Experimental Investigation and Modeling of Film Flow Corrosion
Abstract
1. Introduction
- An electrochemical process that identifies an anodic and a cathodic location, between which, the transfer of electrons takes place due to the corresponding cathodic and anodic reactions;
- A mass transfer process through which oxygen reaches the liquid phase (O2g → O2), to maintain the cathodic and anodic process;
- A chemical reaction process, partly dependent on O2, which leads to the formation of rust on the steel surface (Fe2+ + 2OH− → Fe(OH)2, 2Fe(OH)2 + ½O2 + H2O → 2Fe(OH)3).
2. Materials and Methods
2.1. Experimental Setup and Procedures
- Verification of the accuracy of the volume of liquid in the recirculation vessel of the corrosion medium (this must be exactly 5 L as initially determined);
- Coordinating the start of all the equipment associated with the installation (conductivity meter, ion meter, humidity recorder, etc.);
- Calibrating the workflow that forms the film on the plate;
- Every 15 min, recording the dynamics of the electrical circuit conductivity of the corrosion medium, the state of corrosion of the plate (photo/successive images), and all external parameters (liquid temperature, average humidity data around the plate, etc.);
- Taking a liquid sample to determine the total concentration of Fe in the corrosion medium;
- Stopping the film flow corrosion live simulation after 2–3 h to observe the drying dynamics of the plate and its condition for a new experiment.
2.2. Mathematical Modeling
- The removal of iron from the metal surface, as a result of the surface reaction;
- The formation of Fe2O3·H2O horst;
- The release of Fe ions into the corrosion medium.
3. Results
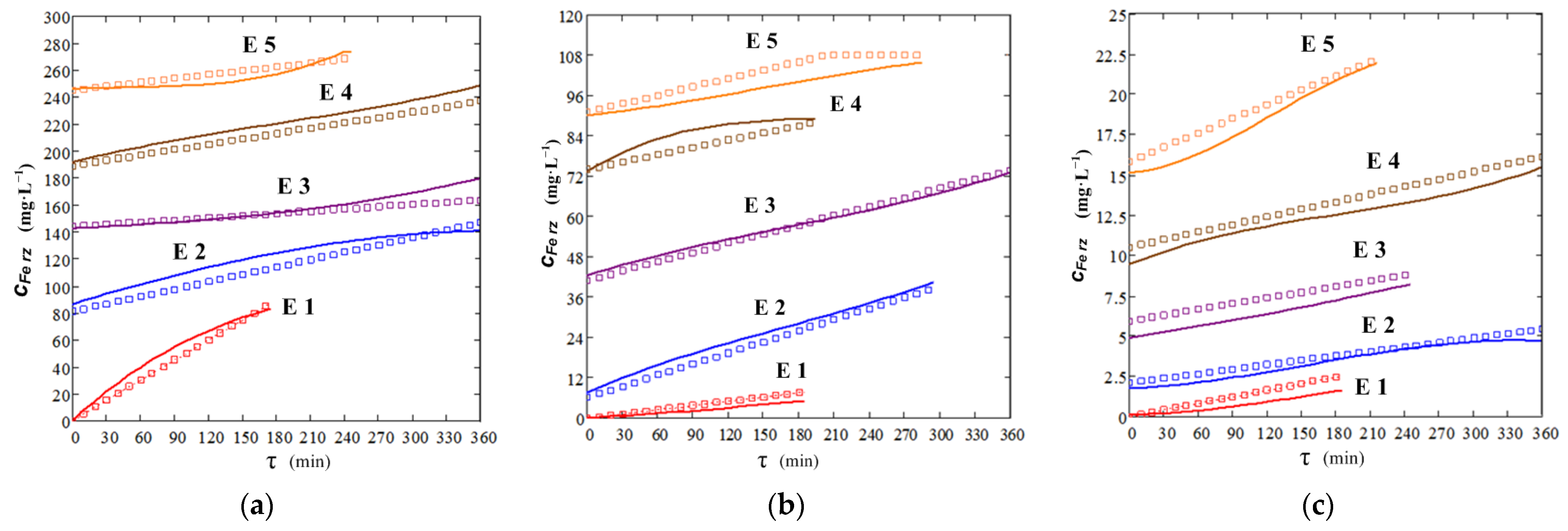
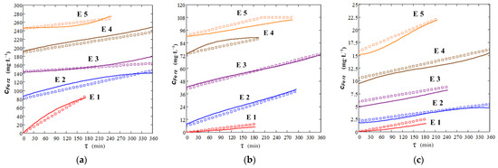
- From the initial values of electrical conductivity, it follows that the experimental investigation took into account the case of corrosion in rainwater (Table 2 column celrx0);
- The place of investigation, a laboratory, was characterized by its own temperature conditions and relative air humidity (Table 2 columns tl, ta, and RHa);
- The duration between experiments was random and, in total, covered almost half a year;
- The initial pH of the corrosion water and especially the fact that it did not change significantly during an active experiment shows that no processes occurred in addition to those considered in developing the model;
- There was a great similarity between the corresponding dependencies cel rz vs. τ and cFe rz vs. τ, which shows that the conductivity–concentration relationship is linear, as is often found at low ionic concentrations in solutions [23].
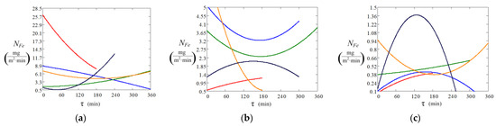
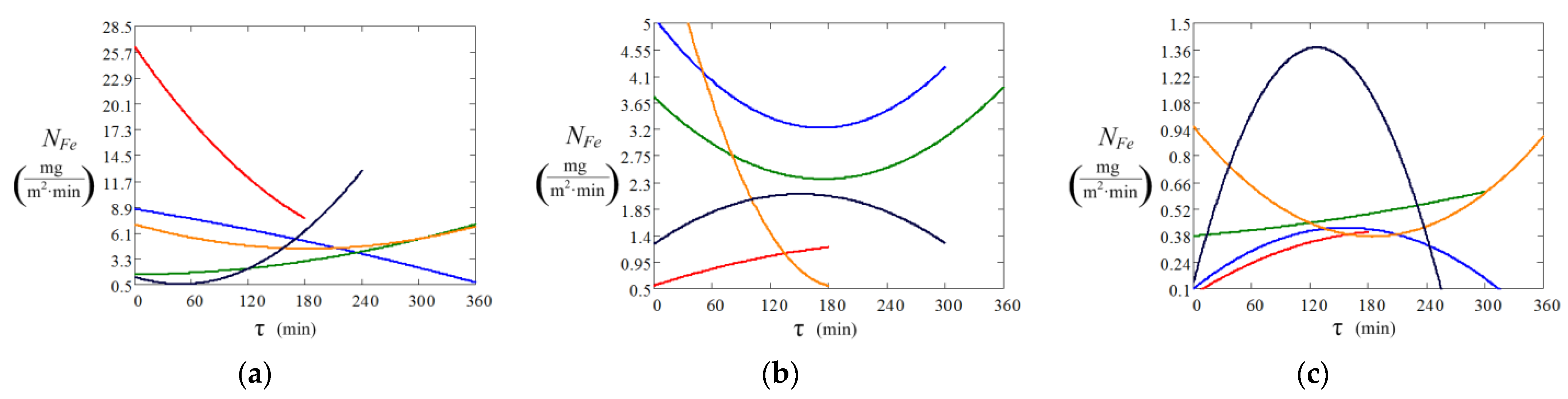
- The specific corrosion flow rate vs. the time dependences in Figure 16 decreased linearly and increased nonlinearly, with a maximum or a minimum due to the relationship of cFe rz vs. τ by a polynomial with a 3rd degree of dependence;
- It is interesting to note that the integral average values of the specific corrosion flow rate were very close to those where the dependence of cFe rz vs. τ was linear (columns 5 and 6 of Table 3);
- The first experiment is distinguished, compared to all the others, by the dynamics of cFe rz vs. τ and by the very high values of the specific flow; here, at Rel = 844.7 in 180 min, a cFe rz of 80 mg/L was reached and the mean specific steel corrosion rate was 15.61 mg/(m2·min), compared to experiment 5 where cFe rz increased in 240 min, with a cFe rz of 30 mg/L with a mean flow rate specific to iron corrosion of 3.532 mg/(m2·min);
- These results support the previous observation which showed that the reduction of the specific flow of iron away from the plate is the consequence of the thickening of the rust layer on its surface.
4. Discussion
- The mathematical model was transposed into a numerical form as a function dependent on the parameters to be identified, namely k’rse and ηrox;
- The value of ηrox resulting from the experiment starting with the virgin steel plate was used as a baseline for all the other 14 measurements, so that they became faster and more accurate;
- From the identified values of the apparent surface reaction rate constant, the increase in oxygen mass transfer resistance due to the rust layer was determined by Equation (42), where Rsf r is the surface reaction resistance and Rru l is the mass transfer resistance of the rust layer.
5. Conclusions
Author Contributions
Funding
Institutional Review Board Statement
Informed Consent Statement
Data Availability Statement
Conflicts of Interest
References
- LeRose, C. Silver Bridge Collapse (15 Dec. 1967). West Va. Hist. Soc. Q. 2001, 15. Available online: http://corrosion-doctors.org/Bridges/Silver-Bridge.htm (accessed on 20 February 2022).
- Guadalajara Sewer Explosion Due to Corrosion. 7 April 1992. Available online: https://www.corrosion-doctors.org/Forms-pitting/sewer.htm (accessed on 20 February 2022).
- Gaylord Chemicals: Explosion Due to Corrosion by Process Chemicals. 23 October 1995. Available online: https://www.corrosion-doctors.org/ProcessIndustry/Bogalusa-explosion.htm (accessed on 20 February 2022).
- Koch, H.G.; Brongers, P.H.M.; Thompson, G.N.; Virmani, Y.P.; Payer, H.J. Corrosion Cost and Preventive Strategies in the United States; Report FHWA-RD-01-156; NACE International: Houston, TX, USA, 2002; pp. 1–12. [Google Scholar]
- Wei, K.; Zhiqiang, L. Survey of Corrosion Cost in China and Preventive Strategies. Corros. Sci. Technol. 2008, 7, 259–264. [Google Scholar]
- Saeedikhani, M.; Blackwood, J.D. Finite Element Method for Thin Film Corrosion Modelling: Where We Advanced and Where We would like to Advance? Corros. Mater. Degrad. 2020, 1, 273–281. [Google Scholar] [CrossRef]
- Tsuru, T.; Tamiya, K.I.; Nishikata, A. Formation and Growth of Microdroplets During the Initial Stage of Atmospheric Corrosion. Electrochim. Acta 2004, 49, 2709–2715. [Google Scholar] [CrossRef]
- Thomson, M.S.; Frankel, G.S. Atmospheric Pitting Corrosion Studies of AA7075-T6 under Electrolyte Droplets: Part I. Effects of Droplet Size, Concentration, Composition, and Sample Aging. J. Electrochem. Soc. 2017, 164, 653–663. [Google Scholar] [CrossRef]
- Jiang, J.R.; Cheng, F.Y. Mechanism of Electrochemical Corrosion of Steel under Water Drop. Electrochem. Commun. 2013, 35, 8–11. [Google Scholar] [CrossRef]
- Morcillo, M.; Chico, B. Atmospheric corrosion data of weathering steels: A review. Corros. Sci. 2013, 77, 6–24. [Google Scholar] [CrossRef]
- De la Fuente, D.; Diaz, I. Long-term atmospheric corrosion of mild steel. Corros. Sci. 2011, 53, 604–617. [Google Scholar] [CrossRef]
- To, D. Evaluation of Atmospheric Corrosion in Steels for Corrosion Mapping in Asia. Ph.D. Thesis, Yokohama National University, Yokohama, Japan, 2017. [Google Scholar]
- Larson, E.T.; Skold, V.R. Current research on corrosion and tuberculation of cast iron. J. Am. Water Work. Assoc. 1958, 50, 1429–1433. [Google Scholar] [CrossRef]
- Mehlin, P.J.; Hulett, R.H. Spectrophotometric Determination of Iron with O-Phenantroline and with Nitro-O-Phenantroline. Ind. Eng. Chem. Anal. Ed. 1942, 14, 869–871. [Google Scholar] [CrossRef]
- Bird, R.; Stewart, W.; Lightfoot, E. Flow of a falling Film. In Transport Phenomena, 2nd ed.; Wiley & Sons: New York, NY, USA, 2002. [Google Scholar]
- Dobre, T.; Floarea, O. Solving Fluid Flow Equations. In Momentum Transfer; Matrix Rom House: Bucharest, Romania, 1997. [Google Scholar]
- Torr, L.H.; Marchello, M.J. Film-Penetration Model for Heat and Mass Transfer. A.I.Ch.E. J. 1958, 4, 97–104. [Google Scholar] [CrossRef]
- Johnstone, F.H.; Pigford, L.R. Distillation in a Wetted-Wall Column. Trans. Am. Inst. Chem. Eng. 1942, 38, 25–36. [Google Scholar]
- Davidson, W.; Seed, G. The Kinetics of the Oxidation of Ferrous Iron in Synthetic and Natural Waters. Geochim. Cosmochim. Acta 1983, 47, 67–79. [Google Scholar] [CrossRef]
- Millero, J.F.; Sotolonga, S.; Zaguirre, M. The Oxidation Kinetics of Fe(II) in Sea Water. Geochim. Cosmochim. Acta 1987, 51, 793–801. [Google Scholar] [CrossRef]
- Sung, W.; Morgan, J.J. Kinetics and product of ferrous iron oxygenation in aqueous systems. Environ. Sci. Technol. 1980, 14, 561–570. [Google Scholar] [CrossRef]
- Nenitescu, C. General Chemistry; Didactic and Pedagogical Publishing House: Bucharest, Romania, 1972. [Google Scholar]
- Dobre, T.; Sanchez, J.M. Chemical Engineering Modelling Simulation and Similitude; Wiley VCH: Hoboken, NJ, USA, 2007. [Google Scholar]
- Weitao, Z.; Xia, C.; Yan, W.; Liang, W.; Yangdong, H. Experimental and Modelling of Conductivity for Electrolyte Solution Systems. ACS Omega 2020, 5, 22465–22467. [Google Scholar]
- Maria, G.; Muntean, O. Model Reduction and Parameters Identification for the Methanol Conversion to Olefins. Chem. Eng. Sci. 1987, 42, 1451–1460. [Google Scholar] [CrossRef]
- Iordache, O.; Maria, G.; Corbu, S. Statistical Modelling and Estimation of Chemical Process Models, Rom; Academy Publishing House: Bucharest, Romania, 1991. [Google Scholar]
- Zhang, Y.N.; Zhang, S.G.; Luo, J.H.; Long, Y.; Ji, N.; Fan, B.; Wang, S.M. Effect of Flow Rate on the Corrosion Behavior of P110 Steel in High-Ca2+ and High-Cl− Environment. Metals 2022, 12, 1183. [Google Scholar] [CrossRef]
- Acosta, G.; Veleva, L.; Chavez, L.; Lopez, J. Laminar Flow on the Corrosion Activity of A A6061-T6 in Seawater. Metals 2020, 10, 175. [Google Scholar] [CrossRef]
- Di Sarno, L.; Majidian, A.; Karagiannakis, G. The Effect of Atmospheric Corrosion on Steel Structures: A State-of-the-Art and Case-Study. Buildings 2021, 11, 571. [Google Scholar] [CrossRef]
- Wang, Z.; Wang, M.; Jiang, J.; Lan, X.; Wang, F.; Geng, Z. Atmospheric Corrosion Analysis of Rust Evolution Research of Q235 Carbon Steel at Different Exposure Stages in Chengdu Atmosphere Environment of China. Scanning 2020, 2020, 9591516. [Google Scholar] [CrossRef] [PubMed]


















| Element | Composition (wt%) |
|---|---|
| Manganese (Mn) | 0.166 |
| Phosphorus (P) | 0.028 |
| Sulfur (S) | 0.028 |
| Carbon (C) | 0.206 |
| Chromium (Cr) | 0.078 |
| Molybdenum (Mo) | 0.114 |
| Vanadium (V) | 0.003 |
| Silicon (Si) | 0.004 |
| Copper (Cu) | 0.082 |
| Nickel (Ni) | 0.088 |
| Titanium (Ti) | 0.004 |
| Iron (Fe) | 0.199 |
| Exp. No. | Rel, δ,wmax, w, Gm | pH | tl °C | ta °C | RHa % | τd days | τe min | celrx0 μS/cm | cFe rz0 mg/L |
|---|---|---|---|---|---|---|---|---|---|
| 1 | 844.4 | 6.9 | 27.1 | 26.9 | 48.3 | - | 180 | 106 | 0 |
| 2 | 4.311 × 10−4 m | 6.8 | 25.5 | 26.1 | 52.3 | 6 | 360 | 139 | 87 |
| 3 | 0.929 m/s | 6.8 | 26.5 | 26.4 | 33.8 | 6 | 360 | 151 | 140 |
| 4 | 0.619 m/s | 6.9 | 25.1 | 25.4 | 39.5 | 10 | 360 | 162 | 187 |
| 5 | 1.9 kg/min | 6.7 | 22.9 | 23.6 | 58.4 | 8 | 240 | 175 | 242 |
| 6 | 400 | 6.7 | 23.7 | 23.9 | 43.7 | 25 | 170 | 97 | 0 |
| 7 | 3.361 × 10−4 m | 6.9 | 22.5 | 23.1 | 41.5 | 15 | 300 | 103 | 6 |
| 8 | 0.567 m/s | 6.9 | 21.3 | 21.7 | 53.2 | 9 | 360 | 120 | 38 |
| 9 | 0.368 m/s | 7.0 | 21.5 | 22.1 | 42.7 | 11 | 200 | 160 | 72 |
| 10 | 0.9 kg/min | 7.2 | 20.9 | 21.9 | 39.5 | 19 | 300 | 184 | 90 |
| 11 | 177.8 | 6.6 | 19.8 | 22.5 | 37.6 | 27 | 180 | 83 | 0 |
| 12 | 2.578 × 10−4 m | 6.9 | 20.5 | 21.9 | 35.5 | 14 | 360 | 89 | 2.4 |
| 13 | 0.332 m/s | 6.9 | 20.8 | 21.6 | 55.1 | 14 | 300 | 95 | 5 |
| 14 | 0.221 m/s | 7.1 | 20.9 | 21.7 | 49.7 | 14 | 360 | 99 | 10 |
| 15 | 0.4 kg/min | 7.1 | 21.2 | 22.3 | 47.9 | 7 | 260 | 104 | 15 |
| Exp. No. | Liquid Flow Rate | NFemin mg/(m2·min) | NFemax mg/(m2·min) | NFemean1 mg/(m2·min) | NFemean 2 mg/(m2·min) |
|---|---|---|---|---|---|
| 1 | Gvl = 1.9 L/min Rel = 844.4 | 8.620 | 25.700 | 15.610 | 15.386 |
| 2 | 0.550 | 8.970 | 5.060 | 5.115 | |
| 3 | 1.900 | 7.220 | 3.470 | 3.325 | |
| 4 | 5.020 | 7.320 | 5.250 | 4.961 | |
| 5 | 0.550 | 14.250 | 3.880 | 3.353 | |
| 6 | Gvl = 0.9 L/min Rel = 400.0 | 0.530 | 1.110 | 0.928 | 0.911 |
| 7 | 3.150 | 5.150 | 3.728 | 3.567 | |
| 8 | 2.390 | 3.890 | 2.849 | 2.676 | |
| 9 | 0.520 | 5.150 | 1.822 | 2.525 | |
| 10 | 1.370 | 2.150 | 1.822 | 1.918 | |
| 11 | Gvl = 0.4 L/min Rel = 177.8 | 0.050 | 0.310 | 0.276 | 0.262 |
| 12 | 0.110 | 0.380 | 0,323 | 0.323 | |
| 13 | 0.380 | 0.550 | 0.478 | 0.475 | |
| 14 | 0.320 | 0.940 | 0.561 | 0.495 | |
| 15 | 0.170 | 1.360 | 0.996 | 1.091 |
| Exp. No. | Liquid Flow Rate | Film Flow Time τf (h) | τd Days | k’rse 10−5 m/s | ηox - | RT 10−5 s/m | Rrul 10−5 s/m | Figure 17 Case * |
|---|---|---|---|---|---|---|---|---|
| 1 | Gvl = 1.9 L/min Rel = 844.4 | 3 | - | 2.296 | 0.19 | 0.455 | 0 | (a) E1 |
| 2 | 9 | 6 (6) | 0.716 | 0.18 | 1.397 | 0.941 | (a) E2 | |
| 3 | 15 | 6 (12) | 0.506 | 0.16 | 1.976 | 1.521 | (a) E3 | |
| 4 | 21 | 10 (22) | 0.496 | 0.16 | 2.004 | 1.548 | (a) E4 | |
| 5 | 25 | 8 (30) | 0.358 | 0.16 | 2.793 | 2.338 | (a) E5 | |
| 6 | Gvl = 0.9 L/min Rel = 400.0 | 28 | 25 (55) | 0.155 | 0.18 | 6.061 | 5.605 | (b) E1 |
| 7 | 33 | 15 (70) | 0.425 | 0.18 | 2.353 | 1.897 | (b) E2 | |
| 8 | 41 | 9 (79) | 0.336 | 0.17 | 2.976 | 2.521 | (b) E3 | |
| 9 | 44 | 11 (90) | 0.315 | 0.15 | 3.175 | 2.719 | (b) E4 | |
| 10 | 49 | 19 (109) | 0.298 | 0.17 | 3.356 | 2.899 | (b) E5 | |
| 11 | Gvl = 0.4 L/min Rel = 177.8 | 52 | 27 (135) | 0.051 | 0.17 | 18.179 | 17.132 | (c) E1 |
| 12 | 58 | 14 (149) | 0.032 | 0.14 | 29.411 | 28.861 | (c) E2 | |
| 13 | 63 | 14 (163) | 0.043 | 0.16 | 23.258 | 22.796 | (c) E3 | |
| 14 | 69 | 14 (177) | 0.057 | 0.17 | 17.54 | 17.089 | (c) E4 | |
| 15 | 74 | 7 (184) | 0.106 | 0.16 | 9.434 | 8.978 | (c) E5 |
| Correlation Coefficient | Reynolds Number Rel | Film Flow Time τf (h) | Standby Time τd (days) |
|---|---|---|---|
| 0.649 | −0.712 | −0.649 | |
| 0.848 | −0.872 | −0.873 |
Disclaimer/Publisher’s Note: The statements, opinions and data contained in all publications are solely those of the individual author(s) and contributor(s) and not of MDPI and/or the editor(s). MDPI and/or the editor(s) disclaim responsibility for any injury to people or property resulting from any ideas, methods, instructions or products referred to in the content. |
© 2023 by the authors. Licensee MDPI, Basel, Switzerland. This article is an open access article distributed under the terms and conditions of the Creative Commons Attribution (CC BY) license (https://creativecommons.org/licenses/by/4.0/).
Share and Cite
Ilie, M.C.; Maior, I.; Raducanu, C.E.; Deleanu, I.M.; Dobre, T.; Parvulescu, O.C. Experimental Investigation and Modeling of Film Flow Corrosion. Metals 2023, 13, 1425. https://doi.org/10.3390/met13081425
Ilie MC, Maior I, Raducanu CE, Deleanu IM, Dobre T, Parvulescu OC. Experimental Investigation and Modeling of Film Flow Corrosion. Metals. 2023; 13(8):1425. https://doi.org/10.3390/met13081425
Chicago/Turabian StyleIlie, Marius Ciprian, Ioana Maior, Cristian Eugen Raducanu, Iuliana Mihaela Deleanu, Tanase Dobre, and Oana Cristina Parvulescu. 2023. "Experimental Investigation and Modeling of Film Flow Corrosion" Metals 13, no. 8: 1425. https://doi.org/10.3390/met13081425
APA StyleIlie, M. C., Maior, I., Raducanu, C. E., Deleanu, I. M., Dobre, T., & Parvulescu, O. C. (2023). Experimental Investigation and Modeling of Film Flow Corrosion. Metals, 13(8), 1425. https://doi.org/10.3390/met13081425

