Abstract
The reactor pressure vessel (RPV) is a critical barrier in nuclear power plants, but its embrittlement during service poses a significant safety challenge. This study investigated the effects of Cu-enriched clusters on the mechanical and magnetic properties of Fe-0.9 wt.%Cu model alloys through thermal aging. Using Vickers hardness tests, Magnetic Barkhausen Noise (MBN) detection, and Atom Probe Tomography (APT), the study aimed to establish a quantitative correlation between MBN signals, Vickers hardness, and Cu-enriched clusters, facilitating the non-destructive testing of RPV embrittlement. Experimental results showed that the hardness and MBN parameters (RMS and Vpp values) changed significantly with aging time. The hardness increased rapidly in the early stage (under-aged), followed by a plateau and then a decreasing trend (over-aged). In contrast, MBN parameters decreased initially and then increased. APT analysis revealed that Cu-enriched clusters increase in size to 4.60 nm and coalesced during aging, with their number density peaking to 3.76 × 1023 m−3 before declining. An inverse linear correlation was found between MBN signals and the combined factor Nd2Rg (product of the number density squared and the mean radius of Cu-enriched clusters). This correlation was consistent across both under-aged and over-aged states, suggesting that MBN signals can serve as applicable indicators for the non-destructive evaluation of RPV steel embrittlement.
1. Introduction
As an essential component, the reactor pressure vessel (RPV) is one of the core barriers of nuclear power plants [1,2]. Significant embrittlement of RPV is induced by the severe operation conditions, such as high temperature and irradiation [2,3,4]. This phenomenon is characterized by an increase in material hardness accompanied by a reduction in its toughness, which presents a significant challenge to the safety assessment during the long-term operation of the RPV. It is imperative that the use of RPVs, as well as nuclear power plants, be discontinued as soon as the embrittlement of the former reaches a certain threshold. The monitoring of RPV steel embrittlement and the accurate prediction of its progression are crucial aspects of ensuring the secure operation of nuclear power plants. This necessitates an exhaustive investigation and a comprehensive understanding of the underlying embrittlement mechanisms.
Previous studies have indicated a significant influence of Cu-enriched clusters on the embrittlement problem [2,5,6]. The solubility limit of Cu in α-Fe is extremely low and the clustering of Cu is significantly thermodynamically driven, which results in the formation of Cu-enriched clusters in both non-irradiated and irradiated conditions. In the latter case, the clustering process is accelerated by a higher defect concentration [7,8]. Nevertheless, a comparable formation of Cu-enriched clusters, as well as the effect on the mechanical properties, have been revealed by the comparative investigations of irradiation and thermal aging [3,8,9,10]. Due to the high radioactivity and scarcity of neutron irradiation, the thermal aging treatment of model alloys has been widely employed in the study of the precipitation of clusters in RPV [11,12,13]. The Cu-enriched clusters with a core-shell structure were observed to form in Cu-bearing RPV steels and their model alloys following irradiation or prolonged thermal aging [10,14,15,16]. However, the investigation of clusters presents a significant challenge due to the multitude of variables that need to be taken into account. To facilitate the study, numerous studies on the Fe-Cu binary model alloys have been conducted to analyze Cu-enriched clustering behavior and its effect on material properties [12,13,17,18,19].
Currently, the assessment of the RPV embrittlement is mainly conducted through destructive methods such as Charpy impact test. However, due to the limited surveillance specimens, the use of non-destructive technique for the evaluation is of great significance to the long-term operation of RPV [20,21]. As a promising potential method, the magnetic Barkhausen noise (MBN) shows a considerable reliability and sensitivity in the detection of the change in microstructure and residual stresses [22,23,24]. Nevertheless, a reliable quantitative correlation between the MBN signal and the precipitated clusters remains unestablished. Additionally, further investigations are required with respect to the interaction mechanism between MBN signal and precipitated clusters, as well as the mechanical properties. The primary objective of this study is to investigate the correlation between hardness and MBN parameters, as well as the nano-sized precipitated clusters formed during service, with the aim of enhancing non-destructive testing techniques for assessing the material degradation.
The present study employed a systematic investigation on the changes in mechanical and MBN parameters resulting from the precipitation of Cu-enriched clusters in Fe-0.9 wt.%Cu model alloys. The correlation between MBN signals and Cu-enrich clusters as well as the mechanical properties of the materials is clarified, and the mechanism of microstructural evolutionary behaviors is discussed. The MBN detection, atom probe tomography (APT) technique, and hardness test were used in this investigation.
2. Experiments
The model binary alloy of Fe-0.9 wt.%Cu was prepared by vacuum induction melting high purity iron and copper in a magnesia-aluminum spinel crucible. The influence of interstitial impurities is eliminated by controlling the concentration of C, P, S, and other irrelevant elements. The ingot was then hot forged and rolled into plates, followed by solution treating at 880 °C for 5 h and water quenching to ensure homogeneity. The samples were cut from the plates by electrical-discharge machining and isothermally aged at 500 °C for 1, 4, 6, 8, 10, 20, 50, and 100 h, respectively. Each interval represents a separate and distinct duration of thermal aging, after which the subsequent measurements and analyses were conducted.
The Vickers hardness tests were conducted to evaluate the mechanical properties of the Fe-Cu alloy specimens at various stages of thermal aging. The samples were prepared from the Fe-Cu alloy with dimensions of 10 mm × 10 mm × 2 mm. After removing oxide coating, the thermally aged samples were ground and mirror-polished for subsequent investigation. The Vickers hardness test with 10 kgf and a dwell time of 10 s has been carried out at different positions on the surface, and the final value for each sample was obtained by averaging ten measurements at different locations to ensure statistical reliability and minimize the effect of surface irregularities. Then, the needle-shaped specimens were prepared from the thermally aged samples with the same dimensions of Vickers hardness specimen, via the Helios Nano Lab 600i focused-ion-beam (FIB) system manufactured by Thermo Fisher Scientific (Waltham, MA, USA), in which Ga+ ions were used for milling. Then LEAP 4000X HR APT equipment manufactured by CAMECA Instruments (Gennevilliers, France) and the Integrated Visualization and Analysis Software (IVAS 3.6.8) were utilized to obtain the distribution of atoms of the needle-shaped specimen so as to derive the evolution of Cu cluster size and number density during the thermal aging process.
The MBN signal detection was conducted by utilizing a custom-designed MBN detection system, which comprised a signal generator, power amplifier, magnetic excitation device, etc., as illustrated in Figure 1. The power amplification module utilizes the LM3886, a commonly used power amplifier chip, and the preamplifier circuit is designed based on the INA128 chip. To eliminate interference from low-frequency excitation signals and power frequency noise, a second-order active high-pass filter circuit, and a post-amplification circuit based on the OP37 operational amplifier were employed.
Figure 1.
Schematic diagram of MBN testing instrument.
The MBN measurement was performed on the polished specimens of 15 mm × 15 mm × 1 mm with a driving sinusoidal signal, of which the amplitude was 7 V and the frequency was 6 Hz. It should be noted that the average value and standard deviation were determined by 20 measurements for each specimen.
3. Results and Discussion
3.1. Variation of Hardness and MBN Characteristics
The MBN signals are measured and the root-mean-square (RMS) and peak-to-peak (Vpp) values are extracted as the characteristic parameters [25,26]. The RMS represents the effective value of the MBN signal, which can provide an insight into the energy information and is calculated as Equation (1) [25], while Vpp represents the difference between the maximum and minimum values of the signal envelope, which indicates the range of the signal amplitude change and is calculated as Equation (2) [26].
Subsequently, the variation of Vickers hardness and the corresponding MBN characteristic parameters of RMS and Vpp values during the thermal aging process of the Fe-Cu alloy is presented in Figure 2. It can be observed that the hardness and characteristic parameters of the MBN signal change significantly with the aging time of the material.
Figure 2.
Variation of Vickers hardness and the corresponding MBN characteristic parameters (a) RMS and (b) Vpp values of thermally aged Fe-Cu alloy for various times.
The hardness rapidly increases with the increase of aging time, followed by a brief plateau and a decreasing trend. This overall trend is consistent with the results reported by Li et al. [27] and Scott et al. [18], who conducted Vickers hardness tests on Fe-0.97 wt.%Cu and Fe-1.0 wt.%Cu materials after various thermal aging times at 500 °C. The results show that the alloy undergoes rapid hardening at the early stage, which is defined as the under-aged process hereafter, while a softening effect occurs during the over-aged process, with the critical transition occurring at an aging time of 10 h. The appearance time of the maximum hardness is closer to the results of Li et al. [27], while Scott et al. [18] reported the maximum hardness after 30 h of thermal aging. At this juncture, a notable elevation in hardness is observed, amounting to more than 25%.
However, the variation rules of RMS and Vpp values are basically the same, showing a rapid decrease along with prolonged thermal aging time at the under-aged stage, followed by a brief plateau and a slightly increasing trend at the over-aged condition. Furthermore, compared with the Vpp, the standard deviation of RMS is obviously smaller, indicating a better numerical stability. The trends in hardness and MBN signals, as well as the critical transition at 10 h, exhibited high consistency, suggesting a robust correlation between the underlying causes of these two observed changes.
The hardness of the material is essentially determined by the connection between its constituent atoms, which causes difficulty in the movement of atoms. Similarly, the magnetic domains, composed of a multitude of atoms, exhibit varying degrees of difficulty in undergoing rotations and domain wall displacements. This, in turn, affects the generation and amplitude of the MBN signal. In general, the increasing hardness is accompanied by the decrease of amplitude of the MBN signal. Nevertheless, the establishment of non-destructive testing methods is inextricably linked to the precise and quantitative relationship between the variables in question. The quantitative description of the degree of age-hardening of RPV model alloys by the MBN signal remains challenging.
To quantify the variation trend, the RMS and Vpp of MBN signals as a function of Vickers Hardness for the Fe-Cu alloy is presented in Figure 3. A correlation was identified between hardness and MBN characteristic parameters throughout the thermal aging process. Both RMS and VPP were found to be linearly related to hardness, exhibiting an inverse relationship with a negative scale factor. The goodness of fit (R2) was determined to be 0.92 and 0.89, respectively, indicating a high level of correlation for the development of NDT techniques. Moreover, the data are further analyzed by labeling the under-aged and over-aged state, revealing that the linear fit for the Vickers hardness and MBN characteristics is applicable in both stages. Theoretically, the underlying cause of the high correlation between magnetic parameters and mechanical properties can be attributed to the precipitation and growth behavior of clusters during thermal aging. Previous studies have shown that the presence of the clusters will introduce considerable changes in the spinning effect on the magnetic domain walls and dislocation movement, respectively [27,28]. In order to clarify this point, the clusters nucleation and growth behaviors were further investigated using APT technique.
Figure 3.
The variation of (a) RMS and (b) Vpp of MBN signals as a function of Vickers Hardness for thermally aged Fe-Cu alloy (the red lines represent the fitted trend lines).
3.2. Evolution of Cu-Enriched Clusters
The application of the APT technique enabled the mapping of the elemental distribution within the material. APT operates by calculating the ratio between an ion’s mass and its charge, known as the mass-to-charge ratio (Da). This is derived from the time-of-flight mass spectra of the evaporated ions, which is employed to identify the elemental composition of a sample with considerable precision. First, the calibration of the obtained mass spectra is carried out in comparison with the standard peaks of each element in the database. Figure 4 shows the typical mass spectrum and the corresponding global elemental distribution mapping of the Fe-Cu alloy. The results demonstrated the absence of any impurity elements other than elemental iron and copper, in alignment with expectations. The elements H and Ga, however, are not present in the material itself and therefore not discussed in this paper.
Figure 4.
The obtained APT results of (a) the typical mass spectrometry and (b) the global elemental distribution mapping of Fe-Cu alloy.
Figure 5 shows the typical distribution of Cu atoms in the Fe-Cu alloy in the virgin state and after various thermal aging time for 1, 4, 10, 20, and 100 h, which correspond to different stages of hardness evolution: the initial increase, peak hardness, and subsequent decrease, respectively. As can be seen from the mapping, the Cu atoms are distributed homogeneously initially. After thermal aging, a number of uniformly distributed small clusters (expressed as Cu-enriched clusters, hereafter) have been found in the matrix. Subsequently, the evolution of Cu-enriched clusters characteristics is obtained by a statistical analysis of the APT data in order to further quantify the growth behavior of the clusters.
Figure 5.
Typical distribution of Cu atoms of Fe-Cu alloy after various aging times.
As the experiment is primarily designed to examine the precipitation characteristics of Cu-rich clusters during the aging process, it is necessary to exclude the Cu atoms that constitute the background in the matrix from statistical analysis. Instead, the remaining Cu-rich clusters are subsequently analyzed. The atomic clusters are quantitatively defined and analyzed using the Maximum Separation Envelope Method (MSEM) [29], which is widely used in APT data analysis. In the MSEM, the optimized values for the maximum separation between solute atoms (Dmax), the maximum separation of additional elements (L), and the erosion distance (E) were determined to be 0.4, while the value for the minimum size of a cluster (Nmin) was set at 45. Then, the radius of gyration (Rg) of atomic clusters can be calculated from the following equation [30]:
In the aforementioned Equation (3), the variables xi, yi, and zi represent the spatial coordinates of the solute atoms within a cluster in three dimensions. The variables x, y, and z represent the spatial coordinates of the center of mass, and n is the total number of solute atoms within the cluster. In this study, the clusters are spherical in shape and exhibit uniform feature size in three dimensions, thus the radius of the clusters is identical to the radius of gyration, which will henceforth be referred to simply as radius.
The number density of atomic clusters, Nv, is calculated using the following Equation (4) [31]:
where Np denotes the number of detected clusters in the analyzed volume, ζ represents the detection efficiency, and n denotes the total number of collected atoms. The volume of atoms, designated as Ω, was calculated by determining the volume occupied by the dominant atoms (i.e., iron atoms) within the collected sample.
The variation trend of the mean radius and number density of the clusters along with thermal aging time is presented in Table 1. It can be observed that the mean radius of Cu-enriched clusters increases in direct proportion to the aging time. However, the number density of the clusters exhibits a rapid increase during the initial stage of aging, followed by a brief plateau and subsequent decline.
Table 1.
The statistical results of the mean radius and number density for the Cu-enriched clusters during thermal aging process.
It should be noted that the observed radius and number density of Cu-enriched clusters in the present study reached 3 nm and 1023 m−3, respectively. These values are comparable to those reported in previous investigations of the actual RPV steel material after prolonged exposure to high-temperature neutron irradiation [32]. In such studies, the neutron fluence (E > 1 MeV) reaches 1024 n·m−2 and size, as well as the number density of the clusters exhibited the same order of magnitude.
3.3. Correlation between MBN Signals and Clustering Behaviors
The evolution of clustering characteristics and the corresponding Vickers hardness of Fe-Cu alloy during thermal aging is shown in Figure 6. The Cu-enriched clusters act as pinning points for the dislocations within the material, thereby affecting its mechanical properties [18,27,28]. As the predominate determining factor in hardness, the number density of Cu-enriched clusters increase rapidly in the under-aged stage, which result in an increasing deformation resistance and corresponding enhanced hardness macroscopically. However, multiple Cu-enriched clusters aggregate in the over-aged state, leading to a reduced pinning effect and gradually decreasing trend of hardness.
Figure 6.
Evolution of clustering characteristics and the corresponding Vickers hardness of Fe-Cu alloy during thermal aging.
In general, the interaction between Cu-rich phases and dislocations is consistent with the observed evolution trend of clustering characteristics and the corresponding Vickers hardness after thermal aging for various times. At the virgin state, the matrix contains certain defects that possess a certain amount of stored energy. These defects serve to create a high-energy zone for nucleation of the Cu clustering and act as a diffusion channel for Cu atoms during the aging process. Initially, the movement of dislocations within the steel matrix will be constrained following the formation of Cu-enriched clusters. This will force dislocations to either cut or bypass the diffuse distribution of the Cu-rich phase, resulting in a notable increase in the strength, as well as the hardness [14,19]. Subsequently, the clusters undergo growth and coarsening in the over-aged state, with a critical radius at the range of 1.5–3 nm and the number density of approximately 3 to 4 (×1023 m−3). The gradual integration of the Cu-enriched clusters results in an expansion of the inter-cluster distance. Dislocations bowing can occur within the clusters, which subsequently results in a weakening of the strengthening effect [33,34]. This, in turn, results in a decline in hardness.
The clusters play an integral role in the inhibition of grain boundary migration. As the size of the cluster increases, the capacity to bind and impede grain boundary migration intensifies. This phenomenon may result in the transformation of the structure of the clusters, which potentially undergoes a transition from BCC to FCC or HCP. However, clusters with a size of less than 3 nm underwent a degree of structural recovery following the interaction, while clusters larger than 3 nm in size might retain the transformed structure [33]. The reported result demonstrates a high degree of correlation with the observed critical transition.
In addition, it has been demonstrated that the strengthening effect is also influenced by the structural alterations of the Cu-enriched clusters. At the early stage of thermal aging, a minor bcc spherical Cu-enriched cluster is formed, which exhibits an optimal co-lattice alignment with the α-Fe matrix. As the aging time increases, the co-lattice strain energy between the Cu-enriched clusters and the matrix gradually increases, and the strengthening effect gradually intensifies [35]. This process continues until the peak value of Vickers hardness is reached, at which point the average radius of the Cu-enriched clusters is in the range of 1.5 to 3 nm. At this point, the co-grid strain energy between the Cu-rich phase and the matrix reaches its maximum value. This is followed by the transformation of the bcc structure into the complex hexagonal 9R structure [36]. The 9R structure is characterized by a high degree of packing, a relatively small co-grid strain energy, and a relatively large interfacial energy. Then the subsequent reduction in interfacial energy is accompanied by a coarsening of the cluster and a concurrent decrease in the precipitation-strengthening effect, as evidenced by previous studies [37,38].
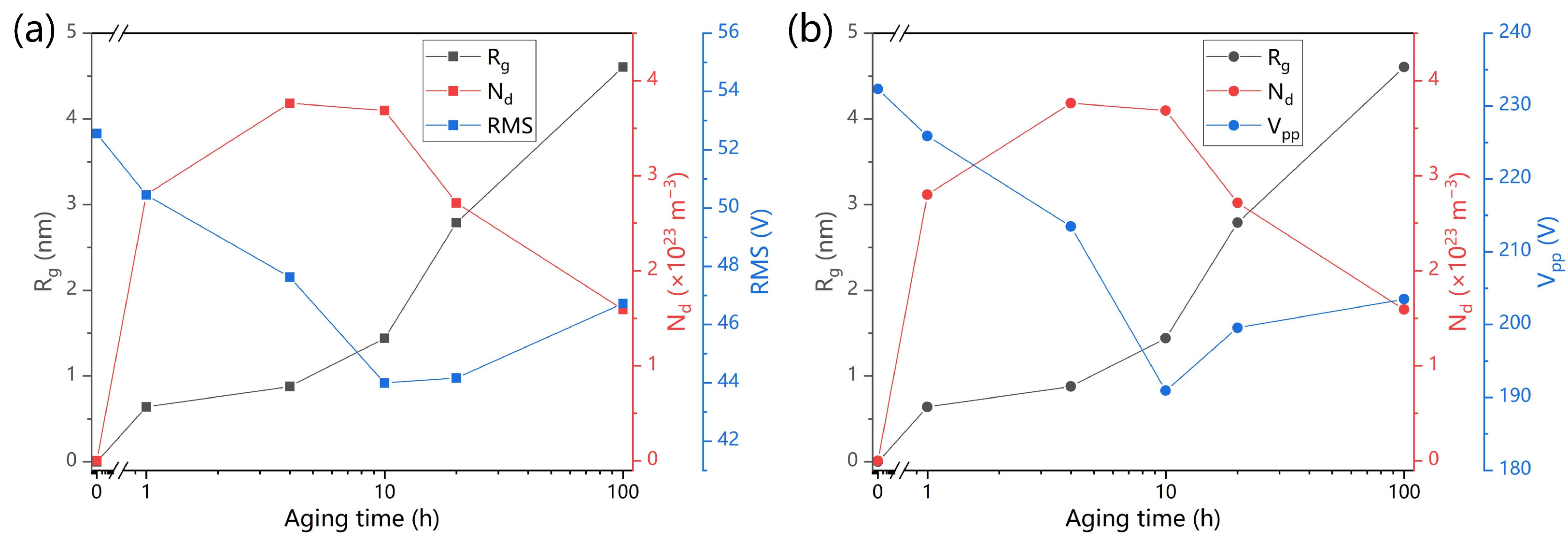
By comparing the evolution trends of RMS and Vpp values with respect to the characteristics of Cu-enriched clusters in Figure 7, the number density of the clusters has an opposite trend to the MBN signal and plays a dominant role in its variation process. It can be explained by the hindering effect of clusters on the movement of magnetic domain wall.
Figure 7.
Variation of clustering characteristics and the corresponding MBN parameters (a) RMS and (b) Vpp values of thermally aged Fe-Cu alloy for various times.
It is postulated that the MBN signals are generated by the flipping of the internal magnetic domains and the irreversible displacement of the magnetic domain walls in ferromagnetic materials under the action of an applied magnetic field [39,40,41]. This implies that the observed variation in MBN characteristics is predominantly influenced by the factors that lead to changes in the magnetic domains and domain walls, such as alterations in the micro-stress, dislocation, and clusters. In the present study, the residual stress in the material is eliminated by the whole process of grinding, polishing, and thermal aging. Furthermore, it is reasonable to conclude that the effect of dislocations can be disregarded, given that the dislocation density is low and no new dislocations are introduced during the thermal aging process. As a result, the changes in the MBN characteristics are mainly cluster-induced.
Specifically, the MBN signals depend on the number and mean free range of magnetic domain walls that have moved over a specific period of time [27,41,42]. As pinning points, the presence of Cu-enriched clusters impedes the movement of the magnetic domain wall. The increased number density of the clusters reduces the number of moving domain walls, while its mean free range is limited by the decreased average spacing between the clusters. The combined effects lead to a reduction in the MBN signal intensity. Furthermore, the increasing size of Cu-enriched clusters also have a negative impact on the MBN signals, with larger-sized clusters exerting a more pronounced hindering effect on the magnetic domain walls, which subsequently results in the reduction of MBN signals intensity.
In the under-aged stage, the number of Cu clusters increases rapidly, and the influence of high-density Cu-enriched clusters has a significant impact on the movement of magnetic domain walls, resulting in a rapid decrease in the MBN signal intensity. Conversely, as multiple clusters coalesce to create larger clusters in the over-aged stage, the number density is reduced and the number of affected magnetic domain walls gradually decreases, resulting in an increasing trend of MBN signal intensity.
The quantitative relationship between the cluster characteristics and the MBN signals variation during the thermal aging process of the material was investigated. The combined factor Nd2Rg of Cu-enriched clusters was calculated and its correlation relationship with the RMS and Vpp values was plotted of MBN in Figure 8, respectively.
Figure 8.
The variation of (a) RMS and (b) Vpp of MBN signals as a function of Cu-enriched clusters parameters Nd2Rg for thermally aged Fe-Cu alloy (the red lines represent the fitted trend lines).
The figure depicts the data as either under-aged (solid) or over-aged (hollow) state. The elemental distribution of Cu-enriched clusters corresponding to each data point is also provided, along with the APT results on the same scale. The overall trend of Nd2Rg as a function of thermal aging time appears to be consistent with that of Nd, exhibiting a gradual decline after an initial increase to a plateau. Moreover, it has been observed that the RMS decreases in direct proportion to an increase in Nd2Rg, accompanied by corresponding alterations in the spatial distribution of the clusters.
The linear fit was applied for both the RMS and Vpp values. As can be seen from the figure, the defining characteristics of the MBN are inversely proportional to Nd2Rg, with a notably limited data discretization. Furthermore, the R2 of RMS to Nd2Rg reaches 0.98, in contrast to the R2 of 0.89 observed between Vpp and Nd2Rg, indicating a slight discrepancy in the predictive efficacy of the two variables.
Therefore, the cluster-induced precipitation behavior and the corresponding hardening effect can be described by the MBN characteristics. The intrinsic influence of microstructures such as Cu-enriched clusters illustrated the established correlation between MBN signals and Vickers hardness. Furthermore, the inverse linear correlations between RMS/Vpp and the Vickers hardness value, as well as the Nd2Rg parameters, are given in Figure 3 and Figure 8, respectively. The well-fitted correlation suggests the potential application of the MBN signals as a significant magnetic indicator for the non-destructive testing of RPV during service.
4. Conclusions
The present study investigates the impact of Cu-enriched clusters on the mechanical and magnetic properties of Fe-0.9 wt.%Cu model alloys during thermal aging. The results demonstrate that the size of Cu-enriched clusters increases with prolonged thermal aging, while their number density first rises to a plateau before declining. These clusters predominantly influence the Magnetic Barkhausen Noise (MBN) signal.
The variations in mechanical properties, indicated by changes in Vickers hardness, and magnetic properties, reflected in MBN parameters, are attributed to the interactions between Cu-enriched clusters and dislocations as well as magnetic domain walls, respectively. A key finding is the inverse linear relationship between MBN signals and the combined factor Nd2Rg (product of the number density squared and the mean radius of Cu-enriched clusters), which aligns closely with the changes in Vickers hardness.
This established correlation suggests that MBN signals can be effectively used as a non-destructive method for monitoring RPV embrittlement. The findings underscore the potential of MBN as a significant magnetic indicator, facilitating the assessment of RPV steels during long-term operation.
Author Contributions
Conceptualization, W.J., C.X. and H.W.; methodology, W.J., W.Q., B.L. and H.W.; formal analysis, Q.Q., C.B., J.Y. and Y.L.; investigation, W.J., W.Q. and C.X.; visualization, Q.Q., C.B., B.L. and Y.L.; writing-original draft preparation, W.J., C.B., M.F. and H.W.; writing-review and editing, W.J., J.Y., M.F. and X.L.; project administration, X.L. All authors have read and agreed to the published version of the manuscript.
Funding
This research was funded by the Guangdong Major Project of Basic and Applied Basic Research (grant No. 2019B030302011), the National Key Research and Development Program of China (grant No. 2021YFA1600903, No.2023YFF0716204), the Guangdong Basic and Applied Basic Research Foundation (grant No. 2023B1515120082), the National Natural Science Foundation of China (grant No. U23B2072, 12275200, 12075274, 52101066).
Data Availability Statement
The original contributions presented in the study are included in the article, further inquiries can be directed to the corresponding authors.
Acknowledgments
The authors gratefully acknowledge the support of Wenqing Liu, Xue Liang and Xiaodong Lin for the atom probe tomography characterization and the sample preparation using FIB.
Conflicts of Interest
Authors Wenqing Jia, Qiwei Quan, Wangjie Qian, Chaoliang Xu, Jian Yin, Yuanfei Li, Minyu Fan, Xiangbing Liu were employed by the companies Suzhou Nuclear Power Research Institute, National Engineering Research Center for Nuclear Power Plant Safety and Reliability. The remaining authors declare that the research was conducted in the absence of any commercial or financial relationships that could be construed as a potential conflict of interest.
References
- Kolluri, M.; Martin, O.; Naziris, F.; D’Agata, E.; Gillemot, F.; Brumovsky, M.; Ulbricht, A.; Autio, J.M.; Shugailo, O.; Horvath, A. Structural MATerias research on parameters influencing the material properties of RPV steels for safe long-term operation of PWR NPPs. Nucl. Eng. Des. 2023, 406, 112236. [Google Scholar] [CrossRef]
- Gillemot, F. Review on Steel Enhancement for Nuclear RPVs. Metals 2021, 11, 2008. [Google Scholar] [CrossRef]
- Bohanon, B.; Wei, P.; Foster, A.; Bazar, L.; Zhang, Y.; Spearot, D.; Bachhav, M.; Capolungo, L.; Aitkaliyeva, A. A critical review of irradiation-induced changes in reactor pressure vessel steels. Prog. Nucl. Energy 2024, 174, 105276. [Google Scholar] [CrossRef]
- Gao, J.; Li, J.; Li, J.; Li, S.; Li, Z. Research progress on thermal aging of reactor pressure vessel steel. Mater. Sci. Technol. 2024. [Google Scholar] [CrossRef]
- Han, L.; Liu, Q.; Gu, J. High-resolution Transmission Electron Microscopy Characterization of the Structure of Cu Precipitate in a Thermal-aged Multicomponent Steel. Chin. J. Mech. Eng. 2019, 32, 81. [Google Scholar] [CrossRef]
- Emerson, J.N.; Marrero-Jackson, E.H.; Nemets, G.A.; Okuniewski, M.A.; Wharry, J.P. Nuclear reactor pressure vessel Welds: A critical and historical review of Microstructures, mechanical Properties, irradiation Effects, and future opportunities. Mater. Des. 2024, 113134. [Google Scholar] [CrossRef]
- Kamboj, A.; Almirall, N.; Yamamoto, T.; Tumey, S.; Marquis, E.A.; Odette, G.R. Dose and dose rate dependence of precipitation in a series of surveillance RPV steels under ion and neutron irradiation. J. Nucl. Mater. 2024, 588, 154772. [Google Scholar] [CrossRef]
- Cui, S. Modeling of Cu Precipitation in Fe–Cu and Fe–Cu–Mn Alloys Under Neutron and Electron Irradiation. Metall. Mater. Trans. A 2024, 55, 1849–1866. [Google Scholar] [CrossRef]
- Hyde, J.M.; Sha, G.; Marquis, E.A.; Morley, A.; Wilford, K.B.; Williams, T.J. A comparison of the structure of solute clusters formed during thermal ageing and irradiation. Ultramicroscopy 2011, 111, 664–671. [Google Scholar] [CrossRef]
- Styman, P.D.; Hyde, J.M.; Morley, A.; Wilford, K.; Riddle, N.; Smith, G.D.W. The effect of Ni on the microstructural evolution of high Cu reactor pressure vessel steel welds after thermal ageing for up to 100,000 h. Mater. Sci. Eng. A 2018, 736, 111–119. [Google Scholar] [CrossRef]
- Wang, D.; He, X.; Dou, Y.; Wu, S.; Jia, L.; Cao, H.; Yang, W. Effect of edge dislocation on solute-enriched clusters in reactor pressure vessel steel. Nucl. Instrum. Methods Phys. Res. Sect. B 2019, 451, 55–60. [Google Scholar] [CrossRef]
- Ahlawat, S.; Sarkar, S.K.; Sen, D.; Biswas, A. Revisiting Temporal Evolution of Cu-Rich Precipitates in Fe–Cu Alloy: Correlative Small Angle Neutron Scattering and Atom-Probe Tomography Studies. Microsc. Microanal. 2019, 25, 840–848. [Google Scholar] [CrossRef] [PubMed]
- Cui, S.; Mamivand, M.; Morgan, D. Simulation of Cu precipitation in Fe-Cu dilute alloys with cluster mobility. Mater. Des. 2020, 191, 108574. [Google Scholar] [CrossRef]
- Chen, D.; Murakami, K.; Chen, L.; Li, Z.; Sekimura, N. An investigation of nucleation sites for the formation of solute clusters in ferrite Fe. Nucl. Instrum. Methods Phys. Res. Sect. B 2020, 478, 182–186. [Google Scholar] [CrossRef]
- Kuleshova, E.; Fedotova, S.; Zhuchkov, G.; Erak, A.; Saltykov, M.; Dementyeva, M.; Alekseeva, E. Degradation of RPV steel structure after 45 years of operation in the VVER-440 reactor. J. Nucl. Mater. 2020, 540, 152362. [Google Scholar] [CrossRef]
- Shu, S.; Wells, P.B.; Almirall, N.; Odette, G.R.; Morgan, D.D. Thermodynamics and kinetics of core-shell versus appendage co-precipitation morphologies: An example in the Fe-Cu-Mn-Ni-Si system. Acta Mater. 2018, 157, 298–306. [Google Scholar] [CrossRef]
- Zhu, X.; Li, Y.; Wang, R.; Liu, W.; Liu, X. Irradiation and thermal effects on the mechanical properties and solute cluster evolution of Fe-Cu alloy. Nucl. Instrum. Methods Phys. Res. Sect. B 2022, 511, 118–122. [Google Scholar] [CrossRef]
- Scott, K.; Kim, J.-Y.; Wall, J.J.; Park, D.-G.; Jacobs, L.J. Investigation of Fe-1.0% Cu surrogate specimens with nonlinear ultrasound. NDT E Int. 2017, 89, 40–43. [Google Scholar] [CrossRef]
- Minghang, T.; Xinfu, H.; Yankun, D.; Dongjie, W.; Lixia, J. Cu Precipitate Induced Hardening in FeCu Model Alloy by Dislocation Dynamics. At. Energy Sci. Technol. 2021, 55, 1153–1162. [Google Scholar] [CrossRef]
- Vértesy, G.; Rabung, M.; Gasparics, A.; Uytdenhouwen, I.; Griffin, J.; Algernon, D.; Grönroos, S.; Rinta-Aho, J. Evaluation of the Embrittlement in Reactor Pressure-Vessel Steels Using a Hybrid Nondestructive Electromagnetic Testing and Evaluation Approach. Materials 2024, 17, 1106. [Google Scholar] [CrossRef]
- Vértesy, G.; Gasparics, A.; Uytdenhouwen, I.; Szenthe, I.; Gillemot, F.; Chaouadi, R. Nondestructive Investigation of Neutron Irradiation Generated Structural Changes of Reactor Steel Material by Magnetic Hysteresis Method. Metals 2020, 10, 642. [Google Scholar] [CrossRef]
- Rabung, M.; Kopp, M.; Gasparics, A.; Vértesy, G.; Szenthe, I.; Uytdenhouwen, I.; Szielasko, K. Micromagnetic Characterization of Operation-Induced Damage in Charpy Specimens of RPV Steels. Appl. Sci. 2021, 11, 2917. [Google Scholar] [CrossRef]
- Zhang, Y.; Hu, D.; Chen, J.; Yin, L. Research on non-destructive testing of stress in ferromagnetic components based on metal magnetic memory and the Barkhausen effect. NDT E Int. 2023, 138, 102881. [Google Scholar] [CrossRef]
- Omae, K.; Yamazaki, T.; Oka, C.; Sakurai, J.; Hata, S. Stress measurement based on magnetic Barkhausen noise for thin films. Microelectron. Eng. 2023, 279, 112057. [Google Scholar] [CrossRef]
- Ren, T.Y.; Chen, G.L.; Zhang, W.M.; Qiu, Z.C. Experimental Study on the Stress of Ferromagnetic Tensile Specimen Using Magnetic Barkhausen Noise Detection. Appl. Mech. Mater. 2014, 455, 442–447. [Google Scholar] [CrossRef]
- Santa-aho, S.; Honkanen, M.; Kaappa, S.; Azzari, L.; Saren, A.; Ullakko, K.; Laurson, L.; Vippola, M. Multi-instrumental approach to domain walls and their movement in ferromagnetic steels—Origin of Barkhausen noise studied by microscopy techniques. Mater. Des. 2023, 234, 112308. [Google Scholar] [CrossRef]
- Li, Y.; Li, Y.; Deng, S.; Xu, B.; Li, Q.; Shu, G.; Liu, W. Changes in the magnetic and mechanical properties of thermally aged Fe–Cu alloys due to nano-sized precipitates. J. Phys. D Appl. Phys. 2016, 49, 035006. [Google Scholar] [CrossRef]
- Park, D.G.; Kishore, M.B.; Lee, D.H.; Kim, J.Y.; Jacobs, L.J.; Vertesy, G.; Son, D. A study of microstructural analysis for nondestructive evaluation of thermal annealing using magnetic properties. NDT E Int. 2017, 89, 14–18. [Google Scholar] [CrossRef]
- Hyde, J.M.; Marquis, E.A.; Wilford, K.B.; Williams, T.J. A sensitivity analysis of the maximum separation method for the characterisation of solute clusters. Ultramicroscopy 2011, 111, 440–447. [Google Scholar] [CrossRef]
- Lawitzki, R.; Stender, P.; Schmitz, G. Compensating Local Magnifications in Atom Probe Tomography for Accurate Analysis of Nano-Sized Precipitates. Microsc. Microanal. 2021, 27, 499–510. [Google Scholar] [CrossRef]
- Yeli, G.; Auger, M.A.; Wilford, K.; Smith, G.D.; Bagot, P.A.; Moody, M.P. Sequential nucleation of phases in a 17-4PH steel: Microstructural characterisation and mechanical properties. Acta Mater. 2017, 125, 38–49. [Google Scholar] [CrossRef]
- Auger, P.; Pareige, P.; Welzel, S.; Van Duysen, J. Synthesis of atom probe experiments on irradiation-induced solute segregation in French ferritic pressure vessel steels. J. Nucl. Mater. 2000, 280, 331–344. [Google Scholar] [CrossRef]
- Yin, J.; Hou, H.; Wang, J.T.; Liu, X.; Xue, F. Atomistic simulation of [100](001) crack propagation with Cu precipitates in α-iron. Int. J. Press. Vessel. Pip. 2021, 194, 104519. [Google Scholar] [CrossRef]
- Yin, J.; Hou, H.; Wang, J.-T.; Liu, X.; Xu, C.; Li, Y.; Qian, W.; Jin, X.; Wu, H.; Jia, W. Atomistic Simulation of the Interaction between the Σ9[110](221) Shear-Coupled Grain Boundary Motion and the Cu-rich Precipitates in α-Iron. Metals 2024, 14, 252. [Google Scholar] [CrossRef]
- Othen, P.; Jenkins, M.; Smith, G. High-resolution electron microscopy studies of the structure of Cu precipitates in α-Fe. Philos. Mag. A 1994, 70, 1–24. [Google Scholar] [CrossRef]
- Zhu, J.; Zhang, T.; Yang, Y.; Liu, C. Phase field study of the copper precipitation in Fe-Cu alloy. Acta Mater. 2019, 166, 560–571. [Google Scholar] [CrossRef]
- Kapoor, M.; Isheim, D.; Ghosh, G.; Vaynman, S.; Fine, M.E.; Chung, Y.-W. Aging characteristics and mechanical properties of 1600 MPa body-centered cubic Cu and B2-NiAl precipitation-strengthened ferritic steel. Acta Mater. 2014, 73, 56–74. [Google Scholar] [CrossRef]
- Wen, Y.; Hirata, A.; Zhang, Z.; Fujita, T.; Liu, C.; Jiang, J.; Chen, M. Microstructure characterization of Cu-rich nanoprecipitates in a Fe–2.5 Cu–1.5 Mn–4.0 Ni–1.0 Al multicomponent ferritic alloy. Acta Mater. 2013, 61, 2133–2147. [Google Scholar] [CrossRef]
- Jiles, D.C.; Kiarie, W. An Integrated Model of Magnetic Hysteresis, the Magnetomechanical Effect, and the Barkhausen Effect. IEEE Trans. Magn. 2021, 57, 1–11. [Google Scholar] [CrossRef]
- Santa-aho, S.; Laitinen, A.; Sorsa, A.; Vippola, M. Barkhausen Noise Probes and Modelling: A Review. J. Nondestruct. Eval. 2019, 38, 94. [Google Scholar] [CrossRef]
- Qiu, F.; Klug, M.J.; Tian, G.; Hu, P.; McCord, J. Influence of magnetic domain wall orientation on Barkhausen noise and magneto-mechanical behavior in electrical steel. J. Phys. D Appl. Phys. 2019, 52, 265001. [Google Scholar] [CrossRef]
- Lo, C. Modeling the effects of nanosized precipitates on magnetic hysteresis and Barkhausen effect signal. J. Appl. Phys. 2012, 111, 07D109. [Google Scholar] [CrossRef]
Disclaimer/Publisher’s Note: The statements, opinions and data contained in all publications are solely those of the individual author(s) and contributor(s) and not of MDPI and/or the editor(s). MDPI and/or the editor(s) disclaim responsibility for any injury to people or property resulting from any ideas, methods, instructions or products referred to in the content. |
© 2024 by the authors. Licensee MDPI, Basel, Switzerland. This article is an open access article distributed under the terms and conditions of the Creative Commons Attribution (CC BY) license (https://creativecommons.org/licenses/by/4.0/).







