechanical) air-change rates are considered the most considerable factor from a safety perspective (40%), and signage informing about the maximum indoor crowding allowed was mentioned in 16% of answers. Likewise, the most worrying conditions comprised indoor overcrowding (42,5%), lack of air change (29%), and gatherings (21%), as Figure 10 shows.

3.4. Case Studies Survey Research: Users’ Perception of the Site-Specific Anti-COVID Measures

Table 10 details the anti-COVID systems and devices adopted in the different buildings, activities, or businesses mentioned in Table 5.
If compared to the others, the hospital is, as expected, the building implementing the largest number of mitigation/prevention measures, together with the university location and the public office. The supermarket, the shopping center, and the clothes shop also adopted a several anti-COVID measures, while the catering activities only implemented the compulsory ones (A, E1).
This survey allowed comparing the results concerning the general implementation of the anti-COVID measures and the used devices of all case studies in relation to eight different dimensions: clarity of information and arrangement of the devices, usability, perceived usefulness, perceived safety, perceived hygiene and health, social influence, hand sanitizer dispenser appreciation (Section 3.4.1). A specific comparison addressed the wayfinding dimension (Section 3.4.2). In particular, a series of Kruskal–Wallis tests was run; thereafter, a series of post hoc Mann–Whitney tests with BH correction was conducted when the previous tests showed statistically significant results. In addition, the last section of the questionnaire allowed identifying the most important elements and the most worrying conditions in indoor environments according to the users (Section 3.4.3).
Appendix B provides the tables reporting the descriptive analyses (M, SD, Mdn) and the statistics analyses concerning the perception of the participants by comparing the different case studies (Appendix B.2, Table A6, Table A7, Table A8, Table A9, Table A10, Table A11, Table A12, Table A13, Table A14, Table A15, Table A16, Table A17, Table A18, Table A19, Table A20, Table A21, Table A22, Table A23, Table A24, Table A25, Table A26, Table A27 and Table A28).

3.4.1. Post-Experience Questionnaire Results on General Implementation and Devices

Overall, the final sample consisted of 429 participants (127 female). The detailed descriptive data of the sample for each single case study are reported in Appendix B (Appendix B.2, Table A4 and Table A5).
Table 11 shows the results of each case study. In particular, it reports the median values scored for the items related to the implementation of the mitigation/prevention measures and the used devices, illustrated in Table 6 (Section 2.4).
Concerning the clarity of information and the arrangement of the devices (items 1–3), the participants expressed a generally positive opinion for each case study. In more detail:
  • CS5 (public office) and CS7 (restaurant) achieved the best scores; moreover, CS5 also implemented wayfinding and temperature measurement;
  • CS8 (pub—night) and CS9 (bar—evening) scored the worst results for the organization of the measures in the entrance area. This can be linked to the fact that, in the first case, there was no signage or infographic related to the use of the hand sanitizer, a dispenser activated by pushing (A), while, in the second case, the position of the hand-sanitizing system was scarcely within sight (behind the entrance door);
  • In CS1 (supermarket) and CS2 (superstore), users found it difficult to locate the hand-sanitizing systems installed in the indoor environment.
With regard to the usability dimension (items 4–6):
  • The hand-sanitizing system that users considered the most intuitive was the one in CS7 (restaurant), a touchless device with an ad hoc structure (A3) and vertical signage [E1] encouraging users to sanitize their hands through an infographic representing the sanitizing procedure;
  • CS4 (university location), CS5 (public office), and CS9 (bar—evening) had well-received high scores in relation to the respective intuitiveness of the hand-sanitizing systems, all of which were touchless devices with an ad hoc structure (A3) (CS5, CS9) or secured to the wall (CS4);
  • No significant differences concerning the thermoscanner usability emerged, and people found no difficulties in measuring their temperature; this measure was present only in CS3 and CS5, and in both cases it was a fixed mono-user thermoscanner [I2].
About the perceived usefulness (items 7–9) of the anti-COVID measures:
  • In no case study did the participants express that the implemented measures were a waste of time; the least performant building was CS4 (university location), where dedicated personnel checked the access;
  • The participants largely acknowledged the usefulness of sanitizing their hands in each structure.
Concerning the perceived safety (items 10–12):
  • Users felt safe in each of the indoor environments; in particular, CS5 (public office) and CS7 (restaurant) scored the highest marks, while CS8 (bar—night) and CS9 (bar—evening) scored less-positive results alongside CS2 (superstore). This could be explained by the fact that users can access CS5 only by appointment and CS7 only by the instructions of the staff at the entrance; hence, in these facilities, a regulation of the flows is performed, while CS8, CS9, and CS2 are generally well-frequented businesses without such controls at the entrance. This perspective is confirmed by the fact that CS5 is also perceived as the less-crowded facility;
  • None of the buildings was considered too crowded although CS3 (hospital) and CS4 (university location) achieved the lowest scores despite from the considerable size of their indoor environments, which could potentially be reassuring instead;
  • The participants found that other users generally respected the anti-COVID measures although CS1 (supermarket), CS2 (superstore), CS9 (bar-evening), and in particular CS3 (hospital) appeared the least performant case studies.
With regard to the perceived hygiene and health (items 13–14):
  • All the facilities were considered careful in hygiene terms; in particular, CS5 (public office) and CS7 (restaurant) scored the highest marks—an opinion that can be linked to the perceived safety results;
  • The hand-sanitizer dispenser systems considered the most hygienic were the ones in CS5 (public office), CS7 (restaurant), and CS9 (bar—evening)—touchless ones with an ad hoc structure (A3)—while the one in CS2 (superstore), a simple hand-sanitizer dispenser activated by pushing (A1), scored the worst results.
The results concerning the social influence dimension (items 16–17) show how:
  • The participants were not worried by crowding in the indoor environments apart for the CS1 (supermarket), CS3 (hospital), and CS8 (pub—night) cases: this could be linked to the fact that CS1 and CS8 are usually well-frequented businesses without access control, while a healthcare facility is perceived as an environment to be shared with potentially infected individuals;
  • No anxiety was derived from other users not following the mitigation/prevention measures although CS3 (hospital) and CS7 (restaurant) scored lower results than the other case studies.
With regard to the hand-sanitizer dispenser section (items 19–22), the main results are:
  • The less-appreciated dispenser materials were the ones used in CS8 (pub—night) and CS4 (university location), which were both transparent plastic containers activated by pushing (A1);
  • The most appreciated shapes for the hand-sanitizing systems were the ones in CS6 (clothing shop), CS7 (restaurant), CS5 (public office), and CS9 (bar—evening), all of them distinguished by matte surfaces and an ad hoc structure (A3);
  • Users acknowledged a proper stability of the system hand-sanitizing system in each case study although CS1 (supermarket), CS4 (university location), and CS8 (pub—night), in which a dispenser activated by pushing (A1) was used, reached lower scores;
  • The hand-sanitizing system was definitely considered aesthetically not pleasing in CS1 (supermarket) and CS8 (pub—night), where transparent and activated-by-pushing dispensers (A1) were used, while CS7 (restaurant) was the facility achieving the highest score.

3.4.2. Post-Experience Questionnaire Results on Wayfinding Systems

Table 12 details the results, expressed on a Likert scale from 1 to 5, that each case study scored for the items pertaining to the wayfinding dimension, illustrated in Table 7 (Section 2.4).
Concerning the wayfinding (items 23–26), case studies 7, 8, and 9 could not be compared since, in these facilities, only the (mandatory) vertical signage was implemented. The results of the onsite questionnaire highlight how:
  • Besides the CS2 (superstore) case, the signage for anti-COVID circulation routes was always considered clear, and the most effective results were achieved in CS5 (public office) and CS3 (hospital), which used a combination of vertical and horizontal signage;
  • Identifying the entrance and exit paths was considered easy in all the case studies; CS3 (hospital) and CS5 (public office) had the highest score, while CS2 (superstore) and CS4 (university location) are the two facilities with the lower ones: this can be linked to the fact that CS2 and CS4 did not present specific signage identifying the entrance(s) and exit(s);
  • Users generally found the horizontal signage very clear, and only CS2 (superstore) achieved a lower result—a business in which the signage marked the interpersonal distance near the desks but not the preferred internal routes for circulation;
  • CS3 (hospital) was the case study with higher scores in terms of easy understanding of the vertical signage and the routes demarcating devices, while CS1 (supermarket) achieved a score clearly below the others.

3.4.3. Safety: Important Elements and Most Worrying Conditions

As in the online survey, the case studies questionnaire also investigated which were the most important elements in preventing SARS-CoV-2 transmission and which were the most worrying ones in the indoor environment they had just visited. As Figure 11 highlights, users confirmed the importance of air-change rates from a safety perspective (58%)—an opinion also supported by the regulation of entrances (22%), followed by the hand-sanitizing systems (56%), and the temperature measurements (18%). Likewise, overcrowding (56%), lack of air change (46%), and gatherings (34%) represent the most worrying conditions, as Figure 12 shows.

4. Discussion

4.1. Interpretation of the Results in Relation to the Aims of the Work

The results, achieved through the described methodology, allowed defining:
-
The nature and features of SARS-CoV-2 mitigation/prevention measures more commonly implemented in the research context and timeframe;
-
How users perceived these devices and/or systems.
Although focusing on hand-sanitizing devices, temperature-scanning instruments, and signage/wayfinding systems, the investigation adopted a broader perspective in relation to the other features of indoor environments that are relevant for the SARS-CoV-2 transmission. Through the interpretation of the results, three main aspects emerge:
  • The effectiveness of the implemented and examined anti-COVID measures. In fact, users considered the investigated mitigation/prevention devices and/or systems useful and definitely not a waste of time (Section 3.4.1), acknowledging in particular the importance and utility of sanitizing hands (Section 3.4.1), how measuring body temperature is not embarrassing (Section 3.3.2), and how following the wayfinding communication is not annoying (Section 3.3.3);
  • The implementation of three specific investigated anti-COVID measures (hand-sanitizing devices, temperature-measurement instruments, wayfinding) do encourage individuals’ proper behavior. In fact, all of them (Section 3.3.1, Section 3.3.2 and Section 3.3.3) increase users’ attention without inducing fear, are acknowledged as useful for personal safety, and do not produce embarrassment when used;
  • The importance of regulating the flows in buildings open to the public as an anti-COVID mitigation measure. This theme is strictly connected to the ones of overcrowding, gathering, and personal distancing due to the prevalent airborne mode of transmission of the SARS-CoV-2 virus. The normative framework highlights the importance of this strategy (Section 3.2.2), implemented by many activities and businesses although neither suggested not mandatory (Section 3.1 and Section 3.2.2) and hence considered a clever measure by each facility management. Users share this perspective since they are afraid of overcrowding, lack of air change, and gatherings (Section 3.3.4 and Section 3.4.3). As a complementary strategy to natural/mechanical ventilations control, regulating accesses and adopting both vertical signage with informative purposes (E1) and wayfinding signage (E2, F) allows to reduce individuals’ exposure to the virus. In particular, since the overcrowding perception appears not to depend directly on the number of individuals in relation to the size of the specific indoor environment (item 17), its ability to induce anxiety among users can be connected to the number of individuals as an absolute value.
Besides these general observations and through the participants’ feedback, the results also allow identifying several suggestions concerning the SARS-CoV-2 mitigation/prevention measures implemented in buildings open to the public with the aim to promote users’ awareness and encourage their proper behaviors:
  • The devices more suited to be integrated in the anti-COVID measures implemented in the entrance area and their features. As Section 3.3.1, Section 3.3.2 and Section 3.3.3 highlight, the users prefer a touchless hand-sanitizer dispenser with an ad hoc support (A3), a fixed mono-user thermoscanner (I2), and a combination of vertical and horizontal signage (E2) + (F)—vertical signage with informative purposes (E1) is mandatory. These results are confirmed by the individuals’ opinions emerging in Section 3.4.1 and Section 3.4.2, detailed as follows:
  • The touchless sanitizer dispenser with an ad hoc structure (A3) is perceived as a device granting clarity of information and a high level of both hygiene and usability (Section 3.4.1). To improve its effectiveness in buildings open to the public, its functioning can be made more intuitive using vertical signage with an infographic explaining the action the user is expected to take. Moreover, properly signaling the indoor hand sanitizer’s position (besides the ones located at the facility entrance) could promote their identification and, consequently, their use. Simple hand-sanitizer dispensers activated by pushing should be avoided, as they scored worse results. The materials and shape do play a significant role in the appreciation of the dispenser: transparent plastic containers should be avoided, as users prefer matte surfaces, and the design should pursue an overall integration of dispenser and support in terms of respective sizes, shapes, and color to prevent users from perceiving the structure as having a miscellaneous and improvised combination;
  • Since no preferences or differences emerged concerning the usability of the bodily temperature-measurement instruments (Section 3.4.1), it can be assumed that these devices represent a measure that users find easy to use instead of bothering or embarrassing. Moreover, the online questionnaire highlighted that they are considered useful in terms of safety, they increase the degree of attention in relation to the contagion without increasing the fear of being infected, and have a positive emotional impact, in line with previous research [27]. Considering how thermoscanners also represent a prevention measure, their use among the implemented anti-COVID measures at the facilities entrance(s) should be promoted;
  • Concerning the wayfinding system, based on the survey research, combining horizontal and vertical signage appears the most effective, and in general, the horizontal one appears more appreciated by the users (Section 3.4.2). Nevertheless, as specific signage identifying the entrance(s) and exit(s) would help orient users, appropriate vertical signage would be recommended. Likewise, implementing specific horizontal graphic communication indoors to help individuals in identifying the expected paths inside the facility would increase the general clarity of wayfinding.

4.2. Interpretation of the Results in Relation to Current Research

The presented research falls under a very specific area of interest within the larger field concerning the building stock adaptation to promote the SARS-CoV-2 prevention.
As described in the introduction, due to the two leading modes of transmission of the virus, most state-of-the-art measures for addressing COVID in buildings focuses on indoor air quality and HVAC management. Nevertheless, although ventilation control operations represent an effective strategy, COVID prevention would benefit if complemented by other interventions for pursuing a healthy indoor environment through a multidisciplinary approach [6,8,15,17]. The disruptive changes the pandemic has brought to our everyday patterns introduced new concepts and rules to daily habits, especially in common spaces [7,25]. As several recent studies notice, this requires addressing the effectiveness of the mitigation/prevention measures [19] and their impact on individuals [49] to provide data supporting decision making [8,19,49].
The mitigation/prevention devices and systems more commonly implemented represent the physical interface between the appropriate behaviors required by the pandemic emergency and the users’ actual commitment to undertake those behaviors. Understanding how their features, design, and organization affect the individuals’ awareness of the health emergency will allow defining more comprehensive strategies to limit SARS-CoV-2 transmission, encouraging users to opt for the appropriate decisions. This perspective is consistent with the WHO technical guidelines [50], which stress the importance of risk communication through transparent and accurate information to allow everyone to make informed decisions and contribute to mitigating the effects of the threat.
The paper results are in line with the current research on the topic and confirm how the anti-COVID prevention/mitigation measures have to be investigated based on the users’ feedback to make sure of their effectiveness.
The future steps of the research will build upon the presented results, drawing more complete guidelines concerning the specific anti-COVID measurements implemented both at the entrance(s) of buildings open to the public and in their indoor environments.

5. Conclusions

The SARS-CoV-2 pandemic abruptly overturned the usual fruition of indoor spaces, and adaptive measures were suddenly required to limit the virus from spreading inside buildings, guiding the users’ actions and encouraging their proper behaviors. These premises highlight the importance of investigating how the individuals perceive these physical devices through their feedback as a fundamental means to improve the overall effectiveness of anti-COVID indoor strategies.
By identifying the most appropriate design features of the undertaken measures, the presented research contributes to building a knowledge framework supporting novel design strategies to be implemented in buildings. The results show how individuals generally acknowledge the usefulness of the mitigation/prevention measures most commonly carried out in buildings, proving their effectiveness in promoting users’ safety perception. Moreover, hand sanitizers, temperature-measurement instruments, and wayfinding systems encourage the users’ proper behavior without producing embarrassment. Finally, the regulation of flows proves to be an important strategy to increase the individuals’ safety perception in relation to overcrowding.
The research also identifies specific design characteristics for the design of anti-COVID systems that could encourage people’s awareness and proper behaviors in indoor environments.
However, the research shows some limitations partly due to the health emergency restrictions on people’s circulation and activities. While investigating case studies in different scenarios allowed a broader overview related to indoor environments open to the public, analyzing the same set of buildings in each method would have increased consistency. The geographic perimeter of the investigation is restricted to a regional one although it can be considered representative of the Italian one due to the national nature of the anti-COVID regulation. The normative framework changed during the research timeframe, leading to the later introduction of the “green pass”, a topic that was therefore taken into account only in the case studies survey research and not addressed in this paper.
The results presented in the paper are the first outputs of an interdisciplinary research focusing on the relationship between users’ perceptions and the design of anti-COVID measures in indoor environments. The identified design aspects are a preliminary contribution to the development and implementation of effective anti-COVID systems that are satisfactory to users in public spaces.

Author Contributions

Conceptualization, M.C., L.G. and V.T.; methodology, M.C., L.G. and V.T.; validation, M.C. and L.G.; formal analysis, A.B., N.L.M., E.Z. (Elena Zanella) and E.Z. (Elisa Zatta); investigation, A.B., M.C., L.G., V.T., N.L.M., E.Z. (Elena Zanella) and E.Z. (Elisa Zatta); data curation, A.B., N.L.M., E.Z. (Elena Zanella) and E.Z. (Elisa Zatta); writing—original draft preparation, E.Z. (Elisa Zatta); writing—review and editing, A.B., M.C., L.G., V.T. and E.Z. (Elisa Zatta); visualization, A.B. and E.Z. (Elisa Zatta); supervision, M.C., L.G. and V.T.; project administration, M.C., L.G. and V.T; funding acquisition, M.C. All authors have read and agreed to the published version of the manuscript.

Funding

The investigation and its output are part of the research project “Hybrid Sustainable Worlds” (still ongoing), funded by the ERDF-ROP 2014–2020 program for the Veneto Region (D.G.R. 822 23 June 2020), funding number: 10290827. The APC was funded by the Department of Architecture and Arts of the Iuav University of Venice.

Institutional Review Board Statement

The study was conducted according to the guidelines of the Declaration of Helsinki, and approved by the Ethics Committee of Human Inspired Technology research centre NAME OF INSTITUTE (protocol code 2021_120R1 approved on 5 December 2021).

Informed Consent Statement

Informed consent was obtained from all subjects involved in the study.

Data Availability Statement

Not applicable.

Acknowledgments

The authors thank the ArTec Laboratory of the Iuav University of Venice and the Human Inspired Technology (HIT) Research Centre of the University of Padua for the support during the investigation phase of the research. The authors also thank the management of the facilities involved in the research and the participants of the online and onsite questionnaires.

Conflicts of Interest

The authors declare no conflict of interest. The funders had no role in the design of the study; in the collection, analyses, or interpretation of data; in the writing of the manuscript, or in the decision to publish the results.

Appendix A

As reported in Section 3.1, the observational analysis allowed classifying the measures implemented in the examined facilities. The following images (Figure A1, Figure A2, Figure A3, Figure A4, Figure A5, Figure A6, Figure A7 and Figure A8) will detail the specific characteristics of the physical devices and wayfinding elements pertaining to each of the sub-categories listed in Table 8 (Section 3.1).

Appendix A.1. Hand Sanitizers (A1, A2, A3)

Figure A1. Images illustrating the three sub-categories for the hand-sanitizing systems: simple dispensers activated by pushing and not integrated in a specific structure or system (A1) (a); hand-sanitizer dispenser activated by pushing but positioned in an ad hoc structure or system (A2) (b); and touchless hand sanitizers integrated in an ad hoc structure or system (A3) (c).
Figure A1. Images illustrating the three sub-categories for the hand-sanitizing systems: simple dispensers activated by pushing and not integrated in a specific structure or system (A1) (a); hand-sanitizer dispenser activated by pushing but positioned in an ad hoc structure or system (A2) (b); and touchless hand sanitizers integrated in an ad hoc structure or system (A3) (c).
Buildings 12 01161 g0a1

Appendix A.2. Sanitizer Dispensers for Collectively Used Containers (B)

Figure A2. Images illustrating two examples of sanitizer dispensers for collectively used containers, such as shopping carts or baskets (a,b), usually equipped with kitchen paper rolls and a bin.
Figure A2. Images illustrating two examples of sanitizer dispensers for collectively used containers, such as shopping carts or baskets (a,b), usually equipped with kitchen paper rolls and a bin.
Buildings 12 01161 g0a2

Appendix A.3. Devices Distributing Disposable Gloves (C)

Figure A3. Images illustrating two examples of devices distributing gloves (C): one of them a simple box placed on a shop desk (a), while the other is integrated in a specific structure also including a hand-sanitizer dispenser (b).
Figure A3. Images illustrating two examples of devices distributing gloves (C): one of them a simple box placed on a shop desk (a), while the other is integrated in a specific structure also including a hand-sanitizer dispenser (b).
Buildings 12 01161 g0a3

Appendix A.4. Wayfinding: Vertical Signage (E1, E2)

Figure A4. Images illustrating examples of informative vertical signage (E1) (a) and of vertical signage with spatial recommendations (E2) (b).
Figure A4. Images illustrating examples of informative vertical signage (E1) (a) and of vertical signage with spatial recommendations (E2) (b).
Buildings 12 01161 g0a4

Appendix A.5. Wayfinding: Horizontal Signage (F)

Figure A5. Images illustrating examples of horizontal signage (F) suggesting to users the route to follow while reminding them to keep the social distance in queues (a,b).
Figure A5. Images illustrating examples of horizontal signage (F) suggesting to users the route to follow while reminding them to keep the social distance in queues (a,b).
Buildings 12 01161 g0a5

Appendix A.6. Wayfinding: Route-Demarcating Devices (G)

Figure A6. Images illustrating examples of route-demarcating devices (G) separating the entrance and exit paths through suspended colored chains (a) or tapes (b).
Figure A6. Images illustrating examples of route-demarcating devices (G) separating the entrance and exit paths through suspended colored chains (a) or tapes (b).
Buildings 12 01161 g0a6

Appendix A.7. Temporary Transparent Barriers (H)

Figure A7. Images illustrating temporary transparent barriers (H) installed on shop desks (a,b).
Figure A7. Images illustrating temporary transparent barriers (H) installed on shop desks (a,b).
Buildings 12 01161 g0a7

Appendix A.8. Temperature-Measurement Instruments (I1, I2, I3)

Figure A8. Images illustrating the subcategories identified for the temperature-measurement instruments: portable mono-user IR thermoscanner (a) (I1), fixed mono-user IR (b) or tablet (c) thermoscanners (I2), and dynamic multi-user thermoscanners (d) (I3).
Figure A8. Images illustrating the subcategories identified for the temperature-measurement instruments: portable mono-user IR thermoscanner (a) (I1), fixed mono-user IR (b) or tablet (c) thermoscanners (I2), and dynamic multi-user thermoscanners (d) (I3).
Buildings 12 01161 g0a8

Appendix B

This appendix shows the detailed results obtained from the survey research through an online questionnaire (Section 3.3) and from the case studies survey research with reference to post-experience questionnaire (Section 3.3).

Appendix B.1. Survey Research through an Online Questionnaire

The following tables (Table A1, Table A2 and Table A3) present the results of the descriptive analyses (Mdn, M, SD) and the statistical analyses (V, p(BH)) of the physical devices and wayfinding elements presented in the online questionnaire administered to users (Section 2.3).

Appendix B.1.1. Hand-Sanitizing Solutions

Table A1. Table illustrating the values of Wilcoxon test comparing the scores that participants assigned to each dimension with the median value of the scale (V, p(BH), median (Mdn), means (M), and standard deviations (SD)) reported for the hand sanitizing solutions. Own processing.
Table A1. Table illustrating the values of Wilcoxon test comparing the scores that participants assigned to each dimension with the median value of the scale (V, p(BH), median (Mdn), means (M), and standard deviations (SD)) reported for the hand sanitizing solutions. Own processing.
Hand Sanitizing Solutions: Comparison of Users’ Score (N = 203) with the Median of the Scale (Mdn = 3)
Dimensions and ItemsVp (BH)MdnMSD
Perceived hygiene9402.5<0.0013.503.380.92
8. I find poorly hygienic using the hand sanitizer provided in indoor environments open to public.11,396<0.0014.003.651.35
9. Due to the presence of hand sanitizer in an indoor environment, I perceive the space as clean.46500.343.003.111.13
Perceived safety 17,792<0.0014.254.100.88
10. I find the presence of hand-sanitizing dispensers near the entrances of buildings open to the public useful for my safety.15,827<0.0015.004.201.08
11. The presence of hand-sanitizing dispensers inside buildings open to the public is unnecessary for my safety (REC).13,352<0.0014.003.891.21
12. The presence of hand-sanitizing dispensers near the desks and/or registers inside buildings open to the public is useful for my safety.15,759<0.0015.004.231.01
13. I find the presence of hand-sanitizing dispensers near the exits of buildings open to the public useful for my safety.14,838<0.0014.004.091.17
Emotional impact14,754<0.0014.004.020.88
16. The presence of hand sanitizer increases my fear of being infected (REC).17,518<0.0015.004.541.10
18. The presence of sanitizing dispensers increases my degree of attention in relation to the contagion.8864<0.0014.003.501.29
Social influence16,086<0.0014.003.940.98
14. Sanitizing my hands in buildings open to the public in front of other people makes me uncomfortable (REC).17,874<0.0015.004.611.08
15. It bothers me if other individuals do not sanitize their hands.9726.50<0.0054.003.381.50
17. Sanitizing my hands in buildings open to the public makes me uncomfortable (REC).13,453<0.0015.003.811.73

Appendix B.1.2. Temperature-Scanning Instruments

Table A2. Table illustrating the values of Wilcoxon test comparing the scores that participants assigned to each dimension with the median value of the scale (V, p(BH), median (Mdn), means (M), and standard deviations (SD)) reported for the temperature-scanning instruments. Own processing.
Table A2. Table illustrating the values of Wilcoxon test comparing the scores that participants assigned to each dimension with the median value of the scale (V, p(BH), median (Mdn), means (M), and standard deviations (SD)) reported for the temperature-scanning instruments. Own processing.
Temperature-Scanning Instruments: Comparison of Users’ Score (N = 203) with the Median of the Scale (Mdn = 3)
Dimensions and ItemVp (BH)MdnMSD
Perceived hygiene5875.50<0.053.003.231.17
28. Due to the presence of a temperature-scanning instrument at a building entrance, I perceive the indoor environment as hygienic.5875.50<0.053.003.231.17
Perceived safety 13,274<0.0014.003.931.18
29. I find the presence of a temperature-scanning instrument at the entrance of buildings open to the public useful for my safety.13,274<0.0014.003.931.18
Emotional impact11,522<0.0014.003.790.89
30. The presence of a temperature-scanning instrument increases my degree of attention in relation to the contagion.7320.500.013.003.281.34
32. The presence of a temperature-scanning instrument increases my fear of being infected (REC).14,904<0.0015.004.311.20
Social influence16,290<0.0015.004.471.12
31. Scanning my temperature in buildings open to the public in front of other people embarrasses me (REC).16,290<0.0015.004.471.12

Appendix B.1.3. Wayfinding

Table A3. Table illustrating the values of Wilcoxon test comparing the scores that participants assigned to each dimension with the median value of the scale (V, p(BH), median (Mdn), means (M), and standard deviations (SD)) reported for the wayfinding. Own processing.
Table A3. Table illustrating the values of Wilcoxon test comparing the scores that participants assigned to each dimension with the median value of the scale (V, p(BH), median (Mdn), means (M), and standard deviations (SD)) reported for the wayfinding. Own processing.
Wayfinding: Comparison of Users’ Score (N = 203) with the Median of the Scale (Mdn = 3)
Dimensions and ItemVp (BH)MdnMSD
Perceived hygiene 63010.163.003.191.34
34. Due to the presence of signage concerning COVID-19-related social distancing inside buildings open to the public, I perceive the indoor environment as healthier.63010.163.003.191.34
Perceived safety17,584<0.0014.003.830.74
35. Horizontal signage illustrating the circulation routes are useful for my safety.13,387<0.0014.003.981.04
36. I find vertical signage with spatial recommendations useful for my safety.9880<0.0014.003.701.15
37. I find route-demarcating devices (partitions, chains, etc.) useless for my safe indoor circulation (REC).9508<0.0014.003.471.25
38. I find the distinction between entrances and exits of buildings open to the public useful for my safety.14,706<0.0014.004.051.02
39. The presence of vertical signage with spatial recommendations related to social distancing near the desks and/or registers is unnecessary for my safety (REC).11,004<0.0014.003.651.33
40. The presence of horizontal signage concerning social distancing near the desks and/or registers is useful for my safety.14,610<0.0014.004.151.01
Emotional impact15,598<0.0014.003.820.86
41. Following the social distancing recommendations related to COVID-19 in buildings open to the public is frustrating.11,816<0.0014.003.631.43
43. The presence of horizontal and vertical signage increases my degree of attention in relation to the contagion.9609.5<0.0014.003.451.35
45. The presence of horizontal and vertical signage instrument increases my fear of being infected (REC).14,266<0.0015.004.371.05
Social influence12,869<0.0014.003.761.15
42. Following the recommended circulation routes in buildings open to the public in front of other people annoys me (REC).10,812<0.0014.003.671.43
44. It bothers me if other individuals do not follow the recommended circulation routes inside buildings open to the public.11,771<0.0014.003.841.31

Appendix B.2. Case Studies Survey Research: Post-Experience Questionnaire

The following tables (Table A4 and Table A5) present the results of descriptive analyses (frequencies) of the sample for each single case study, with particular reference to the sample size, gender, age, vaccination status, and attendance at the investigated facility.
Table A4. Table illustrating the frequencies of the sample size, gender, age, and vaccination status of the sample for each single case study (CS1–CS9). Own processing.
Table A4. Table illustrating the frequencies of the sample size, gender, age, and vaccination status of the sample for each single case study (CS1–CS9). Own processing.
Case Studies: Participant Demographics
Case StudySampleGenderAgeVaccine
IDTotalFemale< or = 3536–65> 65No IntentionNot YetOne DoseTwo Doses
CS1533716352881819
CS2421823154361320
CS348275331032043
CS45434540002250
CS54822837322341
CS64325931312139
CS743181725123038
CS849250113820146
CS94925084120344
Table A5. Table illustrating the frequencies of the frequentation of the facility for each single case study (CS1–CS9). Own processing.
Table A5. Table illustrating the frequencies of the frequentation of the facility for each single case study (CS1–CS9). Own processing.
Case Studies: Frequentation of the Facility
Case Study First TimeLess Than Once a MonthOnce a MonthMore Than Once a MonthOnce a WeekMore Than Once a WeekEveryday
CS1332921150
CS232766000
CS342436245
CS4100143414
CS593061200
CS633721000
CS720226652
CS8715109260
CS9161554441
Table A6 presents the results of descriptive analyses (M, SD) of the post-experience questionnaire related to each single case study. The following Table A7, Table A8, Table A9, Table A10, Table A11, Table A12, Table A13, Table A14, Table A15, Table A16, Table A17, Table A18, Table A19, Table A20, Table A21, Table A22, Table A23, Table A24, Table A25, Table A26, Table A27 and Table A28 show the statistical analyses related to the comparison between case studies. In particular, we report the statistically significant differences (p (BH)) that emerged from post hoc Mann–Whitney tests (Section 3.4.1). For items 3, 5, 6, and 15, a comparison was not carried out due to the absence of the devices in several facilities.
Table A6. Table illustrating the mean (M) and standard deviation (SD) of the post-experience questionnaire for each single case study (CS1–CS9). Own processing.
Table A6. Table illustrating the mean (M) and standard deviation (SD) of the post-experience questionnaire for each single case study (CS1–CS9). Own processing.
Case Studies: Post-Experience Questionnaire
DimensionItemCS1CS2CS3CS4CS5CS6CS7CS8CS9
MSDMSDMSDMSDMSDMSDMSDMSDMSD
Clarity of the arrangement of devices14.121.033.511.154.151.213.911.034.520.933.651.274.490.873.351.043.371.15
22.921.663.091.523.761.454.001.213.951.454.201.303.621.683.521.294.071.42
32.921.66----------------
Usability44.670.754.461.124.491.144.800.454.730.684.590.885.0004.461.094.800.72
5----4.301.35--4.690.95--------
64.600.88----------------
Perceived usefulness74.211.053.301.333.981.444.070.844.600.683.651.294.021.303.631.073.761.22
84.441.164.530.914.481.173.591.224.790.624.830.484.471.084.750.674.750.70
94.670.814.501.044.770.734.250.904.501.054.211.094.511.084.111.233.921.25
Perceived safety104.020.983.631.193.751.393.831.064.520.713.861.264.211.123.341.073.561.18
114.001.264.520.873.231.613.521.184.920.574.880.634.600.694.570.793.861.30
123.491.293.631.383.351.604.060.904.480.954.281.084.101.244.001.113.591.05
Perceived
hygiene
134.440.783.951.154.380.954.200.744.890.374.650.784.980.153.571.044.400.79
143.811.444.211.263.851.333.751.144.301.324.560.854.620.913.501.254.510.80
154.121.15----------------
Social
influence
163.541.573.311.583.851.572.961.183.241.653.581.653.051.483.571.353.001.57
173.181.573.381.533.661.702.881.303.131.702.911.743.691.393.411.262.821.45
184.271.324.051.404.541.203.871.104.461.294.211.324.231.294.061.274.041.38
Hand-sanitizer
dispenser
appreciation
193.781.313.781.124.171.093.470.834.290.993.870.953.891.243.291.153.930.96
204.141.083.971.143.981.193.600.934.310.974.380.994.331.063.520.914.240.83
214.101.264.061.124.301.104.110.934.450.904.660.784.630.663.810.884.470.79
222.541.413.411.103.231.152.600.913.540.903.660.943.811.122.810.703.171.04

Appendix B.2.1. Clarity Arrangement of Devices

Table A7. Table shows the statistically significant differences (p (BH)) emerged from the comparison of item 1 in the different case studies (CS1–CS9). Statistical analyses that did not show statistically significant differences were not reported. In the table is also reported the mean (M), the standard deviation (SD) and the median (Mdn). Own processing.
Table A7. Table shows the statistically significant differences (p (BH)) emerged from the comparison of item 1 in the different case studies (CS1–CS9). Statistical analyses that did not show statistically significant differences were not reported. In the table is also reported the mean (M), the standard deviation (SD) and the median (Mdn). Own processing.
Post-Experience Questionnaire: Comparison between Case Studies—Item 1
Case StudiesMSDMdnStatistically Significant Difference
With Scores > Compared to the Following Cases:With Scores < Compared to the Following Cases:
C1 Supermarket4.131.024.00CS2 (p = 0.02), CS8 (p < 0.01), CS9 (p < 0.01)-
CS2 Shopping center3.511.144.00-CS1 (p = 0.02), CS3 (p = 0.01), CS5 (p < 0.01), CS7 (p < 0.01)
CS3 Hospital4.101.215.00CS2 (p = 0.01), C6 (p = 0.04), C8 (p < 0.01), C9 (p < 0.01)-
CS4 University location3.901.034.00CS8 (p < 0.01), CS9 (p = 0.01)CS5 (p < 0.01), CS7 (p < 0.01)
CS5 Public office4.520.925.00CS2 (p < 0.01), CS4 (p < 0.01), CS6 (p < 0.01), CS8 (p < 0.01), CS9 (p < 0.01)-
CS6 Clothes shop3.651.274.00-CS3 (p = 0.04), CS5 (p < 0.01), CS7 (p < 0.01)
CS7 Restaurant (lunch)4.480.865.00CS2 (p < 0.01), CS4 (p < 0.01), CS6 (p < 0.01), CS8 (p < 0.01), CS9 (p < 0.01)-
C8 Pub (night)3.351.043.50-CS1 (p < 0.01), CS3 (p < 0.01), CS4 (p < 0.01), CS5 (p < 0.01), CS7 (p < 0.01)
CS9 Bar (evening)3.361.144.00-CS1 (p < 0.01), CS3 (p < 0.01), CS4 (p = 0.01), CS5 (p < 0.01), CS7 (p < 0.01)
Table A8. Table shows the statistically significant differences (p (BH)) that emerged from the comparison of item 2 in the different case studies (CS1–CS9). In the table is also reported the mean (M), the standard deviation (SD) and the median (Mdn). Own processing.
Table A8. Table shows the statistically significant differences (p (BH)) that emerged from the comparison of item 2 in the different case studies (CS1–CS9). In the table is also reported the mean (M), the standard deviation (SD) and the median (Mdn). Own processing.
Post-Experience Questionnaire: Comparison between Case Studies—Item 2
Case StudiesMSDMdnStatistically Significant Difference
With Scores > Compared to the Following Cases:With Scores < Compared to the Following Cases:
C1 Supermarket2.951.663.00-CS4 (p = 0.02), CS5 (p = 0.02), CS9 (p = 0.02)
CS2 Shopping center3.091.523.00-CS4 (p = 0.04), CS9 (p = 0.02)
CS3 Hospital3.761.454.00--
CS4 University location4.001.214.00CS1 (p = 0.02), CS2 (p = 0.04)-
CS5 Public office3.951.785.00CS1 (p = 0.02)-
CS6 Clothes shopNA (88%): sample size not suitable for making comparisons
CS7 Restaurant (lunch)3.611.685.00--
C8 Pub (night)3.521.294.00--
CS9 Bar (evening)4.061.425.00CS1 (p = 0.02), CS2 (p = 0.02)-

Appendix B.2.2. Usability

Table A9. Table shows the statistically significant differences (p (BH)) that emerged from the comparison of item 4 in the different case studies (CS1–CS9). In the table is also reported the mean (M), the standard deviation (SD) and the median (Mdn). Own processing.
Table A9. Table shows the statistically significant differences (p (BH)) that emerged from the comparison of item 4 in the different case studies (CS1–CS9). In the table is also reported the mean (M), the standard deviation (SD) and the median (Mdn). Own processing.
Post-Experience Questionnaire: Comparison between Case Studies—Item 4
Case StudiesMSDMdnStatistically Significant Difference
With Scores > Compared to the Following Cases:With Scores < Compared to the Following Cases:
C1 Supermarket4.680.755.00-CS7 (p = 0.02)
CS2 Shopping center4.461.125.00-CS7 (p = 0.01)
CS3 Hospital4.491.215.00-CS7 (p = 0.02)
CS4 University location4.800.455.00-CS7 (p = 0.02)
CS5 Public office4.740.685.00-CS7 (p = 0.02)
CS6 Clothes shop4.590.885.00-CS7 (p = 0.01)
CS7 Restaurant (lunch)5.0005.00CS1 (p = 0.02), CS2 (p = 0.01), CS3 (p = 0.02), CS4 (p = 0.02), CS5 (p = 0.02), CS6 (p = 0.01), CS8 (p < 0.01)-
C8 Pub (night)4.461.095.00-CS7 (p < 0.01)
CS9 Bar (evening)4.800.725.00--

Appendix B.2.3. Perceived Usefulness

Table A10. Table shows the statistically significant differences (p (BH)) that emerged from the comparison of item 7 in the different case studies (CS1–CS9). In the table is also reported the mean (M), the standard deviation (SD) and the median (Mdn). Own processing.
Table A10. Table shows the statistically significant differences (p (BH)) that emerged from the comparison of item 7 in the different case studies (CS1–CS9). In the table is also reported the mean (M), the standard deviation (SD) and the median (Mdn). Own processing.
Post-Experience Questionnaire: Comparison between Case Studies—Item 7
Case StudiesMSDMdnStatistically Significant Difference
With Scores > Compared to the Following Cases:With Scores < Compared to the Following Cases:
C1 Supermarket4.231.05 5.00CS2 (p < 0.01), CS6 (p = 0.05), CS8 (p < 0.01)-
CS2 Shopping center3.301.334.00-CS1 (p < 0.01), CS3 (p = 0.02), CS4 (p = 0.02), CS5 (p < 0.01), CS7 (p = 0.02)
CS3 Hospital3.98 1.445.00CS2 (p = 0.02)-
CS4 University location4.070.844.00CS2 (p = 0.02)-
CS5 Public office4.600.685.00CS2 (p < 0.01), CS6 (p < 0.01), CS8 (p < 0.01), CS9 (p < 0.01)-
CS6 Clothes shop3.651.294.00-CS1 (p = 0.05), CS5 (p < 0.01)
CS7 Restaurant (lunch)4.021.304.00CS2 (p = 0.02) -
C8 Pub (night)3.631.07 4.00-CS1 (p < 0.01), CS5(p < 0.01)
CS9 Bar
(evening)
3.761.224.00-CS5 (p < 0.01)
Table A11. Table shows the statistically significant differences (p (BH)) that emerged from the comparison of item 8 in the different case studies (CS1–CS9). In the table is also reported the mean (M), the standard deviation (SD) and the median (Mdn). Own processing.
Table A11. Table shows the statistically significant differences (p (BH)) that emerged from the comparison of item 8 in the different case studies (CS1–CS9). In the table is also reported the mean (M), the standard deviation (SD) and the median (Mdn). Own processing.
Case StudiesMSDMdnStatistically Significant Difference
With Scores > Compared to the Following Cases:With Scores < Compared to the Following Cases:
C1 Supermarket4.45 1.155.00CS4 (p < 0.01)-
CS2 Shopping center4.52 0.915.00CS4 (p < 0.01)-
CS3 Hospital4.48 1.175.00CS4 (p < 0.01)-
CS4 University location3.59 1.224.00 CS1 (p < 0.01), C2 (p < 0.01), C3 (p < 0.01), CS5 (p < 0.01), CS6 (p < 0.01), CS7 (p < 0.01), CS8 (p < 0.01), CS9 (p < 0.01)
CS5 Public office4.79 0.625.00CS4 (p < 0.01)-
CS6 Clothes shop4.84 0.495.00CS4 (p < 0.01)-
CS7 Restaurant (lunch)4.47 1.085.00CS4 (p < 0.01)-
C8 Pub (night)4.75 0.675.00CS4 (p < 0.01)-
CS9 Bar (evening)4.750.705.00CS4 (p < 0.01)-
Table A12. Table shows the statistically significant differences (p (BH)) that emerged from the comparison of item 9 in the different case studies (CS1–CS9). In the table is also reported the mean (M), the standard deviation (SD) and the median (Mdn). Own processing.
Table A12. Table shows the statistically significant differences (p (BH)) that emerged from the comparison of item 9 in the different case studies (CS1–CS9). In the table is also reported the mean (M), the standard deviation (SD) and the median (Mdn). Own processing.
Post-Experience Questionnaire: Comparison between Case Studies—Item 9
Case StudiesMSDMdnStatistically Significant Difference
With Scores > Compared to the Following Cases:With Scores < Compared to the Following Cases:
C1 Supermarket4.671.155.00CS4 (p < 0.01), CS6 (p = 0.03), CS8 (p = 0.01), CS9 (p < 0.01)-
CS2 Shopping center4.500.905.00--
CS3 Hospital4.761.165.00CS4 (p < 0.01), CS6 (p < 0.01), CS8 (p < 0.01), CS9 (p < 0.01)-
CS4 University location4.241.224.00-CS1 (p < 0.01), CS3 (p < 0.01), CS5 (p = 0.03), CS7 (p = 0.02)
CS5 Public office4.500.615.00CS4 (p = 0.03), CS5 (p = 0.02)-
CS6 Clothes shop4.200.485.00-CS1(p = 0.03), CS3(p < 0.01)
CS7 Restaurant (lunch)4.511.075.00CS4 (p = 0.02), CS7 (p = 0.01)-
C8 Pub (night)4.110.665.00-CS1 (p = 0.01), CS3 (p < 0.01)
CS9 Bar (evening)3.910.694.00-CS1 (p < 0.01), CS2 (p = 0.02), CS3 (p < 0.01), CS5 (p = 0.02), CS7 (p = 0.01)

Appendix B.2.4. Perceived Safety

Table A13. Table shows the statistically significant differences (p (BH)) that emerged from the comparison of item 10 in the different case studies (CS1–CS9). In the table is also reported the mean (M), the standard deviation (SD) and the median (Mdn). Own processing.
Table A13. Table shows the statistically significant differences (p (BH)) that emerged from the comparison of item 10 in the different case studies (CS1–CS9). In the table is also reported the mean (M), the standard deviation (SD) and the median (Mdn). Own processing.
Post-Experience Questionnaire: Comparison between Case Studies—Item 10
Case StudiesMSDMdnStatistically significant difference
With Scores > Compared to the Following Cases:With Scores < Compared to the Following Cases:
C1 Supermarket4.010.964.00CS8 (p < 0.01)CS5 (p = 0.02)
CS2 Shopping center3.621.194.00-CS5 (p < 0.01), CS7(p = 0.04)
CS3 Hospital3.701.394.00-CS5 (p = 0.02)
CS4 University location3.831.054.00-CS5 (p < 0.01)
CS5 Public office4.520.715.00CS1 (p = 0.02), CS2 (p < 0.01), CS3 (p = 0.02), CS4 (p < 0.01), CS6 (p = 0.03), CS8 (p < 0.01), CS9 (p < 0.01)-
CS6 Clothes shop3.861.264.00CS8 (p < 0.01)CS5 (p = 0.03)
CS7 Restaurant (lunch)4.211.115.00CS2 (p = 0.04), CS8 (p < 0.01), CS9 (p = 0.02)-
C8 Pub (night)3.341.063.00-CS1 (p < 0.01), CS5 (p < 0.01), CS6 (p < 0.01), CS7 (p < 0.01)
CS9 Bar(evening)3.561.183.50-CS5 (p < 0.01), CS7 (p = 0.02)
Table A14. Table shows the statistically significant differences (p (BH)) that emerged from the comparison of item 11 in the different case studies (CS1–CS9). In the table is also reported the mean (M), the standard deviation (SD) and the median (Mdn). Own processing.
Table A14. Table shows the statistically significant differences (p (BH)) that emerged from the comparison of item 11 in the different case studies (CS1–CS9). In the table is also reported the mean (M), the standard deviation (SD) and the median (Mdn). Own processing.
Post-Experience Questionnaire: Comparison between Case Studies—Item 11
Case StudiesMSDMdnStatistically Significant Difference
With Scores > Compared to the Following Cases:With Scores < Compared to the Following Cases:
C1 Supermarket4.011.125.00CS3 (p = 0.02), CS4 (p = 0.02)CS6 (p < 0.01), CS5 (p < 0.01), CS7 (p = 0.03), CS8 (p = 0.03)
CS2 Shopping center4.510.865.00CS3 (p < 0.01), CS4 (p < 0.01), CS9 (p = 0.02)CS5 (p < 0.01), CS6 (p < 0.01)
CS3 Hospital3.221.613.00-CS5 (p < 0.01), CS6 (p < 0.01), CS7 (p < 0.01), CS8 (p < 0.01)
CS4 University location3.511.173.50-CS5 (p < 0.01), CS6 (p < 0.01), CS7 (p < 0.01), CS8 (p < 0.01)
CS5 Public office4.910.575.00CS3 (p < 0.01), CS2 (p < 0.01), CS3 (p < 0.01), CS4 (p < 0.01), CS7 (p < 0.01), CS8 (p < 0.01), CS9 (p < 0.01)-
CS6 Clothes shop4.880.625.00CS1 (p < 0.01), CS2 (p < 0.01), CS3 (p < 0.01), CS3 (p < 0.01), CS4 (p < 0.01), CS7 (p < 0.01), CS8 (p < 0.01), CS9 (p < 0.01)-
CS7 Restaurant (lunch)4.600.695.00CS1 (p = 0.03), CS3 (p < 0.01), CS4 (p < 0.01), CS9 (p < 0.01)CS5 (p < 0.01), CS6 (p < 0.01)
C8 Pub (night)4.570.795.00CS1 (p = 0.03), CS3 (p < 0.01), CS4 (p < 0.01)CS5 (p < 0.01), CS6 (p < 0.01)
CS9 Bar (evening)3.851.294.00-CS2 (p = 0.02), CS5 (p < 0.01), CS6 (p < 0.01), CS7 (p < 0.01), CS8 (p < 0.01)
Table A15. Table shows the statistically significant differences (p (BH)) that emerged from the comparison of item 12 in the different case studies (CS1–CS9). In the table is also reported the mean (M), the standard deviation (SD) and the median (Mdn). Own processing.
Table A15. Table shows the statistically significant differences (p (BH)) that emerged from the comparison of item 12 in the different case studies (CS1–CS9). In the table is also reported the mean (M), the standard deviation (SD) and the median (Mdn). Own processing.
Post-Experience Questionnaire: Comparison between Case Studies—Item 12
Case StudiesMSDMdnStatistically Significant Difference
With Scores > Compared to the Following Cases:With Scores < Compared to the Following Cases:
C1 Supermarket3.441.313.00-CS5 (p < 0.01), CS6 (p < 0.01), CS7 (p = 0.05)
CS2 Shopping center3.621.384.00-CS5 (p < 0.01)
CS3 Hospital3.351.603.50-CS5 (p < 0.01), CS6 ( p = 0.01)
CS4 University location4.050.894.00-CS5 (p = 0.01)
CS5 Public office4.470.945.00CS1 (p < 0.01), CS2 (p < 0.01), CS3 (p < 0.01), CS4 (p = 0.01), CS9 (p < 0.01)-
CS6 Clothes shop4.271.075.00CS1 (p < 0.01), CS9 (p < 0.01), CS3 (p = 0.01)-
CS7 Restaurant (lunch)4.091.245.00CS1 (p = 0.05)-
C8 Pub (night)4.001.104.00--
CS9 Bar (evening)3.581.043.00-CS5 (p < 0.01), CS6 (p < 0.01)

Appendix B.2.5. Perceived Hygiene

Table A16. Table shows the statistically significant differences (p (BH)) that emerged from the comparison of item 13 in the different case studies (CS1–CS9). In the table is also reported the mean (M), the standard deviation (SD) and the median (Mdn). Own processing.
Table A16. Table shows the statistically significant differences (p (BH)) that emerged from the comparison of item 13 in the different case studies (CS1–CS9). In the table is also reported the mean (M), the standard deviation (SD) and the median (Mdn). Own processing.
Post-Experience Questionnaire: Comparison between Case Studies—Item 13
Case StudiesMSDMdnStatistically Significant Difference
With Scores > Compared to the Following Cases:With Scores < Compared to the Following Cases:
C1 Supermarket4.440.775.00CS8 (p < 0.01)CS5 (p < 0.01), CS7 (p < 0.01)
CS2 Shopping center3.941.144.00-CS5 (p < 0.01), CS6 (p < 0.01), CS7 (p < 0.01), CS9 (p < 0.01)
CS3 Hospital4.380.945.00CS8 (p < 0.01)CS5 (p < 0.01), CS7 (p < 0.01)
CS4 University location4.200.734.00CS8 (p < 0.01)CS5 (p < 0.01), CS6 (p < 0.01), CS7 (p < 0.01)
CS5 Public office4.890.375.00CS1 (p < 0.01), C2 (p < 0.01), CS3 (p < 0.01), CS4 (p < 0.01), CS8 (p < 0.01), CS9 (p < 0.01)-
CS6 Clothes shop4.650.785.00CS2 (p < 0.01), CS4 (p < 0.01), CS8 (p < 0.01)CS7 (p < 0.01)
CS7 Restaurant (lunch)4.970.155.00CS1 (p < 0.01), CS2 (p < 0.01), CS3 (p < 0.01), CS4 (p < 0.01), CS6 (p < 0.01), CS8 (p < 0.01), CS9 (p < 0.01)-
C8 Pub (night)3.571.044.00-CS1 (p < 0.01), CS3 (p < 0.01), CS4 (p < 0.01), CS5 (p < 0.01), CS6 (p < 0.01), CS7 (p < 0.01), CS8 (p < 0.01), CS9 (p < 0.01)
CS9 Bar (evening)4.390.795.00C2 (p < 0.01), C8 (p < 0.01)CS5 (p < 0.01), CS7 (p < 0.01)
Table A17. Table shows the statistically significant differences (p (BH)) that emerged from the comparison of item 14 in the different case studies (CS1–CS9). In the table are also reported the mean (M), the standard deviation (SD) and the median (Mdn). Own processing.
Table A17. Table shows the statistically significant differences (p (BH)) that emerged from the comparison of item 14 in the different case studies (CS1–CS9). In the table are also reported the mean (M), the standard deviation (SD) and the median (Mdn). Own processing.
Post-Experience Questionnaire: Comparison between Case Studies—Item 14
Case StudiesMSDMdnStatistically Significant Difference
With Scores > Compared to the Following Cases:With Scores < Compared to the Following Cases:
C1 Supermarket3.79 1.425.00-CS6 (p = 0.02), CS7 (p < 0.01), CS9 (p = 0.03)
CS2 Shopping center4.21 1.035.00CS8 (p = 0.02)CS7 (p = 0.04)
CS3 Hospital3.851.334.50-CS6 (p = 0.02), CS7 (p < 0.01), CS9 (p = 0.03)
CS4 University location3.751.134.00-CS5 (p < 0.01), CS6 (p < 0.01), CS7 (p < 0.01), CS9 (p < 0.01)
CS5 Public office4.291.315.00CS4 (p < 0.01), CS8 (p <0.01)-
CS6 Clothes shop4.560.855.00CS3 (p = 0.02), CS1 (p = 0.02), CS4 (p < 0.01), CS8 (p < 0.01),.
CS7 Restaurant (lunch)4.610.905.00CS1 (p < 0.01), CS2 (p = 0.04), CS3 (p < 0.01), CS4 (p < 0.01), CS8 (p < 0.01)-
C8 Pub (night)3.501.253.00-CS2 (p = 0.02), CS5 (p < 0.01), CS6 (p < 0.01), CS7 (p < 0.01), CS9 (p < 0.01)
CS9 Bar (evening)4.510.805.00CS1 (p = 0.03), CS3 (p = 0.03), CS4 (p < 0.01), CS8 (p < 0.01)-

Appendix B.2.6. Social Influence

Table A18. Table shows the statistically significant differences (p (BH)) that emerged from the comparison of item 16 in the different case studies (CS1–CS9). In the table are also reported the mean (M), the standard deviation (SD) and the median (Mdn). Own processing.
Table A18. Table shows the statistically significant differences (p (BH)) that emerged from the comparison of item 16 in the different case studies (CS1–CS9). In the table are also reported the mean (M), the standard deviation (SD) and the median (Mdn). Own processing.
Post-Experience Questionnaire: Comparison between Case Studies—Item 16
Case StudiesMSDMdnStatistically Significant Difference
With Scores > Compared to the Following Cases:With Scores < Compared to the Following Cases:
C1 Supermarket3.56 1.564.00--
CS2 Shopping center3.30 1.583.50--
CS3 Hospital3.85 1.575.00CS4 (p < 0.01)-
CS4 University location2.96 1.183.00--
CS5 Public office3.24 1.654.00--
CS6 Clothes shop3.58 1.654.00--
CS7 Restaurant (lunch)3.04 1.483.00--
C8 Pub (night)3.57 1.354.00--
CS9 Bar (evening)3.001.563.00--
Table A19. Table shows the statistically significant differences (p (BH)) that emerged from the comparison of item 17 in the different case studies (CS1–CS9). In the table are also reported the mean (M), the standard deviation (SD) and the median (Mdn). Own processing.
Table A19. Table shows the statistically significant differences (p (BH)) that emerged from the comparison of item 17 in the different case studies (CS1–CS9). In the table are also reported the mean (M), the standard deviation (SD) and the median (Mdn). Own processing.
Post-Experience Questionnaire: Comparison between Case Studies—Item 17
Case StudiesMSDMdnStatistically Significant Difference
With Scores > Compared to the Following Cases:With Scores < Compared to the Following Cases:
C1 Supermarket3.22 1.563.50--
CS2 Shopping center3.37 1.534.00--
CS3 Hospital3.65 1.695.00CS4 (p = 0.04), CS9 (p = 0.04)-
CS4 University location2.88 1.293.00-CS3 (p = 0.04), CS7 (p = 0.04)
CS5 Public office3.13 1.704.00--
CS6 Clothes shop2.90 1.742.00--
CS7 Restaurant (lunch)3.69 1.384.00CS9 (p = 0.04), CS4 (p = 0.04)-
C8 Pub (night)3.40 1.254.00--
CS9 Bar (evening)2.811.453.00-CS7 (p = 0.04)
Table A20. Table shows the statistically significant differences (p (BH)) that emerged from the comparison of item 18 in the different case studies (CS1–CS9). In the table is also reported the mean (M), the standard deviation (SD) and the median (Mdn). Own processing.
Table A20. Table shows the statistically significant differences (p (BH)) that emerged from the comparison of item 18 in the different case studies (CS1–CS9). In the table is also reported the mean (M), the standard deviation (SD) and the median (Mdn). Own processing.
Post-Experience Questionnaire: Comparison between Case Studies—Item 18
Case StudiesMSDMdnStatistically Significant Difference
With Scores > Compared to the Following Cases:With Scores < Compared to the Following Cases:
C1 Supermarket4.281.305.00CS4 (p = 0.03)-
CS2 Shopping center4.041.395.00--
CS3 Hospital4.541.205.00CS4 (p < 0.01), CS8 (p = 0.03), CS9 (p = 0.04)-
CS4 University location3.871.094.00-CS5 (p < 0.01), CS3 (p < 0.01), CS1 (p = 0.03)
CS5 Public office4.451.125.00CS4 (p < 0.01)-
CS6 Clothes shop4.201.315.00--
CS7 Restaurant (lunch)4.231.285.00--
C8 Pub (night)4.061.265.00-CS3 (p = 0.03)
CS9 Bar (evening)4.041.385.00-CS3 (p = 0.04)

Appendix B.2.7. Hand Sanitizer Dispenser Appreciation

Table A21. Table shows the statistically significant differences (p (BH)) that emerged from the comparison of item 19 in the different case studies (CS1–CS9). In the table is also reported the mean (M), the standard deviation (SD) and the median (Mdn). Own processing.
Table A21. Table shows the statistically significant differences (p (BH)) that emerged from the comparison of item 19 in the different case studies (CS1–CS9). In the table is also reported the mean (M), the standard deviation (SD) and the median (Mdn). Own processing.
Post-Experience Questionnaire: Comparison between Case Studies—Item 19
Case StudiesMSDMdnStatistically Significant Difference
With Scores > Compared to the Following Cases:With Scores < Compared to the Following Cases:
C1 Supermarket3.781.294.00--
CS2 Shopping center3.771.124.00--
CS3 Hospital4.171.085.00CS4 (p < 0.01), CS8 (p < 0.01)-
CS4 University location3.470.833.00-CS3 (p < 0.01), CS5 (p < 0.01)
CS5 Public office4.280.995.00CS4 (p < 0.01), CS8 (p < 0.01)-
CS6 Clothes shop3.86 0.944.00--
CS7 Restaurant (lunch)3.88 1.234.00--
C8 Pub (night)3.28 1.153.00-CS3 (p < 0.01), CS5 (p < 0.01), CS9 (p = 0.05)
CS9 Bar (evening)3.930.964.00CS8 (p = 0.05)-
Table A22. Table shows the statistically significant differences (p (BH)) that emerged from the comparison of item 20 in the different case studies (CS1–CS9). In the table is also reported the mean (M), the standard deviation (SD) and the median (Mdn). Own processing.
Table A22. Table shows the statistically significant differences (p (BH)) that emerged from the comparison of item 20 in the different case studies (CS1–CS9). In the table is also reported the mean (M), the standard deviation (SD) and the median (Mdn). Own processing.
Post-Experience Questionnaire: Comparison between Case Studies—Item 20
Case StudiesMSDMdnStatistically Significant Difference
With Scores > Compared to the Following Cases:With Scores < Compared to the Following Cases:
C1 Supermarket4.161.074.50CS4 (p < 0.01), CS8 (p < 0.01)-
CS2 Shopping center3.971.134.00--
CS3 Hospital3.971.194.00CS8 (p = 0.04)-
CS4 University location3.600.024.00-CS1 (p < 0.01), CS5 (p < 0.01), CS6 (p < 0.01), CS7 (p < 0.01), CS9 (p < 0.01)
CS5 Public office4.310.975.00CS4 (p < 0.01), CS8 (p < 0.01)-
CS6 Clothes shop4.380.985.00CS4 (p < 0.01), CS8 (p < 0.01)-
CS7 Restaurant (lunch)4.331.055.00CS4 (p < 0.01), CS8 (p < 0.01)-
C8 Pub (night)3.520.913.00-CS1 (p < 0.01), CS3 (p = 0.04), CS5 (p < 0.01), CS6 (p < 0.01), CS7 (p < 0.01), CS9 (p < 0.01)
CS9 Bar (evening)4.240.824.00CS4 (p < 0.01), CS8 (p < 0.01)-
Table A23. Table shows the statistically significant differences (p (BH)) that emerged from the comparison of item 21 in the different case studies (CS1–CS9). In the table is also reported the mean (M), the standard deviation (SD) and the median (Mdn). Own processing.
Table A23. Table shows the statistically significant differences (p (BH)) that emerged from the comparison of item 21 in the different case studies (CS1–CS9). In the table is also reported the mean (M), the standard deviation (SD) and the median (Mdn). Own processing.
Post-Experience Questionnaire: Comparison between Case Studies—Item 21
Case StudiesMSDMdnStatistically Significant Difference
With Scores > Compared to the Following Cases:With Scores < Compared to the Following Cases:
C1 Supermarket4.101.245.00-CS6 (p = 0.05)
CS2 Shopping center4.05 1.114.00-CS6 (p = 0.02)
CS3 Hospital4.29 1.105.00CS8 (p = 0.03)-
CS4 University location4.11 0.934.00-CS6 (p < 0.01), CS7 (p = 0.01)
CS5 Public office4.44 0.905.00CS8(p < 0.01)-
CS6 Clothes shop4.650.785.00CS1 (p = 0.05), CS2 (p = 0,02), CS4 (p < 0.01), CS8 (p < 0.01)-
CS7 Restaurant (lunch)4.63 0.665.00CS4 (p = 0.01), CS8 (p < 0.01)-
C8 Pub (night)3.81 0.874.00-CS3 (p = 0.03), CS5 (p < 0.01), CS6 (p < 0.01), CS7 (p < 0.01), CS9 (p < 0.01)
CS9 Bar (evening)4.460.785.00CS9 (p < 0.01)-
Table A24. Table shows the statistically significant differences (p (BH)) that emerged from the comparison of item 22 in the different case studies (CS1–CS9). In the table is also reported the mean (M), the standard deviation (SD) and the median (Mdn). Own processing.
Table A24. Table shows the statistically significant differences (p (BH)) that emerged from the comparison of item 22 in the different case studies (CS1–CS9). In the table is also reported the mean (M), the standard deviation (SD) and the median (Mdn). Own processing.
Post-Experience Questionnaire: Comparison between Case Studies—Item 22
Case StudiesMSDMdnStatistically Significant Difference
With Scores > Compared to the Following Cases:With Scores < Compared to the Following Cases:
C1 Supermarket2.551.242.00-CS2 (p = 0.01), CS3 (p = 0.02), CS5 (p < 0.01), CS6 (p < 0.01), CS7 (p < 0.01, CS9 (p = 0.03)
CS2 Shopping center3.401.113.00CS1 (p = 0.01), CS4 (p < 0.01), CS8 (p = 0.01)-
CS3 Hospital3.221.103.00C1 (p = 0.02), C4 (p = 0.01)CS7 (p = 0.03)
CS4 University location2.630.933.00-CS2 (p < 0.01), CS3 (p = 0.01), CS5 (p < 0.01), CS6 (p < 0.01), CS7 (p < 0.01), CS9 (p = 0.01)
CS5 Public office3.540.903.00CS1 (p < 0.01), CS4 (p < 0.01), CS8 (p < 0.01)-
CS6 Clothes shop3.650.783.00CS1 (p < 0.01), CS4 (p < 0.01), CS8 (p < 0.01)-
CS7 Restaurant (lunch)3.810.664.00CS1 (p < 0.01), CS3 (p = 0.03), CS4 (p < 0.01), CS8 (p < 0.01), CS9 (p = 0.01)-
C8 Pub (night)2.810.873.00-CS2 (p = 0.01), CS5 (p < 0.01), CS6 (p < 0.01), CS7 (p < 0.01), CS9 (p = 0.03)
CS9 Bar (evening)3.170.783.00CS1 (p = 0.03), CS4 (p = 0.01), CS8 (p = 0.03)CS7 (p = 0.01)

Appendix B.2.8. Wayfinding

Table A25. Table shows the statistically significant differences (p (BH)) that emerged from the comparison of item 2 in the different case studies (CS1–CS6). In the table is also reported the mean (M), the standard deviation (SD) and the median (Mdn). Own processing.
Table A25. Table shows the statistically significant differences (p (BH)) that emerged from the comparison of item 2 in the different case studies (CS1–CS6). In the table is also reported the mean (M), the standard deviation (SD) and the median (Mdn). Own processing.
Post-Experience Questionnaire: Comparison between Case Studies—Item 23
Case StudiesMSDMdnStatistically Significant Difference
With Scores > Compared to the Following Cases:With Scores < Compared to the Following Cases:
C1 Supermarket3.831.324.00-CS3 (p < 0.01), CS5 (p < 0.01)
CS2 Shopping center3.261.453.00-CS3 (p < 0.01), CS4 (p < 0.01), CS5 (p < 0.01)
CS3 Hospital4.560.995.00CS1 (p < 0.01), CS2 (p < 0.01), CS4 (p < 0.01)-
CS4 University location4.220.864.00CS2 (p < 0.01), CS5 (p < 0.01)C3 (p < 0.01)
CS5 Public office4.760.505.00CS1 (p < 0.01), CS2 (p < 0.01), CS4 (p < 0.01), CS6 (p = 0.01)-
CS6 Clothes shop4.350.985.00-CS5 (p = 0.01)
Table A26. Table shows the statistically significant differences (p (BH)) that emerged from the comparison of item 24 in the different case studies (CS1–CS9). In the table is also reported the mean (M), the standard deviation (SD) and the median (Mdn). Own processing.
Table A26. Table shows the statistically significant differences (p (BH)) that emerged from the comparison of item 24 in the different case studies (CS1–CS9). In the table is also reported the mean (M), the standard deviation (SD) and the median (Mdn). Own processing.
Post-Experience Questionnaire: Comparison between Case Studies—Item 24
Case StudiesMSDMdnStatistically Significant Difference
With Scores > Compared to the Following Cases:With Scores < Compared to the Following Cases:
C1 Supermarket4.40 1.115.00--
CS2 Shopping center4.271.015.00-CS3 (p = 0.02), CS5 (p < 0.01), CS6 (p = 0.02)
CS3 Hospital4.72 0.73 5.00CS4 (p = 0.02)
CS4 University location4.31 1.005.00-CS3 (p = 0.02), CS5 (p < 0.01)
CS5 Public office4.83 0.555.00CS2 (p < 0.01), C4 (p < 0.01)-
CS6 Clothes shop4.750.695.00CS2 (p = 0.02)-
Table A27. Table shows the statistically significant differences (p (BH)) that emerged from the comparison of item 25 in the different case studies (CS1–CS9). In the table is also reported the mean (M), the standard deviation (SD) and the median (Mdn). Own processing.
Table A27. Table shows the statistically significant differences (p (BH)) that emerged from the comparison of item 25 in the different case studies (CS1–CS9). In the table is also reported the mean (M), the standard deviation (SD) and the median (Mdn). Own processing.
Post-Experience Questionnaire: Comparison between Case Studies—Item 25
Case StudiesMSDMdnStatistically Significant Difference
With Scores > Compared to the Following Cases:With Scores < Compared to the Following Cases:
C1 Supermarket4.061.275.00-CS5 (p = 0.02)
CS2 Shopping center3.661.324.00-CS3 (p < 0.01), CS5 (p < 0.01), CS6 (p = 0.01)
CS3 Hospital4.600.835.00CS2 (p < 0.01)
CS4 University location4.320.875.00-CS5 (p = 0.03)
CS5 Public office4.680.695.00CS1 (p = 0.02), CS2 (p < 0.01), CS4 (p = 0.03)-
CS6 Clothes shop4.520.905.00CS2 (p = 0.01)-
Table A28. Table shows the statistically significant differences (p (BH)) that emerged from the comparison of item 26 in the different case studies (CS1–CS9). In the table is also reported the mean (M), the standard deviation (SD) and the median (Mdn). Own processing.
Table A28. Table shows the statistically significant differences (p (BH)) that emerged from the comparison of item 26 in the different case studies (CS1–CS9). In the table is also reported the mean (M), the standard deviation (SD) and the median (Mdn). Own processing.
Post-Experience Questionnaire: Comparison between Case Studies—Item 26
Case StudiesMSDMdnStatistically Significant Difference
With Scores > Compared to the Following Cases:With Scores < Compared to the Following Cases:
C1 Supermarket2.88 1.673.00-CS3 (p = 0.01)
CS2 Shopping center3.26 1.283.00-CS3 (p = 0.01)
CS3 Hospital4.09 1.49 5.00CS1 (p = 0.01), CS2 (p = 0.01), CS6 (p = 0.01)-
CS4 University location3.58 1.324.00--
CS5 Public office3.461.624.00--
CS6 Clothes shop3.071.383.00-CS3 (p = 0.01)

References

  1. Mahima, M.; Shanthi Priya, R.; Rajagopal, P.; Pradeep, C. Impact of COVID-19 on the built environment. Front. Eng. Built Environ. 2022, 2, 230–242. [Google Scholar] [CrossRef]
  2. Weaver, A.K.; Head, J.R.; Gould, C.F.; Carlton, E.J.; Remais, J.V. Environmental factors influencing COVID-19 incidence and severity. Annu. Rev. Public Health 2022, 43, 271–291. [Google Scholar] [CrossRef] [PubMed]
  3. Mitova, M.I.; Cluse, C.; Goujon-Ginglinger, C.G.; Kleinhans, S.; Rotach, M.; Tharin, M. Human chemical signature: Investigation on the influence of human presence and selected activities on concentrations of airborne constituents. Environ. Pollut. 2020, 257, 113518. [Google Scholar] [CrossRef] [PubMed]
  4. Dietz, L.; Horve, P.F.; Coil, D.A.; Fretz, M.; Eisen, J.A.; Van Den Wymelenberg, K. 2019 novel coronavirus (COVID-19) pandemic: Built environment considerations to reduce transmission. mSystems 2020, 5, e00245-20. [Google Scholar] [CrossRef] [PubMed] [Green Version]
  5. Qian, H.; Miao, T.; Liu, L.; Zheng, X.; Luo, D.; Li, Y. Indoor transmission of SARS-CoV-2. Indoor Air 2021, 31, 639–645. [Google Scholar] [CrossRef]
  6. Duarte Pinheiro, M.; Cardoso Luìs, N. COVID-19 could leverage a sustainable built environment. Sustainability 2020, 12, 5863. [Google Scholar] [CrossRef]
  7. Amran, M.; Makul, N.; Fediuk, R.; Borovkov, A.; Ali, M.; Zeyad, A.M. A Review on Building Design as a Biomedical System for Preventing COVID-19 Pandemic. Buildings 2022, 12, 582. [Google Scholar] [CrossRef]
  8. Sarvari, H.; Chen, Z.; Chan, D.W.M.; Lester, E.A.; Yahaya, N.; Nassereddine, H.; Lotfata, A. A Global Survey of Infection Control and Mitigation Measures for Combating the Transmission of COVID-19 Pandemic in Buildings Under Facilities Management Services. Front. Built Environ. 2022, 7, 644104. [Google Scholar] [CrossRef]
  9. Navaratnam, S.; Nguyen, K.; Selvaranjan, K.; Zhang, G.; Mendis, P.; Aye, L. Designing Post COVID-19 Buildings: Approaches for Achieving Healthy Buildings. Buildings 2022, 12, 74. [Google Scholar] [CrossRef]
  10. Harvey, A.P.; Fuhrmeister, E.R.; Cantrell, M.E.; Pitol, A.K.; Swarthout, J.M.; Powers, J.E.; Nadimpalli, M.L.; Julian, T.R.; Pickering, A.J. Longitudinal monitoring of SARS-CoV-2 RNA on high-touch surfaces in a community setting. Environ. Sci. Technol. Lett. 2021, 8, 168–175. [Google Scholar] [CrossRef]
  11. Phapant, P.; Dutta, A.; Chavalparit, O. COVID-19 Experience Transforming the Protective Environment of Office Buildings and Spaces. Sustainability 2021, 13, 13636. [Google Scholar] [CrossRef]
  12. Dincer, D.; Gocer, O. Quarantine hotels: The adaptation of hotels for quarantine use in australia. Buildings 2021, 11, 617. [Google Scholar] [CrossRef]
  13. Chen, W.; Zhang, N.; Wei, J.; Yen, H.L.; Li, Y. Short-range airborne route dominates exposure of respiratory infection during close contact. Build. Environ. 2020, 176, 106859. [Google Scholar] [CrossRef]
  14. Frumkin, H. COVID-19, the Built Environment, and Health. Environ. Health Perspect. 2021, 129, 075001. [Google Scholar] [CrossRef]
  15. Megahed, N.A.; Ghoneim, E.B. Indoor Air Quality: Rethinking rules of building design strategies in post-pandemic architecture. Environ Res. 2021, 193, 110471. [Google Scholar] [CrossRef]
  16. Limongi França, A.J.G.; Walbe Ornstein, S. The role of the built environment in updating design requirements in the post-pandemic scenario: A case study of selected diagnostic facilities in Brazil. Archit. Eng. Des. Manag. 2021, 1–19. [Google Scholar] [CrossRef]
  17. Taheri, H.; Rider, T.R. A review on architectural guidelines to safely reopen buildings in light of COVID-19 in the United States: Establishing future research opportunities. Archit. Sci. Rev. 2022, 65, 147–161. [Google Scholar] [CrossRef]
  18. Cheshmehzangi, A. Revisiting the built environment: 10 potential development changes and paradigm shifts due to COVID-19. J. Urban Manag. 2021, 10, 166–175. [Google Scholar] [CrossRef]
  19. Bartolucci, A.; Templeton, A.; Bernardini, G. How distant? An experimental analysis of students’ COVID-19 exposure and physical distancing in university buildings. Int. J. Disaster Risk Reduct. 2022, 70, 102752. [Google Scholar] [CrossRef]
  20. McNeish, J.E. Retail signage during the COVID-19 pandemic. Interdiscip. J. Signage Wayfinding 2020, 4, 67–89. [Google Scholar] [CrossRef]
  21. Niepel, C.; Kranz, D.; Borgonovi, F.; Emslander, V.; Greiff, S. The coronavirus (COVID-19) fatality risk perception of US adult residents in March and April 2020. Br. J. Health Psychol. 2020, 25, 883–888. [Google Scholar] [CrossRef]
  22. Wang, S.; Li, A. Demographic Groups’ Differences in Restorative Perception of Urban Public Spaces in COVID-19. Buildings 2022, 12, 869. [Google Scholar] [CrossRef]
  23. Taylor, S. The Psychology of Pandemics: Preparing for the Next Global Outbreak of Infectious Disease; Cambridge Scholars Publishing: Newcastle upon Tyne, UK, 2019. [Google Scholar]
  24. Akhter, S.; Robbins, M.; Curtis, P.; Hinshaw, B.; Wells, E.M. Online survey of university students’ perception, awareness and adherence to COVID-19 prevention measures. BMC Public Health 2022, 22, 964. [Google Scholar] [CrossRef]
  25. Wehbe, R.; Shahrour, I. Assessment and Improvement of Anti-COVID-19 Measures in Higher Education Establishments. Sustainability 2021, 13, 5989. [Google Scholar] [CrossRef]
  26. Stirapongsasuti, S.; Thonglek, K.; Misaki, S.; Nakamura, Y.; Yasumoto, K. Insha: Intelligent nudging system for hand hygiene awareness. In Proceedings of the 21st ACM International Conference on Intelligent Virtual Agents, Japan, 14–17 September 2021; pp. 183–190. [Google Scholar]
  27. Bettelli, A.; Orso, V.; Pernice, G.F.A.; Corradini, F.; Fabbri, L.; Gamberini, L. Too hot to enter: Investigating users’ attitudes toward thermoscanners in COVID times. In Human-Computer Interaction. Design and User Experience Case Studies, Proceedings of the International Conference on Human-Computer Interaction, Virtual, 24–29 July 2021; Springer: Cham, Switzerland, 2021; pp. 239–252. [Google Scholar]
  28. Kim, J.; Lee, J.C. Effects of COVID-19 on preferences for private dining facilities in restaurants. J. Hosp. Tour. Manag. 2020, 45, 67–70. [Google Scholar] [CrossRef]
  29. Conferenza delle Regioni e Province Autonome, 2020. Nuovo Coronavirus SARS-CoV-2: Linee Guida per la Riapertura delle Attività Economiche, Produttive e Ricreative, 20/151/CR10a/COV19, 6 Agosto 2020. Available online: http://www.regioni.it/download/news/617461/ (accessed on 12 August 2021).
  30. Conferenza delle Regioni e Province Autonome, 2021. Nuovo Coronavirus SARS-CoV-2: Linee Guida per la Ripresa delle Attività Economiche e Sociali, 21/75/CR2B/COV19, 28 Maggio 2021. Testo Allegato all’Ordinanza del Ministero della Salute del 29 Maggio 2021, G.U. S.G. n. 136 del 9 Giugno 2021). Available online: http://www.regioni.it/home/linee-guida-per-ripresa-attivita-economiche-e-sociali-2773/ (accessed on 12 August 2021).
  31. Nazneen, S.; Hong, X.; Ud Din, N. COVID-19 Crises and Tourist Travel Risk Perceptions. Available online: https://ssrn.com/abstract=3592321 (accessed on 24 May 2022).
  32. Yu, J.; Seo, J.; Hyun, S.S. Perceived hygiene attributes in the hotel industry: Customer retention amid the COVID-19 crisis. Int. J. Hosp. Manag. 2021, 93, 102768. [Google Scholar] [CrossRef]
  33. Nerini, A.; Matera, C.; Policardo, G.R.; Di Gesto, C. Containment measures against COVID-19 in Italy: The role of protection motivation and values. J. Hum. Behav. Soc. Environ. 2021, 32, 754–767. [Google Scholar] [CrossRef]
  34. Theng, Y.L.; Teo, P.F.; Truc, P.H. Investigating sociability and affective responses of elderly users through digitally-mediated exercises: A case of the Nintendo Wii. In Proceedings of the 2010 IFIP Human-Computer Interaction Symposium, Brisbane, Australia, 20–23 September 2010; Springer: Berlin/Heidelberg, Germany, 2010; pp. 152–162. [Google Scholar]
  35. Mieth, L.; Mayer, M.M.; Hoffmann, A.; Buchner, A.; Bell, R. Do they really wash their hands? Prevalence estimates for personal hygiene behaviour during the COVID-19 pandemic based on indirect questions. BMC Public Health 2021, 21, 12. [Google Scholar] [CrossRef] [PubMed]
  36. Van Rooij, B.; de Bruijn, A.L.; Reinders Folmer, C.; Kooistra, E.B.; Kuiper, M.E.; Brownlee, M.; Fine, A. Compliance with COVID-19 Mitigation Measures in the United States; Amsterdam law school research paper No. 2020-21; General Subserie Research Paper No. 2020-03; UC Irvine School of Law Research Paper No. 2020-33; University of Amsterdam: Amsterdam, The Netherlands, 2020. [Google Scholar] [CrossRef]
  37. Loong, J.W.; Chan, C.L.; Venkatarayalu, N.; Lee, J.S. A Smart Location-Aware Hand Sanitizer Dispenser System. In Proceedings of the 2020 IEEE Region 10 Conference (Tencon), Osaka, Japan, 16–19 November 2020; pp. 642–646. [Google Scholar]
  38. Mital, M.; Chang, V.; Choudhary, P.; Papa, A.; Pani, A.K. Adoption of Internet of Things in India: A test of competing models using a structured equation modeling approach. Technol. Forecast. Soc. Chang. 2018, 136, 339–346. [Google Scholar] [CrossRef]
  39. Al-Hasan, A.; Yim, D.; Khuntia, J. Citizens’ adherence to COVID-19 mitigation recommendations by the government: A 3-country comparative evaluation using web-based cross-sectional survey data. J. Med. Internet Res. 2020, 22, e20634. [Google Scholar] [CrossRef] [PubMed]
  40. Czeisler, M.É.; Garcia-Williams, A.G.; Molinari, N.A.; Gharpure, R.; Li, Y.; Barrett, C.E.; Howard, M.E. Demographic Characteristics, Experiences, and Beliefs Associated with Hand Hygiene Among Adults During the COVID-19 Pandemic—United States, June 24–30, 2020. Morb. Mortal. Wkly. Rep. 2020, 69, 1485–1491. [Google Scholar] [CrossRef]
  41. Escolà-Gascón, Á. Statistical indicators of compliance with anti-COVID-19 public health measures at European airports. Int. J. Disaster Risk Reduct. 2021, 68, 102720. [Google Scholar] [CrossRef]
  42. Chatfield, S.L.; Nolan, R.; Crawford, H.; Hallam, J.S. Experiences of hand hygiene among acute care nurses: An interpretative phenomenological analysis. SAGE Open Med. 2016, 4, 2050312116675098. [Google Scholar] [CrossRef]
  43. Ibrahim, A.M.; Hassanain, M.A. Assessment of COVID-19 precautionary measures in sports facilities: A case study on a health club in Saudi Arabia. J. Build. Eng. 2021, 46, 103662. [Google Scholar] [CrossRef]
  44. Qc, I.F. COVID-19: Fear, quackery, false representations and the law. Int. J. Law Psychiatry 2020, 72, 101611. [Google Scholar] [CrossRef]
  45. Abadi, D.; Arnaldo, I.; Fischer, A. Anxious and Angry: Emotional Responses to the COVID-19 Threat. Front. Psychol. 2021, 12, 676116. [Google Scholar] [CrossRef]
  46. World Health Organization. Responding to Community Spread of COVID-19. Interim Guidance 7 March 2020. Available online: https://apps.who.int/iris/handle/10665/331421 (accessed on 18 February 2022).
  47. World Health Organization. Considerations in Adjusting Public Health and Social Measures in the Context of COVID-19. Interim Guidance 16 April 2020. Available online: https://apps.who.int/iris/handle/10665/331773 (accessed on 18 February 2022).
  48. Benjamini, Y.; Hochberg, Y. Controlling the false discovery rate: A practical and powerful approach to multiple hypothesis testing. J. R Stat. Soc. B 1995, 57, 289–300. [Google Scholar] [CrossRef]
  49. De la Hoz-Torres, M.L.; Aguilar, A.J.; Costa, N.; Arezes, P.; Ruiz, D.P.; Martinez-Aires, M.D. Reopening higher education buildings in post-epidemic COVID-19 scenario: Monitoring and assessment of indoor environmental quality after implementing ventilation protocols in Spain and Portugal. Indoor Air 2022, 32, e13040. [Google Scholar] [CrossRef]
  50. World Health Organization. Investing in and Building Longer-Term Health Emergency Preparedness during the COVID-19 Pandemic. Interim Guidance for WHO Member States 6 July 2020. Available online: https://apps.who.int/iris/handle/10665/332973 (accessed on 18 February 2022).
Figure 1. Incidence of the anti-COVID measures implementation in the total number of examined facilities. Own processing.
Figure 1. Incidence of the anti-COVID measures implementation in the total number of examined facilities. Own processing.
Buildings 12 01161 g001
Figure 2. Relationships between the three known modes of SARS-CoV-2 transmissions and the common related anti-COVID measures implemented. As it emerged, none of them, individually considered, allows for fully avoidance of the contagion. Own processing.
Figure 2. Relationships between the three known modes of SARS-CoV-2 transmissions and the common related anti-COVID measures implemented. As it emerged, none of them, individually considered, allows for fully avoidance of the contagion. Own processing.
Buildings 12 01161 g002
Figure 3. Frequencies concerning the users’ preferences among the different kinds of hand sanitizing systems (A1, A2, A3). Own processing.
Figure 3. Frequencies concerning the users’ preferences among the different kinds of hand sanitizing systems (A1, A2, A3). Own processing.
Buildings 12 01161 g003
Figure 4. Hand-sanitizing systems: median values of the scores given by the users, differentiated per dimension and item. * dimension, p < 0.05; * item, p < 0.05. Own processing.
Figure 4. Hand-sanitizing systems: median values of the scores given by the users, differentiated per dimension and item. * dimension, p < 0.05; * item, p < 0.05. Own processing.
Buildings 12 01161 g004
Figure 5. Frequencies concerning the users’ preferences among the different kinds of thermoscanners (I1,I2,I3). Own processing.
Figure 5. Frequencies concerning the users’ preferences among the different kinds of thermoscanners (I1,I2,I3). Own processing.
Buildings 12 01161 g005
Figure 6. Temperature-measurement instruments: median values of the scores given by the users, differentiated per dimension and item. * dimension, p < 0.05; * item, p < 0.05. Own processing.
Figure 6. Temperature-measurement instruments: median values of the scores given by the users, differentiated per dimension and item. * dimension, p < 0.05; * item, p < 0.05. Own processing.
Buildings 12 01161 g006
Figure 7. Frequencies concerning the users’ preferences among the different implementation of wayfinding systems (E1, E2 F). Own processing.
Figure 7. Frequencies concerning the users’ preferences among the different implementation of wayfinding systems (E1, E2 F). Own processing.
Buildings 12 01161 g007
Figure 8. Wayfinding systems: median values of the scores given by the users, differentiated per dimension and item. * dimension, p < 0.05; * item, p < 0.05. Own processing.
Figure 8. Wayfinding systems: median values of the scores given by the users, differentiated per dimension and item. * dimension, p < 0.05; * item, p < 0.05. Own processing.
Buildings 12 01161 g008
Figure 9. Graphics illustrating the users’ opinions about the most important elements from a safety perspective (online questionnaire). Own processing.
Figure 9. Graphics illustrating the users’ opinions about the most important elements from a safety perspective (online questionnaire). Own processing.
Buildings 12 01161 g009
Figure 10. Graphics illustrating the users’ opinions about the most worrying conditions in an indoor environment (online questionnaire). Own processing.
Figure 10. Graphics illustrating the users’ opinions about the most worrying conditions in an indoor environment (online questionnaire). Own processing.
Buildings 12 01161 g010
Figure 11. Graphics illustrating the users’ opinions about the most important elements from a safety perspective (case studies survey research). Own processing.
Figure 11. Graphics illustrating the users’ opinions about the most important elements from a safety perspective (case studies survey research). Own processing.
Buildings 12 01161 g011
Figure 12. Graphics illustrating the users’ opinions about the most worrying conditions in an indoor environment (case studies survey research). Own processing.
Figure 12. Graphics illustrating the users’ opinions about the most worrying conditions in an indoor environment (case studies survey research). Own processing.
Buildings 12 01161 g012
Table 1. Facilities investigated in the field surveys.
Table 1. Facilities investigated in the field surveys.
CategoryCod.DescriptionNo.Total per
Category
1. Retail1.1Small food retailers351
1.2Supermarkets7
1.3Discounts4
1.4Clothing and accessories8
1.5Fashion18
1.6Cleaning and beauty products6
1.7Furniture and home items3
1.8Bookshops2
2. Covered open-air retail2.1Market halls22
3. Catering3.1Bars/pubs812
3.2Restaurants4
4. Personal service
activities
4.1Hair salon35
4.2Beauty salon2
5. Offices open
to public
5.1Ticket offices46
5.2Banks2
Total 76
Table 2. Items examined for hand-sanitizing devices in the online survey and related dimensions. Own processing.
Table 2. Items examined for hand-sanitizing devices in the online survey and related dimensions. Own processing.
Hand Sanitizing Solutions
DimensionItem
Perceived hygiene8. I find poorly hygienic using the hand sanitizer provided in indoor environments open to the public.
9. Due to the presence of hand sanitizer in an indoor environment, I perceive the space as clean.
Perceived safety10. I find the presence of hand-sanitizing dispensers near the entrances of buildings open to the public useful for my safety.
11. The presence of hand-sanitizing dispensers inside buildings open to public is unnecessary for my safety (REC) 1.
12. The presence of hand-sanitizing dispensers near the desks and/or registers inside buildings open to the public is useful for my safety.
13. I find the presence of hand-sanitizing dispensers near the exits of buildings open to the public useful for my safety.
Emotional impact16. The presence of hand sanitizer increases my fear of being infected (REC).
18. The presence of sanitizing dispensers increases my degree of attention in relation to the contagion.
Social influence14. Sanitizing my hands in buildings open to the public in front of other people embarrasses me (REC).
15. It bothers me if other individuals do not sanitize their hands.
17. Sanitizing my hands in buildings open to the public makes me uncomfortable (REC).
1 REC., recoding items with a negative phrasing. The scores of REC items were reversed.
Table 3. Items examined for the temperature-scanning instruments in the online survey and related dimensions. Own processing.
Table 3. Items examined for the temperature-scanning instruments in the online survey and related dimensions. Own processing.
Temperature-Scanning Instruments
DimensionItem
Perceived hygiene28. Due to the presence of a temperature-scanning instrument at a building entrance, I perceive the indoor environment as healthy.
Perceived safety29. I find the presence of a temperature-scanning instrument at the entrance of buildings open to the public useful for my safety.
Emotional impact30. The presence of a temperature-scanning instrument increases my degree of attention in relation to the contagion.
32. The presence of a temperature-scanning instrument increases my fear of being infected (REC).
Social influence31. Scanning my temperature in buildings open to the public in front of other people embarrasses me (REC).
Table 4. Items examined for the signage/wayfinding systems in the online survey and related dimensions. Own processing.
Table 4. Items examined for the signage/wayfinding systems in the online survey and related dimensions. Own processing.
Signage/Wayfinding Systems
DimensionItem
Perceived hygiene 34. Due to the presence of signage concerning the COVID-19-related social distancing inside buildings open to the public, I perceive the indoor environment as hygienic.
Perceived safety35. Horizontal signage illustrating the circulation routes are useful for my safety.
36. I find the vertical signage with spatial recommendations useful for my safety.
37. I find the route demarcating devices (partitions, chains, etc.) useless for my safe indoor circulation (REC).
38. I find the distinction between entrances and exits of buildings open to the public useful for my safety.
39. The presence of vertical signage with spatial recommendations related to social distancing near the desks and/or registers is unnecessary for my safety (REC).
40. The presence of horizontal signage concerning social distancing near the desks and/or registers is useful for my safety.
Emotional impact41. Following the social distancing recommendations related to COVID-19 in buildings open to the public is frustrating.
43. The presence of horizontal and vertical signage increases my degree of attention in relation to the contagion.
45. The presence of horizontal and vertical signage instruments increases my fear of being infected (REC).
Social influence42. Following the recommended circulation routes in buildings open to the public in front of other people annoys me (REC).
44. It bothers me if other individuals do not follow the recommended circulation routes inside buildings open to the public.
Table 5. Facilities involved in the case study interviews and related number of questionnaires.
Table 5. Facilities involved in the case study interviews and related number of questionnaires.
FacilityIDCategoryFinal Sample
SupermarketCS1Retail53
Shopping centerCS2Retail42
HospitalCS3Health service48
University locationCS4Education54
Public officeCS5Office48
Clothes shopCS6Retail43
Restaurant (lunch)CS7Catering43
Pub (night)CS8Catering49
Bar (evening)CS9Catering49
Total 429
Table 6. Dimensions and items of the case study questionnaire concerning the general implementation of the anti-COVID measures and the used devices. Own processing.
Table 6. Dimensions and items of the case study questionnaire concerning the general implementation of the anti-COVID measures and the used devices. Own processing.
DimensionItem
Clarity of information and arrangement of the devices1. The anti-COVID measures at the facility entrance were well-organized.
2. Once indoors, identifying the location of hand-sanitizer dispensers was difficult (REC).
3. The instruments for carts and/or baskets sanitizing were well-organized.
Usability4. I found the hand-sanitizer dispenser functioning intuitive.
5. At the entrance, it was difficult understanding how to measure the temperature (REC).
6. The operation of carts and/or baskets sanitizing was intuitive.
Perceived usefulness7. The anti-COVID measures implemented in the facility are useful to limit the contagion.
8. The anti-COVID measures implemented in the facility were a waste of time (REC).
9. I found it useful to sanitize my hands as I entered the facility.
Perceived safety10. In the facility, I felt protected from the virus.
11. The facility was too crowded (REC).
12. Generally, the individuals in the facility did not comply with the anti-COVID measures (REC).
Perceived hygiene and health13. The facility management takes care of hygiene.
14. The hand-sanitizer dispenser system looked poorly clean to me.
15. The devices available for carts and/or baskets sanitizing transmitted a sense of hygiene to me.
Social influence16. I would be worried if this facility was too crowded.
17. I feel anxious if individuals do not respect the anti-COVID measures inside this facility.
18. It bothers me if the facility employees do not respect the anti-COVID measures.
Hand-sanitizer dispenser appreciation19. I liked the material the hand-sanitizer dispenser was made of.
20. I liked the shape of the hand-sanitizing system.
21. The system for dispensing the hand sanitizer looked stable to me.
22. The hand-sanitizing dispenser was aesthetically pleasing.
Table 7. Items of the case study questionnaire specifically concerning the wayfinding system. Own processing.
Table 7. Items of the case study questionnaire specifically concerning the wayfinding system. Own processing.
DimensionItem
Wayfinding23. The signage for anti-COVID circulation routes was clear.
24. Identifying the entrance and exit paths was easy.
25. The horizontal signage was clear.
26. The vertical signage or the route-demarcating devices were not easy to understand (REC).
Table 8. Classification of the prevention measures implemented in the considered facilities. Own processing.
Table 8. Classification of the prevention measures implemented in the considered facilities. Own processing.
CategoryCod.Description
(A)(A1)Simple hand-sanitizer dispensers activated by pushing
(A2)Hand-sanitizer dispensers activated by pushing with a support
(A3)Touchless hand-sanitizer dispensers with a support
(B) Sanitizer dispensers for collectively used containers
(C) Devices distributing disposable gloves
(D) Devices distributing wrappers for personal effects
(E)(E1)Wayfinding: informative vertical signage
(E2)Wayfinding: vertical signage with spatial recommendations
(F) Wayfinding: horizontal signage
(G) Wayfinding: routes demarcating devices
(H) Temporary transparent barriers
(I)(I1)Portable mono-user IR thermoscanners
(I2)Fixed mono-user IR or tablet thermoscanners
(I3)Dynamic multi-user thermoscanners
Table 9. Synthesis of the compulsory and/or suggested anti-COVID measures for the five categories of facilities investigated (retail, open-air retail, catering, personal service activities, offices open to the public), also including the integrative measures identified during the field survey (mandatory measures were always implemented). Own processing.
Table 9. Synthesis of the compulsory and/or suggested anti-COVID measures for the five categories of facilities investigated (retail, open-air retail, catering, personal service activities, offices open to the public), also including the integrative measures identified during the field survey (mandatory measures were always implemented). Own processing.
RetailOpen-Air
Retail
CateringPersonal
Service
Activities
Offices Open
to the Public
(A)
(B)x
(C)x x
(D) x
(E1)
(E2)xx
(F)xxxx
(G)xx x
(H)
(I)
●, mandatory measure (normative analysis); ○, suggested measure (normative analysis); x, implemented measure (data deriving from the observational field survey).
Table 10. Mitigation/prevention measures implemented in the facilities investigated in the case studies survey research. Own processing.
Table 10. Mitigation/prevention measures implemented in the facilities investigated in the case studies survey research. Own processing.
MeasureCase Studies
Cod.CS1CS2CS3CS4CS5CS6CS7CS8CS9
(A1)
(A2)
(A3)
(B)
(C)
(D)
(E1)
(E2)
(F)
(G)
(H)
(I1)
(I2)
(I3)
●, measure implemented in the facility.
Table 11. Results (median values) of each questionnaire administered in the nine case studies, aimed at evaluating the general implementation of the anti-COVID measures and the devices used in each facility. Own processing.
Table 11. Results (median values) of each questionnaire administered in the nine case studies, aimed at evaluating the general implementation of the anti-COVID measures and the devices used in each facility. Own processing.
Case Studies: Post-Experience Questionnaire
ScopeItemCS1CS2CS3CS4CS5CS6CS7CS8CS9
Clarity
arrangement
of devices
14.004.005.004.005.004.005.003.504.00
23.003.004.004.005.005.005.004.005.00
33.00--------
Usability45.005.005.005.005.005.005.005.005.00
5--5.00-5.00----
65.00--------
Perceived
usefulness
75.004.005.004.005.004.004.004.004.00
85.005.005.004.005.005.005.005.005.00
95.005.005.004.005.005.005.005.004.00
Perceived safety104.004.004.004.005.004.005.003.003.50
115.005.003.003.505.005.005.005.004.00
123.004.003.504.005.005.005.004.003.00
Perceived
hygiene
135.004.005.004.005.005.005.004.005.00
145.005.004.504.005.005.005.003.005.00
155.00--------
Social
influence
164.003.505.003.004.004.003.004.003.00
173.004.005.003.004.002.004.004.003.00
185.005.005.004.005.005.005.005.005.00
Hand-sanitizer dispenser
appreciation
194.004.005.003.005.004.004.003.004.00
204.004.004.004.005.005.005.003.004.00
215.004.005.004.005.005.005.004.005.00
222.003.003.003.003.003.004.003.003.00
Table 12. Results (median values) of each questionnaire administered in the nine case studies, aimed at evaluating the wayfinding and signage section. Own processing.
Table 12. Results (median values) of each questionnaire administered in the nine case studies, aimed at evaluating the wayfinding and signage section. Own processing.
QuestionnaireCase Studies
ScopeItemCS1CS2CS3CS4CS5CS6CS7CS8CS9
Wayfinding234.003.005.004.005.005.00---
245.005.005.005.005.005.00---
255.004.005.005.005.005.00---
263.003.005.004.004.003.00---
Publisher’s Note: MDPI stays neutral with regard to jurisdictional claims in published maps and institutional affiliations.

Share and Cite

MDPI and ACS Style

Zatta, E.; Condotta, M.; Tatano, V.; Bettelli, A.; Zanella, E.; La Magna, N.; Gamberini, L. Improving the Effectiveness of Anti-COVID Measures in Buildings: Learning from Users’ Perception. Buildings 2022, 12, 1161. https://doi.org/10.3390/buildings12081161

AMA Style

Zatta E, Condotta M, Tatano V, Bettelli A, Zanella E, La Magna N, Gamberini L. Improving the Effectiveness of Anti-COVID Measures in Buildings: Learning from Users’ Perception. Buildings. 2022; 12(8):1161. https://doi.org/10.3390/buildings12081161

Chicago/Turabian Style

Zatta, Elisa, Massimiliano Condotta, Valeria Tatano, Alice Bettelli, Elena Zanella, Nicola La Magna, and Luciano Gamberini. 2022. "Improving the Effectiveness of Anti-COVID Measures in Buildings: Learning from Users’ Perception" Buildings 12, no. 8: 1161. https://doi.org/10.3390/buildings12081161

APA Style

Zatta, E., Condotta, M., Tatano, V., Bettelli, A., Zanella, E., La Magna, N., & Gamberini, L. (2022). Improving the Effectiveness of Anti-COVID Measures in Buildings: Learning from Users’ Perception. Buildings, 12(8), 1161. https://doi.org/10.3390/buildings12081161

Note that from the first issue of 2016, this journal uses article numbers instead of page numbers. See further details here.

Article Metrics

Back to TopTop