Effect of Composite Impregnation on Properties of Recycled Coarse Aggregate and Recycled Aggregate Concrete
Abstract
:1. Introduction
2. Materials and Methods
2.1. Materials
2.2. Impregnation Treatment Methods
2.3. Preparation of Concrete
2.4. Physical Properties Test of RCA
2.5. Concrete Slump and Mechanical Properties Test
2.6. Microstructure Performance Test
3. Results and Discussion
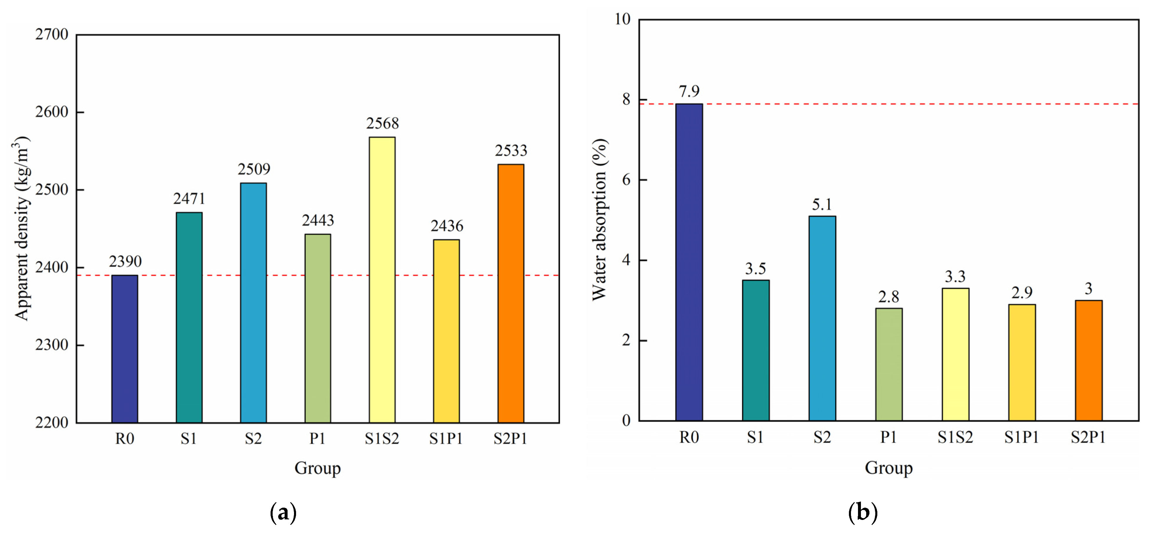
3.1. Physical Properties of RCA and Slump
3.2. Basic Mechanical Properties of Recycled Aggregate Concrete
3.3. The Enhancement Coefficients
4. Micro–Analysis of RCA and Recycled Aggregate Concrete
4.1. Surface Microstructure of RCA
4.2. Analysis of the Internal Microstructure of Recycled Aggregate Concrete
5. Conclusions
- (1)
- Composite impregnation treatment can comprehensively improve the physical properties of RCA and show higher stability. Among them, the composite impregnation treatment of sodium silicate and silane has the best repair effect on the cracks and holes on the surface of RCA, and the increase of apparent density and the decrease of the crushing index is the most obvious. Using PVA solution single impregnation, sodium silicate, and PVA composite impregnation treatment, the surface of RCA formed a hydrophobic membrane to isolate water molecules, which improved the water absorption of RCA best.
- (2)
- All composite impregnation schemes can effectively improve the working performance of recycled aggregate concrete, in which the composite impregnation of sodium silicate and silane can increase the slump of fresh recycled aggregate concrete slurry by 9.8%.
- (3)
- After impregnation strengthening treatment, the enhancement coefficient of basic mechanical properties of each specimen is greater than 1.0, which shows that three chemical strengthening agents and different impregnation treatments can effectively improve the basic mechanical properties of recycled aggregate concrete. According to the composite effect coefficient, only the composite impregnation of sodium silicate and silane can produce a positive composite effect, which can effectively improve the basic mechanical properties of recycled aggregate concrete specimens. The cubic compressive strength, split tensile strength, and flexural strength are improved by 26.53%, 21.70%, and 14.72%, respectively. The analysis results of the standard deviation of the strength of recycled aggregate concrete show that the treatment of three chemical strengthening agents and different treatment methods have a certain improvement effect on the strong dispersion of recycled aggregate concrete.
- (4)
- According to the analysis of scanning electron microscopy images, the ITZ of recycled aggregate concrete with sodium silicate and silane composite impregnation has rich hydration products and compact accumulation, and the interfacial strengthening and toughening effects are the most obvious. The strengthening effect of sodium silicate and PVA and silane and PVA composite impregnation treatment is not obvious because the hydrophobic film formed by PVA is covered on the surface of aggregate so that the hydrolysis product of sodium silicate and the residual alkoxy group of silane cannot fully contact with cement mortar, and the interface hydration is less and the structure is loose. Compared with single impregnation, the proper composite impregnation scheme can better repair the original defects of RCA and form a denser ITZ, thus improving the mechanical properties of recycled aggregate concrete.
Author Contributions
Funding
Institutional Review Board Statement
Informed Consent Statement
Data Availability Statement
Conflicts of Interest
References
- Behera, M.; Bhattacharyya, S.K.; Minocha, A.K.; Deoliya, R.; Maiti, S. Recycled aggregate from C&D waste & its use in concrete—A breakthrough towards sustainability in construction sector: A review. Constr. Build. Mater. 2014, 68, 501–516. [Google Scholar] [CrossRef]
- Silva, F.A.; Delgado, J.M.; Azevedo, A.C.; Lima, A.G.; Vieira, C.S. Preliminary analysis of the use of construction waste to replace conventional aggregates in concrete. Buildings 2021, 11, 81. [Google Scholar] [CrossRef]
- Etxeberria, M.; Vázquez, E.; Marí, A.; Barra, M. Influence of amount of recycled coarse aggregates and production process on properties of recycled aggregate concrete. Cem. Concr. Res. 2007, 37, 735–742. [Google Scholar] [CrossRef]
- Yehia, S.; Helal, K.; Abusharkh, A.; Zaher, A.; Istaitiyeh, H. Strength and durability evaluation of recycled aggregate concrete. Int. J. Concr. Struct. Mater. 2015, 9, 219–239. [Google Scholar] [CrossRef] [Green Version]
- Li, W.; Xiao, J.; Sun, Z.; Kawashima, S.; Shah, S.P. Interfacial transition zones in recycled aggregate concrete with different mixing approaches. Constr. Build. Mater. 2012, 35, 1045–1055. [Google Scholar] [CrossRef] [Green Version]
- Tam, V.W.; Gao, X.F.; Tam, C.M. Microstructural analysis of recycled aggregate concrete produced from two–stage mixing approach. Cem. Concr. Res. 2005, 35, 1195–1203. [Google Scholar] [CrossRef] [Green Version]
- Pedro, D.; De Brito, J.; Evangelista, L. Performance of concrete made with aggregates recycled from precasting industry waste: Influence of the crushing process. Mater. Struct. 2015, 48, 3965–3978. [Google Scholar] [CrossRef]
- Lippiatt, N.; Bourgeois, F. Investigation of microwave–assisted concrete recycling using single–particle testing. Miner. Eng. 2012, 31, 71–81. [Google Scholar] [CrossRef] [Green Version]
- Ménard, Y.; Bru, K.; Touzé, S.; Lemoign, A.; Poirier, J.E.; Ruffie, G.; Von Der Weid, F. Innovative process routes for a high–quality concrete recycling. Waste Manag. 2013, 33, 1561–1565. [Google Scholar] [CrossRef]
- Çakır, Ö.; Dilbas, H. Durability properties of treated recycled aggregate concrete: Effect of optimized ball mill method. Constr. Build. Mater. 2021, 268, 121776. [Google Scholar] [CrossRef]
- Mondal, S.; Ghosh, A.D. Review on microbial induced calcite precipitation mechanisms leading to bacterial selection for microbial concrete. Constr. Build. Mater. 2019, 225, 67–75. [Google Scholar] [CrossRef]
- Tam, V.W.; Tam, C.M.; Le, K.N. Removal of cement mortar remains from recycled aggregate using pre–soaking approaches. Resour. Conserv. Recycl. 2007, 50, 82–101. [Google Scholar] [CrossRef] [Green Version]
- Pavlu, T.; Pazderka, J.; Fořtová, K.; Řepka, J.; Mariaková, D.; Vlach, T. The Structural Use of Recycled Aggregate Concrete for Renovation of Massive External Walls of Czech Fortification. Buildings 2022, 12, 671. [Google Scholar] [CrossRef]
- Pavlů, T.; Fořtová, K.; Řepka, J.; Mariaková, D.; Pazderka, J. Improvement of the durability of recycled masonry aggregate concrete. Materials 2020, 13, 5486. [Google Scholar] [CrossRef] [PubMed]
- Spaeth, V.; Tegguer, A.D. Improvement of recycled concrete aggregate properties by polymer treatments. Int. J. Sustain. Built Environ. 2013, 2, 143–152. [Google Scholar] [CrossRef] [Green Version]
- Christodoulou, C.; Goodier, C.I.; Austin, S.A.; Webb, J.; Glass, G.K. Long–term performance of surface impregnation of reinforced concrete structures with silane. Constr. Build. Mater. 2013, 48, 708–716. [Google Scholar] [CrossRef] [Green Version]
- Park, S.S.; Kim, Y.Y.; Lee, B.J.; Kwon, S.J. Evaluation of concrete durability performance with sodium silicate impregnants. Adv. Mater. Sci. Eng. 2014, 2014, 945297. [Google Scholar] [CrossRef] [Green Version]
- Bui, N.K.; Satomi, T.; Takahashi, H. Mechanical properties of concrete containing 100% treated coarse recycled concrete aggregate. Constr. Build. Mater. 2018, 163, 496–507. [Google Scholar] [CrossRef]
- Alqarni, A.S.; Abbas, H.; Al–Shwikh, K.M.; Al–Salloum, Y.A. Influence of Treatment Methods of Recycled Concrete Aggregate on Behavior of High Strength Concrete. Buildings 2022, 12, 494. [Google Scholar] [CrossRef]
- Kou, S.C.; Poon, C.S. Properties of concrete prepared with PVA–impregnated recycled concrete aggregates. Cem. Concr. Compos. 2010, 32, 649–654. [Google Scholar] [CrossRef]
- Al–Baghdadi, H.M. Experimental study on sulfate resistance of concrete with recycled aggregate modified with polyvinyl alcohol (PVA). Case Stud. Constr. Mater. 2021, 14, e00527. [Google Scholar] [CrossRef]
- Xu, J. Study on Modification of Recycled Aggregate Concrete and Its Application. Master’s Thesis, Anhui University of Technology, Ma’anshan, China, 2017. [Google Scholar]
- Kachouh, N.; El–Maaddawy, T.; El–Hassan, H.; El–Ariss, B. Shear Behavior of Steel–Fiber–Reinforced Recycled Aggregate Concrete Deep Beams. Buildings 2021, 11, 423. [Google Scholar] [CrossRef]
- Xiao, J.; Li, L.; Tam, V.W.; Li, H. The state of the art regarding the long–term properties of recycled aggregate concrete. Struct. Concr. 2014, 15, 3–12. [Google Scholar] [CrossRef]
- JGJ 52–2006; Standard for Technical Requirements and Test Method of Sand and Crushed Stone (or Gravel) for Ordinary Concrete. Ministry of Housing and Urban–Rural Development of the People’s Republic of China: Beijing, China, 2006.
- GB/T50080–2002; Standard for Test Method of Performance on Ordinary Fresh Concrete. Ministry of Housing and Urban–Rural Development of the People’s Republic of China: Beijing, China, 2002.
- GB/T 50081–2019; Standard for Test Methods of Concrete Physical and Mechanical Properties. Ministry of Housing and Urban–Rural Development of the People’s Republic of China: Beijing, China, 2019.
- Poon, C.S.; Shui, Z.H.; Lam, L.; Fok, H.; Kou, S.C. Influence of moisture states of natural and recycled aggregates on the slump and compressive strength of concrete. Cem. Concr. Res. 2004, 34, 31–36. [Google Scholar] [CrossRef]
- Bai, G.; Zhu, C.; Liu, C.; Liu, B. An evaluation of the recycled aggregate characteristics and the recycled aggregate concrete mechanical properties. Constr. Build. Mater. 2020, 240, 117978. [Google Scholar] [CrossRef]
- Feng, C.; Cui, B.; Huang, Y.; Guo, H.; Zhang, W.; Zhu, J. Enhancement technologies of recycled aggregate–Enhancement mechanism, influencing factors, improvement effects, technical difficulties, life cycle assessment. Constr. Build. Mater. 2022, 317, 126168. [Google Scholar] [CrossRef]












| Sample NO | Strengthening Method | Strengthening Type |
|---|---|---|
| R0 | RCA | Untreated |
| S1 | Sodium silicate solution | Single impregnation |
| S2 | Silane slurry | |
| P1 | PVA solution | |
| S1S2 | Sodium silicate solution + silane slurry | Compound impregnation |
| S1P1 | Sodium silicate solution + PVA solution | |
| S2P1 | Silane slurry + PVA solution |
| Cement | Water | Coarse Aggregate | Fine Aggregate | Admixture | Water Reducing Agent | |||
|---|---|---|---|---|---|---|---|---|
| NCA | RCA | Machine–Made Sand | Sand | Fly Ash | Mineral Powder | |||
| 220 | 160 | 787.5 | 262.5 | 370 | 455 | 57 | 104 | 7.4 |
| Physical Property | Class I | Class II | Class Ⅲ |
|---|---|---|---|
| Apparent density (kg/m3) | >2450 | >2350 | >2250 |
| Water absorption (%) | <3 | <5 | <8 |
| Crushing index (%) | <12 | <20 | <30 |
| Sample NO | Compressive Strength/MPa | α1 | Split Tensile Strength/MPa | α2 | Flexural Strength/MPa | α3 |
|---|---|---|---|---|---|---|
| R0 | 29.920 | 1.000 | 2.553 | 1.000 | 4.300 | 1.000 |
| S1 | 32.387 | 1.082 | 2.647 | 1.037 | 4.367 | 1.016 |
| S2 | 34.757 | 1.162 | 2.920 | 1.144 | 4.733 | 1.101 |
| P1 | 33.630 | 1.124 | 2.723 | 1.067 | 4.633 | 1.077 |
| S1S2 | 37.857 | 1.265 | 3.107 | 1.217 | 4.933 | 1.147 |
| S1P1 | 33.807 | 1.130 | 2.850 | 1.116 | 4.533 | 1.054 |
| S2P1 | 35.560 | 1.189 | 2.830 | 1.108 | 4.700 | 1.093 |
| Sample NO | β1 | β2 | β3 |
|---|---|---|---|
| S1S2 | 1.006 | 1.026 | 1.025 |
| S1P1 | 0.929 | 1.009 | 0.963 |
| S2P1 | 0.910 | 0.908 | 0.922 |
Publisher’s Note: MDPI stays neutral with regard to jurisdictional claims in published maps and institutional affiliations. |
© 2022 by the authors. Licensee MDPI, Basel, Switzerland. This article is an open access article distributed under the terms and conditions of the Creative Commons Attribution (CC BY) license (https://creativecommons.org/licenses/by/4.0/).
Share and Cite
Zhong, C.; Tian, P.; Long, Y.; Zhou, J.; Peng, K.; Yuan, C. Effect of Composite Impregnation on Properties of Recycled Coarse Aggregate and Recycled Aggregate Concrete. Buildings 2022, 12, 1035. https://doi.org/10.3390/buildings12071035
Zhong C, Tian P, Long Y, Zhou J, Peng K, Yuan C. Effect of Composite Impregnation on Properties of Recycled Coarse Aggregate and Recycled Aggregate Concrete. Buildings. 2022; 12(7):1035. https://doi.org/10.3390/buildings12071035
Chicago/Turabian StyleZhong, Chuheng, Peng Tian, Yuhua Long, Jinzhi Zhou, Kun Peng, and Chengxin Yuan. 2022. "Effect of Composite Impregnation on Properties of Recycled Coarse Aggregate and Recycled Aggregate Concrete" Buildings 12, no. 7: 1035. https://doi.org/10.3390/buildings12071035
APA StyleZhong, C., Tian, P., Long, Y., Zhou, J., Peng, K., & Yuan, C. (2022). Effect of Composite Impregnation on Properties of Recycled Coarse Aggregate and Recycled Aggregate Concrete. Buildings, 12(7), 1035. https://doi.org/10.3390/buildings12071035
