Yet Another Approach to Fatigue Crack Growth Simulation
Abstract
:1. Introduction
2. Materials and Methods
2.1. Material Observations and Framework Idea
2.2. Direct Cyclic Analysis
2.3. Conventional Fatigue Approach
2.4. Continuum Damage Mechanics
2.5. Cohesive Contact
2.6. Algorithm
3. Results and Discussion
3.1. Application of the Proposed Framework on a Compact Tension Specimen
3.2. Limitations and Observations of the Proposed Framework
4. Conclusions
- Conventional fatigue approach, here the strain-life method, can be used to simulate both fatigue and crack growth.
- The direct cyclic analysis reduces calculation time in fatigue if the cyclic load is considered proportional.
- The locally defined cohesive contact can simulate crack if coupled with a damaging parameter.
- Results indicate that the crack grows in a predictable direction, but further experimental observations should be made to validate its speed.
Author Contributions
Funding
Institutional Review Board Statement
Informed Consent Statement
Data Availability Statement
Conflicts of Interest
Abbreviations
| CC | Cohesive contact | 
| CDM | Continuum damage mechanics | 
| DCA | Direct cyclic analysis | 
| DT | Damage-tolerant fatigue analysis | 
| SL | Safe-life fatigue analysis | 
| FEM | Finite element model | 
References
- ASM Handbook: Fatigue and Fracture; ASM International: Almere, The Netherlands, 1996; Volume 19, p. 18.
- Grünewald, P.; Rauber, J.; Marx, M.; Motz, C.; Schaefer, F. Fatigue crack growth in micro specimens as a tool to measure crack—Microstructure interactions. Fatigue Fract. Eng. Mater. Struct. 2020, 43, 3037–3049. [Google Scholar] [CrossRef]
- Lazzeri, R. A comparison between Safe Life, Damage Tolerance and probabilistic approaches to aircraft structure fatigue design. Aerotec. Missili Spaz. 2002, 81. [Google Scholar]
- FAA. 25.571-1D: Damage Tolerance and Fatigue Evaluation of Structure; Federal Aviation Administration: Washington, DC, USA, 2011; Volume 13.
- Wang, T.; Wen, J.F.; Liao, P.P.; Zhang, X.C.; Kim, Y.J.; Tu, S.T. A study of ultra-low cycle fatigue failure based on a fracture strain energy model. Int. J. Fatigue 2021, 146, 106149. [Google Scholar] [CrossRef]
- Pereira, J.; De Jesus, A.; Xavier, J.; Fernandes, A. Ultra low-cycle fatigue behaviour of a structural steel. Eng. Struct. 2014, 60, 214–222. [Google Scholar] [CrossRef]
- Amiri, H.; Aghakouchak, A.; Shahbeyk, S.; Engelhardt, M. Finite element simulation of ultra low cycle fatigue cracking in steel structures. J. Constr. Steel Res. 2013, 89, 175–184. [Google Scholar] [CrossRef]
- Tomažinčič, D.; Borovinšek, M.; Ren, Z.; Klemenc, J. Improved prediction of low-cycle fatigue life for high-pressure die-cast aluminium alloy AlSi9Cu3 with significant porosity. Int. J. Fatigue 2021, 144, 106061. [Google Scholar] [CrossRef]
- Xue, L. A unified expression for low cycle fatigue and extremely low cycle fatigue and its implication for monotonic loading. Int. J. Fatigue 2008, 30, 1691–1698. [Google Scholar] [CrossRef]
- Murakami, Y.; Miller, K. What is fatigue damage? A view point from the observation of low cycle fatigue process. Int. J. Fatigue 2005, 27, 991–1005. [Google Scholar] [CrossRef]
- Dowling, N.E. Mean stress effects in stress-life and strain-life fatigue. SAE Tech. Pap. 2004, 32, 1004–1019. [Google Scholar]
- Williams, C.R.; Lee, Y.L.; Rilly, J. A practical method for statistical analysis of strain–life fatigue data. Int. J. Fatigue 2003, 25, 427–436. [Google Scholar] [CrossRef]
- Jahed, H.; Varvani-Farahani, A. Upper and lower fatigue life limits model using energy-based fatigue properties. Int. J. Fatigue 2006, 28, 467–473. [Google Scholar] [CrossRef]
- Zhu, S.P.; Lei, Q.; Huang, H.Z.; Yang, Y.J.; Peng, W. Mean stress effect correction in strain energy-based fatigue life prediction of metals. Int. J. Damage Mech. 2017, 26, 1219–1241. [Google Scholar] [CrossRef]
- Sakai, T. Review and prospects for current studies on very high cycle fatigue of metallic materials for machine structural use. J. Solid Mech. Mater. Eng. 2009, 3, 425–439. [Google Scholar] [CrossRef] [Green Version]
- Sakai, T.; Nakagawa, A.; Oguma, N.; Nakamura, Y.; Ueno, A.; Kikuchi, S.; Sakaida, A. A review on fatigue fracture modes of structural metallic materials in very high cycle regime. Int. J. Fatigue 2016, 93, 339–351. [Google Scholar] [CrossRef]
- Zerbst, U.; Vormwald, M.; Pippan, R.; Gänser, H.P.; Sarrazin-Baudoux, C.; Madia, M. About the fatigue crack propagation threshold of metals as a design criterion–a review. Eng. Fract. Mech. 2016, 153, 190–243. [Google Scholar] [CrossRef]
- Maierhofer, J.; Kolitsch, S.; Pippan, R.; Gänser, H.P.; Madia, M.; Zerbst, U. The cyclic R-curve—Determination, problems, limitations and application. Eng. Fract. Mech. 2018, 198, 45–64. [Google Scholar] [CrossRef]
- Salih, S.; Davey, K.; Zou, Z. A computationally efficient cohesive zone model for fatigue. Fatigue Fract. Eng. Mater. Struct. 2019, 42, 518–532. [Google Scholar] [CrossRef] [Green Version]
- Chaboche, J.L. Time-independent constitutive theories for cyclic plasticity. Int. J. Plast. 1986, 2, 149–188. [Google Scholar] [CrossRef]
- Zobec, P.; Klemenc, J. Application of a nonlinear kinematic-isotropic material model for the prediction of residual stress relaxation under a cyclic load. Int. J. Fatigue 2021, 150, 106290. [Google Scholar] [CrossRef]
- Corp, D.S.S. Simulia Online User Assistance 2017. Available online: https://abaqus-docs.mit.edu/2017/English/DSSIMULIA_Established.htm (accessed on 22 November 2021).
- Schütz, W. A history of fatigue. Eng. Fract. Mech. 1996, 54, 263–300. [Google Scholar] [CrossRef]
- Manson, S.S. Behavior of Materials under Conditions of Thermal Stress; National Advisory Committee for Aeronautics: Cleveland, OH, USA, 1953; Volume 2933.
- Coffin, L.F., Jr. A study of the effects of cyclic thermal stresses on a ductile metal. Trans. Am. Soc. Mech. Eng. N. Y. 1954, 76, 931–950. [Google Scholar]
- Wang, C.; Brown, M. Life prediction techniques for variable amplitude multiaxial fatigue—part 1: Theories. J. Eng. Mater. Technol. 1996, 118, 367–370. [Google Scholar] [CrossRef]
- Bannantine, J.A. A Variable Amplitude Multiaxial Fatigue Life Prediction Method. Ph.D. Thesis, University of Illinois at Urbana-Champaign, Champaign, IL, USA, 1989. [Google Scholar]
- Lemaitre, J.; Desmorat, R. Engineering Damage Mechanics: Ductile, Creep, Fatigue and Brittle Failures; Springer Science & Business Media: Berlin/Heidelberg, Germany, 2005. [Google Scholar]
- Murakami, S. Continuum Damage Mechanics: A Continuum Mechanics Approach to the Analysis of Damage and Fracture; Springer Science & Business Media: Berlin/Heidelberg, Germany, 2012; Volume 185. [Google Scholar]
- Dugdale, D.S. Yielding of steel sheets containing slits. J. Mech. Phys. Solids 1960, 8, 100–104. [Google Scholar] [CrossRef]
- Nguyen, O.; Repetto, E.; Ortiz, M.; Radovitzky, R. A cohesive model of fatigue crack growth. Int. J. Fract. 2001, 110, 351–369. [Google Scholar] [CrossRef]
- Sun, C.; Jin, Z.H. Chapter 9—Cohesive Zone Model. In Fracture Mechanics; Sun, C., Jin, Z.H., Eds.; Academic Press: Boston, MA, USA, 2012; pp. 227–246. [Google Scholar] [CrossRef]
- Needleman, A. A continuum model for void nucleation by inclusion debonding. J. Appl. Mech. 1987, 54. [Google Scholar] [CrossRef]
- Yuan, H.; Lin, G.; Cornec, A. Verification of a cohesive zone model for ductile fracture. J. Eng. Mater. Technol. 1996, 118, 192–200. [Google Scholar] [CrossRef]
- Tvergaard, V.; Hutchinson, J.W. The relation between crack growth resistance and fracture process parameters in elastic-plastic solids. J. Mech. Phys. Solids 1992, 40, 1377–1397. [Google Scholar] [CrossRef]
- Roe, K.; Siegmund, T. An irreversible cohesive zone model for interface fatigue crack growth simulation. Eng. Fract. Mech. 2003, 70, 209–232. [Google Scholar] [CrossRef]
- Roth, S.; Hütter, G.; Kuna, M. Simulation of fatigue crack growth with a cyclic cohesive zone model. Int. J. Fract. 2014, 188, 23–45. [Google Scholar] [CrossRef]
- Yuan, H.; Li, X. Critical remarks to cohesive zone modeling for three-dimensional elastoplastic fatigue crack propagation. Eng. Fract. Mech. 2018, 202, 311–331. [Google Scholar] [CrossRef]
- Sun, B.; Liu, X.; Xu, Z.D. A novel physical continuum damage model for the finite element simulation of crack growth mechanism in quasi-brittle geomaterials. Theor. Appl. Fract. Mech. 2021, 114, 103030. [Google Scholar] [CrossRef]
- Camas, D.; Garcia-Manrique, J.; Antunes, F.; Gonzalez-Herrera, A. Three-dimensional fatigue crack closure numerical modelling: Crack growth scheme. Theor. Appl. Fract. Mech. 2020, 108, 102623. [Google Scholar] [CrossRef]
- Borges, M.; Neto, D.; Antunes, F. Numerical simulation of fatigue crack growth based on accumulated plastic strain. Theor. Appl. Fract. Mech. 2020, 108, 102676. [Google Scholar] [CrossRef]
- Li, H.; Li, J.; Yuan, H. A review of the extended finite element method on macrocrack and microcrack growth simulations. Theor. Appl. Fract. Mech. 2018, 97, 236–249. [Google Scholar] [CrossRef]
- Moës, N.; Dolbow, J.; Belytschko, T. A finite element method for crack growth without remeshing. Int. J. Numer. Methods Eng. 1999, 46, 131–150. [Google Scholar] [CrossRef]
- Tomažinčič, D.; Vesenjak, M.; Klemenc, J. Prediction of static and low-cycle durability of porous cellular structures with positive and negative Poisson’s ratios. Theor. Appl. Fract. Mech. 2020, 106, 102479. [Google Scholar] [CrossRef] [Green Version]
- Li, H.; Li, L.; Fan, J.; Yue, Z. Verification of a cohesive model-based extended finite element method for ductile crack propagation. Fatigue Fract. Eng. Mater. Struct. 2021, 44, 762–775. [Google Scholar] [CrossRef]
- Li, H.; Yuan, H. Cohesive zone modelling of low cycle fatigue cracks in cracked and notched specimens. Fatigue Fract. Eng. Mater. Struct. 2013, 36, 1246–1257. [Google Scholar] [CrossRef]
- Bocciarelli, M. A new cohesive law for the simulation of crack propagation under cyclic loading. Application to steel- and concrete-FRP bonded interface. Theor. Appl. Fract. Mech. 2021, 114, 102992. [Google Scholar] [CrossRef]
- Blal, N.; Daridon, L.; Monerie, Y.; Pagano, S. Artificial compliance inherent to the intrinsic cohesive zone models: Criteria and application to planar meshes. Int. J. Fract. 2012, 178, 71–83. [Google Scholar] [CrossRef] [Green Version]












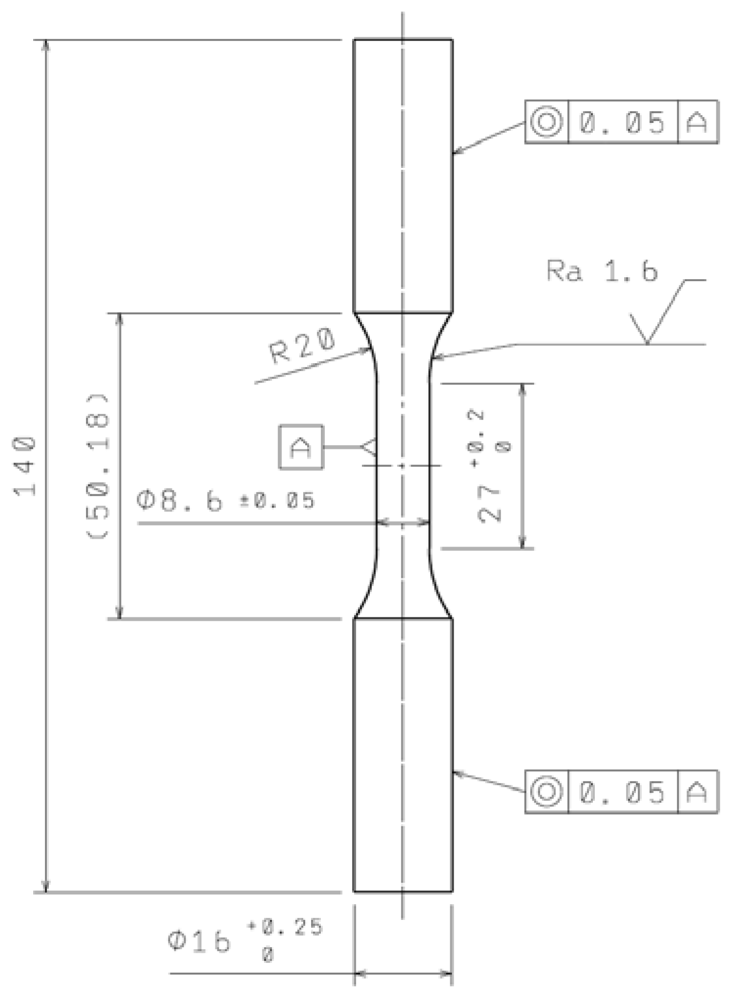
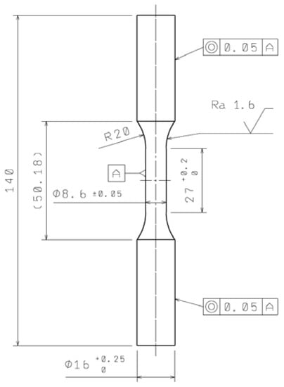
| Specimens at Level | Strain Amplitude [%] | Strain Rate [%/s] | Cycles to Failure | 
|---|---|---|---|
| 3 | 0.25 | 1.25 | 18,768; 10,192; 11,683 | 
| 4 | 0.5 | 0.3 | 2401; 2342; 1647; 2932 | 
| 4 | 1 | 0.4 | 606; 760; 705; 492 | 
| 1 | 1.5 | 0.15 | 101 | 
| Young’s Modulus [GPa] | Poisson’s Ratio | Initial Yield Stress [MPa] | [MPa] | [MPa] | [MPa] | [MPa] | [MPa] | [MPa] | 
|---|---|---|---|---|---|---|---|---|
| 213.7 | 0.3 | 265 | 104,736 | 1269 | 10,575 | 132 | 366 | 0 | 
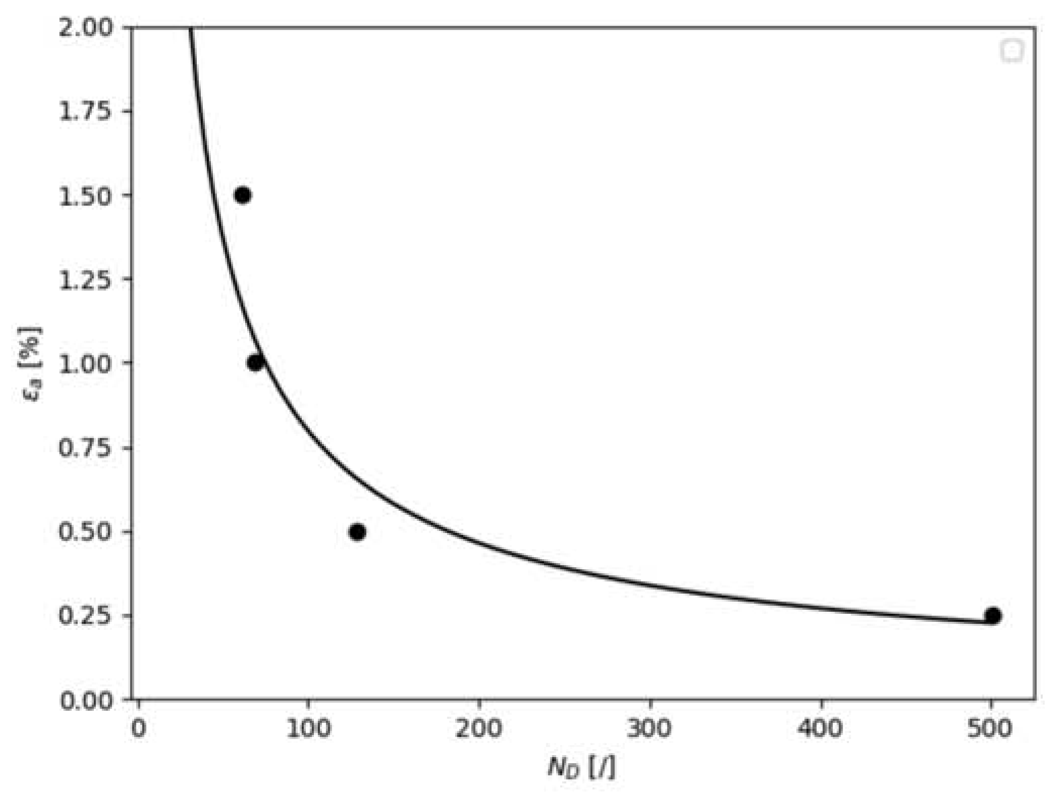
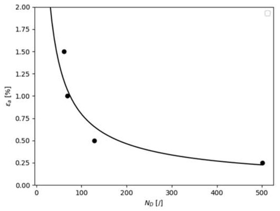
| E [GPa] | [MPa] | b | c | |
|---|---|---|---|---|
| 213.7 | 551.4 | 0.3109 | −0.06493 | −0.5843 | 
| Publisher’s Note: MDPI stays neutral with regard to jurisdictional claims in published maps and institutional affiliations. | 
© 2022 by the authors. Licensee MDPI, Basel, Switzerland. This article is an open access article distributed under the terms and conditions of the Creative Commons Attribution (CC BY) license (https://creativecommons.org/licenses/by/4.0/).
Share and Cite
Zobec, P.; Klemenc, J. Yet Another Approach to Fatigue Crack Growth Simulation. Metals 2022, 12, 539. https://doi.org/10.3390/met12040539
Zobec P, Klemenc J. Yet Another Approach to Fatigue Crack Growth Simulation. Metals. 2022; 12(4):539. https://doi.org/10.3390/met12040539
Chicago/Turabian StyleZobec, Peter, and Jernej Klemenc. 2022. "Yet Another Approach to Fatigue Crack Growth Simulation" Metals 12, no. 4: 539. https://doi.org/10.3390/met12040539
APA StyleZobec, P., & Klemenc, J. (2022). Yet Another Approach to Fatigue Crack Growth Simulation. Metals, 12(4), 539. https://doi.org/10.3390/met12040539
 
         
                                                


 
       