Effect of Proton Irradiation on Zr/Nb Nanoscale Multilayer Structure and Properties
Abstract
1. Introduction
2. Materials and Methods
3. Results
4. Conclusions
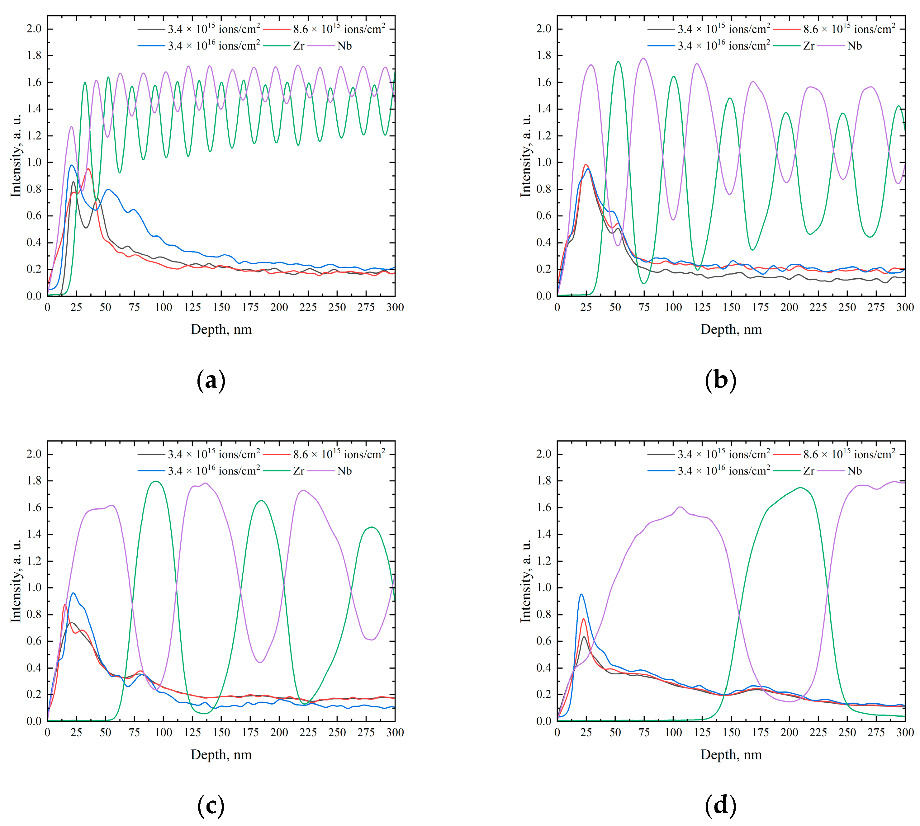
- Increasing the irradiation fluence from 3.4 × 1015 to 3.4 × 1016 ions/cm2 leads to a partial destruction of the interfaces of Zr/Nb NMCs with layer thicknesses of 10–25 nm, which become semicoherent. This apparently contributes to vigorous proton implantation, whereas the irregular H accumulation at the interfaces is preserved.
- The proton irradiation fluence increases do not lead to a noticeable deterioration in the microstructure and properties of Zr/Nb NMCs with 50 nm layer thicknesses. The microstructure is also preserved with increasing proton irradiation fluence for Zr100/Nb100, but there is an accumulation of hydrogen-vacancy complexes in the ion precipitation zone, which negatively affects the nanohardness.
- The enhanced proton deposition at the interfaces of the Zr/Nb NMCs, as a result of the increasing radiation fluence, causes a change in the depth profile of the DBS parameters but does not reveal an intense accumulation of primary radiation defects for all NMCs with a layer thickness less than 100 nm. Positrons are predominantly annihilated in reduced electron density areas at interfaces near zirconium atoms before and after proton irradiation.
Author Contributions
Funding
Data Availability Statement
Acknowledgments
Conflicts of Interest
References
- Parihar, R.S.; Setti, S.G.; Sahu, R.K. Recent Advances in the Manufacturing Processes of Functionally Graded Materials: A Review. Sci. Eng. Compos. Mater. 2018, 25, 309–336. [Google Scholar] [CrossRef]
- Li, Y.; Feng, Z.; Hao, L.; Huang, L.; Xin, C.; Wang, Y.; Bilotti, E.; Essa, K.; Zhang, H.; Li, Z.; et al. A Review on Functionally Graded Materials and Structures via Additive Manufacturing: From Multi-Scale Design to Versatile Functional Properties. Adv. Mater. Technol. 2020, 5, 1900981. [Google Scholar] [CrossRef]
- Metalnikov, P.; Eliezer, D.; Ben-Hamu, G. Hydrogen Trapping in Additive Manufactured Ti–6Al–4V Alloy. Mater. Sci. Eng. A 2021, 811, 141050. [Google Scholar] [CrossRef]
- Navi, N.U.; Tenenbaum, J.; Sabatani, E.; Kimmel, G.; Ben David, R.; Rosen, B.A.; Barkay, Z.; Ezersky, V.; Tiferet, E.; Ganor, Y.I.; et al. Hydrogen Effects on Electrochemically Charged Additive Manufactured by Electron Beam Melting (EBM) and Wrought Ti–6Al–4V Alloys. Int. J. Hydrogen Energy 2020, 45, 25523–25540. [Google Scholar] [CrossRef]
- Svetlizky, D.; Das, M.; Zheng, B.; Vyatskikh, A.L.; Bose, S.; Bandyopadhyay, A.; Schoenung, J.M.; Lavernia, E.J.; Eliaz, N. Directed Energy Deposition (DED) Additive Manufacturing: Physical Characteristics, Defects, Challenges and Applications. Mater. Today 2021, 49, 271–295. [Google Scholar] [CrossRef]
- Doğu, M.N.; Esen, Z.; Davut, K.; Tan, E.; Gümüş, B.; Dericioglu, A.F. Microstructural and Texture Evolution during Thermo-Hydrogen Processing of Ti6Al4V Alloys Produced by Electron Beam Melting. Mater. Charact. 2020, 168, 110549. [Google Scholar] [CrossRef]
- Callisti, M.; Karlik, M.; Polcar, T. Competing Mechanisms on the Strength of Ion-Irradiated Zr/Nb Nanoscale Multilayers: Interface Strength versus Radiation Hardening. Scr. Mater. 2018, 152, 31–35. [Google Scholar] [CrossRef]
- Sen, H.S.; Polcar, T. Vacancy-Interface-Helium Interaction in Zr-Nb Multi-Layer System: A First-Principles Study. J. Nucl. Mater. 2019, 518, 11–20. [Google Scholar] [CrossRef]
- Daghbouj, N.; Callisti, M.; Sen, H.S.; Karlik, M.; Čech, J.; Vronka, M.; Havránek, V.; Čapek, J.; Minárik, P.; Bábor, P.; et al. Interphase Boundary Layer-Dominated Strain Mechanisms in Cu+ Implanted Zr-Nb Nanoscale Multilayers. Acta Mater. 2021, 202, 317–330. [Google Scholar] [CrossRef]
- Daghbouj, N.; Sen, H.S.; Čížek, J.; Lorinčík, J.; Karlík, M.; Callisti, M.; Čech, J.; Havránek, V.; Li, B.; Krsjak, V.; et al. Characterizing Heavy Ions-Irradiated Zr/Nb: Structure and Mechanical Properties. Mater. Des. 2022, 219, 110732. [Google Scholar] [CrossRef]
- Laptev, R.; Stepanova, E.; Pushilina, N.; Svyatkin, L.; Krotkevich, D.; Lomygin, A.; Ognev, S.; Siemek, K.; Doroshkevich, A.; Uglov, V. Distribution of Hydrogen and Defects in the Zr/Nb Nanoscale Multilayer Coatings after Proton Irradiation. Materials 2022, 15, 3332. [Google Scholar] [CrossRef] [PubMed]
- Laptev, R.; Svyatkin, L.; Krotkevich, D.; Stepanova, E.; Pushilina, N.; Lomygin, A.; Ognev, S.; Siemek, K.; Uglov, V. First-Principles Calculations and Experimental Study of H+-Irradiated Zr/Nb Nanoscale Multilayer System. Metals 2021, 11, 627. [Google Scholar] [CrossRef]
- Laptev, R.; Lomygin, A.; Krotkevich, D.; Syrtanov, M.; Kashkarov, E.; Bordulev, Y.; Siemek, K.; Kobets, A. Effect of Proton Irradiation on the Defect Evolution of Zr/Nb Nanoscale Multilayers. Metals 2020, 10, 535. [Google Scholar] [CrossRef]
- Laptev, R.; Stepanova, E.; Pushilina, N.; Kashkarov, E.; Krotkevich, D.; Lomygin, A.; Sidorin, A.; Orlov, O.; Uglov, V. The Microstructure of Zr/Nb Nanoscale Multilayer Coatings Irradiated with Helium Ions. Coatings 2023, 13, 193. [Google Scholar] [CrossRef]
- Shulepov, I.; Lomygin, A.; Roman, L.; Kashkarov, E.; Syrtanov, M. Correction of the Distribution Profiles of the Intensities of Elements Considering the Uneven Dispersion of the Glow-Discharge Optical Emission Spectrometer for Multilayer Coatings Analysis. In Proceedings of the 2020 7th International Congress on Energy Fluxes and Radiation Effects (EFRE), Tomsk, Russia, 14–26 September 2020. [Google Scholar] [CrossRef]
- Kuznetsov, P.V.; Mironov, Y.P.; Tolmachev, A.I.; Rakhmatulina, T.V.; Bordulev, Y.S.; Laptev, R.S.; Lider, A.M.; Mikhailov, A.A.; Korznikov, A.V. Positron Annihilation Spectroscopy of Vacancy-Type Defects Hierarchy in Submicrocrystalline Nickel during Annealing. In Proceedings of the International Conference On Physical Mesomechanics of Multilevel Systems 2014, Tomsk, Russia, 14–26 September 2014. [Google Scholar] [CrossRef]
- Bordulev, I.; Kudiiarov, V.; Svyatkin, L.; Syrtanov, M.; Stepanova, E.; Čížek, J.; Vlček, M.; Li, K.; Laptev, R.; Lider, A. Positron Annihilation Spectroscopy Study of Defects in Hydrogen Loaded Zr-1Nb Alloy. J. Alloys Compd. 2019, 798, 685–694. [Google Scholar] [CrossRef]
- Kuznetsov, P.V.; Mironov, Y.P.; Tolmachev, A.I.; Bordulev, Y.S.; Laptev, R.S.; Lider, A.M.; Korznikov, A.V. Positron Spectroscopy of Defects in Submicrocrystalline Nickel after Low-Temperature Annealing. Phys. Solid State 2015, 57, 219–228. [Google Scholar] [CrossRef]
- Konobeyev, A.Y.; Fischer, U.; Korovin, Y.A.; Simakov, S.P. Evaluation of Effective Threshold Displacement Energies and Other Data Required for the Calculation of Advanced Atomic Displacement Cross-Sections. Nucl. Energy Technol. 2017, 3, 169–175. [Google Scholar] [CrossRef]






| Individual Layer Thicknesses, nm | As-Deposited Zr/Nb NMCs | The Fluences of Irradiation, ions/cm2 | ||
|---|---|---|---|---|
| 3.4 × 1015 | 8.6 × 1015 | 3.4 × 1016 | ||
| Nanohardness, ±20 HV | ||||
| 10 | 1150 [11] | 830 [11] | 810 | 800 |
| 25 | 1050 [11] | 650 [11] | 700 | 740 |
| 50 | 930 [11] | 650 [11] | 650 | 670 |
| 100 | 600 [11] | 640 [11] | 800 | 780 |
Disclaimer/Publisher’s Note: The statements, opinions and data contained in all publications are solely those of the individual author(s) and contributor(s) and not of MDPI and/or the editor(s). MDPI and/or the editor(s) disclaim responsibility for any injury to people or property resulting from any ideas, methods, instructions or products referred to in the content. |
© 2023 by the authors. Licensee MDPI, Basel, Switzerland. This article is an open access article distributed under the terms and conditions of the Creative Commons Attribution (CC BY) license (https://creativecommons.org/licenses/by/4.0/).
Share and Cite
Laptev, R.; Krotkevich, D.; Lomygin, A.; Stepanova, E.; Pushilina, N.; Kashkarov, E.; Doroshkevich, A.; Sidorin, A.; Orlov, O.; Uglov, V. Effect of Proton Irradiation on Zr/Nb Nanoscale Multilayer Structure and Properties. Metals 2023, 13, 903. https://doi.org/10.3390/met13050903
Laptev R, Krotkevich D, Lomygin A, Stepanova E, Pushilina N, Kashkarov E, Doroshkevich A, Sidorin A, Orlov O, Uglov V. Effect of Proton Irradiation on Zr/Nb Nanoscale Multilayer Structure and Properties. Metals. 2023; 13(5):903. https://doi.org/10.3390/met13050903
Chicago/Turabian StyleLaptev, Roman, Dmitriy Krotkevich, Anton Lomygin, Ekaterina Stepanova, Natalia Pushilina, Egor Kashkarov, Aleksandr Doroshkevich, Alexey Sidorin, Oleg Orlov, and Vladimir Uglov. 2023. "Effect of Proton Irradiation on Zr/Nb Nanoscale Multilayer Structure and Properties" Metals 13, no. 5: 903. https://doi.org/10.3390/met13050903
APA StyleLaptev, R., Krotkevich, D., Lomygin, A., Stepanova, E., Pushilina, N., Kashkarov, E., Doroshkevich, A., Sidorin, A., Orlov, O., & Uglov, V. (2023). Effect of Proton Irradiation on Zr/Nb Nanoscale Multilayer Structure and Properties. Metals, 13(5), 903. https://doi.org/10.3390/met13050903

