A Quantitative Validation Method of Kriging Metamodel for Injection Mechanism Based on Bayesian Statistical Inference
Abstract
1. Introduction
2. Bayesian Statistics Inference Methodology
2.1. Bayesian Statistics Inference Modeling
2.2. Assessment of Model Confidence
2.3. Normality Test and Power Transformation
3. Results and Discussion
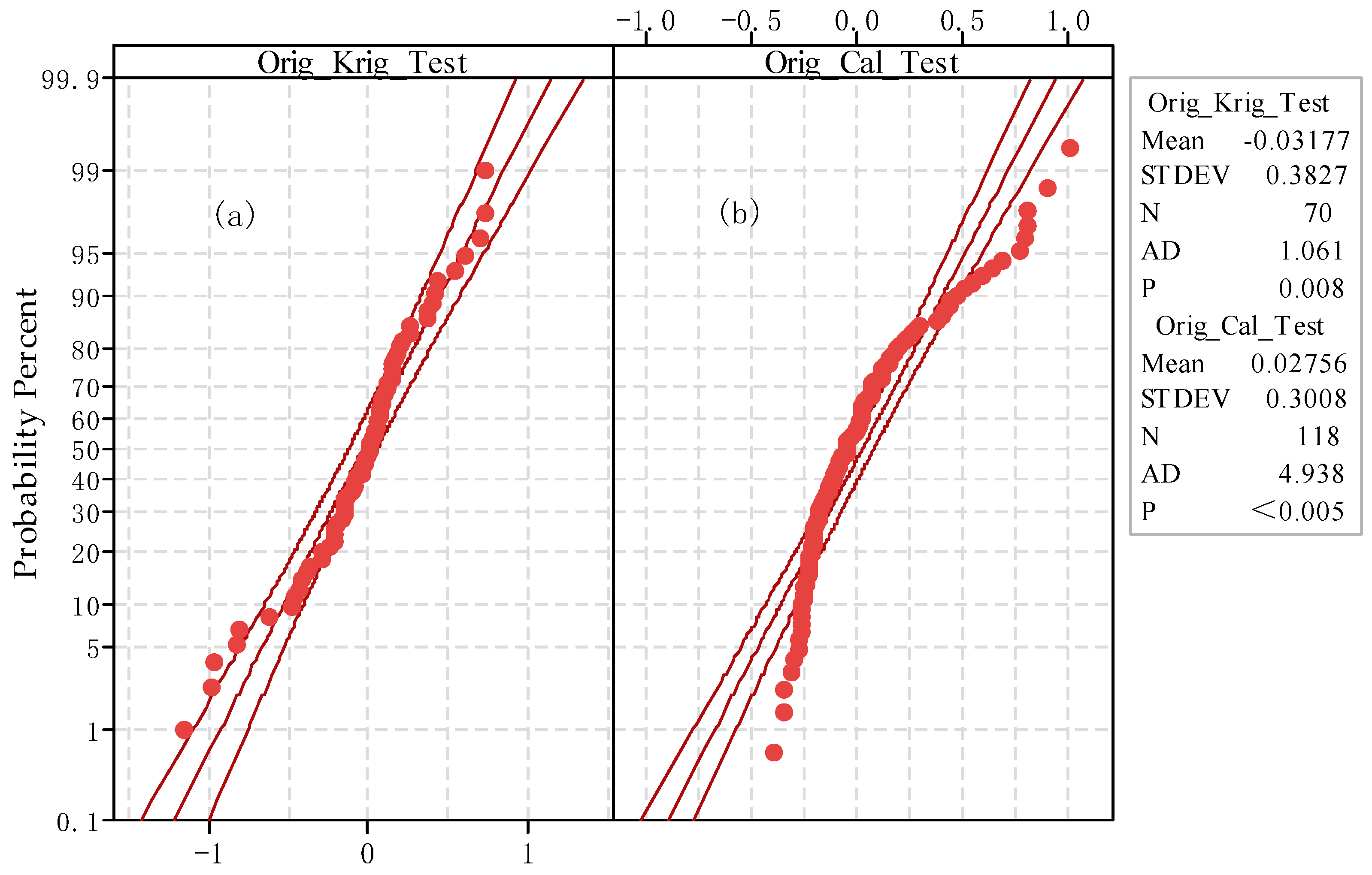
3.1. Normality Test Analysis
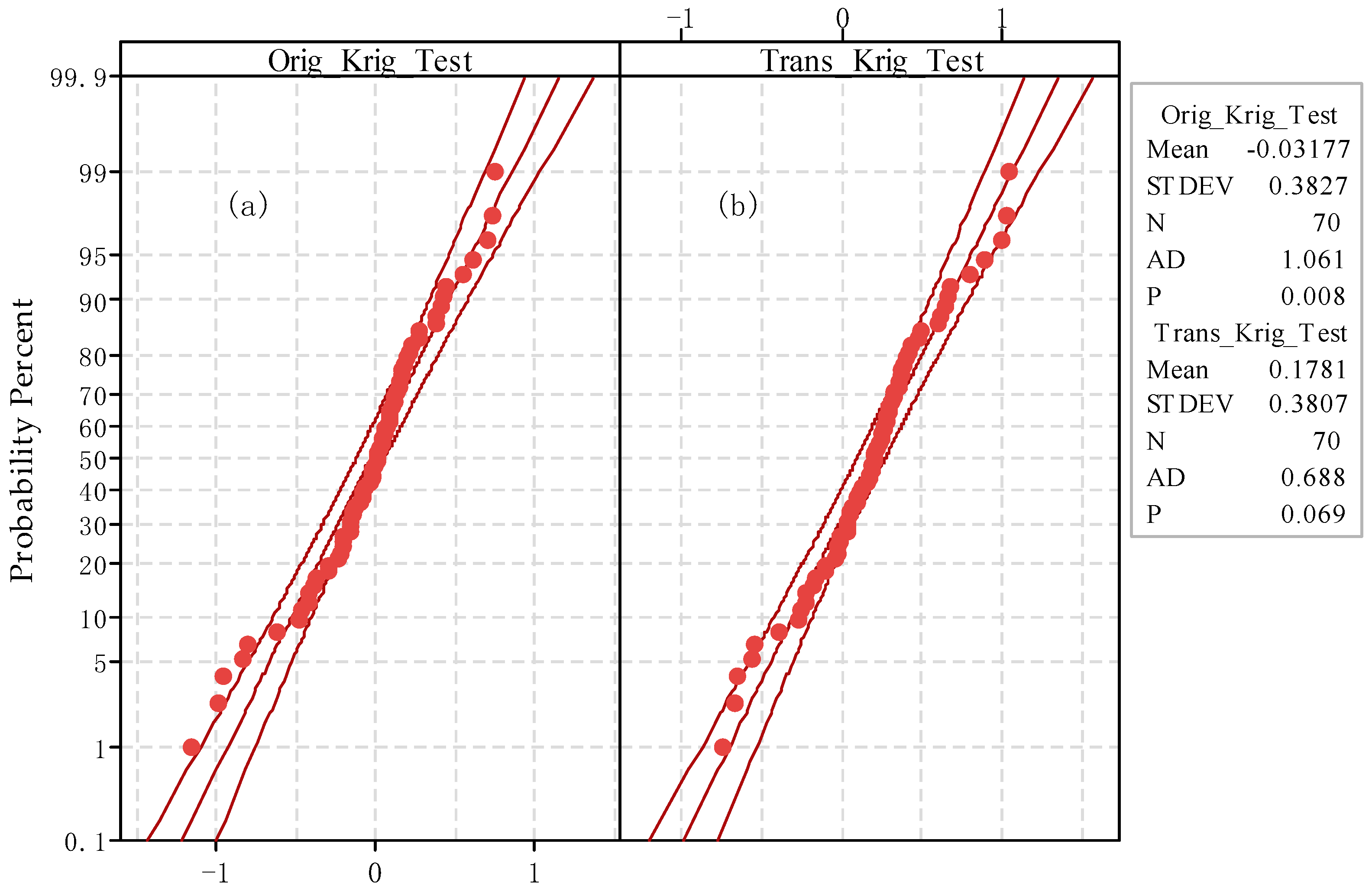
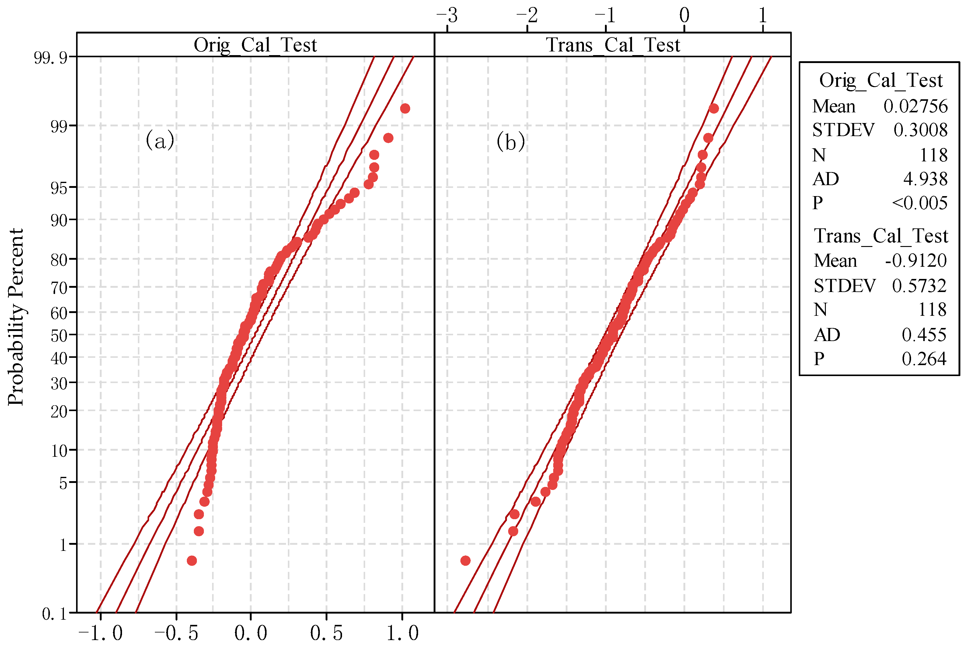
3.2. Box–Cox Transformation Results
3.3. Bayesian Hypothesis Testing
3.4. Sensitivity Analysis
4. Conclusions
Author Contributions
Funding
Conflicts of Interest
References
- You, D.; Wang, X.; Cheng, X.; Jiang, X. Friction modeling and analysis of injection process in squeeze casting. J. Mater. Process. Technol. 2017, 239, 42–51. [Google Scholar] [CrossRef]
- You, D.; Liu, D.; Jiang, X.; Cheng, X.; Wang, X. Temperature Uncertainty Analysis of Injection Mechanism Based on Kriging Modeling. Materials 2017, 10, 1319. [Google Scholar] [CrossRef]
- Oberkampf, W.L.; Trucano, T.G. Design of and comparison with verification and validation benchmarks. Nucl. Eng. Des. 2008, 238, 716–743. [Google Scholar] [CrossRef]
- Chen, W.; Baghdasaryan, L.; Buranathiti, T.; Cao, J. Model validation via uncertainty propagation and data transformations. AIAA J. 2014, 42, 1406–1415. [Google Scholar] [CrossRef]
- Beek, A.; Li, M.; Ren, C. Heuristics-enhanced model fusion considering incomplete data using kriging models. Mech. Des. 2018, 140, 021403. [Google Scholar] [CrossRef]
- Oberkampf, W.L.; Barone, M.F. Measures of agreement between computation and experiment: Validation metrics. J. Comput. Phys. 2006, 217, 5–36. [Google Scholar] [CrossRef]
- Gomez-Villegas, M.A.; Main, P.; Sanz, L. A Bayesian analysis for the multivariate point null testing problem. Statistics 2009, 43, 379–391. [Google Scholar] [CrossRef]
- Rebba, R.; Mahadevan, S. Computational methods for model reliability assessment. Reliab. Eng. Syst. Saf. 2008, 93, 1197–1207. [Google Scholar] [CrossRef]
- Jiang, X.; Mahadevan, S. Bayesian inference method for model validation and confidence extrapolation. J. Appl. Stat. 2009, 36, 659–677. [Google Scholar] [CrossRef]
- Jiang, X.; Mahadevan, S.; Urbina, A. Bayesian nonlinear structural equation modelling or hierarchical validation of dynamical systems. Mech. Syst. Signal Proc. 2010, 24, 957–975. [Google Scholar] [CrossRef]
- Jiang, X.; Mahadevan, S.; Yuan, Y. Fuzzy stochastic neural network model for structural system identification. Mech. Syst. Signal Proc. 2017, 82, 394–411. [Google Scholar] [CrossRef]
- Arendt, P.D.; Apley, D.W.; Chen, W. A preposterior analysis to predict identifiability in the experimental calibration of computer models. IIE Trans. 2016, 48, 75–88. [Google Scholar] [CrossRef]
- Arendt, P.D.; Apley, D.W.; Chen, W.J. Quantification of model uncertainty: Calibration, model discrepancy, and identifiability. Mech. Des. 2012, 134, 100908. [Google Scholar] [CrossRef]
- Han, G.; Santner, T.J.; Rawlinson, J.J. Simultaneous determination of tuning and calibration parameters for computer experiments. Technometrics 2009, 51, 464–474. [Google Scholar] [CrossRef] [PubMed]
- Pronzato, L.; Rendas, M. Bayesian local kriging. Technometrics 2017, 59, 293–304. [Google Scholar] [CrossRef]
- Bachoc, F.; Bois, G.; Garnier, J.; Martinez, J. Calibration and improved prediction of computer models by universal kriging. Nucl. Sci. Eng. 2014, 176, 81–97. [Google Scholar] [CrossRef]
- Jensen, H.A.; Essea, C.; Araya, V.; Papadimitriou, C. Implementation of an adaptive meta-model for bayesian finite element model updating in time domain. Reliab. Eng. Syst. Saf. 2017, 160, 174–190. [Google Scholar] [CrossRef]
- De Baar, J.H.S.; Dwight, R.P.; Bijl, H. Improvements to gradient-enhanced kriging using a bayesian interpretation. Int. J. Uncertain. Quantif. 2014, 4, 205–223. [Google Scholar] [CrossRef]
- Boojari, H.; Khaledi, M.J.; Rivaz, F. A non-homogeneous skew-Gaussian Bayesian spatial model. Stat. Methods. Appl. 2016, 25, 55–73. [Google Scholar] [CrossRef]
- Zhang, Y.M.; Park, C.Y.; Kim, N.H.; Haftka, R.T. Function prediction at one inaccessible point using converging lines. J. Mech. Des. 2017, 139, 051402. [Google Scholar] [CrossRef]
- Angelikopoulos, P.; Papadimitriou, C.; Koumoutsakos, P. X-TMCMC: Adaptive kriging for bayesian inverse modeling. Comput. Methods. Appl. Mech. Engrg. 2015, 289, 409–428. [Google Scholar] [CrossRef]
- Plumlee, M. Bayesian calibration of inexact computer models. J. Am. Stat. Assoc. 2017, 112, 1274–1285. [Google Scholar] [CrossRef]
- Jiang, X.; Yuan, Y.; Mahadevan, S.; Liu, X. An investigation of bayesian inference approach to model validation with non-normal data. J. Am. Stat. Assoc. 2013, 83, 1829–1851. [Google Scholar] [CrossRef]
- Rebba, R.; Mahadevan, S. Validation of models with multivariate outputs. Reliab. Eng. Syst. Saf. 2006, 91, 861–871. [Google Scholar] [CrossRef]
- Box, G.E.; Cox, D.R. An analysis of transformations. J. R. Stat. Soc. B. 1964, 211–252. [Google Scholar] [CrossRef]
- Bhardwaj, B.; Kumar, R.; Singh, P.K. Surface roughness (R-a) prediction model for turning of AISI 1019 steel using response surface methodology and Box-Cox transformation. Proc. Inst. Mech. Eng. Part B-J. Eng. Manuf. 2014, 228, 223–232. [Google Scholar] [CrossRef]
- Choi, J.; An, D.; Won, J. Bayesian approach for structural reliability analysis and optimization using the kriging dimension reduction method. J. Mech. Des. 2010, 132, 051003. [Google Scholar] [CrossRef]
- Romero, F.B.; Mcwilliams, J.M.; Fazio, E.A.; Izquierdo, F.A. Bayesian kriging regression for the accuracy improvement of beam modeled t-junctions of buses and coaches structures with a methodology based on fem behavioral analysis. Int. J. Automot. Technol. 2014, 15, 1027–1041. [Google Scholar] [CrossRef]
- Belligoli, Z.; Dwight, R.P.; Kok, G.J.P.; Lucas, P. A Bayesian study of uncertainty in ultrasonic flow meters under non-ideal flow conditions. Metrologia 2017, 54, 584–598. [Google Scholar] [CrossRef][Green Version]
- Fernandez-Zelaia, P.; Joseph, V.R.; Kalidindi, S.R.; Melkote, S.N. Estimating mechanical properties from spherical indentation using Bayesian approaches. Mater. Des. 2018, 147, 92–105. [Google Scholar] [CrossRef]
- Sen, O.; Gaul, N.J.; Davis, S.; Choi, K.K.; Jacobs, G.; Udaykumar, H.S. Role of pseudo-turbulent stresses in shocked particle clouds and construction of surrogate models for closure. Shock Waves 2018, 28, 579–597. [Google Scholar] [CrossRef]
- Kim, H.S.; Jang, S.G.; Kim, N.H.; Choi, J.H. Statistical calibration and validation of elasto-plastic insertion analysis in pyrotechnically actuated devices. Struct. Multidisc. Optim. 2016, 54, 1573–1585. [Google Scholar] [CrossRef]
- Im, J.B.; Park, J.S. Stochastic structural optimization using particle swarm optimization, surrogate models and Bayesian statistics. Chin. J. Aeronaut. 2013, 26, 112–121. [Google Scholar] [CrossRef]
- Jo, Y.; Yi, S.; Choi, S.; Lee, D.J.; Choi, D.Z. Adaptive variable-fidelity analysis and design using dynamic fidelity indicators. AIAA J. 2016, 54, 3564–3579. [Google Scholar] [CrossRef]
- Gang, J.H.; An, D.; Joo, J.W.; Choi, J.H. Uncertainty analysis of solder alloy material parameters estimation based on model calibration method. Microelectron. Reliab. 2012, 52, 1128–1137. [Google Scholar] [CrossRef]
- Karandikar, J.M.; Abbas, A.E.; Schmitz, T.L. Tool life prediction using Bayesian updating. Part 1: Milling tool life model using a discrete grid method. Precis. Eng. 2014, 38, 9–17. [Google Scholar] [CrossRef]
- Nannapaneni, S.; Mahadevan, S.; Rachuri, S. Performance evaluation of a manufacturing process under uncertainty using Bayesian networks. J. Clean. Prod. 2016, 113, 947–959. [Google Scholar] [CrossRef]
- Kikuchi, S.; Oda, H.; Kiyohara, S.; Mizoguchi, T. Bayesian optimization for efficient determination of metal oxide grain boundary structures. Physica B 2018, 532, 24–28. [Google Scholar] [CrossRef]
- Fernandez-Zelaia, P.; Melkote, S.N. Statistical calibration and uncertainty quantification of complex machining computer models. Int. J. Mach. Tool Manuf. 2019, 136, 45–61. [Google Scholar] [CrossRef]
- Migon, H.S.; Gamerman, D.; Louzada, F. Statistical Inference: An Integrated Approach; CRC Press: Boca Raton, FL, USA, 2014. [Google Scholar]
- Kass, R.; Raftery, A. Bayes factors. J. Am. Stat. Assoc. 1995, 90, 773–795. [Google Scholar] [CrossRef]
- Kong, Y.; Ye, Z. Goodness-of-fit tests in the multi-state Markov model. Eng. Syst. Saf. 2017, 166, 16–24. [Google Scholar] [CrossRef]
- Stephens, M.A. EDF statistics for goodness of fit and some comparisons. J. Am. Stat. Assoc. 1974, 69, 730–737. [Google Scholar] [CrossRef]
- Perry, M.B.; Walker, M.L. A prediction interval estimator for the original response when using Box-Cox transformations. J. Qual. Technol. 2015, 47, 278. [Google Scholar] [CrossRef]
- Box-Cox Transformations: An Overview. Available online: http://www.ams.sunysb.edu/~zhu/ams571/supplement6_transformation.pdf (accessed on 12 July 2017).








| Test | Data Points | Mean μ | Variance σ2 | Bayes Factor (ln) | Confidence (%) |
|---|---|---|---|---|---|
| Orig_Krig_Test | 70 | −0.0318 | 0.1465 | 2.1275 | 89.3543 |
| Trans_Krig_Test | 70 | 0.1781 | 0.1449 | 31.4951 | 100 |
| Orig _Cal_Test | 118 | 0.0276 | 0.0905 | 2.3639 | 91.4037 |
| Trans_Cal_Test | 118 | −0.9120 | 0.3286 | 16.6852 | 100 |
© 2019 by the authors. Licensee MDPI, Basel, Switzerland. This article is an open access article distributed under the terms and conditions of the Creative Commons Attribution (CC BY) license (http://creativecommons.org/licenses/by/4.0/).
Share and Cite
You, D.; Shen, X.; Zhu, Y.; Deng, J.; Li, F. A Quantitative Validation Method of Kriging Metamodel for Injection Mechanism Based on Bayesian Statistical Inference. Metals 2019, 9, 493. https://doi.org/10.3390/met9050493
You D, Shen X, Zhu Y, Deng J, Li F. A Quantitative Validation Method of Kriging Metamodel for Injection Mechanism Based on Bayesian Statistical Inference. Metals. 2019; 9(5):493. https://doi.org/10.3390/met9050493
Chicago/Turabian StyleYou, Dongdong, Xiaocheng Shen, Yanghui Zhu, Jianxin Deng, and Fenglei Li. 2019. "A Quantitative Validation Method of Kriging Metamodel for Injection Mechanism Based on Bayesian Statistical Inference" Metals 9, no. 5: 493. https://doi.org/10.3390/met9050493
APA StyleYou, D., Shen, X., Zhu, Y., Deng, J., & Li, F. (2019). A Quantitative Validation Method of Kriging Metamodel for Injection Mechanism Based on Bayesian Statistical Inference. Metals, 9(5), 493. https://doi.org/10.3390/met9050493

