Effect of Si and Zr on the Microstructure and Properties of Al-Fe-Si-Zr Alloys
Abstract
:1. Introduction
2. Materials and Methods
3. Results
3.1. Scanning Electron Microscope
3.2. Transmission Electron Microscope
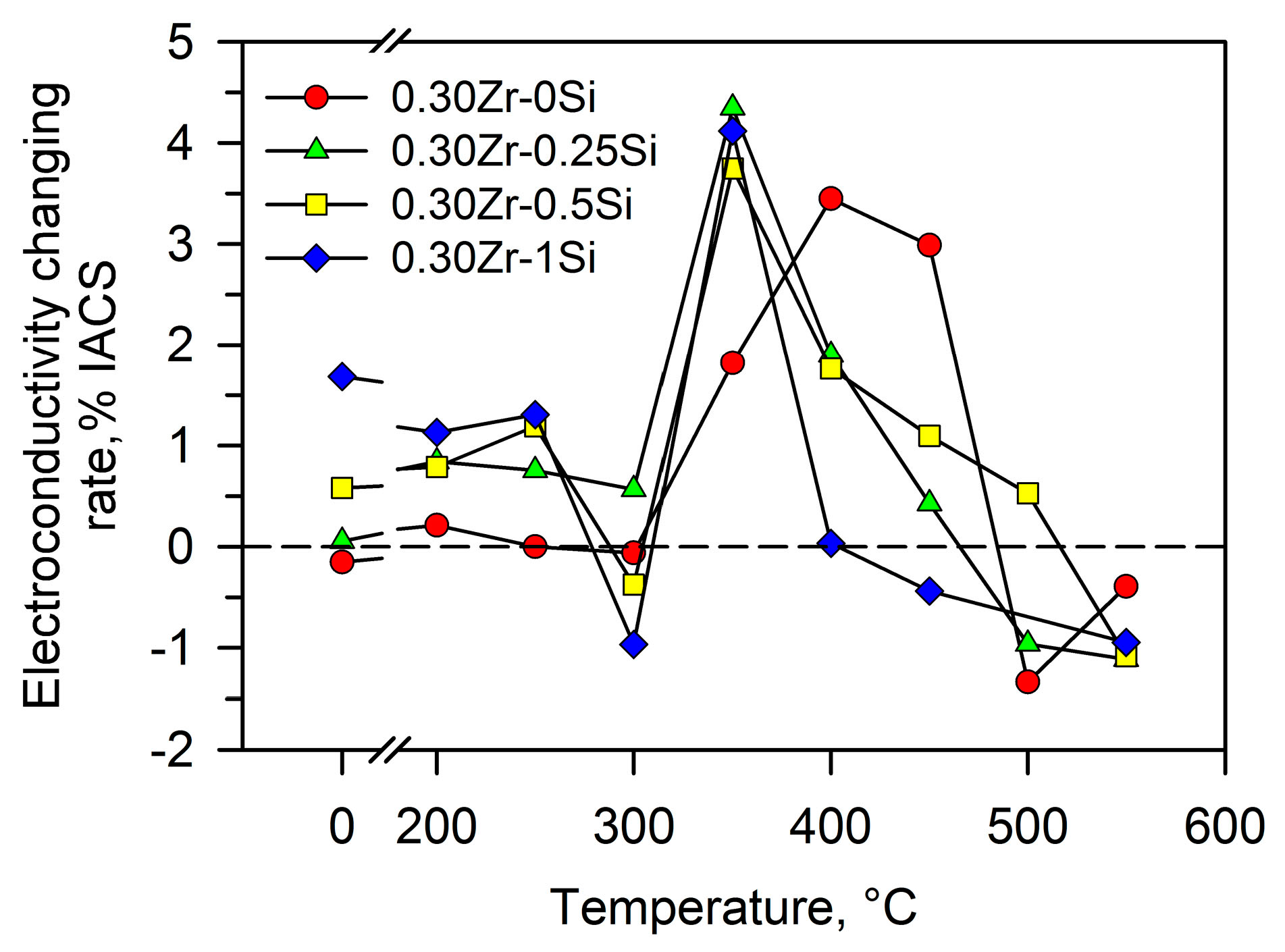
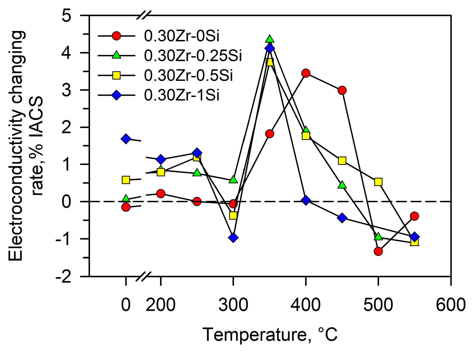
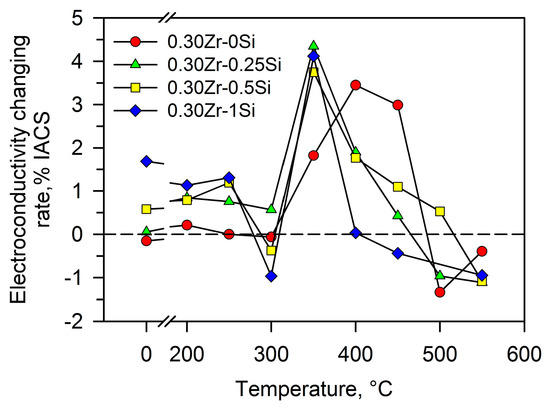
3.3. Hardness and Electrical Conductivity
4. Discussion
5. Conclusions
Acknowledgments
Author Contributions
Conflicts of Interest
References
- GencalpIrizalp, S.; Saklakoglu, N. Effect of Fe-rich intermetallics on the microstructure and mechanical properties of thixoformed A380 aluminum alloy. Eng. Sci. Technol. Int. J. 2014, 17, 58–62. [Google Scholar] [CrossRef]
- Belov, N.A.; Alabin, A.N.; Eskin, D.G.; Istomin-Kastrovskii, V.V. Optimization of hardening of Al–Zr–Sc cast alloys. J. Mater. Sci. 2006, 41, 5890–5899. [Google Scholar] [CrossRef]
- Mondolfo, L.F. Aluminum alloys: Structure and Properties; Butterworths: London, UK, 1976; ISBN 9781483144825. [Google Scholar]
- Panahi, D. Precipitation of Intermetallic Phases from Rapidly Solidifying Aluminum Alloys; McMaster University: Hamilton, ON, Canada, 2009. [Google Scholar]
- Kral, M.V.; Nakashima, P.N.H.; Mitchell, D.R.G. Electron microscope studies of Al-Fe-Si intermetallics in an Al-11 Pct Si alloy. Metall. Mater. Trans. A 2006, 37, 1987–1997. [Google Scholar] [CrossRef]
- Ryum, N. Precipitation and recrystallization in an A1-0.5 wt % Zr-alloy. Acta Metall. 1969, 17, 269–278. [Google Scholar] [CrossRef]
- Knipling, K.E.; Dunand, D.C.; Seidman, D.N. Precipitation evolution in Al–Zr and Al–Zr–Ti alloys during aging at 450–600 °C. Acta Mater. 2008, 56, 1182–1195. [Google Scholar] [CrossRef]
- Belov, N.A.; Alabin, A.N. Energy Efficient Technology for Al–Cu–Mn–Zr Sheet Alloys. Mater. Sci. Forum 2013, 765, 13–17. [Google Scholar] [CrossRef]
- Alabin, A.N.; Belov, A.N.; Korotkova, N.O.; Samoshina, M.E. Effect of annealing on the electrical resistivity and strengthening of low-alloy alloys of the Al-Zr-Si system. Metal Sci. Heat Treat. 2016, 58, 527–531. [Google Scholar] [CrossRef]
- Belov, N.A.; Alabin, A.N.; Prokhorov, A.Y. Effect of zirconium additive on the strength and electrical resistivity of cold-rolled aluminum sheets. Izv. Vysh. Uchebn. Zaved. Tsvetn. Met. 2009, 4, 42–47. [Google Scholar]
- Belov, N.A.; Aksenov, A.A.; Eskin, D.G. Iron in Aluminium Alloys: Impurity and Alloying Element; Taylor and Francis: London, UK, 2002; pp. 1107–1112. ISBN 0-415-27352-8. [Google Scholar]
- Vorontsova, L.A.; Maslov, V.V.; Peshkov, I.B. Aluminum and Aluminum Alloys in Electrical Products; Energiya: Moscow, Russia, 1971. (In Russian) [Google Scholar]
- Popovic, S.; Grzeta, B.; Ilakovac, V.; Kroggel, R.; Wendrock, G.; Löffler, H. Lattice constant of the FCC Al-rich α-Phase of Al-Zn alloys in equilibrium with GP zones and the β (Zn)–Phase. Phys. Status Solidi A 1992, 130, 273–292. [Google Scholar] [CrossRef]
- Ma, Y.; Romming, C.; Lebech, B.; Gjonnes, J.; Tafto, J. Structure refinement of Al3Zr using single-crystal X-ray diffraction, powder neutron diffraction and CBED. Acta Crystallogr. B 1992, 48, 11–16. [Google Scholar] [CrossRef]
- Shakiba, M.; Parson, N.; Chen, X.-G. Effect of homogenization treatment and silicon content on the microstructure and hot workability of dilute Al–Fe–Si alloys. Mater. Sci. Eng. A 2014, 619, 180–189. [Google Scholar] [CrossRef]
- Taylor, J.A. Iron-Containing intermetallic phases in Al-Si based casting alloys. Procedia Mater. Sci. 2012, 1, 19–33. [Google Scholar] [CrossRef]
- Liu, P.; Thorvaldsson, T.; Dunlop, G.L. Formation of intermetallic compounds during solidification of dilute Al–Fe–Si alloys. Mater. Sci. Technol. 1986, 2, 1009–1018. [Google Scholar] [CrossRef]
- Skjerpe, P. Intermetallic phases formed during DC-casting of an Al-0.25 Wt Pct Fe-0.13 Wt Pct Si alloy. Metall. Mater. Trans. A 1987, 18, 189–200. [Google Scholar] [CrossRef]
- Belov, N.A.; Alabin, A.N.; Matveeva, I.A.; Eskin, D.G. Effect of Zr additions and annealing temperature on electrical conductivity and hardness of hot rolled Al sheets. Trans. Nonferrous Met. Soc. China 2015, 25, 2817–2826. [Google Scholar] [CrossRef]
- Zhang, J.; Ding, D.; Zhang, W.; Kang, S.; Xu, X.; Gao, Y.; Chen, G.; Chen, W.; You, X. Effect of Zr addition on microstructure and properties of Al–Mn–Si–Zn-based alloy. Trans. Nonferrous Met. Soc. China 2014, 24, 3872–3878. [Google Scholar] [CrossRef]
- He, Y.; Zhang, X.; Cao, Z. Effect of minor Sc and Zr addition on grain refinement of as-cast Al-Zn-MgCu alloys. Chin. Foundry 2009, 6, 214–218. [Google Scholar]
- Garcia, D.A.; Dye, D.; Jackson, M.; Grimes, R.; Dashwood, R.J. Development of microstructure and properties during the multiple extrusion and consolidation of Al–4Mg–1Zr. Mater. Sci. Eng. A 2010, 527, 3358–3364. [Google Scholar] [CrossRef]
- Zhang, L.; Eskin, D.G.; Miroux, A.G.; Katgerman, L. On the mechanism of the formation of primary intermetallics under ultrasonic melt treatment in an Al-Zr-Ti alloy. IOP Conf. Ser. Mater. Sci. Eng. 2012, 27, 012002. [Google Scholar] [CrossRef]
- PA, M.; Ferry, M.; Chandra, T. Five decades of the Zener equation. ISIJ Int. 1998, 38, 913–924. [Google Scholar] [CrossRef]
- Hull, D.; Bacon, D.J. Introduction to Dislocations; Butterworth-Heineman: Oxford, UK, 1984; ISBN 0750623618. [Google Scholar]
- Kendig, K.; Miracle, D. Strengthening mechanisms of an Al-Mg-Sc-Zr alloy. Acta Mater. 2002, 50, 4165–4175. [Google Scholar] [CrossRef]
- Murashkin, M.Y.; Medvedev, A.E.; Kazykhanov, V.U.; Raab, G.I.; Ovid’ko, I.A.; Valiev, R.Z. Microstructure, strength, electrical conductivity and heat resistance of an Al-Mg-Zr alloy after ECAP-conform and cold drawing. Rev. Adv. Mater. Sci. 2016, 47, 16–25. [Google Scholar]









| Designation | S200 | S250 | S300 | S350 | S400 | S450 | S500 | S550 | S600 |
|---|---|---|---|---|---|---|---|---|---|
| Annealing regime | 200 °C | S200 + 250 °C | S250 + 300 °C | S300 + 350 °C | S350 + 400 °C | S400 + 450 °C | S450 + 500 °C | S500 + 550 °C | S550 + 600 °C |
© 2017 by the authors. Licensee MDPI, Basel, Switzerland. This article is an open access article distributed under the terms and conditions of the Creative Commons Attribution (CC BY) license (http://creativecommons.org/licenses/by/4.0/).
Share and Cite
Morozova, A.; Mogucheva, A.; Bukin, D.; Lukianova, O.; Korotkova, N.; Belov, N.; Kaibyshev, R. Effect of Si and Zr on the Microstructure and Properties of Al-Fe-Si-Zr Alloys. Metals 2017, 7, 495. https://doi.org/10.3390/met7110495
Morozova A, Mogucheva A, Bukin D, Lukianova O, Korotkova N, Belov N, Kaibyshev R. Effect of Si and Zr on the Microstructure and Properties of Al-Fe-Si-Zr Alloys. Metals. 2017; 7(11):495. https://doi.org/10.3390/met7110495
Chicago/Turabian StyleMorozova, Anna, Anna Mogucheva, Dmitriy Bukin, Olga Lukianova, Natalya Korotkova, Nikolay Belov, and Rustam Kaibyshev. 2017. "Effect of Si and Zr on the Microstructure and Properties of Al-Fe-Si-Zr Alloys" Metals 7, no. 11: 495. https://doi.org/10.3390/met7110495
APA StyleMorozova, A., Mogucheva, A., Bukin, D., Lukianova, O., Korotkova, N., Belov, N., & Kaibyshev, R. (2017). Effect of Si and Zr on the Microstructure and Properties of Al-Fe-Si-Zr Alloys. Metals, 7(11), 495. https://doi.org/10.3390/met7110495

