Comparison between Predicted and Measured Moisture Content and Climate in 12 Monitored Timber Structures in Switzerland
Abstract
1. Introduction
2. State of the Art
2.1. Alpine Climate
2.2. Methods for Relating Climate to Region
- North of the Alps (red), i.e., Jura, Central Plateau, the Northern Alps;
- Inner Alps (blue), i.e., the Western and Eastern Alps;
- South of the Alps (green), i.e., the Southern Alps.
2.3. Climate and Timber Structures across the European Continent
2.4. Relative Humidity
2.5. Monitoring Moisture Content Methods
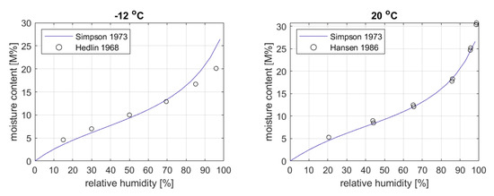
2.6. Equilibrium Moisture Content
K1 = 0.805 + 7.36 × 10−4 × T − 2.73 ×10−6 × T2
K2 = 6.27 − 9.38 ×10−3 × T − 3.03 ×10−4 × T2
K3 = 1.91 + 4.07 × 10−2 × T − 2.93 × 10−6 × T2
3. Data Acquisition and Analysis
3.1. Meteorological Data
3.2. Moisture Content Measurements
(ln(10) × (0.000158 × T + 0.0262))
3.3. Monitored Structures
4. Measured Climate and Predicted Moisture Content
4.1. Measured Climate and Predicted Moisture Content in Meteorological Stations
- North of the Alps, the RH remained below 80% in June and was greater than 80% in December;
- In the inner Alps, the RH was 60% in June and 80% in December;
- South of the Alps, the RH remained at around 70% throughout the year.
- North of the Alps, the equilibrium MC varied between 12 M% in June and 24 M% in December;
- In the inner Alps, the equilibrium MC varied between 11 M% in June and 19 M% in December;
- South of the Alps, the equilibrium MC varied between 12 M% in June and 18 M% in December.
4.2. Measured Relative Humidity and Moisture Contents in the Monitored Structures
4.3. Measured Annual Climate and Predicted Moisture Content per Region
5. Discussion
6. Conclusions
Author Contributions
Funding
Data Availability Statement
Acknowledgments
Conflicts of Interest
References
- Schiere, M.; Franke, B.; Franke, S. Quality assurance and design of timber structures in varying climates. In Proceedings of the INTER 2020 meeting 53, Karlsruhe, Germany, 17–19 August 2020. [Google Scholar]
- Eurocode 5. Design of Timber Structures—Part 1-1: General—Common Rules and Rules for Buildings; EN 1995-1-1; European Committee for Standardization: Brussels, Belgium, 2004. [Google Scholar]
- Einwirkungen auf Tragwerke; SIA 261:2012; Schweizerischer Ingenieur- und Architektenverein: Zurich, Switzerland, 2012.
- MeteoSchweiz. Typische Wetterlagen im Alpenraum; Bundesamt für Meteorologie und Klimatologie MeteoSchweiz: Zürich-Flughafen, Switzerland, 2015. [Google Scholar]
- Frei, C.; Schär, C. A Precipitation Climatology of the Alps from High Resolution Rain-Gauge Observations. Int. J. Climatol. 1998, 18, 873–900. [Google Scholar] [CrossRef]
- Rubel, F.; Brugger, K.; Haslinger, K.; Auer, I. The climate of the European Alps: Shift of very high resolution Köppen-Geiger climate zones 1800–2100. Meteorol. Z. 2016, 26, 115–125. [Google Scholar] [CrossRef]
- Frese, M.; Blaß, H.J. Statistics of damages to timber structures in Germany. Eng. Struct. 2011, 33, 2969–2977. [Google Scholar] [CrossRef]
- Dietsch, P.; Winter, S. Structural failure in large-span timber structures: A comprehensive analysis of 230 cases. J. Struct. Saf. 2018, 71, 41–46. [Google Scholar] [CrossRef]
- Dietsch, P.; Gamper, A.; Merk, M.; Winter, S. Monitoring building climate and timber moisture gradient in large-span timber structures. J. Civ. Struct. Health Monit. 2015, 5, 153–165. [Google Scholar] [CrossRef]
- Jiang, Y.; Dietsch, P.; Winter, S. Agricultural buildings with timber structure—Preventative chemical wood preservation inevitably required? In Proceedings of the WCTE 2018 Conference, Seoul, Korea, 20–23 August 2018. [Google Scholar]
- Kehl, D. Feuchtetechnische Bemessung von Holzkonstruktionen nach WTA. Holzbau-Die Neue Quadriga 2013, 6, 24–28. [Google Scholar]
- Brischke, C.; Selter, V. Mapping the Decay Hazard of Wooden Structures in Topographically Divergent Regions. Forests 2020, 11, 510. [Google Scholar] [CrossRef]
- Geiger, R. Überarbeitete Neuausgabe von Geiger, R.: Köppen-Geiger/Klima der Erde. Wandkarte 1961, 1, 16. [Google Scholar]
- Kottek, M.; Greiser, J.; Beck, C.; Rudelf, B.; Rubel, F. World Map of the Köppen-Geiger Climate Classification Updated. Meteorol. Z. 2006, 15, 259–263. [Google Scholar] [CrossRef]
- Condé, S.; Richard, D. Europe’s Biodiversity—Biogeographical Regions and Seas; Biogeographical Regions in Europe. The Alpine Region—Mountains of Europe. Report: 1-52; Liamine, N., Ed.; European Environment Agency: Copenhagen, Sweden, 2002. [Google Scholar]
- Bundesamt für Umwelt. Abteilung Artenmanagement; Biogeographische Regionen der Schweiz, Bundesamt für Umwelt BAFU: Ittigen, Switzerland, 2019. [Google Scholar]
- Encyclopædia Britannica. Available online: www.britannica.com/science/biogeographic-region (accessed on 12 March 2021).
- Scheffer, T.C. A climate index for estimating the potential for decay in wood structures above ground. For. Prod. J. 1971, 21, 25–31. [Google Scholar]
- Lorenzo, D.; Fernández-Golfín, J.; Touza, M.; Lozano, A. Performance of a spruce bridge in north-west Spain after 12 years of exposure. Wood Mater. Sci. Eng. 2020, 15, 123–129. [Google Scholar] [CrossRef]
- Fragiacomo, M.; Fortino, S.; Tononic, D.; Usardi, I.; Toratti, T. Moisture-induced stresses perpendicular to grain in cross-sections of timber members exposed to different climates. Eng. Struct. 2011, 33, 3071–3078. [Google Scholar] [CrossRef]
- Pousette, A.; Malo, K.A.; Thelandersson, S.; Fortino, S.; Salokangas, L.; Wacker, J. Durable Timber Bridges: Final Report and Guidelines; ISSN 0284-5172; RISE Research Institutes of Sweden: Skellefteå, Sweden, 2017. [Google Scholar]
- Niklewski, J. Durability of Timber Members: Moisture Conditions and Service Life Assessment of Bridge Detailing. Ph.D. Thesis, Lund University, Lund, Sweden, 2018. [Google Scholar]
- Simpson, W. Equilibrium Moisture Content of Wood in Outdoor Locations in the United States and Worldwide; Research Note FPL-RN-0268; U.S. Department of Agriculture, Forest Service, Forest Products Laboratory: Madison, WI, USA, 1998.
- Skaar, C. Wood-Water Relations; Springer: Berlin, Germany, 1988; ISBN 3-540-19258-1. [Google Scholar]
- Simpson, W. Predicting equilibrium moisture content of wood by mathematical models. Wood Fiber 1973, 5, 41–49. [Google Scholar]
- MeteoSchweiz (Messinstrumente). Available online: www.meteoschweiz.admin.ch (accessed on 20 April 2021).
- Dössegger, R.; Haller, G.; Hoegger, B.; Joss, J.; Müller, G.; Pilet, G.; Wasserfallen, P.; Zbinden, P.; Ruppert, P. THYGAN Benützerinformationen und-Erfahrungen, in Automatische Messnetze SMA; Arbeitsbereich der Schweizer Meteorologische Anstalt: Zurich, Switzerland, 1992; pp. 1–60. [Google Scholar]
- Hedlin, C.P. Sorption Isotherms of twelve species at subfreezing temperatures. For. Prod. J. 1968, 17, 43–48. [Google Scholar]
- Frandsen, H.L. Modelling of Moisture Transport in Wood: State of the Art and Analytic Discussion; Aalborg University: Aalborg, Denmark, 2005; 1p. [Google Scholar]
- Forsén, H.; Tarvainen, V. Accuracy and Functionality of Hand-Held Wood Moisture Content Meters; Technical Research Centre of Finland, VTT Publications 420: Espoo, Finland, 2000. [Google Scholar]
- Dietsch, P.; Franke, S.; Franke, B.; Gamper, A.; Winter, S. Methods to determine wood moisture content and their applicability in monitoring concepts. J. Civ. Struct. Health Monit. 2014, 5, 115–127. [Google Scholar] [CrossRef]
- Brischke, C.; Rapp, A.; Bayerbach, R.; Morsing, N.; Fynholm, P.; Welzbacher, C. Monitoring the ‘‘material climate’’ of wood to predict the potential for decay: Results from in situ measure-ments on buildings. Build. Environ. 2008, 43, 1575–1582. [Google Scholar] [CrossRef]
- Franke, B.; Franke, S.; Müller, A. Case studies: Long-term monitoring of timber bridges. J. Civ. Struct. Health Monit. 2014, 5, 195–202. [Google Scholar] [CrossRef]
- Melin, C.; Gebäck, T.; Heintz, A.; Bjurman, J. Monitoring dynamic moisture gradients in wood us-ing inserted relative humidity and temperature sensors. E-Preserv. Sci. 2016, 13, 7–14. [Google Scholar]
- Fortino, S.; Hradil, P.; Genoese, A.; Genoese, A.; Pousette, A.; Fjellström, P.A. A multi-Fickian Hygro-Thermal Model for Timber Bridge Elements under Northern European Climates. In Proceedings of the WCTE 2016 Conference, Vienna, Austria, 22–25 August 2016. [Google Scholar]
- Li, H.; Perrin, M.; Eyma, F.; Jacob, X.; Gibiat, V. Moisture content monitoring in glulam structures by embedded sensors via electrical methods. Wood Sci. Technol. 2018, 52, 733–752. [Google Scholar] [CrossRef]
- Dyken, T.; Kepp, H. Monitoring the Moisture Content of Timber Bridges. In Proceedings of the ICTB International Conference on Timber Bridges, Lillehammer, Norway, 1 January 2010. [Google Scholar]
- Norsk Treteknisk Institut. Monitoring Five Timber Bridges in Norway—Results 2012; Report no. 310332; Bern University of Applied Sciences: Bern, Switzerland, 2013. [Google Scholar]
- Wärme-und Feuchtetechnisches Verhalten von Baustoffen und Bauprodukten—Bestimmung der Hygroskopischen Sorptionseigenschaften; SN EN ISO 12571:2000; Schweizer Ingenieur- und Architektenverein: Zurich, Switzerland, 2000.
- Kelsey, K. Sorption of water vapour by wood. Aust. J. Appl. Sci. 1957, 8, 42–54. [Google Scholar]
- Hansen, K. Sorption Isotherms—A Catalogue; Technical Report162/86; Technical University of Denmark, Department of Civil Engineering, Building Materials Laboratory: Copenhagen, Denmark, 1986. [Google Scholar]
- Rode, C.; Clorius, C. Modeling of Moisture Transport in Wood with Hysteresis and Temperature Dependent Sorption Characteristics. In Proceedings of the Performance of Exterior Envelopes of Whole Buildings IX: International Conference, Oak Ridge, TN, USA, 5–10 December 2004. [Google Scholar]
- Keylwerth, R.; Noack, D. Kammertrocknung von Schnittholz, Holz als Roh- und Werkstoff. Jahrg 1964, 22, 29–36. [Google Scholar]
- Deliiski, N. Evaluation of wood sorption models and creation of precision diagrams for the equilibrium moisture content. Druna Ind. 2011, 62, 301–309. [Google Scholar] [CrossRef][Green Version]
- SN EN 14080:3013. Holzbauwerke-Brettschichtholz und Balkenschichtholz–Anforderungen; Schweizer Ingenieur- und Architektenverein: Zurich, Switzerland, 2013.
- Franke, B.; Müller, A.; Franke, S.; Magnière, N. Langzeituntersuchung zu den Auswirkungen Wechselnder Feuchtegradienten in Blockverleimten Brettschichtholzträgern; Report number: 2851.DHB; Berner Fachhochschule: Bern, Switzerland, 2016; ISBN 978-3-9523787-7-9. [Google Scholar]
- ISO 2533:1975. Standard Atmosphere; International Organization for Standardization: Geneva, Switzerland, 1975.
- Rolland, C. Spatial and seasonal variations of air temperature lapse rates in Alpine regions. J. Clim. 2003, 16, 1032–1046. [Google Scholar] [CrossRef]










| March | June | September | December | |
|---|---|---|---|---|
| Geneva | 13.0 | 12.0 | 13.7 | 16.3 |
| Bern | 13.7 | 12.5 | 14.1 | 18.3 |
| Zurich | 13.0 | 13.1 | 14.9 | 18.3 |
| Berlin (Germany) | 14.9 | 12.8 | 14.5 | 20.0 |
| Paris (France) | 14.6 | 13.1 | 14.1 | 17.7 |
| Milan (Italy) | 13.4 | 13.8 | 15.0 | 15.2 |
| Rome (Italy) | 15.2 | 15.5 | 15.5 | 14.7 |
| Type | Name/Location (Construction) | Region | m.a.s.l. | Monitoring Data, Method | Sensor Name | Sensor Depth (Cross-Section) in mm | |
|---|---|---|---|---|---|---|---|
| 1 | Bridge (obstacle: river) | Bubenei/ Schüpbach (1988) | N. Alps | 680 | 2012–2020 ER | 3.1 3.2 3.3 | 20 (220) 10 (220) 20 (220) |
| 2 | Bridge (river) | Kirchenbrücke/ Mouthatal (2009) | N. Alps | 620 | 2009–2011 ER | E-I-1 | 90 (900 × 1000) |
| 3 | Bridge ( river) | Obermatt/ Lauperswil (2007) | N. Alps | 650 | 2010–2020 ER | S-T-3 S-T-5 | 105 (120) 105 (120) |
| 4 | Bridge (obstacle: road) | Horen/Aarau (2008) | Jura | 420 | 2009–2012 ER | E-I-4 E-I-5 M-O-1 | 200 (1080 × 1680) 50 (1080 × 1680) 50 (1080 × 1680) |
| 5 | Bridge (obstacle: river) | Schachenhaus/ Trubschachen (2000) | N. Alps | 730 | 2011–2014 ER | HF-T-1 HF-OF-1 | 105 (160) 20 (200 × 1100) |
| 6 | Bridge (river) | Neumatt/ Burgdorf (2013) | C. Plateau | 550 | 2013–2019 | ||
| 7 | Riding hall | Einsiedeln (2017) | N. Alps | 880 | 2017–2018 ER | MS1-15 MS2-15 | 15 (200 × 960) 15 (200 × 960) |
| 8 | Cable car | Andermatt (2017) | E. Alps | 1460 | 2017–2020 SM | MS1-S MS2-S | 30 (480 × 880) 30 (480 × 928) |
| 9 | Cable car | Nätschen (2017) | E. Alps | 1950 | 2017–2020 SM | MS1-S MS2-S | 30 (240 × 928) 30 (160 × 560) |
| 10 | Cable car | Schneehueenerstock (2018) | E. Alps | 2600 | 2018–2020 SM | MS1-S MS2-S | 30 (360 × 560) 30 (160 × 200) |
| 11 | Ice rink | Le Locle (2011) | Jura | 1260 | 2017–2020 ER | US-15 U-15 | 15 (360 × 700) 15 (360 × 700) |
| 12 | Ice rink | Delémont (2008) | Jura | 430 | 2017–2020 ER | US-15 U-15 | 15 (320 × 660) 15 (320 × 660) |
| Region | Predicted Moisture Content at 500 m.a.s.l. | 2σ from Trend Line | Lapse Rate |
|---|---|---|---|
| North of the Alps | 16.6 M% | 2.3 M% | 0.47 M%/1000 m |
| Inner Alps | 13.9 M% | 3.1 M% | 1.20 M%/1000 m |
| South of the Alps | 14.6 M% | 1.7 M% | 0.43 M%/1000 m |
Publisher’s Note: MDPI stays neutral with regard to jurisdictional claims in published maps and institutional affiliations. |
© 2021 by the authors. Licensee MDPI, Basel, Switzerland. This article is an open access article distributed under the terms and conditions of the Creative Commons Attribution (CC BY) license (https://creativecommons.org/licenses/by/4.0/).
Share and Cite
Schiere, M.; Franke, B.; Franke, S.; Müller, A. Comparison between Predicted and Measured Moisture Content and Climate in 12 Monitored Timber Structures in Switzerland. Buildings 2021, 11, 181. https://doi.org/10.3390/buildings11050181
Schiere M, Franke B, Franke S, Müller A. Comparison between Predicted and Measured Moisture Content and Climate in 12 Monitored Timber Structures in Switzerland. Buildings. 2021; 11(5):181. https://doi.org/10.3390/buildings11050181
Chicago/Turabian StyleSchiere, Marcus, Bettina Franke, Steffen Franke, and Andreas Müller. 2021. "Comparison between Predicted and Measured Moisture Content and Climate in 12 Monitored Timber Structures in Switzerland" Buildings 11, no. 5: 181. https://doi.org/10.3390/buildings11050181
APA StyleSchiere, M., Franke, B., Franke, S., & Müller, A. (2021). Comparison between Predicted and Measured Moisture Content and Climate in 12 Monitored Timber Structures in Switzerland. Buildings, 11(5), 181. https://doi.org/10.3390/buildings11050181

