Vibration-Reduction Strategy for High-Rise Braced Frame Using Viscoelastic-Yielding Compounded BRB
Abstract
:1. Introduction
2. Concept and Mechanical Properties of VBRB
2.1. Concept and Detailing of VBRB
2.2. Mechanical Properties of VBRB
3. Dynamic Loading Test of VBRB Specimens
3.1. Construction of the VBRB Specimens
3.2. Dynamic Loading Test of VBRB
3.3. Analysis on the Test Results
4. Parametric Design of VBRB for High-Rise Braced Frame
5. Performance Assessment of VBRB-Equipped Braced Frame under Seismic Loadings
5.1. Basic Information of the High-Rise Mega Braced Frame
5.2. Design of VBRB and Analytical Model of the Structure
5.3. Seismic Responses of BRB-BF and VBRB-BF under FOEs
5.4. Seismic Responses of BRB-BF and VBRB-BF under Severe Ground Motions
6. Performance Evaluation of VBRB-Equipped Braced Frame under Wind Loads
7. Conclusions
- (1)
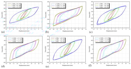
- The proposed VBRB construction is feasible. Results of dynamic loading test indicate that a VBRB has a desirable energy-dissipation capacity characterized by a plump hysteresis curve. The load-bearing capacity of a VBRB increases with the increment of loading displacement, while the effect of loading rate on VBRB hysteretic behavior is insignificant. A maximum of 200% in shear strain was achieved in a VED during the test, corresponding to the maximum of 2.38% in axial strain in a BRB.
- (2)
- The case study reveals that the proposed parametric design procedure is basically effective in determining VBRB parameters during the preliminary design. The error of the approach may be due to the seismic influence coefficient used in response spectrum analysis being not sensitive to the long period. Modification of the parameters is advised and time-history analysis should be included as a supplementary tool to result in a safer design.
- (3)
- When subjected to FOEs, the lateral drift response of VBRB-BF is generally smaller than that of BRB-BF. A BRB in a VBRB stores elastic strain energy comparable to a conventional BRB, while a VED in a VBRB dissipates 8%–10% of the seismic energy. On account of the contribution from the VED, a better drift reduction effect can be expected in VBRB-BF compared with BRB-BF.
- (4)
- Under MCE and SRE, the inter-story drift distribution of VBRB-BF is similar to that of BRB-BF. A BRB in BRB-BF consumes comparable seismic energy as a VBRB in VBRB-BF. In a VBRB, the BRB acts as the primary energy dissipation component while the VED consumes no more than 5% of the seismic input energy.
- (5)
- When subjected to wind loads, the lateral drift response of VBRB-BF is generally smaller than that of BRB-BF. A VBRB provides approximately 1%~2% of the viscous damping ratio, which is effective in reducing the wind-induced structural vibration. By providing stable energy dissipation, a VBRB is not only efficient in reducing the wind-induced vibration in magnitude, but also conducive to attenuating the response fluctuation.
Author Contributions
Funding
Institutional Review Board Statement
Informed Consent Statement
Data Availability Statement
Conflicts of Interest
References
- Abou-Elfath, H.; Ramadan, M.; Alkanai, F.O. Upgrading the seismic capacity of existing RC buildings using buckling restrained braces. Alex. Eng. J. 2017, 56, 251–262. [Google Scholar] [CrossRef]
- Kimura, K.; Yoshioka, K.; Takeda, T. Tests on Braces Encased by Mortar in-Filled Steel Tubes; Summaries of Technical Papers of Annual Meeting; Architectural Institute of Japan: Tokyo, Japan, 1976. [Google Scholar]
- Wang, C.; Chen, Q.; Zeng, B. A novel brace with partial buckling restraint: An experimental and numerical investigation. Eng. Struct. 2017, 150, 190–202. [Google Scholar] [CrossRef]
- Saeki, E.; Maeda, Y.; Nakamura, H. Experimental study on practical-scale unbonded braces. J. Struct. Constr. Eng. Archit. Inst. Jpn. 1995, 476, 149–158. [Google Scholar] [CrossRef] [Green Version]
- Nagao, N.; Takahashi, S. A study on the elasto-plastic behavior of unbonded composite bracing (Part 1: Experiments on isolated members under cyclic loading). J. Struct. Eng. 1990, 415, 105–115. [Google Scholar]
- Suzuki, N.; Kono, R.; Higasibata, Y. Experimental Study on the H-Section Steel Brace Encased in Rc or Steel Tube; Summaries of Technical Papers of Annual Meeting; Japan Association for Wind Engineering: Tokyo, Japan, 1994. [Google Scholar]
- Kim, D.H.; Lee, C.H.; Ju, Y.K. Subassemblage test of buckling-restrained braces with H-shaped steel core. Struct. Des. Tall Spec. Build. 2015, 24, 243–256. [Google Scholar] [CrossRef]
- Nakamura, H.; Takeuchi, T.; Maeda, Y.; Nakata, Y.; Sasaki, T.; Iwata, M.; Wada, A. Fatigue properties of practical-scale unbonded braces. Jitsudai Anbondo Buresu No Hiro Seino Ni Kansuru Kenkyu 1998, 372, 49–55. [Google Scholar]
- Tremblay, R.; Bolduc, P.; Neville, R. Seismic testing and performance of buckling-restrained bracing systems. Can. J. Civ. Eng. 2006, 33, 183–198. [Google Scholar] [CrossRef]
- Takeuchi, T.; Ida, M.; Yamada, S. Estimation of cumulative deformation capacity of buckling restrained braces. J. Struct. Eng. 2008, 134, 822–831. [Google Scholar] [CrossRef]
- Takeuchi, T.; Hajjar, J.F.; Matsui, R. Local buckling restraint condition for core plates in buckling restrained braces. J. Constr. Steel Res. 2010, 66, 139–149. [Google Scholar] [CrossRef]
- Xie, Q. State of the art of buckling-restrained braces in Asia. J. Constr. Steel Res. 2005, 61, 727–748. [Google Scholar] [CrossRef]
- Sabelli, R.; Mahin, S.; Chang, C. Seismic demands on steel braced frame buildings with buckling-restrained braces. Eng. Struct. 2003, 25, 655–666. [Google Scholar] [CrossRef]
- Maley, T.J.; Sullivan, T.J.; Corte, G.D. Development of a displacement-based design method for steel dual systems with buckling-restrained braces and moment-resisting frames. J. Earthq. Eng. 2010, 14, 106–140. [Google Scholar] [CrossRef]
- Choi, H.; Kim, J. Energy-based seismic design of buckling-restrained braced frames using hysteretic energy spectrum. Eng. Struct. 2006, 28, 304–311. [Google Scholar] [CrossRef]
- Bai, J.; Chen, H.; Zhao, J. Seismic design and subassemblage tests of buckling-restrained braced RC frames with shear connector gusset connections. Eng. Struct. 2021, 234, 112018. [Google Scholar] [CrossRef]
- Chou, C.; Tsai, W.; Chung, P. Development and validation tests of a dual-core self-centering sandwiched buckling-restrained brace (SC-SBRB) for seismic resistance. Eng. Struct. 2016, 121, 30–41. [Google Scholar] [CrossRef]
- Miller, D.J.; Fahnestock, L.A.; Eatherton, M.R. Development and experimental validation of a nickel–titanium shape memory alloy self-centering buckling-restrained brace. Eng. Struct. 2012, 40, 288–298. [Google Scholar] [CrossRef]
- Nazarimofrad, E.; Shokrgozar, A. Seismic performance of steel braced frames with self-centering buckling-restrained brace utilizing superelastic shape memory alloys. Struct. Des. Tall Spec. Build. 2019, 28, e1666. [Google Scholar] [CrossRef]
- Christopoulos, C.; Tremblay, R.; Kim, H.J. Self-Centering Energy Dissipative Bracing System for the Seismic Resistance of Structures: Development and Validation. J. Struct. Eng. 2008, 134, 96–107. [Google Scholar] [CrossRef]
- Xu, L.; Fan, X.; Li, Z. Cyclic behavior and failure mechanism of self-centering energy dissipation braces with pre-pressed combination disc springs. Earthq. Eng. Struct. Dyn. 2017, 46, 1065–1080. [Google Scholar] [CrossRef]
- Xu, L.; Chen, P.; Li, Z. Development and validation of a versatile hysteretic model for pre-compressed self-centering buckling-restrained brace. J. Constr. Steel Res. 2021, 177, 106473. [Google Scholar] [CrossRef]
- Pan, P.; Li, W.; Nie, X. Seismic performance of a reinforced concrete frame equipped with a double-stage yield buckling restrained brace. Struct. Des. Tall Spec. Build. 2017, 26, e1335. [Google Scholar] [CrossRef]
- Kim, D.H.; Ju, Y.K.; Kim, M.H. Wind-induced vibration control of tall buildings using hybrid buckling-restrained braces. Struct. Des. Tall Spec. Build. 2014, 23, 549–562. [Google Scholar] [CrossRef]
- Kim, D.H.; Ju, Y.K.; Kim, M.H. Experimental Study on the Vibration Control Capacity of Hybrid Buckling-Restrained Braces. J. Korean Soc. Steel Constr. 2009, 21, 83–91. [Google Scholar]
- Lakes, R.S. Viscoelastic measurement techniques. Rev. Sci. Instrum. 2004, 75, 797–810. [Google Scholar]
- Xu, Z.D.; Liao, Y.X.; Ge, T. Experimental and theoretical study of viscoelastic dampers with different matrix rubbers. J. Eng. Mech. 2016, 142, 04016051. [Google Scholar] [CrossRef]
- Schwarz, R.B.; Vuorinen, J.F. Resonant ultrasound spectroscopy: Applications, current status and limitations. J. Alloys Compd. 2000, 310, 243–250. [Google Scholar] [CrossRef]
- Lee, T.; Lakes, R.S.; Lal, A. Resonant ultrasound spectroscopy for measurement of mechanical damping: Comparison with broadband viscoelastic spectroscopy. Rev. Sci. Instrum. 2000, 71, 2855–2861. [Google Scholar] [CrossRef] [Green Version]
- Tsai, C.S. Temperature effect of viscoelastic dampers during earthquakes. J. Struct. Eng. 1994, 120, 394–409. [Google Scholar] [CrossRef]
- Chang, K.C.; Soong, T.T.; Oh, S. Seismic behavior of steel frame with added viscoelastic dampers. J. Struct. Eng. 1995, 121, 1418–1426. [Google Scholar] [CrossRef]
- Bergman, D.M.; Hanson, R.D. Viscoelastic mechanical damping devices tested at real earthquake displacements. Earthq. Spectra 1993, 9, 389–417. [Google Scholar] [CrossRef]
- Park, S.W. Analytical modeling of viscoelastic dampers for structural and vibration control. Int. J. Solids Struct. 2001, 38, 8065–8092. [Google Scholar] [CrossRef]
- Xu, Z.; Wang, D.; Shi, C. Model, tests and application design for viscoelastic dampers. J. Vib. Control. 2011, 17, 1359–1370. [Google Scholar] [CrossRef]
- Chang, K.C.; Soong, T.T.; Oh, S.T. Seismic Response of a 2/5 Scale Steel Structure with Added Viscoelastic Dampers. Report No. NCEER 91, 1991, 12. Available online: https://www.eng.buffalo.edu/mceer-reports/91/91-0012.pdf (accessed on 18 July 2022).
- Chang, K.; Lin, Y. Seismic response of full-scale structure with added viscoelastic dampers. J. Struct. Eng. 2004, 130, 600–608. [Google Scholar] [CrossRef]
- Open System for Earthquake Engineering Simulation (OpenSees) Pacific Earthquake Engineering Research Center. Univ. of California, 2013. Available online: https://apps.peer.berkeley.edu/products/opensees.html (accessed on 16 July 2022).
- Kang, J. Seismic Performance Analysis and Design of High-Rise Buildings with Energy Dissipation Devices under Super-Strong Earthquake. Master’s Thesis, Dalian Polytechnic University, Dalian, China, May 2015. [Google Scholar]
- GB50011-2010; Code for Seismic Design of Buildings. Ministry of Construction of the People’s Republic of China: Beijing, China, 2010.




















| Parameters | Frequency (Hz) | Shear Strain (%) | |||||
|---|---|---|---|---|---|---|---|
| 10% | 30% | 50% | 100% | 150% | 200% | ||
| Shear modulus (Mpa) | 0.2 | 0.83 | 0.62 | 0.49 | 0.34 | 0.31 | 0.28 |
| 0.3 | 0.92 | 0.63 | 0.52 | 0.36 | 0.32 | 0.28 | |
| 0.6 | 0.83 | 0.62 | 0.49 | 0.34 | 0.31 | 0.28 | |
| Loss factor | 0.2 | 0.23 | 0.31 | 0.40 | 0.37 | 0.32 | 0.25 |
| 0.3 | 0.23 | 0.31 | 0.43 | 0.39 | 0.33 | 0.28 | |
| 0.6 | 0.46 | 0.40 | 0.40 | 0.37 | 0.32 | 0.25 | |
| BRB | VED | ||||
|---|---|---|---|---|---|
| Length (mm) | Area of Yield Segment (mm2) | Length of Yield Segment (mm) | Section of Casing (mm) | Area (mm2) | Rubber Thickness (mm) |
| 1100 | 640 | 920 | □68 × 68 × 8 × 8 | 208,000 | 10 |
| Step | Load Protocols (mm) | 1 | 2 | Reversed Cycles |
|---|---|---|---|---|
| 1 | /kN | - | - | 20 |
| 2 | 0.24 | 20 | 3 | |
| 3 | 0.48 | 40 | 3 | |
| 4 | 0.95 | 80 | 3 | |
| 5 | 1.43 | 120 | 3 | |
| 6 | 1.90 | 160 | 3 | |
| 7 | 2.38 | 200 | 3 |
| Structural Component | Story | Section Size |
|---|---|---|
| Mega column | 1~24 | □900 × 900 × 65 × 65 |
| 25~36 | □800 × 800 × 40 × 40 | |
| 37~48 | □700 × 700 × 30 × 30 | |
| Frame column | 1~24 | □800 × 800 × 60 × 60 |
| 25~48 | □750 × 750 × 50 × 50 | |
| Mega girder | 1~48 | I 800 × 300 × 19 × 35 |
| Frame beam | 1~48 | HN 692 × 300 × 13 × 20 |
| Cross beam in mega columns | 1~48 | HN 700 × 300 × 13 × 24 |
| G/Mpa | η | G′/Mpa | G″/Mpa | A/m2 | h/m |
|---|---|---|---|---|---|
| 0.146 | 0.7 | 0.12 | 0.084 | 2 | 0.02 |
| Parameters of VED | Parameters of BRB | |||||||
|---|---|---|---|---|---|---|---|---|
kNs/mm | kN/mm | kN | kN | kN/mm | mm2 | kN | kN | |
| 67.88 | 678.8 | 0.015 | 225 | 6364 | 1272.8 | 2036.5 | ||
| BRB | VED | ||||
|---|---|---|---|---|---|
| Length (mm) | Area of Yield Segment (mm2) | Length of Yield Segment (mm) | Section of Casing (mm) | Area (mm2) | Rubber Thickness (mm) |
| 5657 | 6364 | 4730 | □250 × 250 × 8 × 8 | 2,000,000 | 20 |
| Cases | BRB-BF | VBRB-BF | Relative Error | |||
|---|---|---|---|---|---|---|
| Maximum Acceleration (m/s2) | Root Mean Square (m/s2) | Maximum Acceleration (m/s2) | Root Mean Square (m/s2) | Maximum Acceleration | Root Mean Square | |
| Wind 01 | 0.0692 | 0.0228 | 0.0622 | 0.0165 | 10.1% | 27.6% |
| Wind 02 | 0.0566 | 0.0187 | 0.0584 | 0.0147 | −3.2% | 21.4% |
| Wind 03 | 0.0756 | 0.0223 | 0.0759 | 0.0196 | −0.4% | 12.1% |
| Wind 04 | 0.0631 | 0.0195 | 0.0503 | 0.0168 | 20.3% | 13.8% |
| Wind 05 | 0.0692 | 0.0209 | 0.0593 | 0.0161 | 14.3% | 23.0% |
| Energy Dissipation by VED (J) | Elastic Strain Energy (J) | Additional Damping Ratio (%) | |
|---|---|---|---|
| Wind1 | 2.4152 × 104 | 1.2076 × 105 | 1.59 |
| Wind2 | 1.5064 × 104 | 1.0269 × 105 | 1.17 |
| Wind3 | 2.8166 × 104 | 1.1412 × 105 | 1.96 |
| Wind4 | 1.9571 × 104 | 7.6234 × 105 | 2.04 |
| Wind5 | 1.7927 × 104 | 1.1210 × 105 | 1.27 |
Publisher’s Note: MDPI stays neutral with regard to jurisdictional claims in published maps and institutional affiliations. |
© 2022 by the authors. Licensee MDPI, Basel, Switzerland. This article is an open access article distributed under the terms and conditions of the Creative Commons Attribution (CC BY) license (https://creativecommons.org/licenses/by/4.0/).
Share and Cite
Zhou, X.; Sun, T.; Sun, B.; Ma, N.; Ou, J. Vibration-Reduction Strategy for High-Rise Braced Frame Using Viscoelastic-Yielding Compounded BRB. Buildings 2022, 12, 1159. https://doi.org/10.3390/buildings12081159
Zhou X, Sun T, Sun B, Ma N, Ou J. Vibration-Reduction Strategy for High-Rise Braced Frame Using Viscoelastic-Yielding Compounded BRB. Buildings. 2022; 12(8):1159. https://doi.org/10.3390/buildings12081159
Chicago/Turabian StyleZhou, Xiangzi, Tianshu Sun, Baoyin Sun, Ning Ma, and Jinping Ou. 2022. "Vibration-Reduction Strategy for High-Rise Braced Frame Using Viscoelastic-Yielding Compounded BRB" Buildings 12, no. 8: 1159. https://doi.org/10.3390/buildings12081159
APA StyleZhou, X., Sun, T., Sun, B., Ma, N., & Ou, J. (2022). Vibration-Reduction Strategy for High-Rise Braced Frame Using Viscoelastic-Yielding Compounded BRB. Buildings, 12(8), 1159. https://doi.org/10.3390/buildings12081159

