Abstract
The effect of KOH concentration as a boron-free coolant for prospective use in Small Modular Reactors (SMRs) on the corrosion of Alloy 690 is studied by in situ impedance spectroscopy at 280 °C/9 MPa during 168 h exposure in a flow-through cell connected to a high-temperature/high-pressure loop. To follow further oxidation of the passive film, the samples were subsequently polarized up to potentials 0.5 V more positive than the corrosion potential. The formed oxides were analyzed ex situ by measuring the atomic concentration of the constituent elements via glow discharge optical emission spectroscopy (GDOES) depth profiling. The Mixed-Conduction Model for Oxide Films (MCM) was employed to quantitatively interpret the impedance results. The estimated parameters are used to quantify the influence of KOH concentration and anodic polarization on oxide formation and soluble product release rates. Results are compared to those obtained in the nominal primary chemistry of pressurized water reactors and indicate that Alloy 690 can also be successfully used as a steam generator tube material in SMRs.
1. Introduction
The concept of a small modular reactor (SMR) has generated considerable interest for communities seeking smaller and simpler nuclear power stations for generating electricity and processing heat, particularly when any energy generated is to be distributed in small and sometimes isolated grids []. There are many SMRs at various stages of development worldwide [], including a few that are currently being built. Among these, the water-cooled SMR is the closest to deployment and benefits from 60 years of operational experience with a variety of water-cooled power reactors []. Since it is the most common water-cooled reactor in the existing nuclear fleet, the pressurized water reactor (PWR) is also the basis for most of the water-cooled SMRs.
The SMR version of the PWR (sometimes called an integrated PWR, iPWR) introduces design simplification by integrating all major reactor components (such as the reactor core, the pressurizer and the steam generator) into a single reactor vessel. Thus, passive safety concepts adopted in SMRs call for significant improvements over existing water-cooled reactors. Since, in an iPWR, the steam generator is located inside the reactor vessel, changes in the flow of primary and secondary water streams occur. In other words, the primary coolant is on the outside of the tubes in iPWRs, whereas it is on the inside in conventional PWR plants. In either fluid stream, there is a concern for the potential breach of one or more tubes that may result in reactor coolant water leaking into the secondary side coolant. A unique reactivity control technique of PWRs is chemical shimming by modulating boric acid, since boron absorbs neutrons and changes reactivity. However, the power ramp rate is limited by the rate of dilution and addition of the boron concentration, especially at the end of a fuel cycle []. In addition, using boron leads to the production of effluent, positive temperature feedback at a high concentration and boric acid-induced corrosion of vessel and pipe materials []. Thus, boron-free reactivity control schemes will be preferred in SMRs, and further research on material behavior in such conditions is needed.
Nickel Alloy 690 is the steam generator tube material for PWRs, and is expected to be used also in the iPWR and other light water-cooled SMRs [,,]. In spite of being extensively investigated in the last few years with respect to its passivation and corrosion release in primary PWR coolants [,,,,,,,,,,,,,], in situ electrochemical studies of these processes on that material are rather scarce [,,]. In addition, only a few conference reports [,,] address the behavior of the material in boron-free primary coolants proposed to be employed in several SMR types [,]. Thus, there is a knowledge gap to be addressed in connection to the use of materials to ensure the safety and durability of water-cooled SMR installations.
The present project aims at addressing that gap by performing in situ electrochemical measurements of the corrosion and anodic oxidation of Alloy 690 in boron-free KOH-based coolants in conditions closely simulating the primary side of the steam generator tubes. First, the corrosion and oxidation of the material at open-circuit potential is followed using electrochemical impedance spectroscopy (EIS) for exposures up to 168 h. Subsequently, the alloy is polarized anodically in a wide range of potentials to assess the behavior under eventual oxygen ingress in the system. To assess the in-depth elemental composition of the corrosion film, separate samples of the material are simultaneously exposed and analyzed with glow discharge optical emission spectroscopy (GDOES). In order to estimate the film formation and soluble corrosion product release rates, the Mixed-Conduction Model for Oxide Films (MCM), recently employed to describe the corrosion of Alloy 690 in a range of media pertinent to the primary circuits of PWRs [], is used to interpret the EIS results obtained. Based on the derived parameters of the anodic and cathodic reactions, soluble product release rates are calculated and compared to those observed in conventional PWRs. Finally, conclusions on the extent of the general corrosion in SMR primary water chemistry are drawn and directions for future research are indicated.
2. Materials and Methods
2.1. Cells, Electrodes, and Electrolytes
All measurements were performed at 280 ± 1 °C, 9 ± 0.1 MPa in a PTFE-insulated flow-through cell made of AISI 316 L (cell volume, 0.1 dm3) connected to a high-temperature/high-pressure recirculation loop designed in-house. KOH solutions (0.053 or 0.106 mmol dm−3, i.e., 3 or 6 mg kg−1, pH280 = 6.7 ± 0.1 and 7.1 ± 0.1, respectively), prepared from analytical-grade chemical and type 1 deionized water, were used as electrolytes. Bubbling with N2 (99.999%) throughout the experiments was carried out to keep dissolved oxygen concentration below 10 µg kg−1. No dissolved hydrogen was added to the system in order to minimize the influence of hydrogen reactions on the electrochemical response. The electrolytes were pumped from a 20 dm3 reservoir into the flow-through cell at a rate of 2 dm3 h−1, ensuring a linear velocity of 1 cm s−1 of the coolant in the cell.
Commercial Alloy 690 tubes, cold drawn, pickled and annealed at 1040 °C, were used to produce working electrodes. Nominal and GDOES-analyzed chemical compositions of the material are given in Table 1. Prior to use, samples were de-greased, electropolished (70% H3PO4-15%H2SO4-15%CH3OH electrolyte, 9.0 V/5 min. at 40 °C), and washed with deionized water. The counter electrode was a Pt (99.9%) sheet, and the reference electrode a Pd (99.9%) plate polarized with a negative current of 10 or 30 µA vs. another Pt sheet to approximate the reversible hydrogen reference. All the potentials in the paper are re-calculated vs. the standard hydrogen electrode (SHE).
Table 1.
Nominal and analyzed compositions of the working electrode material (Alloy 690).
2.2. Electrochemical Measurements
Open-circuit potential-time, current-potential, and EIS measurements were performed using a Compactstat 10030 (Ivium, Eindhoven, The Netherlands) potentiostat/galvanostat. The frequency range of impedance was from 10 kHz to 0.1 mHz in a galvanostatic zero current mode with an ac current amplitude of 10 µA (rms), resulting in a typical ac voltage of 40–50 mV (rms). Linearity was checked by measuring spectra with amplitudes from 2 to 12 µA, and causality was verified according to the measurement model theory and associated software [,]. Points that did not satisfy the Kramers–Kronig transform (usually in the high- and low-frequency ends of the spectra) were discarded. All measurements were at least triplicated, resulting in a reproducibility of ±2% by magnitude and ±3° by phase shift.
2.3. Ex Situ Characterization
Depth profiles of the elemental composition of oxides on separate samples exposed in identical conditions were estimated by GDOES over an area of 5 mm2 with a GDA 750HR instrument (Spectruma Analytik, Hof, Germany) equipped with a special holder for curved samples. Typical operating parameters were as follows: a primary voltage of 950 V, a current of 9 mA, and an Ar gas pressure of 3 hPa. Reference materials chosen to cover the relevant concentration ranges of the elements present were employed for instrument calibration.
3. Results
3.1. Corrosion Potential-Time and Current-Potential Curves
The Ecorr-time curves in the two electrolytes are shown in Figure 1a, whereas the i-E curves during anodic polarization of the alloy at the end of exposure are shown in Figure 1b. The locations of the measured Ecorr and applied anodic potentials are shown in the Ni-Cr-H2O E-pH diagram at 280 °C (total concentration of Ni and Cr of 10−7 mol kg−1) (Figure 2). In the more dilute KOH solution, Ecorr decreases up to 10 h of exposure, probably indicating the transformation of the electropolished surface into a corrosion film, as observed previously in H3BO3-KOH coolants [], and then increases to stabilize in the Cr2O3–Ni combined stability region (ca. 0.1 V below the H2/H2O line). In the more concentrated (higher pH) KOH solution, Ecorr is ca. 70 mV more negative at the beginning of exposure, the subsequent increase to reach values similar to those in 3 mg kg−1 KOH being somewhat steeper. The current during anodic polarization increases for potentials higher than −0.55/−0.50 V that approximately coincide with the NiCr2O4/HCrO4− equilibrium line, i.e., with the onset of the transpassive dissolution of Cr. The transpassive currents are higher in the 6 mg kg−1 KOH solution, i.e., at somewhat higher pH. Thus, it can be stated that KOH concentration, i.e., the pH of the electrolyte, influences the evolution of the oxide during anodic polarization.
Figure 1.
Corrosion potential vs. time (a) and current-potential curve during anodic polarization (b) for Alloy 690 in 3 mg kg−1 and 6 mg kg−1 KOH at 280 °C.
Figure 2.
E-pH diagram of the system Ni-Cr-H2O at 280 °C with the potential ranges of free corrosion (blue vertical line) and anodic oxidation (red vertical line) superimposed.
3.2. Electrochemical Impedance Spectroscopy
Impedance spectra measured at the open circuit for different exposure times are shown in Figure 3 (3 mg kg−1 KOH) and Figure 4 (6 mg kg−1 KOH) in both Bode (a) and complex plane (b) coordinates. The impedance modulus at frequencies approaching zero (|Z|f→0) that can be taken as inversely proportional to the corrosion rate increases with time of exposure in both electrolytes, indicating the growth of the protective film that impedes corrosion. The increase in |Z|f→0 is faster in the more concentrated (higher-pH) KOH solution, in accordance with the faster increase in the corrosion potential with time that indicates faster passive film growth and accordingly a decrease in the corrosion rate in that solution. The stable values of |Z|f→0 obtained after 110–120 h of exposure are somewhat smaller (ca. 35 kΩ cm2) in the more concentrated KOH in comparison to the 3 mg kg−1 solution (ca. 45 kΩ cm2), which may mean that the protective film has a somewhat lesser effect on the steady-state corrosion rate, or that it is thinner, and the ionic–electronic transport through it is accordingly faster. This feature will be further discussed in the section devoted to the quantitative interpretation of impedance spectra. It is important to mention that the values of |Z|f→0 measured in simulated Water–Water Energy Reactor (WWER) coolants in a 3.75 dm3 autoclave [] are consistently larger than those reported here, which can be traced to the much lower fluid velocity in that autoclave (ca. 0.1 mm s−1 vs. 1 cm s−1). It is worth mentioning that |Z|f→0 values estimated from impedance spectra measured either in electrolytes simulating hot functional testing of a PWR [] or in nominal PWR coolant during operation [] in the presence of dissolved hydrogen are much lower (1.0–4.0 kΩ cm2), confirming the major role of hydrogen reactions in these conditions that makes it more difficult to assess the corrosion release rates by electrochemical means.
Figure 3.
Impedance spectra as a function of time (h) for Alloy 690 in 3 mg kg−1 KOH at 280 °C: (a) Bode plots, (b) complex plane plots (parameter is frequency in Hz). Points—experimental data, lines—best-fit calculation; (c) experimental (points) and Kramers–Kronig transformed real and imaginary parts of impedance (lines) after 117.9 h exposure.
Figure 4.
Impedance spectra as a function of time (h) for Alloy 690 in 6 mg kg−1 KOH at 280 °C: (a)—Bode plots, (b)—complex plane plots (parameter is frequency in Hz). Points—experimental data, lines—best-fit calculation.
At first glance, three processes with different characteristic frequencies—20–100 Hz, 0.5–10 Hz, and below 20 mHz—are detected in the phase shift vs. frequency curves (Figure 3a and Figure 4a). These can be tentatively ascribed to the semiconducting properties of the protective film, electron transfer at the film/electrolyte interface, and the transport of ionic defects in the film bulk. It is evident, however, that the intermediate frequency phase shift peaks are asymmetric, indicating a further time constant in this region. This was confirmed by the distribution of relaxation times method and associated software [], and the extra process was assigned to the second step of an interfacial reaction (most probably hydrogen evolution/oxidation following a two-step mechanism), as already ascertained for the EIS measurements of Alloy 690 in simulated WWER primary coolants []. The characteristic frequencies of all the processes (except the lowest-frequency one) decrease with time of exposure, which could indicate an alteration in the semiconducting properties of the oxide during the transformation from an electropolished layer to a corrosion film, as well as an increase in the energetic heterogeneity of the film/solution interface with exposure. These observations will be rationalized based on the quantitative interpretation of the data using the MCM described in the Discussion section.
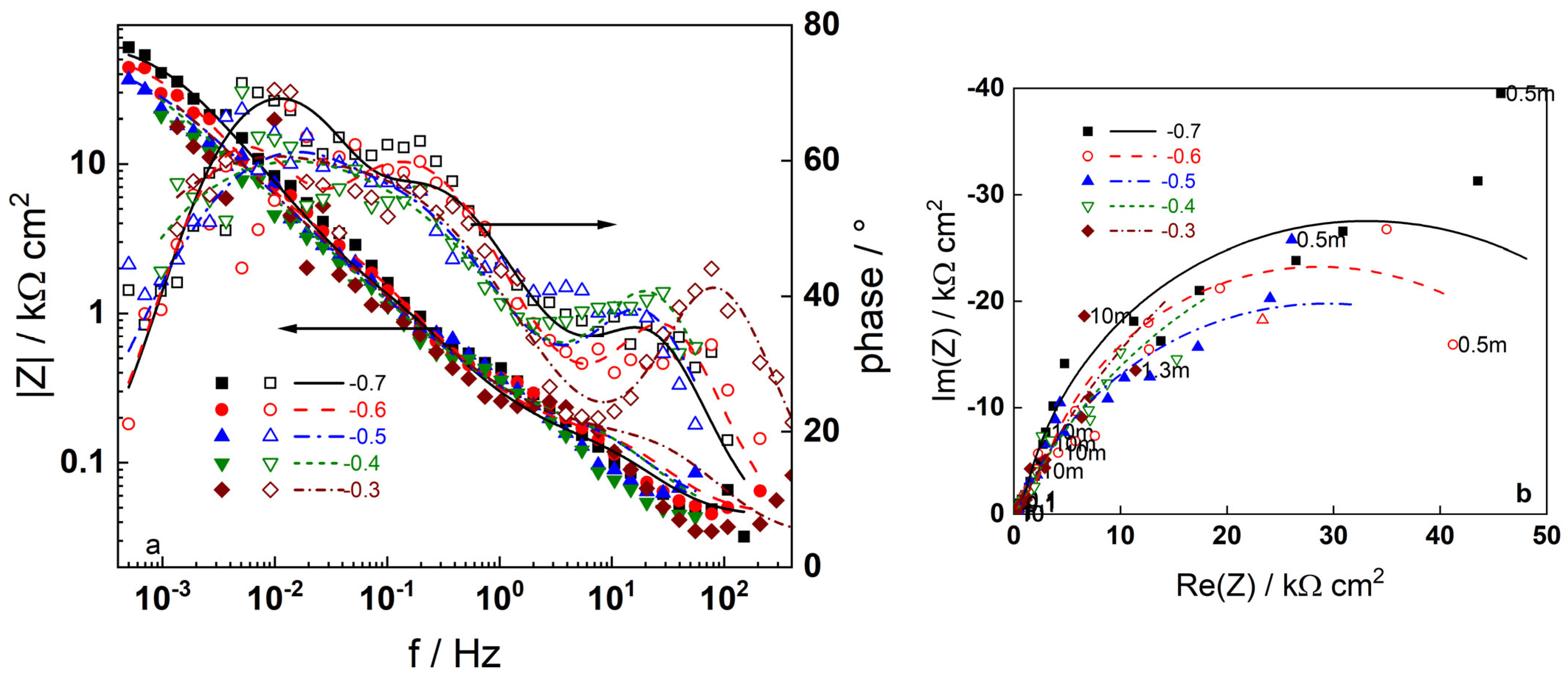
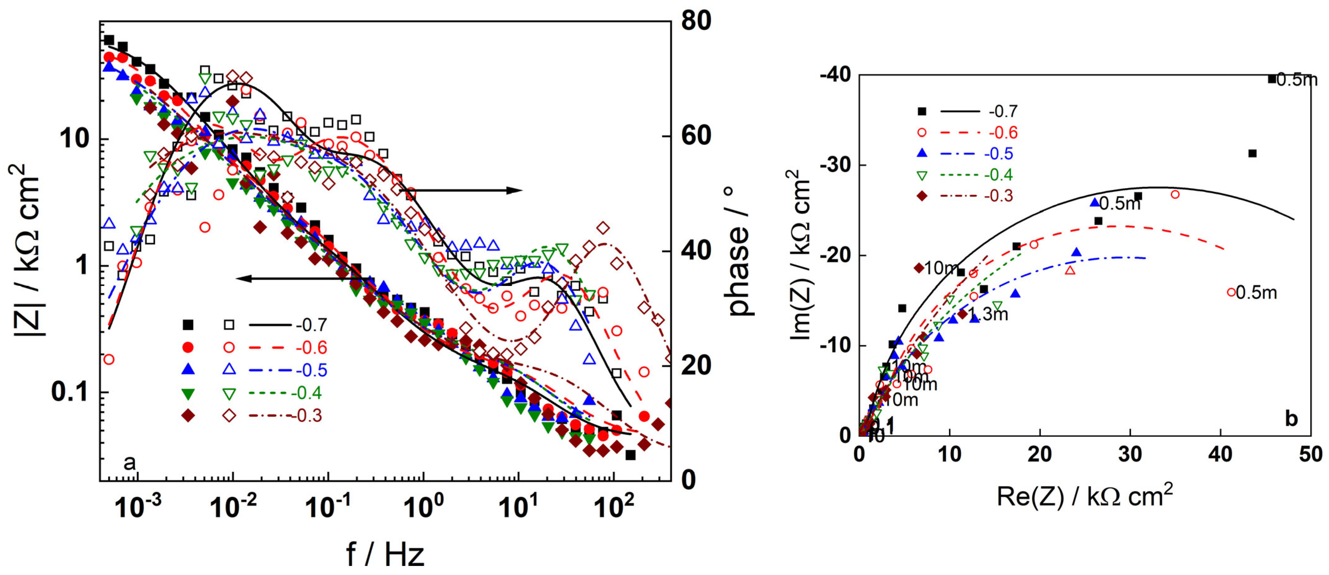
The impedance spectra measured during anodic polarization after 168 h exposure in the two coolants are summarized in Figure 5 and Figure 6. In the more dilute solution, |Z|f→0 first increases (from open circuit to −0.6 V) and then decreases with increasing potential. The increase could be due to the evolution of the oxide from Cr2O3 to NiCr2O4 via oxidation and the incorporation of Ni, whereas the decrease is associated with transpassive dissolution and correlates well with the current rise in the same region of potentials (Figure 1b).
Figure 5.
Impedance spectra as a function of potential (V) for Alloy 690 in 3 mg kg−1 KOH after a week’s exposure at 280 °C: (a) Bode plots, (b) complex plane plots (parameter is frequency in Hz). Points—experimental data, lines—best-fit calculation.
Figure 6.
Impedance spectra as a function of potential (V) for Alloy 690 in 6 mg kg−1 KOH after a week’s exposure at 280 °C: (a)—Bode plots, (b)—complex plane plots (parameter is frequency in Hz). Points—experimental data, lines—best-fit calculation.
In the solution with a higher KOH concentration (and accordingly pH), |Z|f→0 continuously decreases with increasing potential, indicating that transpassive dissolution starts already at −0.6 V, in accordance with the E-pH diagram (Figure 2). Considering the phase shift vs. frequency dependencies, no extra time constants are observed, but the process with the highest characteristic frequency (associated with the semiconducting properties of the passive film) first moves to higher frequencies (during the Cr2O3 to NiCr2O4 transformation), and then in the reverse direction when transpassive oxidation starts to dominate. To summarize, the impedance spectra are in good correlation with both the thermodynamic predictions and the potential-time and current-potential data, but, in addition, they give more detailed information on the processes that take place at high and intermediate frequencies and are associated with the properties of the oxide and the reactions at the oxide/solution interface.
3.3. Ex Situ Analysis of the Corrosion Film
GDOES depth profiles of the oxides formed during the exposure of Alloy 690 for 168 h at open circuit in 3 and 6 mg kg−1 KOH are shown in Figure 7 and Figure 8, both as an atomic concentration of constituents vs. depth (left) and as a cation concentration normalized to total cation content (right). The profiles are the average values from three measurement points at the surface of the samples from three independent measurements at each KOH concentration, the deviation in depth and atomic concentration being less than ±5%. The position of the film/alloy interface estimated by the sigmoidal fitting of O and Ni profiles also coincides within ±5% and represents the thickness of the oxide formed in the less concentrated KOH, whereas, in the more concentrated solution, there is evidence of a contamination layer in which C and O predominate.
Figure 7.
GDOES depth profiles of elemental composition of the oxide formed on Alloy 690 in 3 mg kg−1 KOH for 168 h at the corrosion potential: (left)—atomic concentration vs. depth, (right)—normalized cation content vs. depth. Vertical lines indicate the position of the alloy/oxide interface estimated by sigmoidal fits of the O- and Ni-profiles (short dashed lines).
Figure 8.
GDOES depth profiles of elemental composition of the oxide formed on Alloy 690 in 6 mg kg−1 KOH for 168 h at the corrosion potential: (left)—atomic concentration vs. depth, (right)—normalized cation content vs. depth. Vertical lines indicate the position of the alloy/oxide interface estimated by sigmoidal fits of the O- and Ni-profiles (short dashed lines).
In the solution with a lower pH, the enrichment of Cr at the outer interface is almost twofold, and the concentration of Ni is rather low, indicating either preferential dissolution (unlikely on thermodynamic grounds) or a very slow oxidation of Ni. The thickness of the oxide is ca. 22 nm, in good agreement with the values estimated with XPS depth profiling or the microscopic examination of cross-sections of oxides formed by exposure to conventional PWR coolants [,,,,,,,,,,,,]. In the more concentrated KOH solution, the enrichment of Cr is smaller (1.6-fold in comparison to the bulk Cr concentration in the alloy), and the oxide is somewhat thicker (ca. 30 nm). Cr is depleted in the alloy zone immediately below the oxide in both solutions, but the location of that zone in the more concentrated KOH is considerably deeper. This fact may be related to the slower tendency of the oxidation of Cr in the solution with a higher pH. In general, the present results indicate that oxides formed during the free corrosion of Alloy 690 in boron-free KOH are rather similar to those reported during the oxidation of the material in PWR-HFT (boron-free LiOH []), nominal PWR (B-Li [,,,,,,,,,,,,]) and WWER (B-K-Li []) coolants. In fact, the composition of the oxide is simpler since, in most studies related to nominal PWR, B and/or Li have been found to be adsorbed and/or incorporated into the corrosion layer. The next section is devoted to the quantitative interpretation of the experimental results described above.
4. Discussion
Brief Description of the Kinetic Model
As is customary in the MCM, the processes of film formation and soluble corrosion product release are regarded as parallel reactions of generation, transport, and consumption of point defects (oxygen vacancies and interstitial cations). Assuming that the protective oxide is composed of Ni-doped Cr2O3 (Fe ions are omitted for simplicity), these reactions can be written as follows:
- Oxide formation
- Oxide dissolution
- Corrosion release (Ni dissolution through the film)
The electrons generated by these reactions are consumed by water in a two-step hydrogen evolution reaction featuring atomic hydrogen as an adsorbed intermediate:
Kroger–Vink notation is used for the point defects in the above equations, i.e., stands for oxygen vacancy and for a nickel interstitial cation. The interfacial rate constants of individual reaction steps are marked with ki (i = O, M, 2O, 2M, 1H, 2H, −1H, −2H, d), Di (i = e, O, M) are the diffusion coefficients of electrons, oxygen vacancies and cation interstitials, and —is the field strength in the oxide.
As is usually assumed, the overall impedance of the system is composed of the impedances of the oxide film (Zf) and the impedance of its interface with the electrolyte (ZF/S) in series with the uncompensated electrolyte resistance:
Further, the film impedance is a parallel combination of an impedance due to semiconducting properties of that film with anion vacancies and interstitial cations playing the role of electron donors (Ze) and the two transport impedances of oxygen via vacancies and nickel via interstitials, respectively:
The impedance of the film/solution interface is represented as a parallel combination of an interfacial capacitance (CF/S, generalized as a constant phase element, CPE) and the faradaic impedance at that interface dominated by the hydrogen reactions:
Details of the derivation of this function can be found in a previous publication []. The rate constants of the interfacial reactions are exponential functions of the respective potential drops
E being the open-circuit potential or the applied potential during anodic polarization.
The parameter estimates were obtained via complex non-linear least squares regression of the impedance data to the model equations using the Levenberg–Marquardt algorithm. The part of applied potential at the oxide/solution interface and the dielectric constant of the oxide were kept constant during fitting (α = 0.85 and ε = 25) [], whereas the transfer coefficients of all hydrogen reaction steps were taken as 0.5. The molar volume of the oxide equals that of Cr2O3 (29.1 cm3 mol−1), whereas the steady-state concentration of dissolved hydrogen in the system (cH2) is assumed to be 1 µmol kg−1.
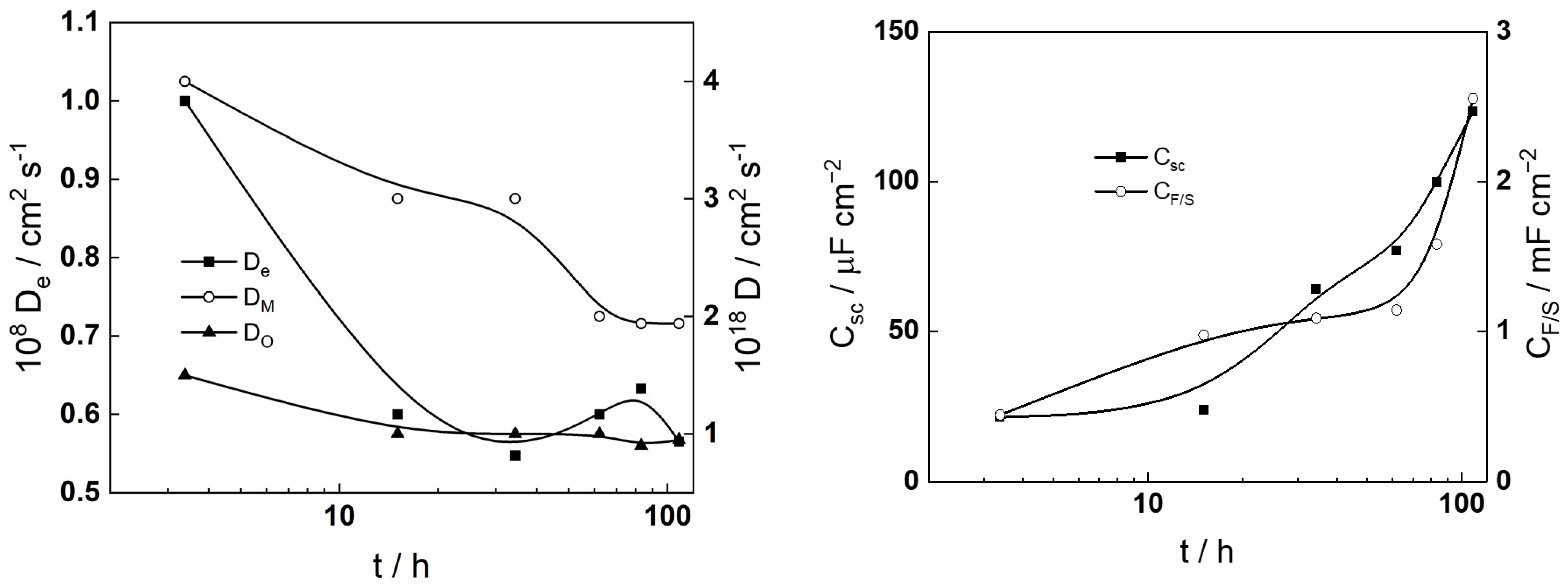
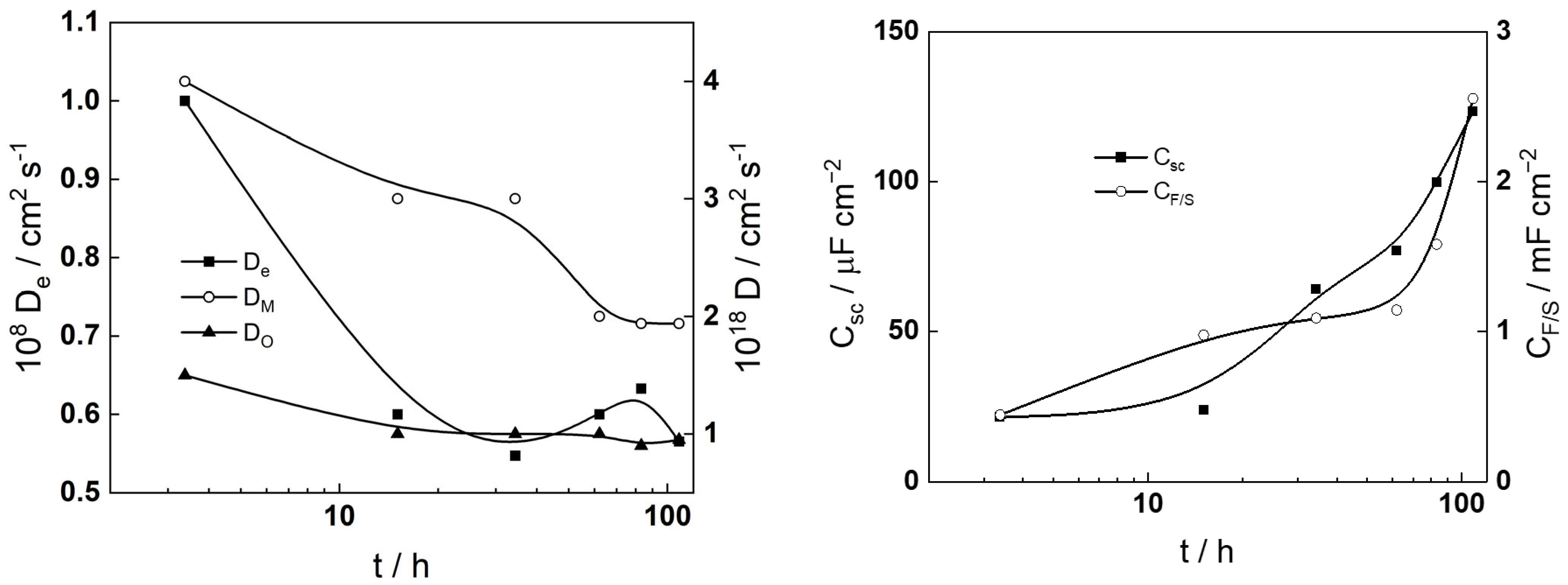
Fits to the above transfer function are shown in Figure 3, Figure 4, Figure 5 and Figure 6 with solid lines and demonstrate the ability of the model to describe adequately both the magnitude and the frequency distribution of the impedance response. The model parameters as depending on exposure time and applied potential are collected in Figure 8, Figure 9, Figure 10 and Figure 11 for the two coolant concentrations.

Figure 9.
Model parameters estimated by best-fit to the impedance spectra of Alloy 690 in 3 mg kg−1 KOH as a function of time.

Figure 10.
Model parameters estimated by best-fit to the impedance spectra of Alloy 690 in 6 mg kg−1 KOH as a function of time.

Figure 11.
Model parameters estimated by best-fit to the impedance spectra of Alloy 690 as a function of potential during anodic polarization in 3 mg kg−1 KOH.
Several conclusions can be drawn from the dependences of parameter values on time of exposure (Figure 9 and Figure 10):
- The rate constants of the metal oxidation reactions (kM and kO) decrease with time according to a power law in both KOH concentrations. Taking into account that the film thickness increases logarithmically with time (third equation in (6)), an exponential decay of the rate constants with thickness is observed, as assumed in the model (first equation in (8)). Of course, since the field strength in the oxide is not constant with exposure, this dependence is only approximate. The rate constants in the two electrolytes are rather close to each other, the only point of note being the somewhat larger values of kO in the more concentrated KOH solution. Overall, soluble product release predominates over oxide formation since kM > kO for all exposure times in the two coolants studied.
- The rate constants of ejection of interstitial cations (k2M) and the filling of oxygen vacancies (k2O) have comparatively large values at the beginning of exposure (up to 10–20 h), and decrease to ca. three times lower values for long oxidation times. This may indicate an alteration in the interface structure due to the evolution of the electropolished layer into a protective film. The values of k2M and k2O are larger in the more concentrated KOH solution regardless of exposure time. More detailed investigation of the evolution of the oxide interface with the coolant during exposure is needed in order to fully and quantitively explain the observed dependences.
- The rate constants of the reactions associated with hydrogen evolution/oxidation do not show any appreciable dependence on the exposure time or KOH concentration, i.e., the kinetics of these reactions is not influenced by the evolution of the oxide or the coolant pH.
- The diffusivities of ionic defects are somewhat larger in the first 20 h of exposure and maintain constant values thereafter, indicating a quasi-steady state transport in the oxide for longer exposures. Conversely, the diffusivity of electronic carriers increases after 20 h of exposure in the more dilute KOH solution, whereas an opposite trend is detected in the other electrolyte. This feature is once again traced to the electropolished layer to corrosion film transformation and the associated alteration in semiconducting properties.
- The field strength in the oxide decreases with time and reaches quasi-constant values after 40–60 h. The values of this parameter are somewhat higher in the more concentrated KOH solution, in which the steady-state values are reached faster. This is in accordance with the faster oxide growth in that solution. As shown in a previous paper [], such a dependence on exposure time (or, equivalently, on film thickness) can be explained by postulating a space charge formation in the oxide due to the large difference in electron and ion transport rates. If the total space charge is a sum of the concentration of mobile defects (oxygen vacancies and interstitial nickel cations) and the immobile charge of Ni(II) incorporated in Cr2O3, the following equation is obtained using the approach of Fromhold [], x0 being the space charge screening parameter.
Since the thickness of the oxide increases logarithmically with time, this equation accounts for the linear decrease in the field strength with time, as observed in Figure 9 and Figure 10.
- Concerning the space charge and interfacial capacitances (Csc and CF/S), an increase in these two parameters is observed for times longer than 10–20 h in both studied electrolytes, which can also be traced to the alteration of the semiconducting properties of the oxide and the energetic homogeneity of the film/solution interface with time of exposure. The increase in the interfacial capacitance from values typical for the double layer (100–200 μF cm−2) could also indicate an accumulation of intermediate products of hydrogen reactions at that interface.
The evolution of estimated parameters with potential during anodic polarization in the two studied electrolytes (Figure 11 and Figure 12) allows us to draw the following conclusions:

Figure 12.
Model parameters estimated by best-fit to the impedance spectra of Alloy 690 as a function of potential during anodic polarization in 6 mg kg−1 KOH.
- The rate constants of the interfacial reactions increase exponentially with potential, on general kinetic grounds. The respective transfer coefficients are rather low (ca. 0.1–0.2), as customarily found for passive films on iron and nickel alloys in high-temperature electrolytes [,].
- The rate constants of hydrogen reactions at E = 0 do not vary with potential, with the exception of the rate constant of hydrogen oxidation (k−1H), which decreases significantly, indicating a change in mechanism for this reaction at higher potentials. This can be tentatively ascribed to the assumed change in the oxide from the corrosion film (Ni-doped Cr2O3) to NiCr2O4, eventually containing some Cr(VI) at potentials higher than −0.5 V vs. SHE.
- The thickness of the oxide increases quasi-linearly with increasing potential, which is in good correlation with the small (less than 20%) decrease in the field strength, also probably due to a change in the nature and concentration of mobile defects and immobile dopants in the oxide. It is worth noting that the reaction of transpassive oxidation is not taken into account within the frames of the present model; thus, the description of the processes at high anodic polarizations is semi-quantitative. However, it was judged premature to include new reactions in an already rather complex model at this stage.
- The diffusivites of ionic and electronic defects increase with potential and reach constant values in the transpassive region, the values being somewhat lower in the more concentrated KOH solution. In general, the diffusivities are somewhat higher during anodic polarization in comparison to the values during free corrosion, which can also be taken as an indication of a different structure and composition of the film formed at anodic potentials. Further investigations are now in progress to elucidate that structure and composition.
- The capacitance of the depletion layer decreases with increasing potential, and, when plotted in Csc−2 vs. E coordinates, gives a quasi-linear evolution in the transpassive region. That indicates an n-type oxide, and rough estimates of the donor densities are (6–8) × 1020 cm−3, i.e., typical for a semiconductor at the edge of degeneration (the donor density is found to be higher in the more concentrated KOH solution). Further, the interfacial capacitance (CF/S) increases with potential and preserves values that are somewhat larger than a typical double layer capacitance, which can be due to the accumulation of intermediate products of both the hydrogen and transpassive oxidation reactions.
In general, the proposed model gives a consistent picture of the Alloy 690/oxide/electrolyte system in simulated boron-free coolants that are put forward for prospective use in SMRs. In order to compare the degradation of the material in these media with that in B-Li coolants used in the primary circuit of PWRs currently under operation, the evolution of film thickness and release rate are presented in Figure 13. The release rate is calculated using an equation previously derived from the model []
Figure 13.
Oxide film thickness vs. time (a) and release rate vs. time (b) for Alloy 690 in the two studied boron-free coolants compared to data for nominal PWR primary coolant (1000 mg kg−1 of B as H3BO3, 2 mg kg−1 of Li as LiOH) (adapted from Ref. []).
From the examination of the data it follows that the thickness of the oxide formed in nominal PWR is somewhat larger than that in the present conditions (notwithstanding the fact that the used specimens were from different providers), i.e., the rate of corrosion layer formation is somewhat lower in the absence of B (bearing in mind the higher pH of the boron-free coolant at the operational temperature). The soluble product release rates, however, are rather similar in B-free and nominal PWR coolants, indicating that the overall general corrosion behavior does not differ significantly. The values obtained in B-free coolants are ca. 10−14 mol cm2 s−1, in good agreement with several other works concerning the oxidation and soluble product release of Alloy 690 [,,,,,].
5. Conclusions
The present work investigated the corrosion and anodic oxidation mechanism of Alloy 690 (the main steam generator tube material of PWRs) in boron-free primary water chemistry for prospective use in SMRs, characterized using a combination of in situ impedance spectroscopy and ex situ analysis of oxides with GDOES. To interpret impedance results, an updated version of the Mixed-Conduction Model featuring a two-step hydrogen reaction was employed. The following conclusions can be drawn from the experimental data and calculation results:
- There is a relatively small effect of KOH concentration in boron-free coolants on the conduction mechanism in the protective film, and soluble product release and electrochemical reactions are evidenced. Thus, no general corrosion problems are expected for Alloy 690 during the transition from B-Li and/or B-K-Li primary water chemistry to boron-free conditions.
- The conduction mechanism in the alloy/oxide/coolant system is described by a consistent set of parameters stemming from non-linear least squares fits to the impedance spectra, both during free corrosion and under anodic polarization. The evolution of kinetic constants and transport parameters with time and potential obey dependences that are imminently reasonable from general kinetic grounds and do not differ significantly in comparison to those estimated earlier in nominal PWR coolants.
- The oxides which formed in boron-free coolant are somewhat thinner than those in nominal PWR conditions, i.e., the rate of oxidation is to a certain extent lower in the absence of B. Soluble product release rates are rather similar in B-free and nominal PWR coolants, indicating that the overall general corrosion behavior does not differ significantly in the absence of boron. Thus, the present study demonstrates that there are no obstacles in also using Alloy 690 as steam generator tubing in SMRs.
Further studies are needed in order to evaluate the effect of the addition of dissolved hydrogen and soluble zinc on the corrosion behavior of internals and steam generator tubing pertinent to SMRs. These studies are underway and will be communicated shortly.
Author Contributions
Conceptualization, M.B. and I.B.; methodology, M.B.; software, M.B.; validation, I.B. and V.K.; formal analysis, I.B.; investigation, V.K.; resources, M.B.; data curation, V.K.; writing—original draft preparation, M.B.; writing—review and editing, I.B. and V.K.; visualization, I.B.; supervision, M.B.; project administration, M.B.; funding acquisition, M.B. All authors have read and agreed to the published version of the manuscript.
Funding
This research is funded by the European Union–Next Generation EU through the National Recovery and Resilience Plan of the Republic of Bulgaria, project No. BG-RRP-2.004-0002 (BiOrgaMCT). Electrochemical measurements were performed using the equipment of the National Scientific Infrastructure “Energy Storage and Hydrogen Energy” (ESHER, contract DO1-160/28.08.18).
Data Availability Statement
The raw data supporting the conclusions of this article will be made available by the authors on request.
Conflicts of Interest
The authors declare no conflicts of interest.
References
- Ingersoll, D.T.; Carelli, M.D. (Eds.) Handbook of Small Modular Nuclear Reactors; Elsevier Woodhead Publishing: Cambridge, UK, 2021. [Google Scholar]
- Ricotti, M.E.; Fomin, R.V. Small modular reactors, Chapter 5. In Nuclear Reactor Technology Development and Utilization; Ud-Din Khan, S., Nakhabov, A., Eds.; Elsevier: Amsterdam, The Netherlands, 2020; pp. 187–211. [Google Scholar]
- Zhang, Z.; Jiang, J. On load-following operations of small modular reactors (review). Prog. Nucl. Energy 2024, 173, 105274. [Google Scholar] [CrossRef]
- Liao, J.; Hu, Y.; Li, J.; Jin, D.; Meng, S.; Ruan, T.; Hu, Y.; Zhang, Z. Corrosion release behavior of alloy 690 and its application in high-temperature water with Zn injection. Nucl. Eng. Technol. 2022, 54, 984–990. [Google Scholar] [CrossRef]
- Flambard, J.; Carrette, F.; Monchy-Leroy, C.; Andrieu, E.; Laffont, L. Influence of the transient conditions on release of corrosion products and oxidation of alloy 690 tubes during pressurized water reactor restart after steam generators replacement. J. Nucl. Mater. 2021, 543, 152562. [Google Scholar] [CrossRef]
- Hur, D.H.; Lim, D.-S.; Jeon, S.-H. Corrosion behavior of Alloy 690 after cessation of zinc addition in simulated PWR primary water at 330 °C. J. Nucl. Mater. 2021, 555, 153147. [Google Scholar] [CrossRef]
- Jeon, S.-H.; Lim, D.-S.; Choi, J.; Song, K.-M.; Lee, J.-H.; Hur, D.-H. Effects of zinc addition on the corrosion behavior of pre-filmed alloy 690 in borated and lithiated water at 330 C. Materials 2021, 14, 4105. [Google Scholar] [CrossRef]
- Lim, D.-S.; Jeon, S.-H.; Bae, B.J.; Choi, J.; Song, K.-M.; Hur, D.-H. Effect of zinc addition scenarios on general corrosion of Alloy 690 in borated and lithiated water at 330 C. Corros. Sci. 2021, 189, 109627. [Google Scholar] [CrossRef]
- Wu, X.; Liu, X.; Zhang, Z.; Tan, J.; Han, E.-H.; Ke, W. Some fundamental understandings of Zn-injection water chemistry on material corrosion in pressurized water reactor primary circuit. Corros. Commun. 2022, 6, 52–61. [Google Scholar] [CrossRef]
- Ribière, N.; Engler, N.; Brimbal, D.; Skocic, M.; Andrieu, É.; Blanc, C.; Laffont, L. Multi-scale characterization of the inner surface of as-received steam generator tubes and correlation with the Ni release in primary water. Corros. Sci. 2023, 218, 111205. [Google Scholar] [CrossRef]
- Karimihaghighi, R.; Naghizadeh, M. Effect of alloying elements on aqueous corrosion of nickel-based alloys at high temperatures: A review. Mater. Corros. 2023, 74, 1246–1255. [Google Scholar] [CrossRef]
- Ribière, N.; Esvan, J.; Engler, N.; Brimbal, D.; Skocic, M.; Andrieu, É.; Blanc, C.; Laffont, L. An XPS and TEM study of the composition and structure of native oxides on the inner surface of as-received Ni base alloy steam generator tubes. Appl. Surf. Sci. 2024, 654, 159514. [Google Scholar] [CrossRef]
- Han, J.-Y.; Jeon, S.-H.; Ha, S.-J.; Shim, H.-S.; Sohn, I.; Kim, S.-W. Effect of plastic deformation on microstructure and general corrosion behavior of alloy 690 in SG crevice condition of PWR secondary system containing hydrogen. J. Mater. Res. Technol. 2024, 33, 9232–9248. [Google Scholar] [CrossRef]
- He, S.; Liu, F.; Li, Y.; Xia, R.; Wang, J.; Zhang, L. Effect of Zinc Addition on Corrosion and Metal Release Behavior of Nickel-based Alloy 690 in PWR Primary Water. At. Energy Sci. Technol. 2024, 58, 1514–1522. [Google Scholar]
- Li, X.; Chen, H.; Xu, X.; Chen, J.; Cui, T.; Dong, H.; Wang, J.; Lu, Z. Corrosion Resistance of Alloy 690 in High-Temperature Water with Various Dissolved Hydrogen Concentrations. Corrosion 2025, 81, 205–215. [Google Scholar] [CrossRef]
- Wei, S.C.; Wang, X.; Li, X.; Xu, J.; Shoji, T. Atomically unveiling the initial stage of interfacial reactions of Alloy 690 in high temperature high pressure water environments by ab initio molecular dynamics. J. Nucl. Mater. 2025, 605, 155591. [Google Scholar] [CrossRef]
- Ribière, N.; Esvan, J.; Engler, N.; Brimbal, D.; Skocic, M.; Andrieu, É.; Blanc, C.; Laffont, L. XPS and TEM characterization of oxides formed in simulated primary water on steam generator tubes made of Ni based alloy. Corros. Sci. 2025, 249, 112823. [Google Scholar] [CrossRef]
- Yang, J.; Li, Y.; Xu, A.; Fekete, B.; Macdonald, D.D. The electrochemical properties of alloy 690 in simulated pressurized water reactor primary water: Effect of temperature. J. Nucl. Mater. 2019, 518, 305–315. [Google Scholar] [CrossRef]
- Bojinov, M.; Betova, I.; Karastoyanov, V. Corrosion Mechanism and Electrochemical Reactions on Alloy 690 in Simulated Primary Coolant of Water–Water Energy Reactors. Materials 2024, 17, 1846. [Google Scholar] [CrossRef]
- Bai, Z.; Li, Y.; Xing, L.; Gao, P.; Yu, Z.; Ding, S.; Macdonald, D.D.; Wang, S. In-Situ Monitoring Techniques and Analysis Theory for Electrochemical Corrosion in Subcritical and Supercritical Aqueous Systems. J. Electrochem. Soc. 2025, 172, 021504. [Google Scholar] [CrossRef]
- Jeon, S.-H.; Lim, D.-S.; Choi, J.; Song, K.M.; Hur, D.H. Influences of Zn Concentration on the General Corrosion Behavior of Alloy 690TT in Simulated Primary Water of PWRs. In Proceedings of the Transactions of the Korean Nuclear Society Virtual Spring Meeting, Virtual, 13–14 May 2021. paper 21S-227. [Google Scholar]
- Choi, W.; Baek, S.H.; Song, G.D.; Lim, D.S.; Son, Y.; Kim, Y.-J.; Bahn, C.B. Electrochemical Behavior of i-SMR Structural Materials in Simulated Soluble Boron-free KOH or LiOH Environments. In Proceedings of the Transactions of the Korean Nuclear Society Spring Meeting, Jeju, Republic of Korea, 18–19 May 2023. paper 23S-365. [Google Scholar]
- Shim, H.-S.; Jeon, S.-H.; Kim, J.S.; Hur, D.H. Corrosion Behaviors of Alloy 690 Steam Generator Tubes in Boron-Free Primary Coolant. In Proceedings of the Transactions of the Korean Nuclear Society Spring Meeting, Jeju, Republic of Korea, 18–19 May 2023. paper 23S-469. [Google Scholar]
- Mart, J.; Klein, A.; Soldatov, A. Feasibility Study of a Soluble Boron–Free Small Modular Integral Pressurized Water Reactor. Nucl. Technol. 2014, 188, 8–19. [Google Scholar] [CrossRef]
- Kang, H.O.; Lee, B.J.; Lim, S.G. Light water SMR development status in Korea. Nucl. Eng. Design 2024, 419, 112966. [Google Scholar] [CrossRef]
- Agarwal, P.; Orazem, M.E.; Garcia-Rubio, L.H. Application of measurement models to impedance spectroscopy III. Evaluation of consistency with the Kramers-Kronig relations. J. Electrochem. Soc. 1995, 142, 4159–4168. [Google Scholar] [CrossRef]
- You, C.; Zabara, M.; Orazem, M.; Ulgut, B. Application of the Kramers–Kronig Relations to Multi-Sine Electrochemical Impedance Measurements. J. Electrochem. Soc. 2020, 167, 020515. [Google Scholar] [CrossRef]
- Betova, I.; Bojinov, M.; Karastoyanov, V.; Kinnunen, P.; Saario, T. Effect of water chemistry on the oxide film on Alloy 690 during simulated hot functional testing of a pressurized water reactor. Corros. Sci. 2012, 58, 20–32. [Google Scholar] [CrossRef]
- Engler, N.; Marion, A.; Fournier, L.; Rahmouni, K.; El Euch, S.; Bojinov, M. Steam Generator Tube Release: Assessment by the Use of Electrochemical Impedance Spectroscopy. In Proceedings of the Nuclear Plant Chemistry Conference NPC 2016, Brighton, UK, 2–7 October 2016. paper 73. [Google Scholar]
- Wan, T.; Saccoccio, M.; Chen, C.; Ciucci, F. Influence of the Discretization Methods on the Distribution of Relaxation Times Deconvolution: Implementing Radial Basis Functions with DRTtools. Electrochim. Acta 2015, 184, 483–499. [Google Scholar] [CrossRef]
- Fromhold, A., Jr. Single Carrier Steady-State Theory for Formation of Anodic Films Under Conditions of High Space Charge in Very Large Electric Fields. J. Electrochem. Soc. 1977, 124, 538–549. [Google Scholar] [CrossRef]
- Sharifi-Asl, A.; Taylor, M.; Lu, Z.; Engelhardt, G.; Kursten, B.; Macdonald, D.D. Modeling of the electrochemical impedance spectroscopic behavior of passive iron using a genetic algorithm approach. Electrochim. Acta 2013, 102, 161–173. [Google Scholar] [CrossRef]
- Bai, Z.; Li, Y.; Zhu, W.; Wang, Q.; Gao, P.; Wang, S.; Ding, S. Temperature-dependent electrochemical corrosion mechanisms of alloy 690 in simulated primary coolant of PWRs: Insights from in-situ electrochemical characteristics and micro-nano scale dynamics. Electrochim. Acta 2025, 540, 147140. [Google Scholar] [CrossRef]
Disclaimer/Publisher’s Note: The statements, opinions and data contained in all publications are solely those of the individual author(s) and contributor(s) and not of MDPI and/or the editor(s). MDPI and/or the editor(s) disclaim responsibility for any injury to people or property resulting from any ideas, methods, instructions or products referred to in the content. |
© 2025 by the authors. Licensee MDPI, Basel, Switzerland. This article is an open access article distributed under the terms and conditions of the Creative Commons Attribution (CC BY) license (https://creativecommons.org/licenses/by/4.0/).