Micro and Macrostructural Assessment of Welded 6082 Aluminium Alloy T-Connections
Abstract
1. Introduction
2. Experimental Study
2.1. Scope of the Experimental Program
2.2. Material, Connection Design and Specimen Fabrication
2.3. Preparation of Specimens for Microstructural Analysis and Hardness Testing
3. Microstructural Analysis
3.1. General
3.2. T-Connections with Uniform Thickness
3.3. T-Connections with Varying Thickness
4. Macrostructural Evaluation
4.1. Hardness Testing
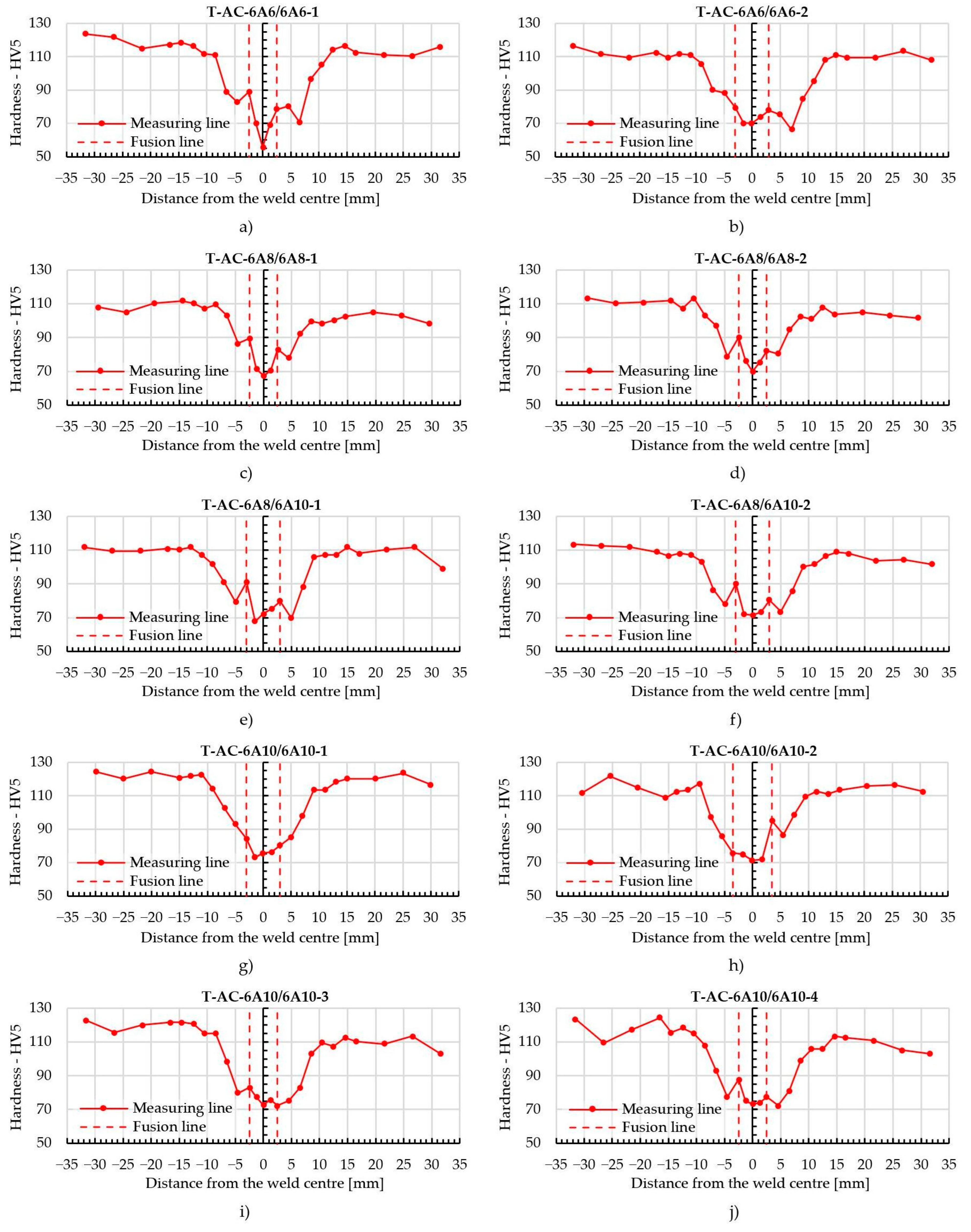
4.1.1. Testing Procedure
4.1.2. Discussion of Hardness Test Results
4.2. Characterisation of the HAZ
5. Summarised Discussion
5.1. Effect of Welding Process
5.2. Effect of Material Thickness
5.3. Comparison with Eurocode 9
6. Conclusions
Author Contributions
Funding
Data Availability Statement
Acknowledgments
Conflicts of Interest
References
- Boko, I.; Skejić, D.; Torić, N. Aluminium Structures; University of Split, Faculty of Civil Engineering, Architecture and Geodesy: Split, Croatia, 2017. [Google Scholar]
- Skejić, D.; Boko, I.; Torić, N. Aluminium as a material for modern structures. Građevinar 2015, 67, 1075–1085. [Google Scholar] [CrossRef]
- Bajor, T.; Kawałek, A.; Berski, S.; Jurczak, H.; Borowski, J. Analysis of the Extrusion Process of Aluminium Alloy Profile. Materials 2022, 15, 8311. [Google Scholar] [CrossRef]
- Georgantzia, E.; Gkantou, M.; Kamaris, G.S. Aluminium alloys as structural material: A review of research. Eng. Struct. 2021, 227, 111372. [Google Scholar] [CrossRef]
- Yuelin, W.; Guoqun, Z.; Lu, S.; Xiaowei, W.; Dejin, W.; Linlin, L. Effects of welding angle on microstructure and mechanical properties of longitudinal weld in 6063 aluminum alloy extrusion profiles. J. Mater. Res. Technol. 2022, 17, 756–773. [Google Scholar] [CrossRef]
- Bunaziv, I.; Tomstad, A.J.; Kvam-Langelandsvik, G.; Eriksson, M. A through-process modelling approach of aluminium heat-affected zone softening and weld joint performance. Int. J. Adv. Manuf. Technol. 2025, 137, 4011–4022. [Google Scholar] [CrossRef]
- Schubert, E. Challenges in thermal welding of aluminium alloys. World J. Eng. Technol. 2018, 6, 296–303. [Google Scholar] [CrossRef]
- Guo, N.; Hu, H.; Tang, X.; Ma, X.; Wang, X. The effect of TIG welding heat input on the deformation of a thin bending plate and its weld zone. Coatings 2023, 13, 2008. [Google Scholar] [CrossRef]
- Sabry, I.; Hewidy, A.M.; Naseri, M.; Mourad, A.H.I. Optimization of process parameters of metal inert gas welding process on aluminum alloy 6063 pipes using Taguchi-TOPSIS approach. J. Alloys Metall. Syst. 2024, 7, 100085. [Google Scholar] [CrossRef]
- EN 1090-3: 2019; Execution of Steel and Aluminium Structures—Part 3: Technical Requirements for Aluminium Structures. European Committee for Standardization (CEN): Brussels, Belgium, 2019.
- Dada, M.; Popoola, P. Recent advances in joining technologies of aluminum alloys: A review. Discov. Mater. 2024, 4, 86. [Google Scholar] [CrossRef]
- Habba, M.I.A.; Alsaleh, N.A.; Badran, T.E.; El-Sayed Seleman, M.M.; Ataya, S.; El-Nikhaily, A.E.; Abdul-Latif, A.; Ahmed, M.M.Z. Comparative Study of FSW, MIG, and TIG Welding of AA5083-H111 Based on the Evaluation of Welded Joints and Economic Aspect. Materials 2023, 16, 5124. [Google Scholar] [CrossRef]
- Ramji, B.R.; Bharathi, V.; Swamy, N.P. Characterization of TIG and MIG welded aluminium 6063 alloys. Mater. Today Proc. 2021, 46, 8895–8899. [Google Scholar] [CrossRef]
- Ferraresi, V.A.; Figueiredo, K.M.; Ong, T.H. Metal transfer in the aluminum gas metal arc welding. J. Braz. Soc. Mech. Sci. Eng. 2003, 25, 229–234. [Google Scholar] [CrossRef][Green Version]
- Garašić, I.; Štefok, M.; Jurica, M.; Skejić, D.; Perić, M. Mechanical Properties Analysis of WAAM Produced Wall Made from 6063 Alloy Using AC MIG Process. Appl. Sci. 2025, 15, 6740. [Google Scholar] [CrossRef]
- Xue, J.; Xu, M.; Huang, W.; Zhang, Z.; Wu, W.; Jin, L. Stability and heat input controllability of two different modulations for double-pulse MIG welding. Appl. Sci. 2019, 9, 127. [Google Scholar] [CrossRef]
- Warinsiriruk, E.; Greebmalai, J.; Sangsuriyun, M. Effect of double pulse MIG welding on porosity formation on aluminium 5083 fillet joint. MATEC Web Conf. 2019, 269, 01002. [Google Scholar] [CrossRef]
- Yi, J.; Cao, S.; Li, L.; Guo, P.; Liu, K. Effect of welding current on morphology and microstructure of Al alloy T-joint in double-pulsed MIG welding. Trans. Nonferrous Met. Soc. China 2015, 25, 3204–3211. [Google Scholar] [CrossRef]
- Park, H.J.; Rhee, S.; Kang, M.J.; Kim, D.C. Joining of steel to aluminum alloy by AC pulse MIG welding. Mater. Trans. 2009, 50, 2314–2317. [Google Scholar] [CrossRef]
- Ro, C.S.; Kim, K.H.; Bang, H.S.; Yoon, H.S. Joint properties of aluminum alloy and galvanized steel by AC pulse MIG braze welding. Appl. Sci. 2021, 11, 5105. [Google Scholar] [CrossRef]
- Kwon, Y.H.; Choi, S.; Yoon, H.S.; Bang, H.S. Weldability of aluminum alloy and hot dip galvanized steel by AC pulse MIG brazing. J. Weld. Join. 2021, 39, 206–211. [Google Scholar] [CrossRef]
- Jeon, J.; Kim, H.; Lee, I.; Cho, J. Basic research of directed energy deposition for aluminum 4043 alloys using pulsed variable polarity gas metal arc welding. Int. J. Precis. Eng. Manuf. 2024, 25, 1475–1487. [Google Scholar] [CrossRef]
- Zhao, Y.; Chung, H. Numerical simulation of droplet transfer behaviour in variable polarity gas metal arc welding. Int. J. Heat Mass Transf. 2017, 111, 1129–1141. [Google Scholar] [CrossRef]
- Ikram, A.; Chung, H. Numerical simulation of arc, metal transfer and its impingement on weld pool in variable polarity gas metal arc welding. J. Manuf. Process. 2021, 64, 1529–1543. [Google Scholar] [CrossRef]
- Yun, X.; Wang, Z.; Gardner, L. Full-range stress–strain curves for aluminum alloys. J. Struct. Eng. 2021, 147, 04021060. [Google Scholar] [CrossRef]
- Dokšanović, T.; Džeba, I.; Markulak, D. Variability of structural aluminium alloys mechanical properties. Struct. Saf. 2017, 67, 11–26. [Google Scholar] [CrossRef]
- Skejić, D.; Dokšanović, T.; Čudina, I.; Mazzolani, F.M. The basis for reliability-based mechanical properties of structural aluminium alloys. Appl. Sci. 2021, 11, 4485. [Google Scholar] [CrossRef]
- Alizadeh, A.; Souissi, M.; Zhou, M.; Assadi, H. Gradient-Based Calibration of a Precipitation Hardening Model for 6xxx Series Aluminium Alloys. Metals 2025, 15, 1035. [Google Scholar] [CrossRef]
- Dubey, R.; Jayaganthan, R.; Ruan, D.; Gupta, N.K.; Jones, N.; Velmurugan, R. Energy absorption and dynamic behaviour of 6xxx series aluminium alloys: A review. Int. J. Impact Eng. 2023, 172, 104397. [Google Scholar] [CrossRef]
- Baruah, M.; Borah, A. Processing and precipitation strengthening of 6xxx series aluminium alloys: A review. Int. J. Mater. Sci. 2020, 1, 40–48. [Google Scholar] [CrossRef]
- Singh, P.; Ramacharyulu, D.A.; Kumar, N.; Saxena, K.K.; Eldin, S.M. Change in the structure and mechanical properties of Al-Mg-Si alloys caused by the addition of other elements: A comprehensive review. J. Mater. Res. Technol. 2023, 27, 1764–1796. [Google Scholar] [CrossRef]
- Mathers, G. The Welding of Aluminium and Its Alloys; Woodhead Publishing Limited: Cambridge, UK, 2002. [Google Scholar]
- EN 1999-1-1: 2023; Eurocode 9–Design of Aluminium Structures–Part 1-1: General Rules. European Committee for Standardization (CEN): Brussels, Belgium, 2023.
- Zhu, J.H.; Young, B. Aluminum alloy tubular columns—Part I: Finite element modeling and test verification. Thin-Walled Struct. 2006, 44, 961–968. [Google Scholar] [CrossRef]
- Skejić, D.; Žuvelek, V.; Valčić, A. Parametric numerical study of welded aluminium beam-to-column joints. Buildings 2023, 13, 718. [Google Scholar] [CrossRef]
- Hill, H.N.; Clark, J.W.; Brungraber, R.J. Design of Welded Aluminum Structures. J. Struct. Div. 1960, 86, 101–124. [Google Scholar] [CrossRef]
- Mazzolani, F.M. Structural imperfections in aluminum welded joints. Alum. Rev. 1974, 431. [Google Scholar]
- Soetens, F. Welded connections in aluminium alloy structures. Heron 1987, 32, 1–48. [Google Scholar]
- Moen, L.A.; Hopperstad, O.S.; Langseth, M. Rotational Capacity of Aluminum Beams under Moment Gradient. I: Experiments. J. Struct. Eng. 1999, 125, 910–920. [Google Scholar] [CrossRef]
- REAL-Fit Project: Reliable Design Methods for Aluminium Structures Fit for Future Requirements (HRZZ-IP-2022-10-9298). Available online: https://real-fit.grad.hr/ (accessed on 18 November 2025).
- Skejić, D.; Valčić, A.; Čudina, I.; Garašić, I.; Dokšanović, T. A Roadmap for the Reliable Design of Aluminium Structures Fit for Future Requirements—The REAL-Fit Project. Buildings 2025, 15, 1906. [Google Scholar] [CrossRef]
- ASM Handbook. Aluminum Science and Technology; Anderson, K., Weritz, J., Kaufman, J.G., Eds.; ASM International: Metals Park, OH, USA, 2018; Volume 2A. [Google Scholar]
- Kaufman, J.G. Introduction to Aluminum Alloys and Tempers; ASM International: Materials Park, OH, USA, 2000. [Google Scholar]
- Nazemi, N.; Ghrib, F. Strength characteristics of heat-affected zones in welded aluminum connections. J. Eng. Mech. 2019, 145, 04019103. [Google Scholar] [CrossRef]
- EN 1011-1:2009; Welding—Recommendations for Welding of Metallic Materials—Part 1: General Guidance for Arc Welding. European Committee for Standardization (CEN): Brussels, Belgium, 2009.
- ISO/TR 18491: 2015; Welding and Allied Processes—Guidelines for Measurement of Welding Energies. International Organization for Standardization. ISO Central Secretariat: Geneva, Switzerland, 2015.
- ISO/IEC 17025: 2017; General Requirements for the Competence of Testing and Calibration Laboratories. International Organization for Standardization. ISO Central Secretariat: Geneva, Switzerland, 2017.
- EN ISO 4063: 2023; Welding, Brazing, Soldering and Cutting—Nomenclature of Processes and Reference Numbers. European Committee for Standardization (CEN): Brussels, Belgium, 2023.
- EN ISO 18273: 2015; Welding Consumables—Wire Electrodes, Wires and Rods for Welding of Aluminium and aluminium Alloys—Classification. European Committee for Standardization (CEN): Brussels, Belgium, 2015.
- EN ISO 14175: 2008; Welding Consumables—Gases and Gas Mixtures for Fusion Welding and Allied Processes. European Committee for Standardization (CEN): Brussels, Belgium, 2008.
- EN ISO 17637: 2016; Non-Destructive Testing of Welds—Visual Testing of Fusion-Welded Joints. European Committee for Standardization (CEN): Brussels, Belgium, 2016.
- EN ISO 10042:2018; Welding—Arc-Welded Joints in Aluminium and Its Alloys—Quality Levels for Imperfections. European Committee for Standardization (CEN): Brussels, Belgium, 2018.
- Geels, K.; Fowler, D.B.; Kopp, W.U.; Rückert, M. Metallographic and Materialographic Specimen Preparation, Light Microscopy, Image Analysis and Hardness Testing; ASTM International: West Conshohocken, PA, USA, 2006. [Google Scholar]
- ASTM E3–11; ASTM Standard Guide for Preparation of Metallographic Specimens. ASTM International: West Conshohocken, PA, USA, 2017.
- ASTM E 340; ASTM Standard Test Method for Macroetching Metals and Alloys. ASTM International: West Conshohocken, PA, USA, 2006.
- Stevens, R.H. Aluminum Alloys: Metallographic Techniques and Microstructures. In ASM Handbook Metallography and Microstructures, 9th ed.; Fahrenholz-Mann, S., Sanders, B., Seuffert, M., Kalman, G., Henry, S., Braddock, R., Eds.; ASM International: Materials Park, OH, USA, 1998; Volume 9, pp. 707–804. [Google Scholar]
- Vovk, V. Microvision Suite Computer Program. Available online: https://apps.microsoft.com/detail/9ndjq2kqc54t?hl (accessed on 21 November 2025).
- ASTM E112: 2025; Standard Test Methods for Determining Average Grain Size. ASTM International: West Conshohocken, PA, USA, 2025.
- ISO 5817:2023; Welding—Fusion-Welded Joints in Steel, Nickel, Titanium and Their Alloys (Beam Welding Excluded)—Quality Levels for Imperfections. European Committee for Standardization (CEN): Brussels, Belgium, 2023.
- Ardika, R.D.; Triyono, T.; Triyono, M.N. A review porosity in aluminum welding. Procedia Struct. Integr. 2021, 33, 171–180. [Google Scholar] [CrossRef]
- Samuel, A.M.; Samuel, E.; Songmene, V.; Samuel, F.H. A Review on Porosity Formation in Aluminum-Based Alloys. Materials 2023, 16, 2047. [Google Scholar] [CrossRef]
- ISO 6520-1:2007; Welding and Allied Processes—Classification of Geometric Imperfections in Metallic Materials. International Organization for Standardization. ISO Central Secretariat: Geneva, Switzerland, 2007.
- Anyalebechi, P.A. Hydrogen Solubility in Liquid and Solid Pure Aluminum—Critical Review of Measurement Methodologies and Reported Values. Mater. Sci. Appl. 2022, 13, 158–212. [Google Scholar] [CrossRef]
- Huanga, Y.; Yuana, Y.; Yanga, L.; Zhangb, Z.; Houa, S. A study on porosity in gas tungsten arc welded aluminum alloys using spectral analysis. J. Manuf. Process. 2020, 57, 334–343. [Google Scholar] [CrossRef]
- ISO 6507-1: 2023; Metallic Materials—Vickers Hardness Test, Part 1: Test Method. International Organization for Standardization ISO Central Secretariat: Geneva, Switzerland, 2023.
- EN ISO 9015-1: 2011; Destructive Tests on Welds in Metallic Materials—Hardness Testing—Part 1: Hardness Test on Arc Welded Joints. European Committee for Standardization (CEN): Brussels, Belgium, 2011.
- Nazemi, N. Identification of the Mechanical Properties in the Heat-Affected Zone of Aluminum Welded Structures. Ph.D. Thesis, University of Windsor, Windsor, ON, Canada, 2015. [Google Scholar]
- Aune, S.; Morin, D.; Langseth, M.; Hopperstad, O.S.; Clausen, A.H. Modelling of welded aluminium connections in large-scale analyses. Thin-Walled Struct. 2024, 201, 112034. [Google Scholar] [CrossRef]
- Duan, C.; Yang, S.; Gu, J.; Xiong, Q.; Wang, Y. Study on microstructure and fatigue damage mechanism of 6082 aluminum alloy T-type metal inert gas (MIG) welded joint. Appl. Sci. 2018, 8, 1741. [Google Scholar] [CrossRef]
- Zhu, M.; Yang, S.; Bai, Y.; Fan, C. Microstructure and fatigue damage mechanism of 6082-T6 aluminium alloy welded joint. Mater. Res. Express 2021, 8, 056505. [Google Scholar] [CrossRef]
- Naing, T.H.; Muangjunburee, P. Mechanical properties of repair welds for aluminum alloy 6082-T6 by pulsed MIG welding process. Songklanakarin J. Sci. Technol. 2021, 43, 1694–1700. [Google Scholar]
- Lundberg, S.; Tjøstheim, N.J. Hydro Report RDK-14-002-01: Mechanical Properties in the Heat-Affected Zone of Welded EN AW-6082 T6; European Commission: Brussels, Belgium, 2014; p. 23. [Google Scholar]
- Novakova, I.; Moravec, J.; Novak, J.; Solfronk, P. Influence of Preheating Temperature on Changes in Properties in the HAZ during Multipass MIG Welding of Alloy AW 6061 and Possibilities of Their Restoration. Metals 2021, 11, 1902. [Google Scholar] [CrossRef]
- EN 1011-4: 2000; Welding—Recommendations for Welding of Metallic Materials—Part 4: Arc Welding of Aluminium and Aluminium Alloys. European Committee for Standardization (CEN): Brussels, Belgium, 2000.










| Specimen | Welding Process Type | Flange Plate Thickness [mm] | Web Plate Thickness [mm] |
|---|---|---|---|
| T-DC-6A6/6A6-n | DC-MIG-P | 6 | 6 |
| T-DC-6A8/6A8-n | 8 | 8 | |
| T-DC-6A8/6A10-n | 8 | 10 | |
| T-DC-6A10/6A10-n | 10 | 10 | |
| T-AC-6A6/6A6-n | AC-MIG-P | 6 | 6 |
| T-AC-6A8/6A8-n | 8 | 8 | |
| T-AC-6A8/6A10-n | 8 | 10 | |
| T-AC-6A10/6A10-n | 10 | 10 | |
Coding system of the welded specimens:![]() | |||
| Parameters | DC-MIG-P | AC-MIG-P |
|---|---|---|
| Welding current I [A] | 305 | 230 |
| Voltage U [V] | 23.5 | 23.5 |
| EN ratio [%] | - | +50 |
| Wire feed speed [m/min] | 16.6 | 16.6 |
| Welding speed [cm/min] | thickness 6 and 8 mm: 94, thickness 10 mm: 70 | |
| Contact tip to work distance s [mm] | 17 | 17 |
| Gas flow rate [L/min] | 21 | 21 |
| Heat input [kJ/cm], 6 and 8 mm thickness | 3.66 | 2.76 |
| Heat input [kJ/cm], 10 mm thickness | 4.91 | 3.71 |
| Location | Specimen T-DC-6A6/6A6-1 | Specimen T-AC-6A6/6A6-1 |
|---|---|---|
| Weld | ![]() Effective weld thickness: 3.60/3.55 mm Weld penetration: 3.00 mm Percentage of weld penetration: 50.0% Pore density [pores/mm2]: L—0.85; R—0.51 Area fraction [%]: L—0.31; R—0.15 | ![]() Effective weld thickness: 3.30/3.70 mm Weld penetration: 0.80 mm Percentage of weld penetration: 13.0% Pore density [pores/mm2]: L—1.57; R—0.92 Area fraction [%]: L—0.79; R—0.47 |
| HAZ | ![]() | ![]() |
| Location | Specimen T-DC-6A8/6A8-1 | Specimen T-AC-6A8/6A8-1 |
|---|---|---|
| Weld | ![]() Effective weld thickness: 3.40/3.40 mm Weld penetration: 4.00 mm Percentage of weld penetration: 50.0% Pore density [pores/mm2]: L—1.4; R—0.06 Area fraction [%]: L—0.97; R—0.03 | ![]() Effective weld thickness: 3.10/3.40 mm Weld penetration: 1.00 mm Percentage of weld penetration: 12.5% Pore density [pores/mm2]: L—1.46; R—1.2 Area fraction [%]: L—0.92; R—0.71 |
| HAZ | ![]() | ![]() |
| Location | Specimen T-DC-6A10/6A10-2 | Specimen T-AC-6A10/6A10-2 |
|---|---|---|
| Weld | ![]() Effective weld thickness: 4.51/3.65 mm Weld penetration: 2.10 mm Percentage of weld penetration: 20.1% Pore density [pores/mm2]: L—0.25; R—0.9 Area fraction [%]: L—0.84; R—0.12 | ![]() Effective weld thickness: 4.40/3.50 mm Weld penetration: 0.25 mm Percentage of weld penetration: 2.5% Pore density [pores/mm2]: L—0.6; R—0.8 Area fraction [%]: L—0.32; R—0.31 |
| HAZ | ![]() | ![]() |
| Location | Specimen T-DC-6A8/6A10-1 | Specimen T-AC-6A8/6A10-1 |
|---|---|---|
| Weld | ![]() Effective weld thickness: 4.05/4.50 mm Weld penetration: 2.60 mm Percentage of weld penetration: 32.1% Pore density [pores/mm2]: L—0.67; R—1.5 Area fraction [%]: L—0.54; R—0.96 | ![]() Effective weld thickness: 3.50/3.47 mm Weld penetration: 0.1 mm Percentage of weld penetration: 1.3% Pore density [pores/mm2]: L—1.42; R—0.32 Area fraction [%]: L—0.57; R—0.12 |
| HAZ | ![]() | ![]() |
| T-Connection Specimen | HAZ Extent Measured According to EC9 [33] Approach, [mm] | |||||
|---|---|---|---|---|---|---|
| Flange | Web | Average | EC9 [31] | |||
| T-DC-6A6/6A6-1 | 13.79 | 13.17 | 13.16 | 14.26 | 13.72 | 15.00 |
| T-DC-6A6/6A6-2 | 12.55 | 15.36 | ||||
| T-DC-6A8/6A8-1 | 12.31 | 11.51 | 12.28 | 11.80 | 11.65 | 22.50 |
| T-DC-6A8/6A8-2 | 10.71 | 11.31 | ||||
| T-DC-6A8/6A10-1 | 11.71 | 12.75 | 12.73 | 12.78 | 12.77 | 22.50 |
| T-DC-6A8/6A10-2 | 13.79 | 12.83 | ||||
| T-DC-6A10/6A10-1 | 10.32 | 11.01 | 13.15 | 11.62 | 11.32 | 22.50 |
| T-DC-6A10/6A10-2 | 11.85 | 10.54 | ||||
| T-DC-6A10/6A10-3 | 10.77 | 11.28 | ||||
| T-DC-6A10/6A10-4 | 11.11 | 11.49 | ||||
| T-Connection Specimen | HAZ Extent Measured According to EC9 [33] Approach, [mm] | |||||
|---|---|---|---|---|---|---|
| Flange | Web | Average | EC9 [31] | |||
| T-AC-6A6/6A6-1 | 9.03 | 8.39 | 11.00 | 11.89 | 10.14 | 15.00 |
| T-AC-6A6/6A6-2 | 7.75 | 12.77 | ||||
| T-AC-6A8/6A8-1 | 7.49 | 7.55 | 7.21 | 7.71 | 7.63 | 22.50 |
| T-AC-6A8/6A8-2 | 7.61 | 8.20 | ||||
| T-AC-6A8/6A10-1 | 9.82 | 9.86 | 8.68 | 8.83 | 9.34 | 22.50 |
| T-AC-6A8/6A10-2 | 9.89 | 8.97 | ||||
| T-AC-6A10/6A10-1 | 8.96 | 9.45 | 9.51 | 9.57 | 9.51 | 22.50 |
| T-AC-6A10/6A10-2 | 9.48 | 10.40 | ||||
| T-AC-6A10/6A10-3 | 9.40 | 9.06 | ||||
| T-AC-6A10/6A10-4 | 9.93 | 9.30 | ||||
Disclaimer/Publisher’s Note: The statements, opinions and data contained in all publications are solely those of the individual author(s) and contributor(s) and not of MDPI and/or the editor(s). MDPI and/or the editor(s) disclaim responsibility for any injury to people or property resulting from any ideas, methods, instructions or products referred to in the content. |
© 2025 by the authors. Licensee MDPI, Basel, Switzerland. This article is an open access article distributed under the terms and conditions of the Creative Commons Attribution (CC BY) license (https://creativecommons.org/licenses/by/4.0/).
Share and Cite
Landek, D.; Garašić, I.; Skejić, D.; Valčić, A.; Čudina, I.; Štefok, M. Micro and Macrostructural Assessment of Welded 6082 Aluminium Alloy T-Connections. Metals 2025, 15, 1365. https://doi.org/10.3390/met15121365
Landek D, Garašić I, Skejić D, Valčić A, Čudina I, Štefok M. Micro and Macrostructural Assessment of Welded 6082 Aluminium Alloy T-Connections. Metals. 2025; 15(12):1365. https://doi.org/10.3390/met15121365
Chicago/Turabian StyleLandek, Darko, Ivica Garašić, Davor Skejić, Anđelo Valčić, Ivan Čudina, and Mislav Štefok. 2025. "Micro and Macrostructural Assessment of Welded 6082 Aluminium Alloy T-Connections" Metals 15, no. 12: 1365. https://doi.org/10.3390/met15121365
APA StyleLandek, D., Garašić, I., Skejić, D., Valčić, A., Čudina, I., & Štefok, M. (2025). Micro and Macrostructural Assessment of Welded 6082 Aluminium Alloy T-Connections. Metals, 15(12), 1365. https://doi.org/10.3390/met15121365


















