Abstract
Tungsten (W) and tungsten alloys are being considered as leading candidates for structural and functional materials in future fusion energy devices. The most attractive properties of tungsten for the design of magnetic and inertial fusion energy reactors are its high melting point, high thermal conductivity, low sputtering yield, and low long-term disposal radioactive footprint. Despite these relevant features, there is a lack of understanding of how the structural and mechanical properties of W-based alloys are affected by the temperature in fusion power plants. In this work, we present a study on the thermo-mechanical properties of five W-based plasma-facing materials. First-principles density functional theory (DFT) calculations are combined with the quasi-harmonic approximation (QHA) theory to investigate the electronic, structural, mechanical, and thermal properties of these W-based alloys as a function of temperature. The coefficient of thermal expansion, temperature-dependent elastic constants, and several elastic parameters, including bulk and Young’s modulus, are calculated. Our work advances the understanding of the structural and thermo-mechanical behavior of W-based materials, thus providing insights into the design and selection of candidate plasma-facing materials in fusion energy devices.
1. Introduction
Tungsten (W) is considered a leading candidate for structural plasma-facing materials (PFMs) in experimental fusion reactors given their high melting point, high thermal conductivity, low sputtering yield, and low long-term disposal radioactive footprint [1,2]. However, these attractive properties are unfortunately accompanied by a very low fracture toughness (mostly associated with inter-granular failure and bulk plasticity), low ductility at room temperature, and high ductile-to-brittle transition temperature (DBTT), which limit its applications [1,2,3,4,5].
To overcome such limitations, several families of W-based alloys have been explored in the past decades. High-entropy alloys (HEAs), originally conceived in the early 2000s as a blend of five or more elements with individual concentrations between 5 and 35 atom percent [6], have emerged as a promising class of materials given their remarkable properties [7,8,9,10]. In particular, tungsten-based HEAs (W-HEAs), designed to withstand the extreme environments of fusion energy applications [11,12], have shown superior mechanical properties at high temperatures, a superior melting point (above 2873 K), enhanced radiation resistance to heavy ion irradiation, and negligible radiation hardening when compared to pure tungsten [11,12,13,14,15,16]. Another potential alternative are the so-called tungsten-based “SMART alloys” (W-SAs), where SMART stands for Self-passivating Metal Alloys with Reduced Thermo-oxidation, which are capable of adjusting their properties to the environment [17,18,19,20,21]. For example, when exposed to the extreme temperatures achieved during a loss-of-coolant accident (LOCA) combined with air ingress, W-SAs containing small amounts of Ti or Y have shown the capability to create stable oxides that prevent the sublimation of W oxides.
A deep understanding of the response of these candidate PFMs to the extreme environments expected under fusion power plant conditions is a necessary step toward their consolidation as a viable option for this promising technology. Despite the numerous efforts in the literature to investigate the effects of alloying elements on various properties of W-based materials, such as phase stability [22,23,24,25,26], elastic properties [22,23,24,25,27,28,29], ideal tensile strength [25,30], ductility [31], radiation defects [11,23,32], neutron irradiation-induced precipitation [26,33,34,34], point defects [22,32,33,35,36,37,38], screw dislocation structures [39,40,41,42,43,44], grain boundaries [45], transmutation effects [46,47], etc., to the best of our knowledge, the challenge of understanding and predicting the temperature dependence of thermo-mechanical behavior of tungsten-based PFMs remains [48,49].
Given the difficulty and cost of performing experiments in such extreme environments, the use of computational modeling to provide insights and enrich the experimental knowledge of materials response has received much attention during the last several decades. Among the available techniques that allow for the prediction of mechanical properties across different temporal and spatial scales, the 2020 Roadmap of multiscale materials modeling [50] identifies density functional theory (DFT) as one of the most reliable methods for investigating the electronic structure of condensed matter systems [51]. While most DFT calculations focus on obtaining structural, mechanical, and vibrational properties of materials in their ground state, i.e., in the lowest-energy state at T = 0 K, previous experimental works have already reported changes in the elastic stiffness coefficients by over 20% as temperature increases [52,53,54,55,56]. Several first-principles approaches have also been formulated to account for the temperature dependence of the mechanical properties of materials. These include, for example, those combining DFT with Legendre transforms [57] or the quasiharmonic theory [29,58,59,60,61,62,63]. In this work, we integrate first-principles DFT calculations with the quasiharmonic approximation (QHA) to better understand the thermo-mechanical behavior of five W-based materials. In particular, we use direct information from our calculated phonon spectrum to investigate how the coefficient of thermal expansion (CTE) and elastic properties evolve with temperature.
This paper is organized as follows. After this introduction, we provide in Section 2 an overview of the computational methods employed. The results are given in Section 3, which includes (i) structural information about the random and minimum-energy configurations investigated; (ii) the phonon spectrum; and (iii) the evolution of the CTE, lattice parameter, and elastic properties with temperature. We finalize in Section 4 with a brief discussion and the conclusions in Section 5.
2. Computational Methods
The five W-based materials studied in this work are listed in Table 1. They include pure W, two W-based high-entropy alloys (W-HEAs), and two W-based smart alloys (W-SAs). A body-centered cubic (BCC) structure supercell containing 128 atoms was constructed for all materials, and the number of atoms was chosen to match the desired chemical composition.
Table 1.
Chemical composition of the five W-based alloys investigated in this work. The chemical composition of the two W-SAs was adjusted with respect to their reference value, given the number of atoms present in our bulk structures.
2.1. Generation of Random and Minimum-Energy Configurations
Two types of atomistic configurations were investigated in this work: random solid solutions and minimum energy configurations (MECs).
Random solid solutions of the four W-based alloys listed in Table 1 are realized by generating special quasi-random structures (SQSs) [65] through the Alloy Theoretic Automated Toolkit (ATAT) [66,67]. The convergence criteria for selecting the final SQS structure were based on the Warren–Cowley short-range order (SRO) [68], defined as
where is the possibility to find an atom i in the kth nearest-neighbor shell of atom j, and is the composition of atom i in the structure. As SQSs are generated, their SRO parameters are calculated. Once a specific SQS structure’s SRO = 0, no further SQS structures of that material system are created.
To find the ground-state configurations of W-based alloys at 0 K, an approach that couples DFT calculations with Monte Carlo simulations (denoted as MC-DFT hereinafter) was employed [69,70,71,72,73,74,75]. In essence, this MC-DFT method samples the phase space to find MECs by randomly swapping the chemical elements between atom locations. The probability of accepting or rejecting a swapped configuration depends on its energy and the Monte Carlo temperature. In this work, the SQS structures described above are considered as the starting points of the MC-DFT simulations. The MC temperature was set to 100 K, and the MC-DFT simulations were run for a total of 1000 steps. The reader is referred to the work by Qian et al. [75] for more details about the implementation and results of the MC-DFT approach in these W-based alloys. After obtaining the lowest-energy configuration from the MC-DFT simulations, the lattice parameter and internal atomic coordinates were further relaxed using VASP. The resulting configurations are considered as the ground-state structure of the W-based alloys at 0 K.
All DFT calculations were performed using the Vienna Ab initio Simulation Package (VASP) [76]. For the pseudopotential, the exchange–correlation functional with the Perdew, Burke, and Ernzerhof (PBE) [77] form under the generalized gradient approximation (GGA) [78] was chosen. The cutoff energy of the plane wave basis set was set to 300 eV. The Brillouin zone integration was performed on a 3 × 3 × 3 Monkhorst-Pack k-point mesh [79]. The conjugate gradient algorithm was used to relax the lattice structure, where the energy stopping criteria for the self-consistent electronic loop and ionic relaxation were set to 0.1 and 1 meV, respectively.
2.2. Quasiharmonic Approximation
To consider the temperature dependence of the lattice energy and structure, the QHA [80,81] is adopted. The QHA has been successfully employed in previous studies investigating temperature ranges below the melting point, where phonon–phonon interactions are weak. Let us denote the configuration of a general lattice by its primitive basis vectors . By minimizing the Helmholtz free energy with respect to the basis vectors , the equilibrium configuration of the lattice at a specific temperature T can be obtained. In the QHA theory, the Helmholtz free energy is expressed as the sum of lattice internal energy , phonon vibrational energy , and thermal electronic energy ,
The vibrational energy of the lattice represents the contribution of thermal energy from phonons, which can be expressed as a summation of the phonon mode-dependent energy throughout the Brillouin zone [80,81,82],
where is the frequency of the phonon branch indexed by a number j at wavevector , ℏ is the Planck constant, and is the weight of wavevector in the summation.
The thermal electronic energy represents free energy contribution from electrons, in which the Fermi–Dirac distribution of an electron energy is considered as temperature-dependent. Based on the assumption that the electron density of states (DOS) is temperature-independent, the free energy of electronic excitation is given by the entropy and electron energy as [83,84],
where the DOS at ground state is used at all temperatures, and is the Fermi energy.
By inserting Equations (3) and (4) into Equation (2), the Helmholtz free energy is obtained as a function of basis vectors and temperature T. The lattice anharmonicity brought by temperature is considered through the lattice structural dependence of phonon frequencies and electron band structure . Then, the equilibrium lattice configuration at any temperature T is obtained from by finding the one with the lowest free energy.
For simple bcc lattice structures as in this work, the only variable in the lattice basis vectors is the lattice parameter a. To find the lattice parameter at , we applied strains ranging from −0.5% to 0.5% with an increment of 0.1% to the ground-state lattice configuration. Then, the phonon dispersion and electron DOS of these strained lattices were calculated, providing inputs to calculate the Helmholtz free energy using Equations (2)–(4).
All phonon calculations were carried out using the finite difference method implemented in VASP [85]. A single k-point was used, which is sufficient for providing accurate energy and force values for a large system with 128 atoms in this work. Central difference displacements of ±0.015 Å were applied to each atom and the second-order force constants were calculated using the resulting forces and energy. The dynamical matrix was constructed using the obtained second-order force constants. Then, the phonon dispersion was obtained by Fourier interpolation of the dynamical matrix onto different q-points in the Brillouin zone. For electron calculations, the Methfessel–Paxton scheme [79] was used to determine the partial occupancies of electron orbitals, and the width of smearing was set at 0.05 eV.
2.3. Elastic Properties
The elastic constants were obtained by evaluating the change in the total energy per unit volume of a system subjected to a general deformation, i.e.,
where V is the volume of the crystalline cell, is a tensor comprising the elastic constants, and are the engineering strain vectors. Since constitutes the entire set of elastic constants, other elastic properties of interest for single crystals, such as the bulk modulus and the tetragonal shear elastic constant, will be extracted from these energy calculations. Additionally, mechanical properties of isotropic polycrystalline materials, including the shear modulus, Young’s modulus, and Poisson’s ratio, were also determined by using the Hill average [86] and the Voigt and Reuss bounds. The reader is referred to our previous works [46,47] for more details on how we extracted elastic properties from the energies calculated via DFT simulations.
3. Results
In this section, we present the results of the first-principles calculations that investigate the structure and the thermo-mechanical response of the five W-based materials listed in Table 1.
3.1. Structural Characteristics of the Lattice Configurations
Figure 1 shows, for each of the four W-based alloys, (i) the atomistic arrangement of the random SQS structures and (ii) the MECs that are obtained after relaxing the lowest-energy configuration found during the MC-DFT simulations (denoted as MC-DFT configurations hereinafter). In Table 2, we list the lattice parameters of three sets of configurations: SQS, MC-DFT, and MEC. The change in lattice parameters between these atomistic arrangements is very small, generally less than 0.1 Å. Moreover, a comparison between the MC-DFT and MEC atom coordinates shows that the atom displacement between these structures is less than 0.2 Å per atom for all four materials. Furthermore, for the MECs, we calculated the trace of their internal stress tensor, which can be seen as hydrostatic pressure experienced by the cell. Given the magnitude of the pressures observed in the MECs for all W-based alloys, we conclude that the MECs are the ground-state configurations at 0 K.
Figure 1.
ME (top row) and SQS (bottom row) lattice configurations of (a) HEA1, (b) HEA2, (c) SA1, and (d) SA2. All cells have 4 × 4 × 4 size and contain 128 atoms.
Table 2.
Structural parameters of SQS, MC-DFT, and MEC configurations. The first three rows are the lattice parameters of cells. is the average difference between atomic coordinates obtained from MECs and MC-DFT calculations. P is the hydrostatic pressure of the cell.
3.2. Phonons
Phonon calculations were performed on the MECs for all four W-based alloys. The converged phonon dispersion and DOS are shown in Figure 2. For HEA1 and HEA2, only very few phonons near the point exhibit negative frequencies in the acoustic branches. For SA1 and SA2, negative frequency phonons in the three acoustic branches appear near P, N, and . Most of the phonons in the Brillouin zone have positive frequencies. And, those imaginary frequency phonons, while present, have a DOS of phonons all around zero, suggesting their reduced impact on the free energy and thermal properties.
Figure 2.
Phonon dispersion and DOS of (a) HEA1, (b) HEA2, (c) SA1, (d) SA2, and (e) pure W. The high symmetry points follow the notations in the Brillouin zone of a BCC lattice.
A further analysis of the phonon DOS shows that the maximum phonon frequency of HEAs is lower than 300 cm−1, whereas that of SAs is higher than 300 cm−1. This might suggest that SAs have larger elastic constants and higher stiffness than HEAs. Furthermore, comparing the phonon DOS of alloys with that of pure W shown in Figure 2, an upward shift of the DOS peaks as well as the entire spectrum is observed. The phonon DOS of W exhibits two peaks, a feature that is preserved in the DOS of HEA1, HEA2, and SA1. Only in SA2 does the second peak at around 270 cm−1 disappear. Consequently, these differences in the phonon spectrum will affect thermal properties since they are decisive in determining the Helmholtz free energy, as described in Equation (3).
3.3. Thermo-Mechanical Behavior
In this section, we investigate the temperature dependence of the structural and mechanical properties of the five W-based materials listed in Table 1 using the QHA, with inputs from the phonon spectrum and electronic band structure.
As a preliminary step in our calculations, the CTE of pure tungsten was obtained and compared with previous experimental works in the literature. DFT calculations were performed with the PBE + GGA functional as they have already been applied to calculate the energy, structural, and thermal properties of W [87,88,89]. The results, shown in Figure 3a, reveal a good agreement between our work and the experimental measurements.
With the confidence conferred by the benchmarking exercise of pure tungsten, next, we proceed to calculate the CTE of the four W-based alloys. Figure 3b shows such calculations for both the SQS and MEC configurations of all the alloys. The figures reveal several interesting trends that are consistent with previous works in the field. Firstly, the CTE increases rapidly with temperature up to room temperature. Secondly, the CTE of all W-based alloys is higher than its counterpart for pure W over the entire temperature domain. There are also significant differences between the two families of W-based alloys considered here: HEAs have a larger CTE than SAs, and the disparity between the two HEAs is larger than the one observer between the two SAs, whose behavior is almost identical. Lastly, the CTE of the SQS and MEC of each alloy follows similar trends for all four alloys.
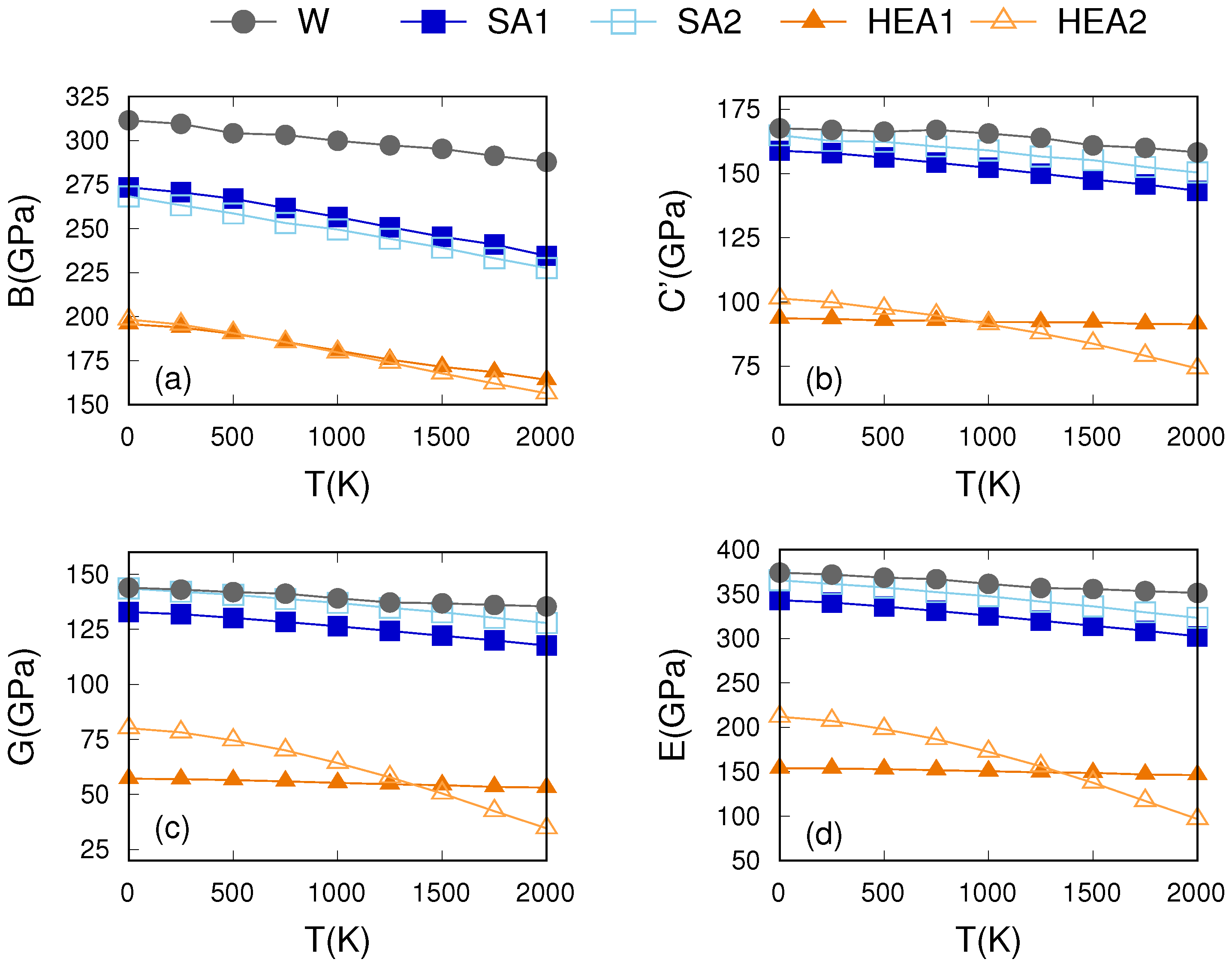
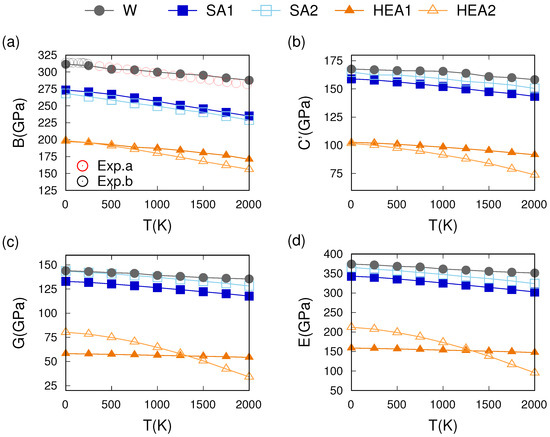
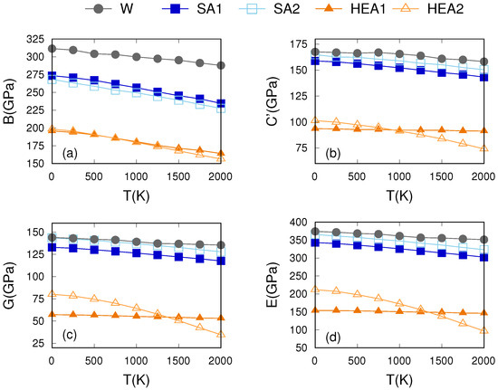
Figure 4 and Figure 5 show the temperature dependence of the equilibrium lattice constant, single-crystal elastic constants, and polycrystalline elastic properties for the five W-based materials. While it was not possible to find experimental nor computational works in the literature comparing the temperature dependence for the exact W-based alloys studied in this work, the observed linear behavior of pure W matches well with previous experimental studies [90,91]. In advance of discussing these results and their implications in detail in the following section, we note the following features from the figures: (i) the lattice constant is the only measurement increasing for all five W-based PFMs as temperature increases. , G, and E are relatively flat in HEA1. All other properties are seen to decrease with temperature for all five W-based PFMs. Such a decrease is monotonic for HEA1 and both SAs, while it is more pronounced for HEA2, particularly at higher temperatures; (ii) the lattice parameter and the elastic properties of W are higher than the four W-based alloys over the entire temperature domain. The elastic properties obtained for SAs, whose chemical compositions still have W as the primary element (>67 at.%), are in some cases closer to those from pure W, especially when compared with the four-component HEA1 and HEA2 equiatomic alloys; (iii) for all the alloys, the differences between the SQS and MEC are almost negligible at all temperatures. Only HEA2 exhibits slightly different elastic constants of the SQS and MECs. Therefore, only the thermo-mechanical properties of the MECs are presented in the rest of this section. The reader is referred to Appendix A for more details about the thermo-mechanical behavior of the SQS for all W-based alloys.
Figure 3.
(a) CTE of pure W. The results of ME configurations are compared with experimental data from the literature, Exp.a [92], Exp.b [93], and Exp.c [94]; (b) CTE of both SQS and ME configurations of the W-based alloys in comparison to those of pure W.
Figure 4.
Evolution of (a) the lattice parameter a and the elastic constants (b) , (c) , and (d) with temperature of W-based alloys and pure W. The figure includes the values for each material’s SQS and ME configurations.
Figure 5.
Evolution of (a) the bulk modulus B, (b) the tetragonal shear elastic constant , (c) the shear modulus G, and (d) the Young’s modulus E with temperature of W-based alloys and W. In Figure (a), our bulk modulus data are compared with those obtained from experiments (Exp.a [90] and Exp.b [91]).
Notice that the changes in these properties with temperature are less pronounced than the existing differences between the families of W-based alloys at T = 0 K. As such, we decided to further investigate the temperature effect in terms of the relative difference , defined as
where is the value of the property of interest X at T = 0 K and is the value of that same property at a specific temperature T.
Following this notation, Figure 6 and Figure 7 show the temperature dependence of the equilibrium lattice constant, single-crystal elastic constants, and polycrystalline elastic properties for the five W-based materials, expressed in terms of the relative difference . It can be seen from these results that the elastic properties of the W-based alloys are more sensitive to temperature than those of pure W. And, among all four alloys, HEA2 exhibits the largest decrease in elastic properties as temperature increases. In particular, in HEA2, B and are reduced by 20–25% and G and E are reduced by 50–60% over 2000 K. This indicates that the resistance to volume and shear deformation in HEA2, as well as the stiffness, are significantly weakened as temperature increases, whereas it is only moderately weakened for the other three alloys. For SA1 and SA2, all elastic parameters show a similar softening degree as temperature increases. At 2000 K, B, , G, and E are all reduced by around 1–0–15%. The smallest reduction in elastic properties among all four alloys occurs for HEA1, where properties drop in the range of 10–15% over 2000 K.
Figure 6.
Evolution of (a) the lattice constant and the elastic properties (b) , (c) , and (d) with temperature, in terms of their relative difference to their initial value.
Figure 7.
Evolution of (a) the bulk modulus B, (b) the tetragonal shear elastic constant , (c) the shear modulus G, and (d) the Young’s modulus E with temperature, in terms of their relative difference to their initial value.
Next, we analyze the impact of temperature on ductility, as it is known that ductility is one of the main limiting factors of W-based materials for their application in fusion energy devices. Despite the scalability limitations of ab initio methods in directly characterizing dislocation glide, grain boundaries, hardening, and other mesoscopic phenomena governing the plasticity of bcc metals, we investigated two indicators of ductility that are based on its relationship with material parameters that can be determined via DFT simulations: Pugh’s ratio [95], defined as the ratio between the bulk modulus B and the shear modulus G; and Poisson’s ratio , which is found to be proportional to the intrinsic ductility of crystals [96]. Our results of these two empirical metrics are shown in Figure 8. Both Pugh’s and Poisson’s ratios indicate that W is more brittle than the two HEAs and more ductile than the two SAs over the entire temperature domain. For its part, our calculated Poisson’s ratio at 0 K is 0.297, which compares well with previous DFT calculations and experimental measurements [49,52,90,97,98]. Furthermore, all materials expect from HEA2 present a slightly decreasing ductility with temperature. HEA2 is unique as both metrics increase with temperature, the rise being even more significant at temperatures above 1000 K.
Figure 8.
(a) Evolution of Pugh’s ratio and (b) Poisson’s ratio with temperature for pure W and the four W-based alloys.
4. Discussion
4.1. Effects of the Chemical Composition
The chemical composition of the W-based alloys plays a central role in determining their thermo-mechanical properties. Previous studies have already shown that variations in chemical compositions of HEAs could cause large differences in their elastic moduli [99,100]. As listed in Table 1, in the W-based alloys, W atoms are replaced by lighter elements (Cr, Ti, Y, Ta, and V). Such replacements lead to a reduction in the effective mass of the lattice, thus resulting in a hardening of the phonon spectrum of the alloys compared to pure W shown in Figure 2. The similarity of chemical compositions between two HEAs and SAs also determines that they have similar elastic constants and CTEs. However, it is worth noting that, despite the very similar chemical composition between HEA2 and HEA1, HEA2 exhibits a very different temperature dependence of elastic constants (Figure 6) and parameters B, C, G, and E (Figure 7). Such a distinct temperature dependence behavior of HEA2 is also seen in the ductility study in Figure 8. The unique temperature behavior of HEA2 is because the phonon spectrum of HEA2 is the lowest among the W-based alloys, shown in Figure 2. Indeed, HEA2 is the softest material and the most sensitive to temperature changes. Its elastic properties show the most significant change when the temperature increases. It can be inferred that the substitution of W by V elements introduces a significant change to the chemical bonds, potentially with the W-V bonds possessing different properties compared to W-Cr, Ti, Y, and Ta in the other W-based alloys. A deeper discussion of the chemical environment is beyond the scope of this work. Nevertheless, it is concluded that small variations in the chemical composition could potentially lead to large differences in the temperature-dependent thermo-mechanical properties of W-based alloys.
The temperature dependence of elastic constants and elastic moduli is critical for the high-temperature performance of HEAs. From Figure 6, the variation in and with temperature is similar for all four W-based alloys. This means that the resistance to axial compression and shear deformation is reduced by a similar extent as temperature increases. In fact, except for HEA2, the other three alloys exhibit small variations in the elastic constants with temperature, indicating good thermal stability and weak elastic softening behavior at high temperature [101]. This is also shown in Figure 7, where the decreases in B, , G, and E are all small from 0 K to 2000 K. Only HEA2 shows strong elastic softening behavior at high temperature, where the decrease in , is around 25% and G, E is around 60%. The large variation might be attributed to the bonds evolution accompanied by the bonds expansion [101], where the W-V and V-V bonds of HEA2 behave differently from bonds in the other three W-based alloys.
4.2. Phonon and Electron Contributions to the Thermo-Mechanical Behavior
In this section, we present our investigations about the impact of phonons and electrons on the thermo-mechanical behavior of the five W-based materials listed in Table 1.
As shown in Equation (3), the temperature dependence of Helmholtz free energy consists of phonon () and electron () terms. To quantify the individual contributions from and to the thermal properties, we calculated the CTE by only including in the Helmholtz free energy and comparing it with the CTE obtained when both and are included in the free energy. The results are plotted in Figure 9a, where it can be seen that are only slightly larger than at all temperatures, indicating that the CTEs are dominated by the phonon contributions.
Figure 9.
(a) CTE of W-based alloys and pure W with phonon and electron contributions and (b) percentage contribution of the phonons to CTE.
Quantification of the phonon contributions toward the CTEs can be obtained from , which are plotted in Figure 9b. For all the HEAs, at low temperatures, the phonons almost contribute 100% to the CTE, which indicates that electrons have negligible impact on the CTE. As the temperature increases, the electron contribution generally increases. Still, even at high temperatures, such as 2000 K, the phonon contributions are all higher than 85%. Given the importance of the CTE defining the lattice structure and, therefore, determining the thermo-mechanical response of materials, these results suggest that the phonons dominate the thermo-mechanical behavior of the five W-based materials investigated here.
4.3. Impact of Phonons on the Thermo-Mechanical Properties
The thermo-mechanical properties of the W-based alloys can be revealed by the phonon spectrum since the phonon free energy is an integration of phonon-energy-related terms over the Brillouin zone according to Equation (3). It has already been shown that mass and force constants are the key components dominating phonon behavior, thus influencing the thermodynamic and elastic properties of HEAs [102,103]. From Table 1, the mass of the W-based alloys is , , , and , respectively, compared to of pure W (all weights are in atomic units). In a dynamic system, the vibrational frequency , where k and m represent effective stiffness and mass, respectively. As shown in Figure 2, the highest phonon frequencies of all four W-based alloys are larger than that of W by around 100 cm−1. And, the phonon spectrum of the alloys have a decent portion above the highest energy level of the W phonon spectrum, which is slightly larger than 200 cm−1. Such a comparison between the phonon spectrum of the W-based alloy and W translates into Figure 4 and Figure 5, which shows that the elastic properties and effective stiffness k of all the alloys are smaller than those of W. With the effective mass m of all W-based alloys being smaller than pure W due to the replacement of lighter elements, the frequencies of optic phonons in alloys become larger than those of pure W. Indeed, given that the W-based alloys have a lower effective stiffness, all alloys experience a larger lattice thermal expansion than W as temperature increases. Thus, the CTE of the alloys is larger than that of W, which is shown in Figure 3b. Moreover, the phonon spectrum of two SAs reach a higher frequency range than those of the two HEAs. With the mass of W-SAs being larger than the W-HEAs, it can be inferred that the elastic properties of the SAs are larger than those of the HEAs, which is also confirmed by Figure 4 and Figure 5. And, the CTE of SAs is smaller than those of the HEAs, as can be seen from Figure 3b.
5. Conclusions
To summarize, we have integrated first-principles DFT calculations with the QHA to better understand the thermo-mechanical behavior of five W-based materials, including pure W, two HEAs, and two SAs. In particular, we used direct information from our calculated phonon spectrum to unravel how the CTE and elastic properties evolve with temperature.
Our first conclusion from these investigations is that the chemical composition of the candidate W-based alloys plays a central role in determining their phonon spectrum and, consequently, their thermo-mechanical properties. While the phonon spectra of the five W-based materials show good structural stability, with the majority of the phonons having positive frequencies, there are still significant differences between them. For example, the highest phonon frequencies of the four W-based alloys are larger than those of pure W, and a portion of their spectrum is above the highest energy level found in W. This translates into their thermo-mechanical response, where W-alloys present a higher CTE and lower elastic properties than W over the entire temperature range. A comparison of the phonon spectrum of the two families of W-alloys considered here shows that the two W-SAs have higher frequencies in their phonon spectrum when compared to the two W-HEAs. Such a difference in the phonon spectrum determines the Helmholtz energy landscape and, consequently, the temperature behavior. From the frequency–mass–effective stiffness relation, it is concluded that W-SAs have larger elastic constants and thus a smaller CTE than the W-HEAs.Furthermore, the elastic properties of HEA2 present the largest sensitivity to temperature among all the W-based materials investigated here, which is attributed to the lowest frequency value of its highest optic phonons.
Our results also suggest that the phonons dominate the thermo-mechanical behavior of the five W-based materials investigated here. In particular, we report that the individual contributions of the phonon term in the Helmholtz free energy are more significant than those of its counterpart from the electron term over the entire temperature range, and particularly at lower temperatures. This observation applies to the five W-based materials investigated here. Interestingly, HEA2, the W-based alloy whose behavior is the most sensitive to temperature change, presents the smallest ratio between the contributions of phonon and electron terms.
Our current and future efforts are directed toward studying the effect of each alloying element added to W, the presence of defects in these materials, and the suitability of other DFT-based approaches [104].
Author Contributions
Conceptualization, J.P. and D.C.; methodology, J.P. and D.C.; validation, J.P.; formal analysis, J.P.; investigation, J.P., Y.Q. and D.C.; resources, D.C.; data curation, J.P.; writing—original draft preparation, J.P. and D.C.; writing—review and editing, J.P., Y.Q. and D.C.; visualization, J.P. and D.C.; supervision, D.C.; funding acquisition, D.C. All authors have read and agreed to the published version of the manuscript.
Funding
This research was funded by the U.S. Department of Energy, Office of Science, Fusion Energy Sciences Program Early Career Research Program under Award Number DE-SC0023072.
Data Availability Statement
The data presented in this study are available on request from the corresponding author. The data are not publicly available at the moment because of further ongoing research.
Acknowledgments
All authors acknowledge support from the U.S. Department of Energy, Office of Science, Fusion Energy Sciences Program Early Career Research Program under Award Number DE-SC0023072. The authors acknowledge computer time allocations at Villanova’s Augie cluster. This work received funding from Villanova University’s Falvey Memorial Library Scholarship Open Access Reserve (SOAR) Fund. This work also used the Advanced Cyberinfrastructure Coordination Ecosystem: Services & Support (ACCESS) program, which is supported by National Science Foundation grants 2138259, 2138286, 2138307, 2137603, and 2138296. Specifically, the authors acknowledge support from allocation MAT200015.
Conflicts of Interest
The authors declare no conflicts of interest.
Appendix A. Thermo-Mechanical Response of SQS Configurations
In this section, we present our results about the thermo-mechanical response of the SQS configurations obtained, as described in Section 2 and Section 3. Those were omitted from the main manuscript given the similarities with their MEC counterparts, as shown in Figure 4. Still, we think there is value in showing those values here, as SQS could be a closer representation of the atomistic arrangement of atoms happening at higher temperatures, something of particular interest for fusion energy applications.
Figure A1.
Evolution of (a) the bulk modulus B, (b) the tetragonal shear elastic constant , (c) the shear modulus G, and (d) Young’s modulus E with temperature for the SQS structures of five W-based materials.
References
- Zinkle, S.J.; Ghoniem, N.M. Prospects for accelerated development of high performance structural materials. J. Nucl. Mater. 2011, 417, 2–8. [Google Scholar] [CrossRef]
- Rieth, M.; Dudarev, S.; Gonzalez de Vicente, S.; Aktaa, J.; Ahlgren, T.; Antusch, S.; Armstrong, D.; Balden, M.; Baluc, N.; Barthe, M.F.; et al. Recent progress in research on tungsten materials for nuclear fusion applications in Europe. J. Nucl. Mater. 2013, 432, 482–500. [Google Scholar] [CrossRef]
- Lassner, E.; Wolf-Dieter, S. Tungsten: Properties, Chemistry, Technology of the Element, Alloys, and Chemical Compounds; Springer: New York, NY, USA, 1999. [Google Scholar]
- Bolt, H.; Barabash, V.; Krauss, W.; Linke, J.; Neu, R.; Suzuki, S.; Yoshida, N.; Team, A.U. Materials for the plasma-facing components of fusion reactors. J. Nucl. Mater. 2004, 329, 66–73. [Google Scholar] [CrossRef]
- Giannattasio, A.; Roberts, S.G. Strain-rate dependence of the brittle-to-ductile transition temperature in tungsten. Philos. Mag. 2007, 87, 2589–2598. [Google Scholar] [CrossRef]
- Yeh, J.W.; Chen, S.K.; Lin, S.J.; Gan, J.Y.; Chin, T.S.; Shun, T.T.; Tsau, C.H.; Chang, S.Y. Nanostructured high-entropy alloys with multiple principal elements: Novel alloy design concepts and outcomes. Adv. Eng. Mater. 2004, 6, 299–303. [Google Scholar] [CrossRef]
- Tsai, M.H.; Yeh, J.W. High-entropy alloys: A critical review. Mater. Res. Lett. 2014, 2, 107–123. [Google Scholar] [CrossRef]
- Li, Z.; Pradeep, K.G.; Deng, Y.; Raabe, D.; Tasan, C.C. Metastable high-entropy dual-phase alloys overcome the strength–ductility trade-off. Nature 2016, 534, 227–230. [Google Scholar] [CrossRef]
- George, E.P.; Raabe, D.; Ritchie, R.O. High-entropy alloys. Nat. Rev. Mater. 2019, 4, 515–534. [Google Scholar] [CrossRef]
- Murty, B.S.; Yeh, J.W.; Ranganathan, S.; Bhattacharjee, P. High-Entropy Alloys; Elsevier: Amsterdam, The Netherlands, 2019. [Google Scholar]
- El-Atwani, O.; Li, N.; Li, M.; Devaraj, A.; Baldwin, J.; Schneider, M.M.; Sobieraj, D.; Wróbel, J.S.; Nguyen-Manh, D.; Maloy, S.A.; et al. Outstanding radiation resistance of tungsten-based high-entropy alloys. Sci. Adv. 2019, 5, eaav2002. [Google Scholar] [CrossRef]
- Waseem, O.A.; Ryu, H.J. Powder metallurgy processing of a WxTaTiVCr high-entropy alloy and its derivative alloys for fusion material applications. Sci. Rep. 2017, 7, 1926. [Google Scholar] [CrossRef]
- Zou, Y.; Ma, H.; Spolenak, R. Ultrastrong ductile and stable high-entropy alloys at small scales. Nat. Commun. 2015, 6, 7748. [Google Scholar] [CrossRef] [PubMed]
- Senkov, O.N.; Miracle, D.B.; Chaput, K.J.; Couzinie, J.P. Development and exploration of refractory high entropy alloys—A review. J. Mater. Res. 2018, 33, 3092–3128. [Google Scholar] [CrossRef]
- El-Atwani, O.; Alvarado, A.; Unal, K.; Fensin, S.; Hinks, J.; Greaves, G.; Baldwin, J.; Maloy, S.; Martinez, E. Helium implantation damage resistance in nanocrystalline W-Ta-V-Cr high entropy alloys. Mater. Today Energy 2021, 19, 100599. [Google Scholar] [CrossRef]
- Senkov, O.N.; Wilks, G.B.; Scott, J.M.; Miracle, D.B. Mechanical properties of Nb25Mo25Ta25W25 and V20Nb20Mo20Ta20W20 refractory high entropy alloys. Intermetallics 2011, 19, 698–706. [Google Scholar] [CrossRef]
- Litnovsky, A.; Klein, F.; Tan, X.; Ertmer, J.; Coenen, J.; Linsmeier, C.; Gonzalez-Julian, J.; Bram, M.; Povstugar, I.; Morgan, T.; et al. Advanced Self-Passivating Alloys for an Application under Extreme Conditions. Metals 2021, 11, 1255. [Google Scholar] [CrossRef]
- Sobieraj, D.; Wróbel, J.S.; Gilbert, M.R.; Litnovsky, A.; Klein, F.; Kurzydłowski, K.J.; Nguyen-Manh, D. Composition stability and Cr-rich phase formation in W-Cr-Y and W-Cr-Ti smart alloys. Metals 2021, 11, 743. [Google Scholar] [CrossRef]
- Litnovsky, A.; Wegener, T.; Klein, F.; Linsmeier, C.; Rasinski, M.; Kreter, A.; Unterberg, B.; Vogel, M.; Kraus, S.; Breuer, U.; et al. Smart alloys for a future fusion power plant: First studies under stationary plasma load and in accidental conditions. Nucl. Mater. Energy 2017, 12, 1363–1367. [Google Scholar] [CrossRef]
- Klein, F.; Gilbert, M.R.; Litnovsky, A.; Gonzalez-Julian, J.; Weckauf, S.; Wegener, T.; Schmitz, J.; Linsmeier, C.; Bram, M.; Coenen, J.W. Tungsten–chromium–yttrium alloys as first wall armor material: Yttrium concentration, oxygen content and transmutation elements. Fusion Eng. Des. 2020, 158, 111667. [Google Scholar] [CrossRef]
- Koch, F.; Bolt, H. Self passivating W-based alloys as plasma facing material for nuclear fusion. Phys. Scr. 2007, 2007, 100. [Google Scholar] [CrossRef]
- Muzyk, M.; Nguyen-Manh, D.; Kurzydłowski, K.J.; Baluc, N.L.; Dudarev, S.L. Phase stability, point defects, and elastic properties of W-V and W-Ta alloys. Phys. Rev. B 2011, 84, 104115. [Google Scholar] [CrossRef]
- Muzyk, M.; Nguyen-Manh, D.; Wróbel, J.; Kurzydłowski, K.; Baluc, N.; Dudarev, S. First-principles model for phase stability, radiation defects and elastic properties Of W–Ta and W–V alloys. J. Nucl. Mater. 2013, 442, S680–S683. [Google Scholar] [CrossRef]
- Wei, N.; Jia, T.; Zhang, X.; Liu, T.; Zeng, Z.; Yang, X. First-principles study of the phase stability and the mechanical properties of W-Ta and W-Re alloys. AIP Adv. 2014, 4, 057103. [Google Scholar] [CrossRef]
- Yang, C.; Qi, L. Ab initio calculations of ideal strength and lattice instability in W-Ta and W-Re alloys. Phys. Rev. B 2018, 97, 014107. [Google Scholar] [CrossRef]
- Huang, C.H.; Gharaee, L.; Zhao, Y.; Erhart, P.; Marian, J. Mechanism of nucleation and incipient growth of Re clusters in irradiated W-Re alloys from kinetic Monte Carlo simulations. Phys. Rev. B 2017, 96, 094108. [Google Scholar] [CrossRef]
- Jiang, D.; Ouyang, C.; Liu, S. Mechanical properties of W–Ti alloys from first-principles calculations. Fusion Eng. Des. 2016, 106, 34–39. [Google Scholar]
- Li, X.; Schönecker, S.; Li, R.; Li, X.; Wang, Y.; Zhao, J.; Johansson, B.; Vitos, L. Ab initio calculations of mechanical properties of bcc W–Re–Os random alloys: Effects of transmutation of W. J. Phys. Condens. Matter 2016, 28, 295501. [Google Scholar] [CrossRef]
- Hu, Y.J.; Shang, S.L.; Wang, Y.; Darling, K.A.; Butler, B.G.; Kecskes, L.J.; Liu, Z.K. Effects of alloying elements and temperature on the elastic properties of W-based alloys by first-principles calculations. J. Alloys Compd. 2016, 671, 267–275. [Google Scholar] [CrossRef]
- Giusepponi, S.; Celino, M. The ideal tensile strength of tungsten and tungsten alloys by first-principles calculations. J. Nucl. Mater. 2013, 435, 52–55. [Google Scholar] [CrossRef]
- Qian, J.; Wu, C.; Fan, J.; Gong, H. Effect of alloying elements on stacking fault energy and ductility of tungsten. J. Alloys Compd. 2018, 737, 372–376. [Google Scholar] [CrossRef]
- Nguyen-Manh, D.; Wróbel, J.S.; Klimenkov, M.; Lloyd, M.J.; Messina, L.; Dudarev, S.L. First-principles model for voids decorated by transmutation solutes: Short-range order effects and application to neutron irradiated tungsten. Phys. Rev. Mater. 2021, 5, 065401. [Google Scholar] [CrossRef]
- Suzudo, T.; Yamaguchi, M.; Hasegawa, A. Stability and mobility of rhenium and osmium in tungsten: First principles study. Model. Simul. Mater. Sci. Eng. 2014, 22, 075006. [Google Scholar] [CrossRef]
- Linke, J.; Du, J.; Loewenhoff, T.; Pintsuk, G.; Spilker, B.; Steudel, I.; Wirtz, M. Challenges for plasma-facing components in nuclear fusion. Matter Radiat. Extrem. 2019, 4. [Google Scholar] [CrossRef]
- Hossain, M.; Marian, J. Stress-dependent solute energetics in W–Re alloys from first-principles calculations. Acta Mater. 2014, 80, 107–117. [Google Scholar] [CrossRef]
- Gharaee, L.; Marian, J.; Erhart, P. The role of interstitial binding in radiation induced segregation in W-Re alloys. J. Appl. Phys. 2016, 120, 025901. [Google Scholar] [CrossRef]
- Giusepponi, S.; Celino, M. The effects of vacancies in the mechanical properties of tungsten: A first-principles study. Nucl. Instruments Methods Phys. Res. Sect. B Beam Interact. Mater. Atoms 2015, 342, 70–75. [Google Scholar] [CrossRef]
- Setyawan, W.; Nandipati, G.; Kurtz, R.J. Ab initio study of interstitial cluster interaction with Re, Os, and Ta in W. J. Nucl. Mater. 2017, 484, 30–41. [Google Scholar] [CrossRef]
- Romaner, L.; Ambrosch-Draxl, C.; Pippan, R. Effect of rhenium on the dislocation core structure in tungsten. Phys. Rev. Lett. 2010, 104, 195503. [Google Scholar] [CrossRef]
- Li, H.; Wurster, S.; Motz, C.; Romaner, L.; Ambrosch-Draxl, C.; Pippan, R. Dislocation-core symmetry and slip planes in tungsten alloys: Ab initio calculations and microcantilever bending experiments. Acta Mater. 2012, 60, 748–758. [Google Scholar] [CrossRef]
- Cereceda, D.; Stukowski, A.; Gilbert, M.; Queyreau, S.; Ventelon, L.; Marinica, M.; Perlado, J.; Marian, J. Assessment of interatomic potentials for atomistic analysis of static and dynamic properties of screw dislocations in W. J. Phys. Condens. Matter 2013, 25, 085702. [Google Scholar] [CrossRef]
- Stukowski, A.; Cereceda, D.; Swinburne, T.D.; Marian, J. Thermally-activated non-Schmid glide of screw dislocations in W using atomistically-informed kinetic Monte Carlo simulations. Int. J. Plast. 2015, 65, 108–130. [Google Scholar] [CrossRef]
- Cereceda, D.; Diehl, M.; Roters, F.; Shanthraj, P.; Raabe, D.; Perlado, J.M.; Marian, J. Linking atomistic, kinetic Monte Carlo and crystal plasticity simulations of single-crystal tungsten strength. GAMM-Mitteilungen 2015, 38, 213–227. [Google Scholar] [CrossRef]
- He, S.; Overly, E.; Bulatov, V.; Marian, J.; Cereceda, D. Coupling 2D atomistic information to 3D kink-pair enthalpy models of screw dislocations in bcc metals. Phys. Rev. Mater. 2019, 3, 103603. [Google Scholar] [CrossRef]
- Wu, X.; You, Y.W.; Kong, X.S.; Chen, J.L.; Luo, G.N.; Lu, G.H.; Liu, C.; Wang, Z. First-principles determination of grain boundary strengthening in tungsten: Dependence on grain boundary structure and metallic radius of solute. Acta Mater. 2016, 120, 315–326. [Google Scholar] [CrossRef]
- Qian, Y.; Gilbert, M.R.; Dezerald, L.; Cereceda, D. Using first-principles calculations to predict the mechanical properties of transmuting tungsten under first wall fusion power-plant conditions. J. Phys. Condens. Matter 2021, 33, 345901. [Google Scholar] [CrossRef] [PubMed]
- Qian, Y.; Gilbert, M.R.; Dezerald, L.; Nguyen-Manh, D.; Cereceda, D. Ab initio study of tungsten-based alloys under fusion power-plant conditions. J. Nucl. Mater. 2023, 581, 154422. [Google Scholar] [CrossRef]
- Vesti, A.; Music, D.; Olsson, P.A. First-principles study on thermal expansion of W-Re sigma and chi phases. Nucl. Mater. Energy 2024, 39, 101684. [Google Scholar] [CrossRef]
- Gong, X.; Dal Corso, A. Pressure and temperature dependent ab-initio quasi-harmonic thermoelastic properties of tungsten. J. Phys. Condens. Matter 2024, 36, 285702. [Google Scholar] [CrossRef]
- Van Der Giessen, E.; Schultz, P.A.; Bertin, N.; Bulatov, V.V.; Cai, W.; Csányi, G.; Foiles, S.M.; Geers, M.G.; González, C.; Hütter, M.; et al. Roadmap on multiscale materials modeling. Model. Simul. Mater. Sci. Eng. 2020, 28, 043001. [Google Scholar] [CrossRef]
- Dobson, J.F.; Vignale, G.; Das, M.P. Electronic Density Functional Theory: Recent Progress and New Directions; Springer Science & Business Media: Berlin/Heidelberg, Germany, 2013. [Google Scholar]
- Featherston, F.H.; Neighbours, J. Elastic constants of tantalum, tungsten, and molybdenum. Phys. Rev. 1963, 130, 1324. [Google Scholar] [CrossRef]
- Sutton, P.M. The variation of the elastic constants of crystalline aluminum with temperature between 63 K and 773 K. Phys. Rev. 1953, 91, 816. [Google Scholar] [CrossRef]
- Kamm, G.; Alers, G. Low-temperature elastic moduli of aluminum. J. Appl. Phys. 1964, 35, 327–330. [Google Scholar] [CrossRef]
- Walker, E.; Bujard, P. Anomalous temperature behaviour of the shear elastic constant C44 in tantalum. Solid State Commun. 1980, 34, 691–693. [Google Scholar] [CrossRef]
- Gerlich, D.; Fisher, E. The high temperature elastic moduli of aluminum. J. Phys. Chem. Solids 1969, 30, 1197–1205. [Google Scholar] [CrossRef]
- Eschrig, H. T> 0 ensemble-state density functional theory via Legendre transform. Phys. Rev. B—Condensed Matter Mater. Phys. 2010, 82, 205120. [Google Scholar] [CrossRef]
- Wang, Y.; Wang, J.; Zhang, H.; Manga, V.; Shang, S.; Chen, L.; Liu, Z. A first-principles approach to finite temperature elastic constants. J. Phys. Condens. Matter 2010, 22, 225404. [Google Scholar] [CrossRef]
- Pham, H.H.; Williams, M.E.; Mahaffey, P.; Radovic, M.; Arroyave, R.; Cagin, T. Finite-temperature elasticity of fcc Al: Atomistic simulations and ultrasonic measurements. Phys. Rev. B—Condensed Matter Mater. Phys. 2011, 84, 064101. [Google Scholar] [CrossRef]
- Shang, S.; Wang, W.; Wang, Y.; Du, Y.; Zhang, J.; Patel, A.; Liu, Z. Temperature-dependent ideal strength and stacking fault energy of fcc Ni: A first-principles study of shear deformation. J. Phys. Condens. Matter 2012, 24, 155402. [Google Scholar] [CrossRef]
- Shang, S.; Zacherl, C.; Fang, H.; Wang, Y.; Du, Y.; Liu, Z. Effects of alloying element and temperature on the stacking fault energies of dilute Ni-base superalloys. J. Phys. Condens. Matter 2012, 24, 505403. [Google Scholar] [CrossRef]
- Duong, T.C.; Singh, N.; Arróyave, R. First-principles calculations of finite-temperature elastic properties of Ti2AlX (X= C or N). Comput. Mater. Sci. 2013, 79, 296–302. [Google Scholar] [CrossRef]
- Shang, S.L.; Wang, Y.; Kim, D.; Liu, Z.K. First-principles thermodynamics from phonon and Debye model: Application to Ni and Ni3Al. Comput. Mater. Sci. 2010, 47, 1040–1048. [Google Scholar] [CrossRef]
- Sobieraj, D.; Wróbel, J.S.; Rygier, T.; Kurzydłowski, K.J.; El Atwani, O.; Devaraj, A.; Saez, E.M.; Nguyen-Manh, D. Chemical short-range order in derivative Cr–Ta–Ti–V–W high entropy alloys from the first-principles thermodynamic study. Phys. Chem. Chem. Phys. 2020, 22, 23929–23951. [Google Scholar] [CrossRef] [PubMed]
- Zunger, A.; Wei, S.H.; Ferreira, L.; Bernard, J.E. Special quasirandom structures. Phys. Rev. Lett. 1990, 65, 353. [Google Scholar] [CrossRef] [PubMed]
- van de Walle, A.; Asta, M.D.; Ceder, G. The Alloy Theoretic Automated Toolkit: A User Guide. Calphad 2002, 26, 539–553. [Google Scholar] [CrossRef]
- van de Walle, A. Multicomponent multisublattice alloys, nonconfigurational entropy and other additions to the Alloy Theoretic Automated Toolkit. Calphad 2009, 33, 266–278. [Google Scholar] [CrossRef]
- Methfessel, M.; Paxton, A. High-precision sampling for Brillouin-zone integration in metals. Phys. Rev. B 1989, 40, 3616. [Google Scholar] [CrossRef]
- Tamm, A.; Aabloo, A.; Klintenberg, M.; Stocks, M.; Caro, A. Atomic-scale properties of Ni-based FCC ternary, and quaternary alloys. Acta Mater. 2015, 99, 307–312. [Google Scholar] [CrossRef]
- Hastings, W.K. Monte Carlo sampling methods using Markov chains and their applications. Biometrika 1970. [Google Scholar] [CrossRef]
- Kang, S.; Tamm, A. Density functional study of atomic arrangements in CrMnFeCoNi high-entropy alloy and their impact on vacancy formation energy and segregation. Comput. Mater. Sci. 2023, 230, 112456. [Google Scholar] [CrossRef]
- Zhang, F.; Zhao, S.; Jin, K.; Xue, H.; Velisa, G.; Bei, H.; Huang, R.; Ko, J.; Pagan, D.; Neuefeind, J.; et al. Local structure and short-range order in a NiCoCr solid solution alloy. Phys. Rev. Lett. 2017, 118, 205501. [Google Scholar] [CrossRef]
- Zhang, R.; Zhao, S.; Ding, J.; Chong, Y.; Jia, T.; Ophus, C.; Asta, M.; Ritchie, R.O.; Minor, A.M. Short-range order and its impact on the CrCoNi medium-entropy alloy. Nature 2020, 581, 283–287. [Google Scholar] [CrossRef]
- Ding, J.; Yu, Q.; Asta, M.; Ritchie, R.O. Tunable stacking fault energies by tailoring local chemical order in CrCoNi medium-entropy alloys. Proc. Natl. Acad. Sci. USA 2018, 115, 8919–8924. [Google Scholar] [CrossRef] [PubMed]
- Qian, Y.; Gilbert, M.R.; Dezerald, L.; Nguyen-Manh, D.; Cereceda, D. First-principles study of the energetics and the local chemical ordering of tungsten-based alloys. arXiv 2024, arXiv:2410.03998. [Google Scholar]
- Kresse, G.; Hafner, J. Ab initio molecular dynamics for liquid metals. Phys. Rev. B 1993, 47, 558. [Google Scholar] [CrossRef]
- Perdew, J.P.; Burke, K.; Ernzerhof, M. Generalized gradient approximation made simple. Phys. Rev. Lett. 1996, 77, 3865. [Google Scholar] [CrossRef]
- Langreth, D.C.; Perdew, J.P. Theory of nonuniform electronic systems. I. Analysis of the gradient approximation and a generalization that works. Phys. Rev. B 1980, 21, 5469. [Google Scholar] [CrossRef]
- Monkhorst, H.J.; Pack, J.D. Special points for Brillouin-zone integrations. Phys. Rev. B 1976, 13, 5188. [Google Scholar] [CrossRef]
- Togo, A.; Chaput, L.; Tanaka, I.; Hug, G. First-principles phonon calculations of thermal expansion in Ti3SiC2, Ti3AlC2, and Ti3GeC2. Phys. Rev. B 2010, 81, 174301. [Google Scholar] [CrossRef]
- Mounet, N.; Marzari, N. First-principles determination of the structural, vibrational and thermodynamic properties of diamond, graphite, and derivatives. Phys. Rev. B 2005, 71, 205214. [Google Scholar] [CrossRef]
- Peng, J.; Najmaei, S.; Dubey, M.; Chung, P.W. Dominant ZA phonons and thermal carriers in HfS2. J. Appl. Phys. 2019, 126. [Google Scholar] [CrossRef]
- Wolverton, C.; Ozoliņš, V.; Zunger, A. First-principles theory of short-range order in size-mismatched metal alloys: Cu-Au, Cu-Ag, and Ni-Au. Phys. Rev. B 1998, 57, 4332. [Google Scholar] [CrossRef]
- Eriksson, O.; Wills, J.; Wallace, D. Electronic, quasiharmonic, and anharmonic entropies of transition metals. Phys. Rev. B 1992, 46, 5221. [Google Scholar] [CrossRef] [PubMed]
- Le Page, Y.; Saxe, P. Symmetry-general least-squares extraction of elastic data for strained materials from ab initio calculations of stress. Phys. Rev. B 2002, 65, 104104. [Google Scholar] [CrossRef]
- Hill, R. The elastic behaviour of a crystalline aggregate. Proc. Phys. Society. Sect. A 1952, 65, 349. [Google Scholar] [CrossRef]
- Ye, X.; He, Z.; Gao, F.; Pan, B. Electronic excitation induced non-thermal phase transition of tungsten. J. Alloys Compd. 2023, 952, 170087. [Google Scholar] [CrossRef]
- Boda, A.; Sk, M.A.; Shenoy, K.; Mohan, S. Diffusion, permeation and solubility of hydrogen, deuterium and tritium in crystalline tungsten: First principles DFT simulations. Int. J. Hydrogen Energy 2020, 45, 29095–29109. [Google Scholar] [CrossRef]
- Ye, X.; Pan, B. A First-principles analysis of Structural, Electronic, Elastic, and vacant properties of BCC, FCC and HCP tungsten at different electronic temperatures. Nucl. Mater. Energy 2023, 35, 101447. [Google Scholar] [CrossRef]
- Lowrie, R.; Gonas, A. Single-crystal elastic properties of tungsten from 24 to 1800 C. J. Appl. Phys. 1967, 38, 4505–4509. [Google Scholar] [CrossRef]
- Togo, A.; Chaput, L.; Tadano, T.; Tanaka, I. Implementation strategies in phonopy and phono3py. J. Phys. Condens. Matter 2023, 35, 353001. [Google Scholar] [CrossRef]
- Debernardi, A.; Alouani, M.; Dreyssé, H. Ab initio thermodynamics of metals: Al and W. Phys. Rev. B 2001, 63, 064305. [Google Scholar] [CrossRef]
- Dorogokupets, P.; Ponomarev, E.; Melekhova, E. Optimization of experimental data on the heat capacity, volume, and bulk moduli of minerals. Petrology C/C Petrologiia 1999, 7, 574–591. [Google Scholar]
- Novikova, S.I. Thermal Expansion of Solids; Izdatel Nauka: Moscow, Russia, 1974. [Google Scholar]
- Pugh, S. XCII. Relations between the elastic moduli and the plastic properties of polycrystalline pure metals. Lond. Edinb. Dublin Philos. Mag. J. Sci. 1954, 45, 823–843. [Google Scholar] [CrossRef]
- Greaves, G.N.; Greer, A.L.; Lakes, R.S.; Rouxel, T. Poisson’s ratio and modern materials. Nat. Mater. 2011, 10, 823–837. [Google Scholar] [CrossRef] [PubMed]
- Qi, X.; Cai, N.; Chen, T.; Wang, S.; Li, B. Experimental and theoretical studies on the elasticity of tungsten to 13 GPa. J. Appl. Phys. 2018, 124. [Google Scholar] [CrossRef]
- Koči, L.; Ma, Y.; Oganov, A.; Souvatzis, P.; Ahuja, R. Elasticity of the superconducting metals V, Nb, Ta, Mo, and W at high pressure. Phys. Rev. B—Condensed Matter Mater. Phys. 2008, 77, 214101. [Google Scholar] [CrossRef]
- Geantă, V.; Voiculescu, I.; Stefănoiu, R.; Chereches, T.; Zecheru, T.; Matache, L.; Rotariu, A. Dynamic impact behaviour of high entropy alloys used in the military domain. IOP Conf. Ser. Mater. Sci. Eng. 2018, 374, 012041. [Google Scholar] [CrossRef]
- Li, Z.; Zhao, S.; Ritchie, R.O.; Meyers, M.A. Mechanical properties of high-entropy alloys with emphasis on face-centered cubic alloys. Prog. Mater. Sci. 2019, 102, 296–345. [Google Scholar] [CrossRef]
- Luo, D.M.; Ma, L.; Yang, J.; Ding, N.; Liu, S.Y.; Tang, B.Y. Temperature-dependent elastic properties of high entropy ceramic (ZrTaNbTi) C from self-consistent quasi-harmonic approximation. Solid State Commun. 2021, 336, 114432. [Google Scholar] [CrossRef]
- Körmann, F.; Ikeda, Y.; Grabowski, B.; Sluiter, M.H. Phonon broadening in high entropy alloys. NPJ Comput. Mater. 2017, 3, 36. [Google Scholar] [CrossRef]
- Turner, S.R.; Pailhès, S.; Bourdarot, F.; Ollivier, J.; Sidis, Y.; Castellan, J.P.; Zanotti, J.M.; Berrod, Q.; Porcher, F.; Bosak, A.; et al. Phonon behavior in a random solid solution: A lattice dynamics study on the high-entropy alloy FeCoCrMnNi. Nat. Commun. 2022, 13, 7509. [Google Scholar] [CrossRef]
- Dsouza, R.; Poul, M.; Huber, L.; Swinburne, T.D.; Neugebauer, J. Sampling-free computation of finite temperature material properties in isochoric and isobaric ensembles using the mean-field anharmonic bond model. Phys. Rev. B 2024, 109, 064108. [Google Scholar] [CrossRef]
Disclaimer/Publisher’s Note: The statements, opinions and data contained in all publications are solely those of the individual author(s) and contributor(s) and not of MDPI and/or the editor(s). MDPI and/or the editor(s) disclaim responsibility for any injury to people or property resulting from any ideas, methods, instructions or products referred to in the content. |
© 2024 by the authors. Licensee MDPI, Basel, Switzerland. This article is an open access article distributed under the terms and conditions of the Creative Commons Attribution (CC BY) license (https://creativecommons.org/licenses/by/4.0/).









