Balancing Porosity and Mechanical Properties of Titanium Samples to Favor Cellular Growth against Bacteria
Abstract
1. Introduction
2. Materials and Methods
2.1. Fabrication of Ti substrates
2.2. Microstructural and Mechanical Characterization
2.3. In Vitro Cellular Experiments
2.3.1. Analysis of Bacterial Behavior of Porous Substrates
2.3.2. Evaluation of Cell Adhesion and Proliferation of Eukaryotic Murine C2c12-Gfp Premioblast Cells
2.3.3. Cell adhesion and Proliferation Studies of Murine MC3T3E1 Osteoblast
Cell Viability of Murine MC3T3E1 Osteoblast
Cellular Morphology Evaluation of Murine MC3T3E1 Osteoblast
Statistical Analysis
3. Results
3.1. Microstructural Characterization
3.2. Mechanical Behavior
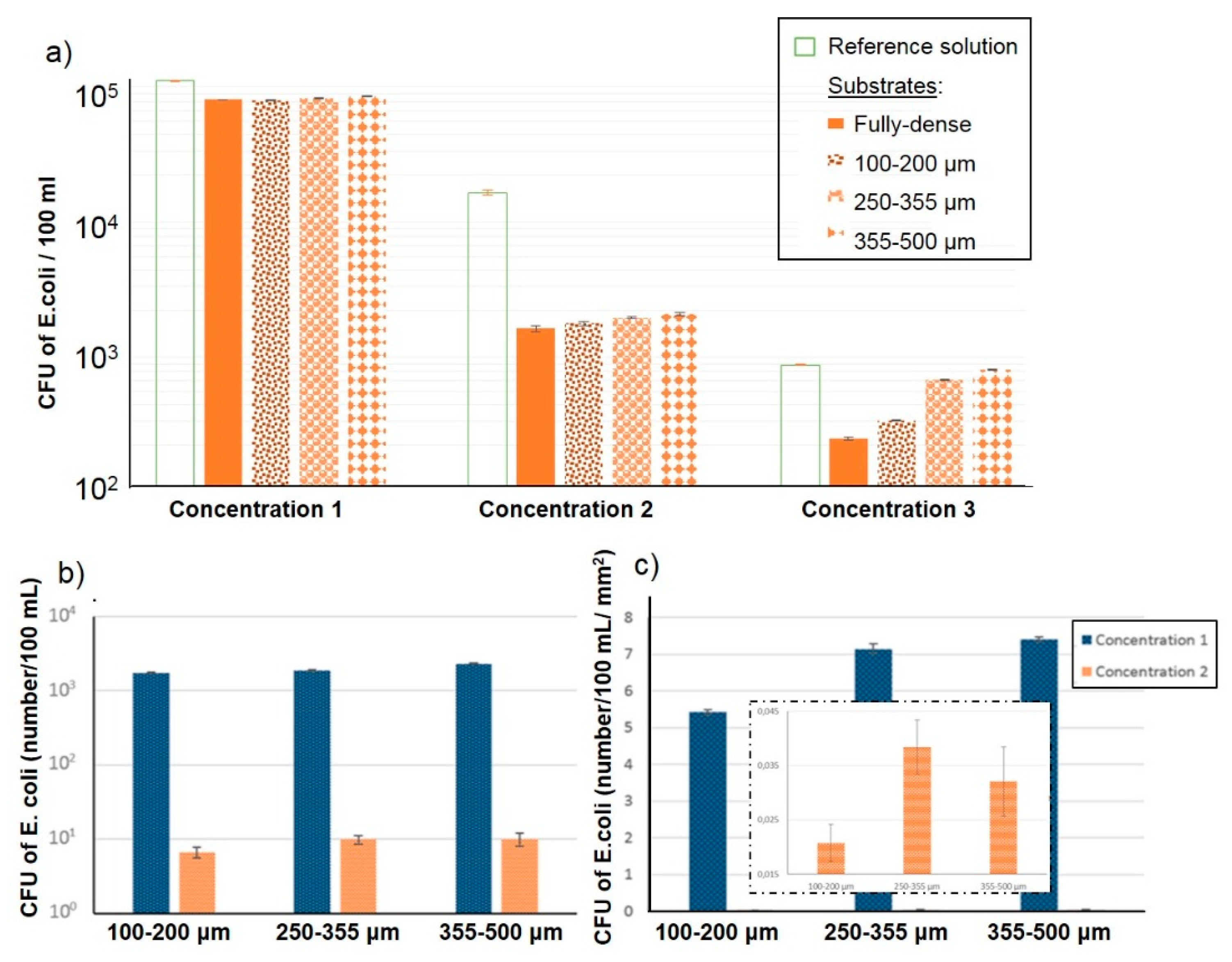
3.3. Bacteria Behavior
3.4. In Vitro Cell Studies
4. Discussion
5. Conclusions
Author Contributions
Funding
Acknowledgments
Conflicts of Interest
References
- Kunčická, N.; Kocich, R.; Lowe, T.C. Advances in metals and alloys for joint replacement. Prog. Mater. Sci. 2017, 88, 232–280. [Google Scholar] [CrossRef]
- Niinomi, M. Mechanical biocompatibilities of titanium alloys for biomedical applications. J. Mech. Behav. Biomed. Mater. 2008, 1, 30–42. [Google Scholar] [CrossRef] [PubMed]
- Torres, Y.; Pavón, J.J.; Rodríguez-Ortiz, J.A. Processing and characterization of porous titanium for implants by using NaCl as space holder. J. Mater. Process. Technol. 2012, 212, 1061–1069. [Google Scholar] [CrossRef]
- Torres, Y.; Pavón, J.J.; Nieto, I.; Rodríguez-Ortiz, J.A. Conventional powder metallurgy process and characterization of porous titanium for biomedical applications. Metall. Mater. Trans. B Process Metall. Mater. Process. Sci. 2011, 42, 891–900. [Google Scholar] [CrossRef]
- Muñoz, S.; Pavón, J.J.; Rodríguez-Ortiz, J.A.; Civantos, A.; Allain, J.P.; Torres, Y. On the influence of space holder in the development of porous titanium implants: Mechanical, computational and biological evaluation. Mater. Charact. 2015, 108, 68–78. [Google Scholar] [CrossRef]
- Jurczyk, M.U.; Jurczyk, K.; Miklaszewski, A.; Jurczyk, M. Nanostructured titanium-45S5 Bioglass scaffold composites for medical applications. Mater. Des. 2011, 32, 4882–4889. [Google Scholar] [CrossRef]
- Trueba, P. Desarrollo de Titanio con Porosidad Gradiente Radial y Longitudinal para Aplicaciones Biomédicas. Ph.D. Thesis, University of Seville, Seville, Spain, 2017. [Google Scholar]
- Naebe, M.; Shirvanimoghaddam, K. Functionally graded materials: A review of fabrication and properties. Appl. Mater. Today 2016, 5, 223–245. [Google Scholar] [CrossRef]
- Sola, A.; Belluci, D.; Cannillo, V. Functionally graded materials for orthopedic applications—An update on design and manufacturing. Biotechnol. Adv. 2016, 34, 504–531. [Google Scholar] [CrossRef] [PubMed]
- Singh, S.; Ramakrishna, S.; Singh, R. Material issues in additive manufacturing: A review. J. Manuf. Process. 2017, 25, 185–200. [Google Scholar] [CrossRef]
- Jha, N.; Mondal, D.P.; Majumdar, J.D.; Badkul, A.; Jha, A.K.; Khare, A.K. Highly porous open cell Ti-foam using NaCl as temporary space holder through powder metallurgy route. Mater. Des. 2013, 47, 810–819. [Google Scholar] [CrossRef]
- Torres, Y.; Pavón, J.J.; Trueba, P.; Cobos, J.; Rodriguez-Ortiz, J.A. Design, fabrication and characterization of titanium with graded porosity by using space-holder technique. Procedia Mater. Sci. 2014, 4, 115–119. [Google Scholar] [CrossRef][Green Version]
- Jakubowicz, J.; Adamek, G.; Dewidar, M. Titanium foam made with saccharose as a space holder. J. Porous Mater. 2013, 20, 1137–1141. [Google Scholar] [CrossRef]
- Dominguez-Trujillo, C.; Ternero, F.; Rodriguez-Ortiz, J.A.; Pavón, J.J.; García-Couce, J.; Galvan, J.C.; García-Moreno, F.; Torres, Y. Improvement of the balance between a reduced stress shielding and bone ingrowth by bioactive coatings onto porous titanium substrates. Surf. Coat. Technol. 2018, 338, 32–37. [Google Scholar] [CrossRef]
- Esen, Z.; Bor, Ş. Processing of titanium foams using magnesium spacer particles. Scr. Mater. 2007, 56, 341–344. [Google Scholar] [CrossRef]
- Vlacic-Zischke, J.; Hamle, S.M.; Friis, T.; Tonetti, M.S.; Ivanovski, S. The influence of surface microroughness and hydrophilicity of titanium on the up-regulation of TGFβ/BMP signalling in osteoblasts. Biomaterials 2011, 32, 665–671. [Google Scholar] [CrossRef] [PubMed]
- Civantos, A.; Martinez-Campos, E.; Ramos, V.; Elvira, C.; Gallardo, A.; Abarrategi, A. Titanium coatings and surface modifications: Toward clinically useful bioactive implants. ACS Biomater. Sci. Eng. 2017, 3, 1245–1261. [Google Scholar] [CrossRef]
- Gristina, A.G. Biomaterial-centered infection: Microbial adhesion versus tissue integration. Science 1987, 237, 1588–1595. [Google Scholar] [CrossRef]
- Neoh, K.G.; Hu, X.; Zheng, D.; Kang, E.T. Balancing osteoblast functions and bacterial adhesion on functionalized titanium surfaces. Biomaterials 2012, 33, 2813–2822. [Google Scholar] [CrossRef]
- Tuson, H.H.; Auer, G.K.; Renner, L.D.; Hasebe, M.; Tropini, C.; Salick, M.; Weibel, D.B. Measuring the stiffness of bacterial cells from growth rates in hydrogels of tunable elasticity. Mol. Microbiol. 2012, 84, 874–891. [Google Scholar] [CrossRef]
- Dominguez-Trujillo, C.; Beltrán, A.M.; Garvi, M.D.; Salazar-Moya, A.; Lebrato, J.; Hickey, D.J.; Rodriguez-Ortiz, J.A.; Kamm, P.H.; Lebrato, C.; García-Moreno, F.; et al. Bacterial behavior on coated porous titanium substrate for biomedical applications. Surf. Coat. Technol. 2019, 357, 896–902. [Google Scholar] [CrossRef]
- García-Moreno, F.; Fromme, M.; Banhart, J. Real-time X-ray radioscopy on metallic foams using a compact micro-focus source. Adv. Eng. Mater. 2004, 6, 416–420. [Google Scholar] [CrossRef]
- AENOR. Water Quality—Detection and Enumeration of Escherichia coli and Coliform Bacteria—Part 1: Membrane Filtration Method; UNE-EN ISO 9308-1:2014; International Organization for Standardization: Geneva, Switzerland, 2014. [Google Scholar]
- Sterilization of Medical Devices—Microbiological Methods Part 1: Determination of a Population of Microorganisms on Products; ISO 11737:1:2007; International Organization for Standardization: Geneva, Switzerland, 2017.
- Grimal, Q.; Haupert, S.; Mitton, D.; Vastel, L.; Laugier, P. Assessment of cortical bone elasticity and strength: Mechanical testing and ultrasound provide complementary data. Med. Eng. Phys. 2009, 31, 1140–1147. [Google Scholar] [CrossRef] [PubMed]
- Hasan, J.; Crawford, R.J.; Ivanova, E.P. Antibacterial surfaces: The quest for a new generation of biomaterials. Trends Biotechnol. 2013, 31, 295–304. [Google Scholar] [CrossRef] [PubMed]
- St-Pierre, J.P.; Gauthier, M.; Lefebvre, L.P.; Tabrizian, M. Three-dimensional growth of differentiating MC3T3-E1 pre-osteoblasts on porous titanium scaffolds. Biomaterials 2005, 26, 7319–7328. [Google Scholar] [CrossRef] [PubMed]
- Murphy, C.M.; O’Brien, F.J. Understanding the effect of mean pore size on cell activity in collagen-glycosaminoglycan scaffolds. Cell Adhes. Migr. 2010, 4, 377–381. [Google Scholar] [CrossRef] [PubMed]
- do Prado, R.F.; de Oliveira, F.S.; Nascimento, R.D.; de Vasconcellos, L.M.R.; Carvalho, Y.R.; Cairo, C.A.A. Osteoblast response to porous titanium and biomimetic surface: In vitro analysis. Mater. Sci. Eng. C 2015, 52, 194–203. [Google Scholar] [CrossRef] [PubMed]
- Wang, D.; Li, Q.; Xu, M.; Jiang, G.; Zhang, Y.; He, G. A novel approach to fabrication of three-dimensional porous titanium with controllable structure. Mater. Sci. Eng. C 2017, 71, 1046–1051. [Google Scholar] [CrossRef] [PubMed]
- Chang, M.C.; Tsai, Y.L.; Liou, E.J.W.; Tang, C.M.; Wang, T.M.; Liu, H.C.; Liao, M.W.; Yeung, S.Y.; Chan, C.P.; Jeng, J.H. Effect of Butyrate on Collagen Expression, Cell Viability, Cell Cycle Progression and Related Proteins Expression of MG-63 Osteoblastic Cells. PLoS ONE 2016, 11, e0165438. [Google Scholar] [CrossRef] [PubMed]
- Chen, X.; Zhi, X.; Wang, J.; Su, J.C. RANKL signaling in bone marrow mesenchymal stem cells negatively regulates osteoblastic bone formation. Bone Res. 2018, 6, 34. [Google Scholar] [CrossRef]
- Civantos, A.; Domínguez, C.; Pino, R.J.; Setti, G.; Pavon, J.J.; Martínez-Campos, E.; Garcia-Garcia, F.J.; Rodriguez-Ortiz, J.A.; Allain, J.P.; Torres, Y. Designing bioactive porous titanium interfaces to balance mechanical properties and in vitro cells behavior towards increased osseointegration. Surf. Coat. Technol. 2019, 368, 162–174. [Google Scholar] [CrossRef]
- Kamada, R.; Tano, F.; Kudoh, F.; Kimura, N.; Chuman, Y.; Osawa, A.; Namba, K.; Tanino, K.; Sakaguchi, K. Effective Cellular Morphology Analysis for Differentiation Processes by a Fluorescent 1,3a,6a-Triazapentalene Derivative Probe in Live Cells. PLoS ONE 2016, 11, e0160625. [Google Scholar] [CrossRef] [PubMed]
- Hong, D.; Chen, H.X.; Yu, H.Q.; Liang, Y.; Wang, C.; Lian, Q.Q.; Deng, H.T.; Ge, R.S. Morphological and proteomic analysis of early stage of osteoblast differentiation in osteoblastic progenitor cells. Exp. Cell Res. 2010, 316, 2291–2300. [Google Scholar] [CrossRef] [PubMed]









| Samples | PT (%) | Pi (%) | ||||
|---|---|---|---|---|---|---|
| Archimedes’ Method | IA | M-CT | Archimedes’ Method | M-CT | ||
| Fully-dense | 2.3 ± 0.1 | 1.2 ± 0.2 | -- | 2.1 ± 0.1 | -- | |
| Spacer size (μm) | 100–200 | 44.8 ± 0.1 | 50.3 ± 1.3 | 52.2 ± 10.7 | 43.1 ± 0.2 | 51.3 ±10.6 |
| 250–355 | 45.9 ± 0.2 | 48.7 ± 1.9 | -- | 41.0 ± 0.1 | -- | |
| 355–500 | 46.0 ± 0.1 | 47.1 ± 4.3 | 56.4 ± 11.1 | 41.2 ± 0.2 | 55.6 ±10.2 | |
| Samples | AI | M-CT | |||
|---|---|---|---|---|---|
| Deq (μm) | Shape factor | Deq (μm) | Roughness, Ra (%) | ||
| Fully-dense | 5.5 ± 0.2 | 0.99 ± 0.01 | -- | ||
| Spacer size (μm) | 100–200 | 161.1 ± 28.5 | 0.67 ± 0.03 | 191.8 ± 6.1 | 11.3 ± 2.5 |
| 250–355 | 261.5 ± 9.0 | 0.67 ± 0.01 | 311.9 ± 8.2 | 7.3 ± 2.0 | |
| 355–500 | 293.4 ± 28.2 | 0.71 ± 0.03 | 368.4 ± 9.1 | 3.3 ± 0.6 | |
| Samples | US | Uniaxial Compression Test | Microhardness | |||
|---|---|---|---|---|---|---|
| Ed (GPa) | Ec (GPa) | σy (MPa) | HV0.3 | HV1 | ||
| Fully-dense | 101.2 ± 0.3 | 95 ± 1.0 | 628 ± 5 | 377 ± 26 | 342 ± 52 | |
| Spacer size (μm) | 100–200 | 20.8 ± 0.1 | 26.0 ± 0.9 | 127 ± 21 | 401 ± 42 | 167 ± 81 |
| 250–355 | 22.8 ± 0.2 | 23.1 ± 1.0 | 118 ± 14 | 356 ± 35 | 152 ± 72 | |
| 355–500 | 20.0 ± 0.7 | 19.7 ± 1.2 | 98 ± 18 | 350 ± 36 | 138 ± 70 | |
© 2019 by the authors. Licensee MDPI, Basel, Switzerland. This article is an open access article distributed under the terms and conditions of the Creative Commons Attribution (CC BY) license (http://creativecommons.org/licenses/by/4.0/).
Share and Cite
Civantos, A.; Beltrán, A.M.; Domínguez-Trujillo, C.; Garvi, M.D.; Lebrato, J.; Rodríguez-Ortiz, J.A.; García-Moreno, F.; Cauich-Rodriguez, J.V.; Guzman, J.J.; Torres, Y. Balancing Porosity and Mechanical Properties of Titanium Samples to Favor Cellular Growth against Bacteria. Metals 2019, 9, 1039. https://doi.org/10.3390/met9101039
Civantos A, Beltrán AM, Domínguez-Trujillo C, Garvi MD, Lebrato J, Rodríguez-Ortiz JA, García-Moreno F, Cauich-Rodriguez JV, Guzman JJ, Torres Y. Balancing Porosity and Mechanical Properties of Titanium Samples to Favor Cellular Growth against Bacteria. Metals. 2019; 9(10):1039. https://doi.org/10.3390/met9101039
Chicago/Turabian StyleCivantos, Ana, Ana M. Beltrán, Cristina Domínguez-Trujillo, Maria D. Garvi, Julián Lebrato, Jose A. Rodríguez-Ortiz, Francisco García-Moreno, Juan V. Cauich-Rodriguez, Julio J. Guzman, and Yadir Torres. 2019. "Balancing Porosity and Mechanical Properties of Titanium Samples to Favor Cellular Growth against Bacteria" Metals 9, no. 10: 1039. https://doi.org/10.3390/met9101039
APA StyleCivantos, A., Beltrán, A. M., Domínguez-Trujillo, C., Garvi, M. D., Lebrato, J., Rodríguez-Ortiz, J. A., García-Moreno, F., Cauich-Rodriguez, J. V., Guzman, J. J., & Torres, Y. (2019). Balancing Porosity and Mechanical Properties of Titanium Samples to Favor Cellular Growth against Bacteria. Metals, 9(10), 1039. https://doi.org/10.3390/met9101039

