Non-Ferrous Metal Bioleaching from Pyrometallurgical Copper Slag Using Spent Medium of Different Fungal Species
Abstract
1. Introduction
2. Materials and Methods
2.1. Copper Slag Samples Collection and Characterisation
2.2. Sulphuric Acid Consumption of Copper Slag and pH-Dependent Leaching of Base Metals
2.3. Microorganisms and Cultivation
2.4. Non-Ferrous Metal Bioleaching from Copper Slag with Spent Medium
2.5. Analyses
- CEl—concentration of leached element in the pregnant leaching solution, mg/L;
- V—volume of the solution during the leaching test, mL;
- m—copper slag mass during the leaching test, kg;
- ECm—concentration of element in raw copper slag, mg/kg.
- C2—metal concentration in the copper slag residue, mg/kg;
- C1—metal concentration in the raw copper slag, mg/kg.
- —sum of copper, zinc, and cobalt concentration in the pregnant leach solution, mg/L;
- Ciron—iron concentration in the pregnant leach solution, mg/L.
3. Results and Discussions
3.1. Chemical Content and Mineralogy
3.2. Sulphuric Acid Consumption and pH-Dependent Leaching of Base Metals from Copper Slags
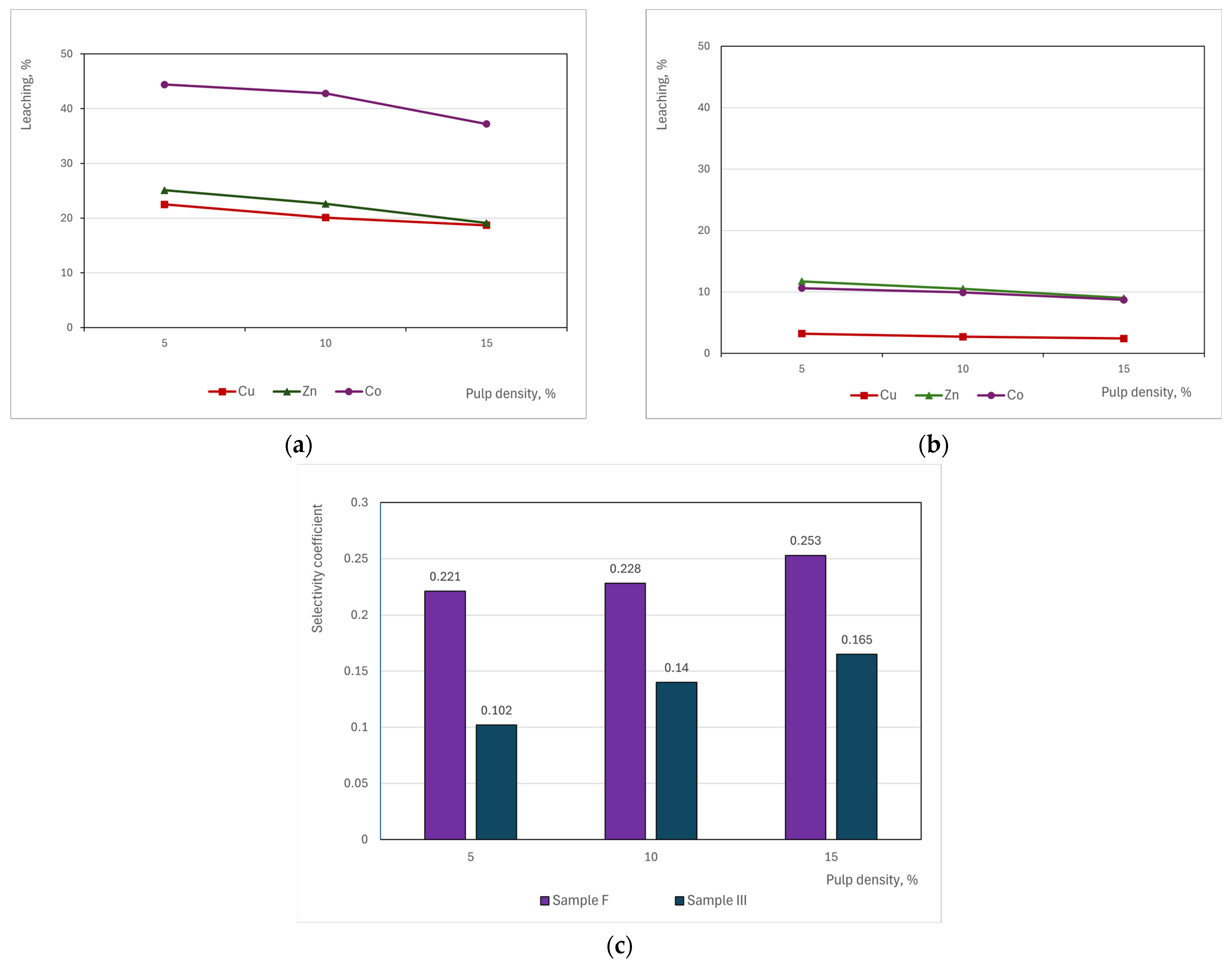
3.3. Selectivity of Non-Ferrous Metal Chemical Leaching from Copper Slag Using Sulphuric Acid
3.4. Indirect Copper Slag Bioleaching with Spent Medium of Aspergillus niger and Penicillium ochrochloron
- Deprotonation of organic acids:
- 2.
- Proton attack and mineral acidolysis:
- 3.
- Formation of complexes between cations and organic anions, which possess different solubilities (complexolysis):
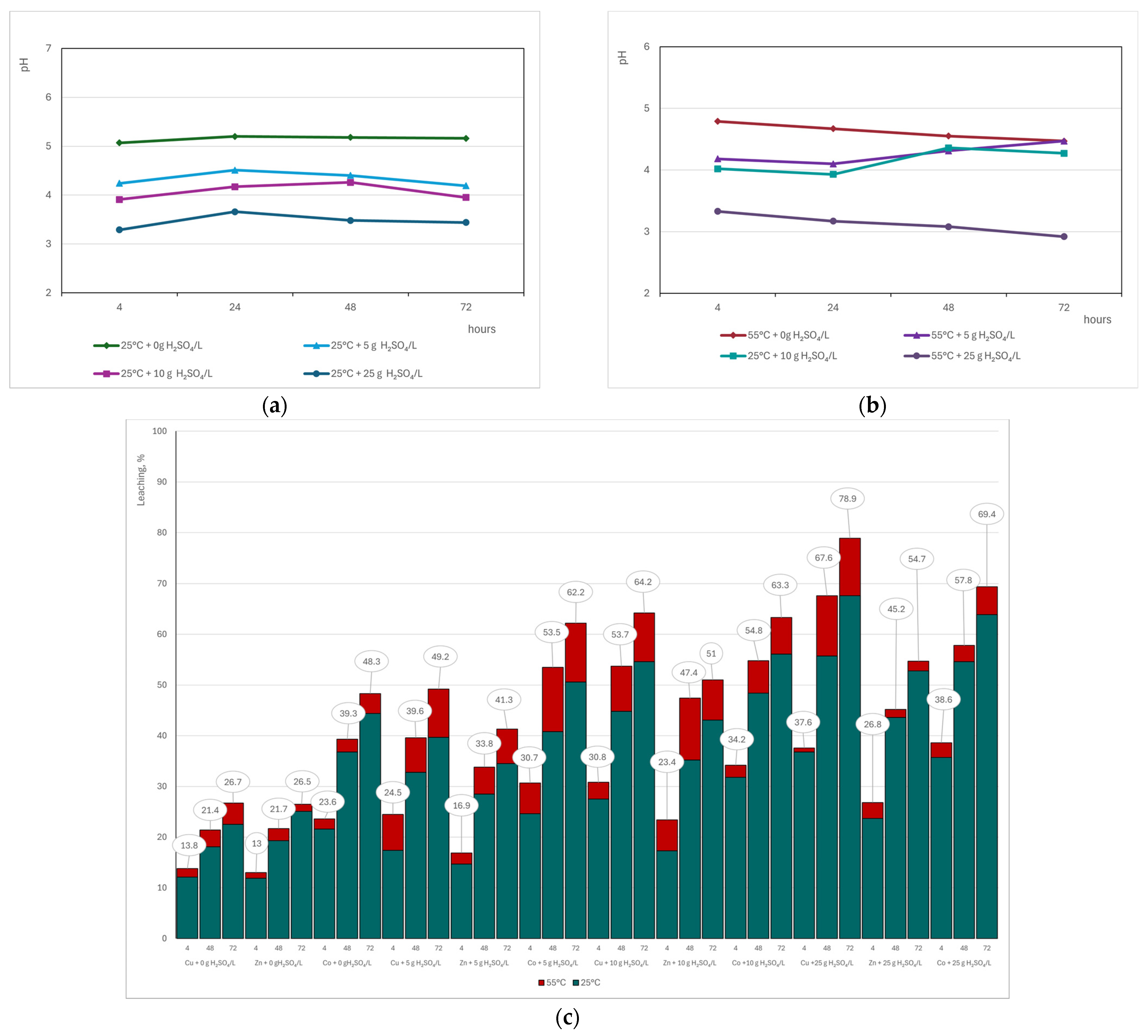
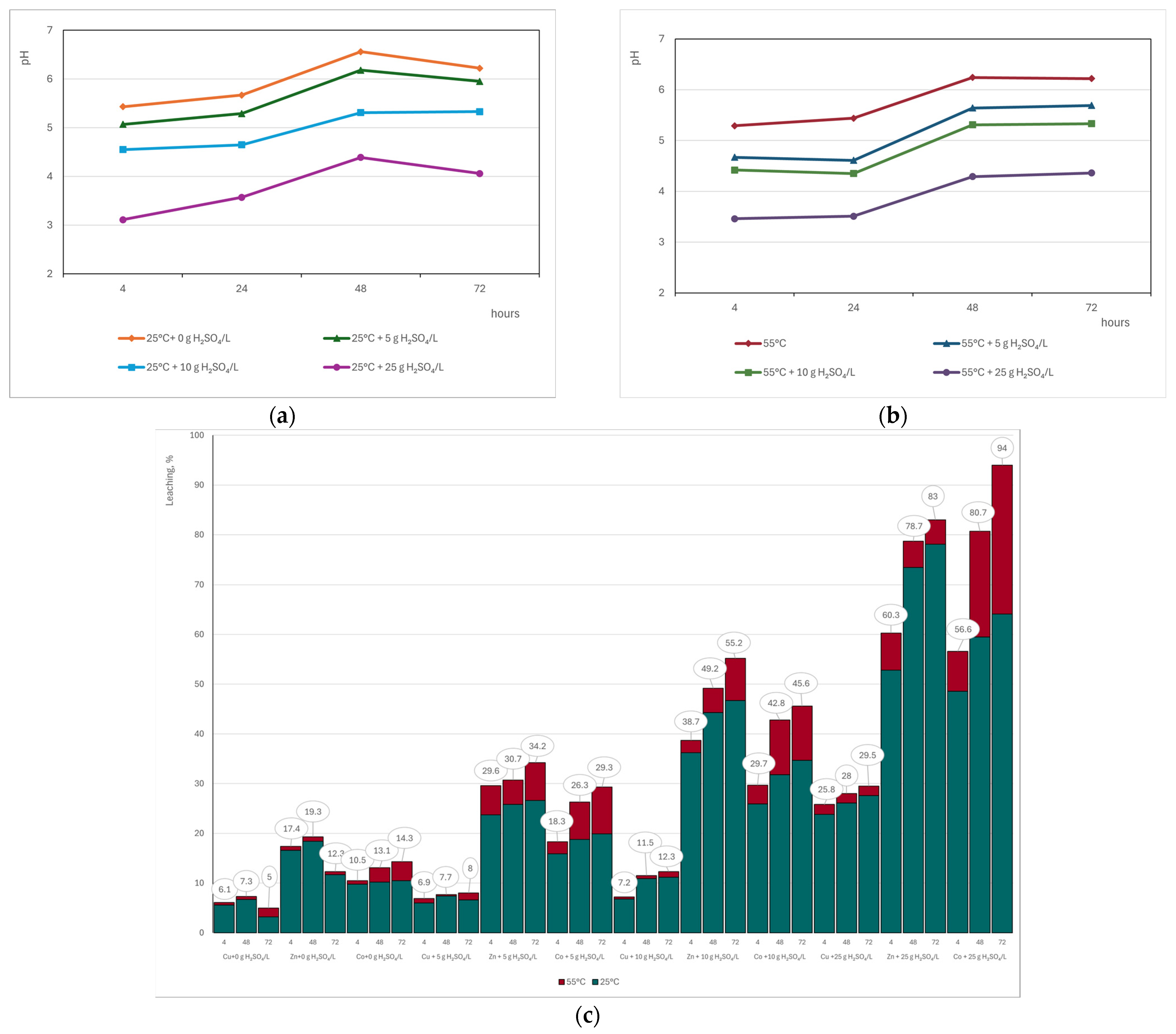
Indirect Copper Slags Bioleaching with Spent Medium of A. niger at 25 °C/55 °C, Supplemented with Different Dosages of Sulphuric Acid
- The acidity of the spent medium (native or supplemented with sulphuric acid), but not the temperature, was the main crucial factor that controlled the efficiency of base metal extraction from the studied copper slags;
- The insignificant difference in the selectivity values of base metal extraction at the tested temperatures indicated that copper slag III was more refractory to leaching, considering the extent of base metal extraction from sample F.
3.5. XRD Diffractograms of Copper Slag Leaching Residues
3.6. Morphological Analysis of Copper Slag Leaching Residues
Guidelines for Future Scientific Research
4. Conclusions
Author Contributions
Funding
Data Availability Statement
Acknowledgments
Conflicts of Interest
References
- Gorai, B.; Jana, R.K. Premchand Characteristics and utilization of copper slag—A review. Resour. Conserv. Recycl. 2003, 39, 299–313. [Google Scholar] [CrossRef]
- Phiri, T.; Singh, P.; Nikoloski, A.N. The potential for copper slag waste as a resource for a circular economy. A review—Part I. Miner. Eng. 2022, 180, 107474. [Google Scholar] [CrossRef]
- Potysz, A.; van Hullebusch, E.D.; Kierczak, J.; Grybos, M.; Lens, P.N.L.; Guibaud, G. Copper Metallurgical Slags—Current Knowledge and Fate: A review. Crit. Rev. Environ. Sci. Technol. 2015, 45, 2424–2488. [Google Scholar] [CrossRef]
- Piatak, N.M. Environmental characteristics and utilization potential of metallurgical slags. In Environmental Geochemistry, 2nd ed.; De Vivo, B., Belkin, H.E., Lima, A., Eds.; Elsevier: Amsterdam, The Netherlands, 2018; pp. 487–519. [Google Scholar] [CrossRef]
- Zhang, C.; Zhang, Y.; Zhang, Z.; Zhang, G. Effective separation and recovery of valuable metals from copper slag: A comprehensive review. Environ. Res. 2025, 283, 122145. [Google Scholar] [CrossRef] [PubMed]
- Srichandan, H.; Mohapatra, R.K.; Parhi, P.K.; Mishra, S. Bioleaching Approach for Extraction of Metal Values from Secondary Solid Wastes: A Critical Review. Hydrometallurgy 2019, 189, 105122. [Google Scholar] [CrossRef]
- Kinnunen, P.; Hedrich, S. Biotechnological strategies to recover value from waste. Hydrometallurgy 2023, 222, 106182. [Google Scholar] [CrossRef]
- He, R.; Zhang, S.; Zhang, X.; Zhang, Z.; Zhao, Y.; Ding, H. Copper slag: The leaching behavior of heavy metals and its applicability as a supplementary cementitious material. J. Environ. Chem. Eng. 2021, 9, 105132. [Google Scholar] [CrossRef]
- Mansourkiyaei, S.; Golzary, A. Innovative approaches for circular economy in copper slag management: Maximizing resource efficiency and sustainability. Results Eng. 2025, 27, 106903. [Google Scholar] [CrossRef]
- Deng, T.; Ling, Y. Processing of copper converter slag for metals reclamation. Part I: Extraction and recovery of copper and cobalt. Waste Manag. Res. 2007, 25, 440–448. [Google Scholar] [CrossRef]
- Kaksonen, A.H.; Särijärvi, S.; Peuraniemi, E.; Junnikkala, S.; Puhakka, J.A.; Tuovinen, O.H. Metal biorecovery in acid solutions from a copper smelter slag. Hydrometallurgy 2017, 168, 135–140. [Google Scholar] [CrossRef]
- Pang, L.; Wand, D.; Wang, H.; An, M.; Wang, Q. Occurrence and leaching behavior of heavy-metals elements in metallurgical slags. Constr. Build. Mater. 2022, 330, 127268. [Google Scholar] [CrossRef]
- Fan, J.; Li, H.; Wei, L.; Li, C.; Sun, S. The Recovery of Copper from Smelting Slag by Flotation Process. In Applications of Process Engineering Principles in Materials Processing, Energy and Environmental Technologies; The Minerals, Metals & Materials Series; Wang, S., Free, M., Alam, S., Zhang, M., Taylor, P., Eds.; Springer: Cham, Switzerland, 2017; pp. 231–237. [Google Scholar] [CrossRef]
- Kart, E.U.; Yazgan, Z.H.; Gümüssoy, A. Investigation of iron selectivity behavior of copper smelter slag flotation tailing with hemetitization baking and base metals leaching methods. Physicochem. Probl. Miner. Process. 2021, 57, 164–175. [Google Scholar] [CrossRef]
- Dimitrievic, M.D.; Urosevic, D.M.; Jankovic, Z.D.; Milic, S.M. Recovery of copper from smelting slag by sulphation roasting and water leaching. Physicochem. Probl. Miner. Process. 2016, 52, 409–421. [Google Scholar] [CrossRef]
- Gargul, K. Ammonia leaching of slag from direct-to-blister copper smelting technology. AIMS Mater. Sci. 2020, 7, 565–580. [Google Scholar] [CrossRef]
- Khalid, M.K.; Hamuyuni, J.; Agarwal, V.; Pihlasalo, J.; Haapalainen, M.; Lundström, M. Sulphuric acid leaching for capturing value from copper rich converter slag. J. Clean. Prod. 2019, 215, 1005–1013. [Google Scholar] [CrossRef]
- Shi, G.; Liao, Y.; Su, B.; Zhang, Y.; Wang, W.; Xi, J. Kinetics of copper extraction from copper smelting slag by pressure oxidative leaching with sulphuric acid. Sep. Purif. Technol. 2020, 241, 116699. [Google Scholar] [CrossRef]
- Zhang, Z.; Zeng, Q.; Feng, Y.; Wang, R.; Huang, W.; Wang, F.; Liu, Z. Recovery of valuable elements from copper slag through low-temperature sulphuric acid curing and water leaching. J. Environ. Chem. Eng. 2024, 12, 114880. [Google Scholar] [CrossRef]
- Zhang, S.; Zhu, N.; Mao, F.; Zhang, J.; Huang, X.; Li, F.; Li, X.; Wu, P.; Dang, Z. A novel strategy for harmlessness and reduction by alkali disaggregation of fayalite (Fe2SiO4) coupling with acid leaching. J. Hazard. Mater. 2021, 402, 123791. [Google Scholar] [CrossRef] [PubMed]
- Sun, J.; Zhang, T.; Shan, P.; Liu, D.; Dong, L. Kinetic analysis of copper extraction from copper smelting slag by sulphuric acid oxidation leaching. Miner. Eng. 2024, 216, 108886. [Google Scholar] [CrossRef]
- Ospanova, A.; Kokibasova, G.; Kadirbekova, A.; Sadykov, T.; Sydykanov, M.; Ospanova, G. Study on the leaching process for copper from the production waste of the Balkhash copper smelter with the addition of an oxidizing agent. J. Univ. Chem. Technol. Metall. 2025, 60, 861–868. [Google Scholar] [CrossRef]
- Mussapyrova, L.; Nadirov, R.; Baláž, P.; Rajnák, M.; Bureš, R.; Baláž, M. Selective room temperature leaching of copper from mechanically activated copper smelter slag. J. Mater. Res. Technol. 2021, 12, 2011–2025. [Google Scholar] [CrossRef]
- Babaian, I.; Chen, J.; Shevchenko, M.; Shishin, D.; Jak, E. Characterization of slag leachability in support of slag recycling: Development of experimental methodology. Sustain. Mater. Technol. 2025, 44, e01409. [Google Scholar] [CrossRef]
- Kaksonen, A.H.; Särkijärvi, S.; Puhakka, J.A.; Peuraniemi, E.; Junnikkala, S.; Tuovinen, O.H. Chemical and bacterial leaching of metals from a smelter slag in acid solutions. Hydrometallurgy 2016, 159, 46–53. [Google Scholar] [CrossRef]
- Georgiev, P.; Spasova, I.; Groudeva, V.; Nicolova, M.; Spasova, I.; Lazarova, A.; Iliev, M.; Ilieva, R.; Groudev, S. Bioleaching of valuable components from a pyrometallurgical final slag. Solid State Phenom. 2017, 262, 696–699. [Google Scholar] [CrossRef]
- Harimana, J.; Makangila, M.; Mundike, J.; Maseka, K.K. Effect of particle size, pH, and residence time on mobility of copper and cobalt from copper slag. Sci. Afr. 2024, 23, e02117. [Google Scholar] [CrossRef]
- Weng, W.; Lan, Y.; Tang, D.; Chen, H.; Xia, J.; Chen, J.; Zhong, S. Acid leaching of copper from copper slag based on machine leaching analysis. Sep. Purif. Technol. 2025, 379, 135025. [Google Scholar] [CrossRef]
- Kaksonen, A.H.; Lavonen, L.; Kuusenaho, M.; Kolli, A.; Närhi, H.; Vestola, E.; Puhakka, J.A.; Tuovinen, O.H. Bioleaching and recovery of metals from final slag waste of the copper smelting industry. Miner. Eng. 2011, 24, 1113–1121. [Google Scholar] [CrossRef]
- Potysz, A.; Lens, P.N.L.; van de Vossenberg, J.; Rene, E.R.; Grybos, M.; Guibaud, G.; Kierczak, J.; van Hullebusch, E.D. Comparison of Cu, Zn, and Fe bioleaching from Cu-metallurgical slags in the presence of Pseudomonas fluorescens and Acidithiobacillus thiooxidans. Appl. Geochem. 2016, 68, 39–52. [Google Scholar] [CrossRef]
- Mikoda, B.; Potysz, A.; Kmiecik, E. Bacterial leaching of critical metal values from Polish copper metallurgical slags using Acidithiobacillus thiooxidans. J. Environ. Manag. 2019, 236, 436–445. [Google Scholar] [CrossRef] [PubMed]
- Kumar, V.; Singh, G.; Dwivedi, S.K. Application of bioleaching for metal recovery. In Resource Recovery in Industrial Waste Waters, 1st ed.; Sillanpää, M.K., Khadir, A., Gurung, K., Eds.; Elsevier: Amsterdam, The Netherlands, 2023; pp. 295–318. [Google Scholar] [CrossRef]
- Potysz, A.; Grybos, M.; Kierczak, J.; Guibaud, G.; Lens, P.N.L.; van Hullebusch, E.D. Bacterially-mediated weathering of crystalline and amorphous Cu-slags. Appl. Geochem. 2016, 64, 92–106. [Google Scholar] [CrossRef]
- Dusengemungu, L.; Kasali, G.; Gwanama, C.; Mubemba, B. Overview of fungal bioleaching of metals. Environ. Adv. 2021, 5, 100083. [Google Scholar] [CrossRef]
- Marier, J.; Boulet, M. Direct determination of citric acid in milk with an improved pyridine acetic anhydride method. J. Dairy Sci. 1958, 41, 1683. [Google Scholar] [CrossRef]
- Bergermann, J.; Elliot, J.S. Method for direct colourimetric determination of oxalic acid. Anal. Chem. 1955, 27, 101401015. [Google Scholar] [CrossRef]
- Hausrath, E.M.; Navarre-Sitchler, A.K.N.; Sak, P.B.; Steefel, C.I.; Brantley, S.L. Basalt weathering rates on Earth and the duration of liquid water on the plains of Gusev Crater Mars. Geology 2008, 36, 67–70. [Google Scholar] [CrossRef]
- Kasikov, A.G.; Shchelokova, E.A.; Timoshchik, O.A.; Semushin, V.V. Deep Processing of Dump Slag from the Copper-Nickel Industry. Metals 2023, 13, 1265. [Google Scholar] [CrossRef]
- Turan, M.D.; Sari, Z.A.; Nizamoglu, H.; Özcan, T. Dissolution behavior and kinetics of copper slag under oxidative conditions. Chem. Eng. Res. Des. 2024, 205, 324–334. [Google Scholar] [CrossRef]
- Panda, S.; Mishra, S.; Rao, D.S.; Pradhan, N.; Mohapatra, U.; Angadi, S.; Mishra, B.K. Extraction of copper from copper slag: Mineralogical insights, physical beneficiation and bioleaching studies. Korean J. Chem. Eng. 2015, 32, 667–676. [Google Scholar] [CrossRef]
- Kaksonen, A.H.; Särkijärvi, S.; Puhakka, J.A.; Peuraniemi, E.; Junnikkala, S.; Tuovinen, O.H. Solid phase changes in chemically and biologically leached copper smelter slag. Miner. Eng. 2017, 106, 97–101. [Google Scholar] [CrossRef]
- Narisetty, V.; Renuka, G.; Amulya, K.; Brar, K.K.; Magdouli, S.; Binod, P.; Kumar, V.; Mohan, S.V.; Pandey, A.; Sindhu, R. Biological production of organic acids by filamentous fungi. In Current Development in Biotechnology and Bioengineering Filamentous Fungi Biorefinery; Taherzadeh, M.J., Ferreira, J.A., Pandey, A., Eds.; Elsevier: Amsterdam, The Netherlands, 2023; pp. 455–475. [Google Scholar] [CrossRef]
- Safari, H.; Rezaee, M.; Chelgani, S.C. Ecofriendly leaching agents for copper extraction-An overview of amino and organic acid applications. Green Smart Min. Eng. 2024, 1, 336–345. [Google Scholar] [CrossRef]
- Meshram, P.; Bhagat, L.; Prakash, U.; Pandey, B.D. Abhilash Organic acid leaching of base metals from copper granulated slag and evaluation of mechanisms. Can. Metall. Q. 2017, 56, 168–178. [Google Scholar] [CrossRef]
- Georgiev, P.; Nicolova, M.; Spasova, I.; Iliev, M.; Ilieva, R. Biological leaching of copper, zinc, and cobalt from pyrometallurgical copper slags using Aspergillus niger and Penicillium ochrochloron. J. Ecol. Eng. 2025, 26, 197–213. [Google Scholar] [CrossRef] [PubMed]
- Brar, K.K.; Magdouli, S.; Perreault, N.N.; Tanabene, R.; Brar, S.K. Reviving Riches: Unleashing Critical Minerals from Copper Smelter Slag Through Hybrid Bioleaching Approach. Minerals 2024, 14, 1094. [Google Scholar] [CrossRef]
- Godirilwe, L.L.; Haga, K.; Altansukh, B.; Jeon, S.; Danha, G.; Shibayama, A. Establishment of a Hydrometallurgical Scheme for the Recovery of Copper, Nickel, and Cobalt from Smelter Slag and Its Economic Evaluation. Sustainability 2023, 15, 10496. [Google Scholar] [CrossRef]













| Chemical Element, % | Sample F | Sample III |
|---|---|---|
| Cu | 0.36 | 0.47 |
| Zn | 1.93 | 1.34 |
| Co | 0.09 | 0.05 |
| Fe | 27.2 | 36.3 |
| Si | 15.9 | 16.0 |
| Ca | 6.9 | 6.9 |
| Mn | 0.8 | 0.3 |
| Al | 2.78 | 2.58 |
| P | 0.08 | 0.07 |
| S | 0.91 | 1.06 |
| pH (H2O) | 7.95 | 8.81 |
| Chemical Element, % | Sample F | Sample III |
|---|---|---|
| Fayalite (Fe2SiO4) | 33 | 56 |
| Pyroxene group (XY(Si,Al)2O6): | ||
| 10 | - |
| - | 44 |
| Protomangano-ferro-anthophyllite ( ) | 56 | - |
| Index | Penicillium ochrochloron | Aspergillus niger |
|---|---|---|
| pH | 3.24 | 2.58 |
| Citric acid, g/L | 18.9 | 24.8 |
| Oxalic acid, g/L | 10.9 | 8.1 |
| Acidity, g/L | 0.65 | 0.94 |
| Fungal biomass, g/L | 7.92 | 9.75 |
| Index | Penicillium ochrochloron | Aspergillus niger | ||
|---|---|---|---|---|
| Sample F | Sample III | Sample F | Sample III | |
| pH | 5.27 | 7.19 | 4.39 | 6.03 |
| Cu leached, mg/kg | 715 | 97 | 810 | 151 |
| Cu leaching, % | 19.9 | 2.1 | 22.5 | 3.2 |
| Zn leached, mg/kg | 4490 | 1407 | 4850 | 1568 |
| Zn leaching, % | 23.3 | 10.5 | 25.1 | 11.7 |
| Co leached, mg/kg | 345 | 61 | 400 | 69 |
| Co leaching, % | 38.3 | 12.2 | 44.4 | 13.8 |
| Copper Slag/Copper Slag Residue | Relative Content, % | |||||
|---|---|---|---|---|---|---|
| Fayalite | Pyroxene Group | Proto-Mangano-Ferro-Anthophyllite | Magnetite | |||
| Clinopyroxene | Diopside | Augite | ||||
| Sample F | ||||||
| Raw sample | 33 | 10 | - | - | 56 | - |
| Leaching with the spent medium at 55 °C | 60 | - | - | 37 | - | 3 |
| Leaching with the spent medium supplementation with 5 g H2SO4/L at 55 °C | 40 | - | - | 28 | - | 32 |
| Sample III | ||||||
| Raw sample | 56 | - | 44 | - | - | - |
| Leaching with the spent medium at 55 °C | 40 | - | - | 32 | - | 25 |
| Leaching with the spent medium supplementation with 5 g H2SO4/L at 55 °C | 33 | - | - | 45 | - | 22 |
Disclaimer/Publisher’s Note: The statements, opinions and data contained in all publications are solely those of the individual author(s) and contributor(s) and not of MDPI and/or the editor(s). MDPI and/or the editor(s) disclaim responsibility for any injury to people or property resulting from any ideas, methods, instructions or products referred to in the content. |
© 2025 by the authors. Licensee MDPI, Basel, Switzerland. This article is an open access article distributed under the terms and conditions of the Creative Commons Attribution (CC BY) license (https://creativecommons.org/licenses/by/4.0/).
Share and Cite
Georgiev, P.; Nicolova, M.; Spasova, I.; Iliev, M.; Ilieva, R. Non-Ferrous Metal Bioleaching from Pyrometallurgical Copper Slag Using Spent Medium of Different Fungal Species. Metals 2025, 15, 1359. https://doi.org/10.3390/met15121359
Georgiev P, Nicolova M, Spasova I, Iliev M, Ilieva R. Non-Ferrous Metal Bioleaching from Pyrometallurgical Copper Slag Using Spent Medium of Different Fungal Species. Metals. 2025; 15(12):1359. https://doi.org/10.3390/met15121359
Chicago/Turabian StyleGeorgiev, Plamen, Marina Nicolova, Irena Spasova, Mihail Iliev, and Ralitsa Ilieva. 2025. "Non-Ferrous Metal Bioleaching from Pyrometallurgical Copper Slag Using Spent Medium of Different Fungal Species" Metals 15, no. 12: 1359. https://doi.org/10.3390/met15121359
APA StyleGeorgiev, P., Nicolova, M., Spasova, I., Iliev, M., & Ilieva, R. (2025). Non-Ferrous Metal Bioleaching from Pyrometallurgical Copper Slag Using Spent Medium of Different Fungal Species. Metals, 15(12), 1359. https://doi.org/10.3390/met15121359

