Fine Description of Multi-Process Operation Behavior in Steelmaking-Continuous Casting Process by a Simulation Model with Crane Non-Collision Constraint
Abstract
1. Introduction
2. Description of the Simulation Model
2.1. Overview of Plant Simulation
2.2. Characteristics of the Simulation Model
- (a)
- The scheduling schemes of production plans for simulation are obtained by the artificial or scheduling models in advance, which mainly contains the expected starting (completion) times of casts in CCM and the facility assignments of heats in each process;
- (b)
- The processing times of heats in each process are determined by analyzing the statistical results of actual production, and the data of processing times with serious delays is removed without considering in simulation;
- (c)
- Since the trucks mainly play the roles of buffer stations for ladles waiting before (after) processing, and their short-distance transportations between spans could be neglected;
- (d)
- The case of ladles offline wouldn’t be considered in current simulation due to their long lifetimes between successive overhauls;
- (e)
- The running of empty ladles, where the maintenance station is named as HOTR, is also considered in simulation to precisely describe the turnover process of ladles.
2.3. Design of the Simulation Model
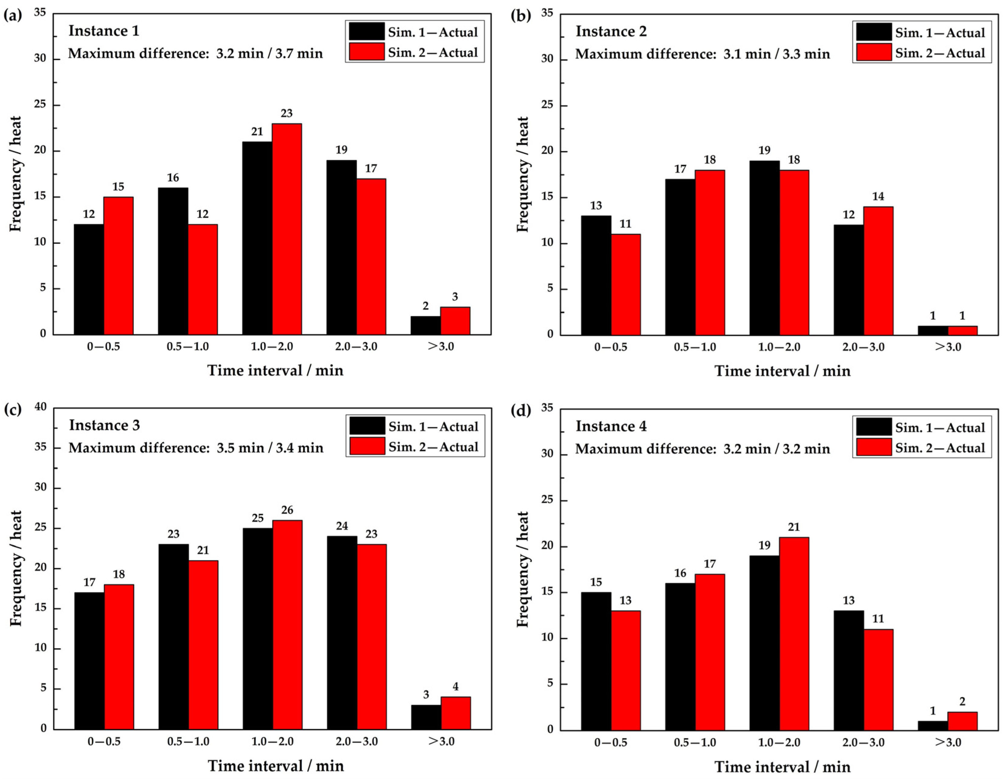
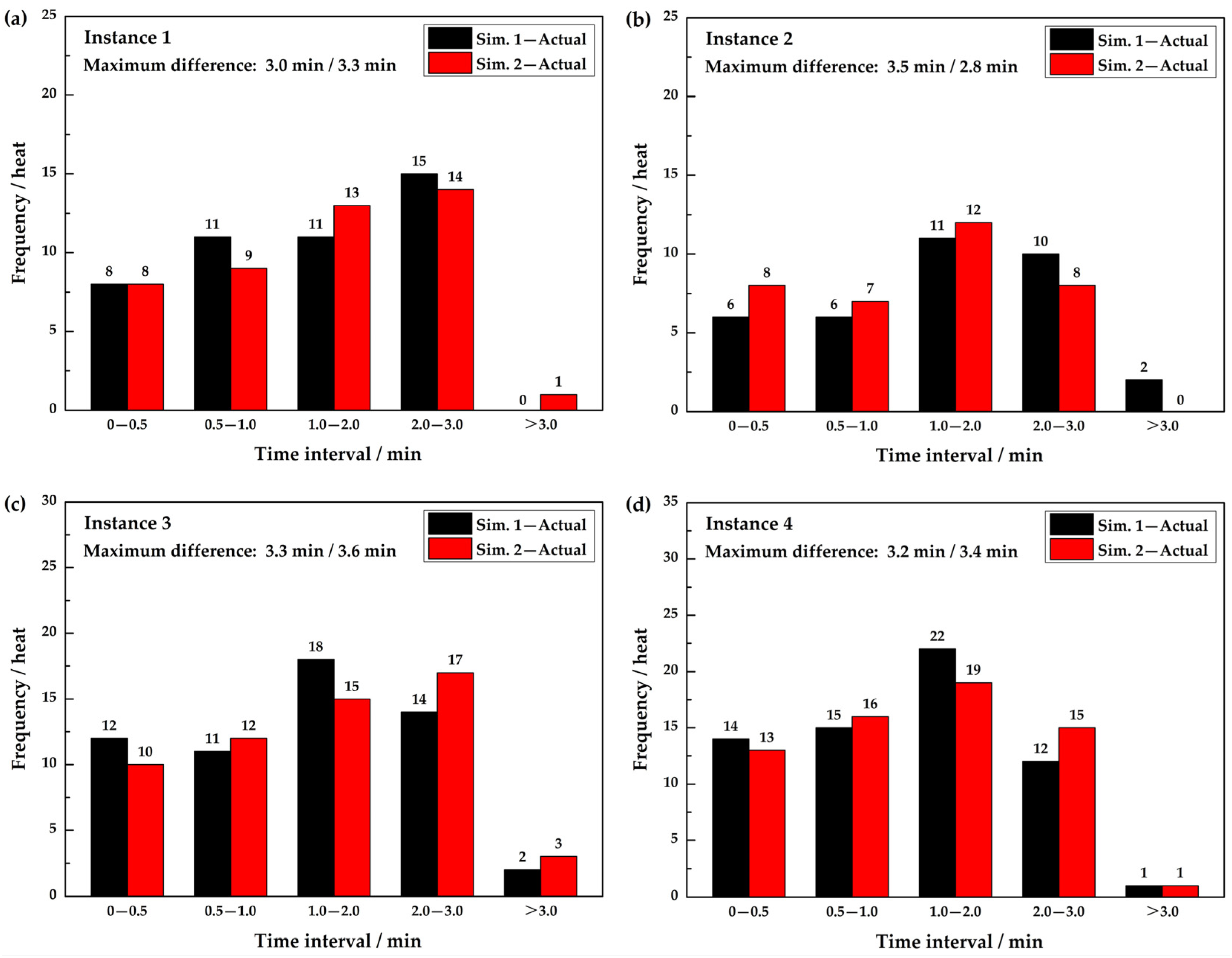
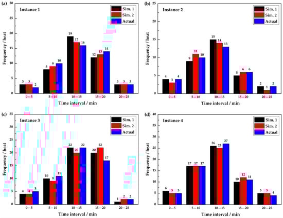
3. Simulation Experiment and Result Analysis
3.1. Studied Case
3.2. Simulation Experiment
3.3. Result Analysis
- (a)
- The total completed times of each simulation instance, which indicates, in each instance, the time elapsed from the start of the first heat in BOF till the end of the last heat in CCM;
- (b)
- The turnover number of ladles, which presents the required number of ladles in the whole process of simulation;
- (c)
- The transfer times of heats among different processes, which includes the waiting times of heats before (after) processing and the requisite transportation times between adjacent processes; The transfer times of heats from BOF (LF/RH) to LF (CCM) are recorded in this section.
4. Conclusions
Author Contributions
Funding
Acknowledgments
Conflicts of Interest
References
- Yin, R.Y. Theory and Methods of Metallurgical Process Integration, 1st ed.; Metallurgical Industry Press: Beijing, China, 2016; pp. 87–88. [Google Scholar]
- Birat, J.P. Steel cleanliness and environmental metallurgy. Metall. Res. Technol. 2016, 113, 1–24. [Google Scholar] [CrossRef]
- Liao, D.S.; Sun, S.; Waterfall, S.; Boylan, K.; Pyke, N.; Holdridge, D. Integrated KOBM steelmaking process control. In Proceedings of the 6th International Congress on the Science and Technology of Steelmaking, Beijing, China, 12–14 May 2015; Chinese Society for Metals: Beijing, China, 2015; pp. 107–112. [Google Scholar]
- Speer, J.G. The continuing development of modern steel products. In Proceedings of the AISTech 2018 Iron and Steel Technology Conference and Exposition, Philadelphia, PA, USA, 7–10 May 2018; Association for Iron and Steel Technology: Pittsburgh, PA, USA, 2018; pp. 1–6. [Google Scholar]
- Liu, Q.; Wang, B.; Wang, Z.; Xie, F.M.; Chang, J. Fine production in steelmaking plants. In Proceedings of the Joint 3rd UK-China Steel Research Forum & 15th CMA-UK Conference on Materials Science and Engineering, Oxford, UK, 10–11 July 2014; Elsevier: Amsterdam, The Netherlands, 2015; pp. 348–357. [Google Scholar]
- Mori, J.; Mahalec, V. Planning and scheduling of steel plates production. Part II: Scheduling of continuous casting. Comput. Chem. Eng. 2017, 101, 312–325. [Google Scholar] [CrossRef]
- Mao, K.; Pan, Q.K.; Chai, T.Y.; Luh, P.B. An Effective Subgradient Method for Scheduling a Steelmaking-Continuous Casting Process. IEEE Trans. Autom. Sci. Eng. 2015, 12, 1140–1152. [Google Scholar] [CrossRef]
- Wichmann, M.G.; Spengler, T.S. Slab scheduling at parallel continuous casters. Int. J. Prod. Econ. 2015, 170, 551–562. [Google Scholar] [CrossRef]
- Wei, Z.; Zhu, T.; He, T.Z. A Fast Heuristic Algorithm for Ladle Scheduling Based on Vehicle Routing Problem with Time Windows Model. ISIJ Int. 2014, 54, 2588–2597. [Google Scholar] [CrossRef][Green Version]
- Tang, L.X.; Zhao, Y.; Liu, J.Y. An improved differential evolution algorithm for practical dynamic scheduling in steelmaking-continuous casting production. IEEE Trans. Evol. Comput. 2014, 18, 209–225. [Google Scholar] [CrossRef]
- Jiang, S.L.; Zheng, Z.; Liu, M. A preference-inspired multi-objective soft scheduling algorithm for the practical steelmaking-continuous casting production. Comput. Ind. Eng. 2018, 115, 582–594. [Google Scholar] [CrossRef]
- Pan, Q.K. An effective co-evolutionary artificial bee colony algorithm for steelmaking-continuous casting scheduling. Eur. J. Oper. Res. 2016, 250, 702–714. [Google Scholar] [CrossRef]
- Fanti, M.P.; Iacobellis, G.; Rotunno, G.; Ukovich, W. A simulation based analysis of production scheduling in a steelmaking and continuous casting plant. In Proceedings of the 2013 IEEE International Conference on Automation Science and Engineering, Madison, WI, USA, 17–20 August 2013; IEEE Computer Society: Washington, WA, USA, 2013; pp. 150–155. [Google Scholar]
- Yu, S.P.; Lv, R.X.; Zheng, B.L.; Chai, T.Y. Simulation system for logistics in steelmaking process based on flexsim. In Proceedings of the 2009 Chinese Control and Decision Conference, Guilin, China, 17–19 June 2009; IEEE Computer Society: Washington, DC, USA, 2009; pp. 3741–3746. [Google Scholar]
- Wang, G.; Wang, B.; Wang, B.; Wang, C.; Mu, Y.Q.; Wang, B.L.; Liu, Q. Scheduling model for steelmaking-continuous casting process based on “furnace-caster matching” principle. Beijing Keji Daxue Xuebao 2013, 35, 1080–1092. [Google Scholar]
- Chen, E.J.; Lee, Y.M.; Selikson, P.L. A simulation study of logistics activities in a chemical plant. Simul. Model. Pract. Theory 2002, 10, 235–245. [Google Scholar] [CrossRef]
- Shan, H.Y.; Li, L.N.; Yuan, Y.; Wang, C. Simulation and optimization of production line in Em-plant based assembly workshop. In Proceedings of the 2018 IEEE International Conference on Industrial Engineering and Engineering Management, Bangkok, Thailand, 16–19 December 2018; IEEE Computer Society: Washington, DC, USA, 2018; pp. 1381–1385. [Google Scholar]
- Chai, S.F.; Luo, S.J.; Zhang, L.J. Study on simulation of the main shaft production line. Adv. Mater. Res. 2012, 472, 2076–2079. [Google Scholar] [CrossRef]
- Xiao, Y. Research on ladle scheduling based on UML and plant simulation in steel plant. Master’s Thesis, Chongqing University, Chongqing, China, 2012. [Google Scholar]
- He, L.M.; Hu, Y. Logistic simulator for steel-making process. Adv. Mater. Res 2011, 154, 712–715. [Google Scholar] [CrossRef]
- Deng, S.; Xu, A.J.; Wang, H.B. Simulation study on steel plant capacity and equipment efficiency based on plant simulation. Steel Res. Int. 2019, 90, 1800507, (1–14). [Google Scholar] [CrossRef]
- Bangsow, S. Manufacturing Simulation with Plant Simulation and SimTalk, 1st ed.; Springer: Berlin, Germany, 2010. [Google Scholar]
- Yu, S.P.; Chai, T.Y. Heuristic scheduling method for steelmaking and continuous casting production process. Control Theory Appl. 2016, 33, 1413–1421. [Google Scholar]
- Huang, B.F.; Tian, N.Y.; Shi, Z.; Ma, W. Steel ladle exchange models during steelmaking and continuous casting process. J. Iron Steel Res. Int. 2017, 24, 617–624. [Google Scholar] [CrossRef]













| Names of Facility Objects | Indications and Functions |
|---|---|
| HeatSource | Store and release heats (molten steel) as the given times |
| BefCCM | Store heats that wait for ladle preparation |
| Assembly | Realize the combination of heat (molten steel) and ladle |
| CCM | Station for heats casting |
| AftCCM | Station for heats waiting after casting |
| BefLF/AftLF | Station for heats waiting before/after refining |
| LFElectrify/LFSoft | Stations for heats electrified heating and soft blowing in LF |
| BefBOF/AftBOF | Station for heats waiting before/after primary smelting |
| BOFTapping | Station for heats tapping, and realize the separation of molten steel from ladle |
| BOFBlowing | Station for heats blowing in BOF |
| TappingPre | Release the demand of ladles conveying after tapping |
| BefLadleSta | Station for ladles waiting before sand filling |
| Sand | Station for ladles sand filling |
| HotRepair | Station for ladles repairing and maintaining |
| LadleSta | Station for ladles generating and storing |
| AftLadleSta | Station for ladles waiting before online |
| Track | Track for crane running |
| Device Type | Amount/Set | Specification | Standard Processing Cycle/min |
|---|---|---|---|
| BOF | 4 | 130 1 | 40 |
| LF | 4 | 130 | Electrified heating: 30 |
| Soft Blowing: 12 | |||
| RH | 2 | 130 | 30 |
| Special-shaped CCM | 1 | (550/750) × (370/440) × 90 2 | No.1 CCM: 40/45/47 |
| Medium-thick slab CCM | 2 | 175 × (980–1360) | No.2 CCM: 28/30/33/38/39 |
| No.3 CCM: 56/60 | |||
| Wide-thick slab CCM | 1 | (200/250/300) × (1500–2500) | No.4 CCM: 27/28/30/32/36/43 |
| No. of Crane | Task Allocation (Expressed as the Format of X1−Y2 1) |
|---|---|
| Crane1 | HOTR3−CCM4, CCM4−RH2, CCM4−LF4, RH2−LF4 |
| Crane2 | HOTR3−CCM3, CCM4−RH1, CCM3−LF4, CCM3/4−LF3, BOF3/4−HOTR3 |
| Crane3 | RH1−LF3, CCM3−LF2, CCM2−LF3, LF3/4−BOF2/3/4 |
| Crane4 | HOTR2−CCM2, CCM2−LF1/2, LF2−BOF1/2/3, BOF2/3−HOTR2 |
| Crane5 | HOTR1−CCM1, CCM1−LF1/2, LF1−BOF1/2/3, BOF1/2−HOTR1 |
| Instance | CCMs in Work | Steel Grade | Process Route | Heats in Cast/Heat | Casting Cycle/min | Starting Cast Time |
|---|---|---|---|---|---|---|
| 1 | CCM2 | SPHC | BOF–LF–CCM | 30 | 28 | 2019.5.11 04:20 |
| CCM3 | SPHC | BOF–LF–CCM | 15 | 56 | 2019.5.11 03:00 | |
| CCM4 | Q550D | BOF–LF–RH–CCM | 25 | 30 | 2019.5.11 05.30 | |
| 2 | CCM1 | Q345B | BOF–LF–CCM | 21 | 45 | 2019.4.22 20:45 |
| CCM3 | SPHC | BOF–LF–CCM | 14 | 60 | 2019.4.23 00:00 | |
| CCM4 | Q690D | BOF–LF–RH–CCM | 27 | 30 | 2019.4.22 22.10 | |
| 3 | CCM1 | Q235B | BOF–LF–CCM | 23 | 47 | 2019.5.7 13:30 |
| CCM2 | Q345B | BOF–LF–CCM | 34 | 30 | 2019.5.7 12:00 | |
| CCM4 | NVA36 | BOF–LF–RH–CCM | 35 | 27 | 2019.5.7 14.15 | |
| 4 | CCM1 | Q345B | BOF–LF–CCM | 20 | 47 | 2019.5.28 18:00 |
| CCM2 | SPHC | BOF–LF–CCM | 31 | 30 | 2019.5.28 19:00 | |
| CCM3 | SPHC | BOF–LF–CCM | 13 | 60 | 2019.5.28 19:30 |
| Ins. | Comparison | Total Completed Time/min | Turnover Number of Ladles/Sets | Mean Transfer Time/min | |||||
|---|---|---|---|---|---|---|---|---|---|
| CCM1 | CCM2 | CCM3 | CCM4 | BOF–LF | LF–CCM | RH–CCM | |||
| 1 | Sim.1 | 1041.1 | − | 7 | 4 | 6 | 11.7 | 13.8 | 12.5 |
| Sim.2 | 1038.7 | − | 7 | 4 | 6 | 11.5 | 13.8 | 12.3 | |
| Actual | 1045.6 | − | 7 | 4 | 6 | 12.1 | 14.0 | 12.2 | |
| 2 | Sim.1 | 1139.5 | 4 | − | 4 | 6 | 9.8 | 12.2 | 12.7 |
| Sim.2 | 1137.2 | 4 | − | 4 | 6 | 9.9 | 12.0 | 12.5 | |
| Actual | 1136.0 | 4 | − | 4 | 6 | 9.6 | 11.9 | 12.3 | |
| 3 | Sim.1 | 1260.1 | 4 | 6 | − | 7 | 13.5 | 14.3 | 13.1 |
| Sim.2 | 1262.4 | 4 | 6 | − | 7 | 13.6 | 14.5 | 13.1 | |
| Actual | 1254.9 | 4 | 6 | − | 7 | 13.0 | 13.9 | 13.3 | |
| 4 | Sim.1 | 1082.5 | 4 | 6 | 4 | − | 8.7 | 11.8 | − |
| Sim.2 | 1079.3 | 4 | 6 | 4 | − | 8.4 | 11.9 | − | |
| Actual | 1084.4 | 4 | 6 | 4 | − | 9.0 | 11.6 | − | |
© 2019 by the authors. Licensee MDPI, Basel, Switzerland. This article is an open access article distributed under the terms and conditions of the Creative Commons Attribution (CC BY) license (http://creativecommons.org/licenses/by/4.0/).
Share and Cite
Yang, J.; Zhang, J.; Guan, M.; Hong, Y.; Gao, S.; Guo, W.; Liu, Q. Fine Description of Multi-Process Operation Behavior in Steelmaking-Continuous Casting Process by a Simulation Model with Crane Non-Collision Constraint. Metals 2019, 9, 1078. https://doi.org/10.3390/met9101078
Yang J, Zhang J, Guan M, Hong Y, Gao S, Guo W, Liu Q. Fine Description of Multi-Process Operation Behavior in Steelmaking-Continuous Casting Process by a Simulation Model with Crane Non-Collision Constraint. Metals. 2019; 9(10):1078. https://doi.org/10.3390/met9101078
Chicago/Turabian StyleYang, Jianping, Jiangshan Zhang, Min Guan, Yujie Hong, Shan Gao, Weida Guo, and Qing Liu. 2019. "Fine Description of Multi-Process Operation Behavior in Steelmaking-Continuous Casting Process by a Simulation Model with Crane Non-Collision Constraint" Metals 9, no. 10: 1078. https://doi.org/10.3390/met9101078
APA StyleYang, J., Zhang, J., Guan, M., Hong, Y., Gao, S., Guo, W., & Liu, Q. (2019). Fine Description of Multi-Process Operation Behavior in Steelmaking-Continuous Casting Process by a Simulation Model with Crane Non-Collision Constraint. Metals, 9(10), 1078. https://doi.org/10.3390/met9101078

